РАДИОХИМИЯ, 2023, том 65, № 4, с. 317-328
УДК 546.18 + 551.577.7 + 66.081
КОНЦЕНТРИРОВАНИЕ ФОСФОРА СОРБЕНТАМИ НА
ОСНОВЕ ПОЛИАКРИЛОНИТРИЛЬНОГО ВОЛОКНА,
МОДИФИЦИРОВАННОГО ГИДРОКСИДОМ ЖЕЛЕЗА(III)
© 2023 г. М. А. Фроловаа, Н. А. Бежина, *, О. Н. Козловскаяа, И. Г. Тананаева-в
а Севастопольский государственный университет,
299053, Севастополь, ул. Университетская, д. 33
б ПО «Маяк», 456784, Озерск Челябинской обл., пр. Ленина, д. 31
вИнститут химии и технологии редких элементов и минерального сырья
им. И.В. Тананаева ФИЦ «Кольский научный центр РАН» (ИХТРЭМС КНЦ РАН),
184209, Апатиты Мурманская обл., мкр. Академгородок, д. 26А
*e-mail: nickbezhin@yandex.ru
Поступила в редакцию 27.01.2023, после доработки 27.03.2023, принята к публикации 30.03.2023
Представлены результаты извлечения фосфора сорбентами собственного производства на основе
полиакрилонитрильного волокна, модифицированного гидроксидом железа(III), из растворов с
различным рН. Установлены степени извлечения фосфора, динамическая обменная емкость и полная
динамическая обменная емкость сорбентов по фосфору. Построены выходные кривые сорбции
фосфора, приведены результаты исследования физико-химических закономерностей (изотерма и
кинетика) сорбции. Проведена оценка эффективности извлечения 32P и 33P из проб дождевых осадков
с использованием сорбентов на основе полиакрилонитрильного волокна, модифицированного
гидроксидом железа(III). Проведен мониторинг 32P, 33P в атмосферных выпадениях Севастопольского
региона.
Ключевые слова: ПАН-Fe(OH)3, фосфор, 32P, 33P, сорбция, рН, изотерма, кинетика, дождевая вода.
DOI: 10.31857/S0033831123040032, EDN: IKTCVI
ВВЕДЕНИЕ
морской воды. Исследованы физико-химические
закономерности (изотерма и кинетика) сорбции
В предыдущих статьях [1, 2] нами описано по-
фосфора из морской воды. Полученные зависимо-
лучение сорбентов на основе гидроксида желе-
сти параметров сорбции от времени описаны с по-
за(III) и полиакрилонитрильного (ПАН) волокна
мощью моделей внутричастичной диффузии, псев-
различными методами: Fe-NH (Non-Hydrolyzed) -
допервого и псевдовторого порядка, модели Елови-
с использованием негидролизованного ПАН и
ча, зависимости параметров сорбции от равновес-
осаждением Fe(OH)3 аммиаком; Fe-SF (Sodium
ной концентрации фосфора в растворе - с помощью
Ferrate) - с использованием готового Na2FeO4;
изотерм сорбции Ленгмюра и Фрейндлиха [2].
Fe-H (Hydrolyzed) - с использованием предва-
В статье [3] нами приводятся результаты оцен-
рительно гидролизованного ПАН с осаждением
ки эффективности извлечения фосфора из больших
Fe(OH)3 аммиаком.
объемов морской воды, приведены данные по оцен-
Определены значения коэффициентов распреде-
ке биодинамики фосфора с использованием полу-
ления фосфора, построены выходные кривые сорб-
ченных сорбентов.
ции при различной скорости пропускания морской
Однако необходимо отметить, что для оценки
воды, определены динамическая обменная емкость
параметров биодинамики фосфора в океане необхо-
(ДОЕ) и полная динамическая обменная емкость
димо знать поступление 32P и 33P с атмосферными
(ПДОЕ) сорбентов [1] при извлечении фосфора из
выпадениями [4]. Соотношение 33P/32P для фосфо-
317
318
ФРОЛОВА и др.
ра, поступающего в океаническую воду с осадка-
аммония-магния NH4MgPO4∙6H2O, разделением
ми, остается относительно постоянным, несмотря
примесей на катионо- и анионообменных смолах,
на тот факт, что абсолютные концентрации могут
получением счетных образцов. Полученные вы-
варьироваться от одного факта выпадения осадков
ходы при извлечении изотопов фосфора согласно
к другому. Поэтому важно оценивать потоки 32P и
статье [7] составили 50-80%, согласно работе [13] -
33P, поступающих с атмосферными выпадениями на
39.4-98.5%, в статьях [6, 12] выходы не приведены.
подстилающую поверхность, взаимосвязи между
Однако необходимо отметить, что в данных работах
значениями потока и количеством осадков для 32P
для извлечения 32P и 33P использовали большие объ-
и 33P.
емы дождевых осадков, так объем исходной пробы
согласно статье [6] составлял 200 л, [7] - 50 л, [12] -
32P (T1/2 = 14.3 сут) и 33P (T1/2 = 25.3 сут) являют-
18-85 л, [13] - 12.6-45.6 л.
ся короткоживущими радионуклидами [65] космо-
генного происхождения. Их нахождение в дожде-
В работах Н.А. Васер [11, 14] описывается со-
вой воде было открыто более 60 лет назад [6, 7]. Ряд
рбционное выделение 32P и 33P из проб дождевой
исследователей использовали 32P и 33P как важные
воды объемом 10-60 л на оксиде алюминия. Далее
радиохимическую подготовку проводили анало-
трассеры при изучении процессов в атмосфере [8-
10], циркуляции в стратосфере [8], вертикальной
гично описанной в работах [12, 13]. Согласно ра-
структуры тропосферы и обмена между стратосфе-
боте [14], эффективность извлечения изотопов фос-
фора составила более 98% при извлечении из 60 л
рой и тропосферой [9], в качестве трассеров озона,
дождевой воды при скорости пропускания 5 л/мин
для оценки времени жизни аэрозолей [10].
или менее.
Так в статье [11] представлены результаты оцен-
В работе [15] С.Р. Бенитес-Нельсон предложила
ки потоков 32P и 33P и их отношения в атмосферных
извлечение фосфора из дождевых осадков с исполь-
выпадениях в период с марта 1991 г. по март 1992 г.
зованием картриджей, модифицированных Fe(OH)3.
на Бермудских островах. Отношения 33P/32P лежало
Полипропиленовые картриджи с размером пор
в интервале от 0.66 до 1.22 и в среднем составило
25 мкм сначала пропитывали раствором 6.25 моль/л
0.96. В данной работе [11] также представлена сво-
NaOH при 85-90°С в течение 10-15 мин, давали
дная таблица отношений 33P/32P в дождевых осад-
остыть и промывали дистиллированной водой. За-
ках, полученных в других исследованиях, из кото-
тем картриджи пропитывали 50%-ным раствором
рой наглядно видно, что отношение 33P/32P в целом
FeCl3 при 85-90°C в течение 15 мин, давали остыть
постоянное и находилось в пределах 0.40-1.24 не-
и помещали в ванну с раствором 3 моль/л NH4OH
смотря на то, что работы по определению 32P и 33P
на несколько часов. Используя данный способ, по-
в атмосферных выпадениях выполнялись в разных
лучали картриджи с содержанием Fe(OH)3 от 25 до
широтах и разных полушариях.
30 мас%. Пробы дождя объемом 5-20 л пропускали
В тоже время в работе [9] отношение активно-
через колонку длиной 30.5 и диаметром 1.9 см (объ-
сти 33P/32P, измеренное в образцах, собранных в
ем 0.087 л) с картриджем, модифицированным ги-
Вудс-Хоул и Портсмуте, колебалось от 0.55 ± 0.14
дроксидом железа(III). Полученные выходы соста-
до 1.59 ± 0.26, что выше пределов, полученных в
вили 31.6-90.8%. Однако такие картриджи облада-
других исследованиях. В работе [9] это объясняется
ют высоким гидродинамическим сопротивлением
тем, что более высокие значения отношения 33P/32P
и подвержены быстрому вымыванию Fe(OH)3, что
наблюдаются в штормовых условиях.
вносит существенную ошибку в итоговые результа-
Для концентрирования 32P и 33P из дождевых
ты.
осадков с целью последующего измерения предло-
Таким образом, наглядно видно, что в настоящее
жен ряд осадительных и сорбционных методов.
время не существует единой методологии, позво-
В ряде работ [6, 7, 12, 13] 32P и 33P концен-
ляющей максимально эффективно извлекать 32P и
трировали путем осаждения гидроксида же-
33P из дождевых осадков, отсутствуют результаты
леза(III). Далее проводили очистку с двукрат-
комплексных испытаний влияния различных па-
ным осаждением фосфомолибдата аммония
раметров осадительных методик и характеристик
(NH4)3[PMo12O40]∙2H2O, осаждением фосфата
используемых сорбционных материалов на эффек-
РАДИОХИМИЯ том 65 № 4 2023
КОНЦЕНТРИРОВАНИЕ ФОСФОРА СОРБЕНТАМИ
319
тивность извлечения. Кроме того, объемы проб
Изучение кинетики сорбции фосфора. Для
дождевой воды составляют десятки литров, что де-
исследования кинетики извлечение проводили из
лает затруднительным определение концентрации
10 см3 исследуемого раствора фосфора с концен-
изотопов фосфора при малом объеме осадков.
трацией 0.3 мг/дм3 0.1 г сорбента в течение раз-
личного времени в диапазоне от 1 до 48 ч. Каждый
Наиболее высокую эффективность извлечения
опыт повторяли не менее трех раз.
фосфора из дождевой воды, согласно работе [14],
показал оксид алюминия, поэтому в настоящей ра-
Изучение изотермы сорбции фосфора. Для по-
боте проведено сравнение эффективности сорбции
строения изотерм извлечение проводили из 10 см3
фосфора полученными сорбентами и гранулиро-
исследуемого раствора с различной концентраци-
ванным оксидом алюминия.
ей фосфора 0.1 г сорбента в течение 48 ч. Каждый
опыт повторяли не менее трех раз.
Настоящая статья посвящена испытанию полу-
ченных сорбентов на реальных дождевых осадках,
Определение концентрации стабильного
разработке универсальной методике извлечения 32P
фосфора. Концентрацию стабильного фосфора в
и 33P из малых объемов дождевых осадков, оценке
растворах до и после сорбции определяли на фото-
потоков 32P и 33P, поступающих с атмосферными
метре КФК-3-01 (АО «ЗОМЗ», Сергиев Посад, Рос-
выпадениями на подстилающую поверхность в Се-
сия) по методике [16].
вастопольском регионе, взаимосвязи между значе-
Степень извлечения (R, %), емкость сорбентов
ниями потока и количеством осадков для 32P и 33P, а
(Г, мг/г) в статических условиях, динамическую об-
также оценке извлечения из растворов с различным
менную емкость (ДОЕ, мг/г) и полную динамиче-
рН, изучению динамики, кинетики и изотермы сор-
скую обменную емкость (ПДОЕ, мг/г) определяли
бции полученными сорбентами.
по формулам, подробно представленным в рабо-
те [1].
ЭКСПЕРИМЕНТАЛЬНАЯ ЧАСТЬ
Отбор проб атмосферных выпадений. Пробы
дождевых осадков отбирали открытым способом с
Сорбенты. Методики получения сорбентов
закрытой территории одного из учебных корпусов
ПАН-Fe(OH)3 подробно представлены в статьях [1,
Севастопольского государственного университета
2]. Также для извлечения фосфора использовали
(ул. Курчатова, д. 7) в стальные эмалированные кю-
оксид алюминия с размером гранул 2.0-6.0 мм и на-
веты площадью 0.81 м2, расположенные на высоте
сыпной массой 0.73-0.78 г/см3 производства НПП
1.5 м относительно уровня подстилающей поверх-
«Техпроект» (Екатеринбург, Россия), полученный
ности. Кюветы были соединены с пластиковыми
согласно ТУ 2163-003-98708430-2008.
емкостями объемом 25 дм3, чтобы уменьшить по-
Изучение влияния рН на извлечение фосфо-
тери в результате испарения проб. После выпаде-
ра. Для исследования влияния рН на параметры
ния осадков пробы консервировали путем подкис-
сорбции проводили извлечение фосфора с концен-
ления раствором соляной кислоты до рН менее 2,
трацией 0.3 мг/дм3 из 10 см3 исследуемого раство-
выдерживали в течение 4-6 ч и фильтровали через
ра с различными значениями рН (1-10) сорбентом
фильтр «белая лента» с помощью вакуумного насо-
(0.1 г) в течение 48 ч. Каждый опыт повторяли не
са N 811 KT.18 (KNF Neuburger GmbH, Фрайбург-
менее трех раз.
им-Брайсгау, Германия).
Сорбция 32P и 33Р из проб атмосферных вы-
Изучение сорбционного извлечения фосфора
в динамических условиях. Для построения выход-
падений. Извлечение 32P и 33Р проводили одноко-
ных кривых сорбции и определения ДОЕ и ПДОЕ
лоночным методом. Отфильтрованные и подкис-
ленные пробы дождевых осадков пропускали че-
проводили извлечение фосфора в динамических
условиях путем пропускания через колонку с сор-
рез 10 см3 сорбента, используя перистальтический
насос LongerPump WT600-2J (Longer Precision
бентом исследуемого раствора фосфора с концен-
Pump Co., Баодин, Китай), с различной скоростью.
трацией 0.3 мг/дм3 со скоростью 3 см3/мин до мо-
мента уравнивания состава фильтрата с составом
Для оценки выхода в пробу дождевых осадков
исходного раствора.
в качестве трассера добавляли аликвоту раство-
РАДИОХИМИЯ том 65 № 4 2023
320
ФРОЛОВА и др.
ванной соляной кислоты и 50 см3 30%-ной переки-
100
си водорода. Раствор отделяли фильтрованием.
95
Далее радиохимическую подготовку проводи-
ли аналогично описанной в работах [12, 13]. Более
90
подробная схема методики радиохимической подго-
товки представлена на схеме 1.
85
Fe-NH
Время измерения 32P и 33P во всем диапазоне ка-
Fe-SF
налов на ультранизкофоновом спектрометре Wallac
80
Fe-H
1220 Quantilus (Perkin Elmer, Турку, Финляндия) -
Al2O3
не менее 300 мин. Для 32P и 33P (Emax >156 кэВ) эф-
75
фективность счета обычно выше 95% [13], неопре-
1
2
3
4
5
6
7
8
9
10
деленность не превышает 10%. Расчет объемной
pH
активности 32P и 33P поводили по формулам, пред-
Рис. 1. Влияние рН на извлечение фосфора Al2O3 и со-
ставленным в работе [3].
рбентами ПАН-Fe(OH)3, полученными различными ме-
тодами.
РЕЗУЛЬТАТЫ И ИХ ОБСУЖДЕНИЕ
1
Fe-NH
Влияния рН на извлечение фосфора. Иссле-
0.8
Fe-SF
Fe-H
дование проводили при рН растворов в диапазо-
0.6
Al2O3
не 1-10. Полученные результаты представлены на
0.4
рис. 1.
0.2
Наглядно видно, что с увеличением рН степень
0
извлечения фосфора падает. Полученные результа-
0
5
10
15
20
25
30
ты можно объяснить с помощью механизма сорб-
V ɞɦ3
ции фосфора, согласно которому при низких зна-
Рис. 2. Выходные кривые сорбции фосфора.
чениях рН в сорбенте идет образование фосфата
ра KH2PO4 до концентрации фосфора в дождевых
железа(III):
осадках 1 мкмоль/дм3. Так как фосфор присутству-
Fe(OH)3 + PO3- = FePO4 + 3OH-,
(1)
ет в осадках, то его определение выполняли в ис-
однако по мере повышения pH ионы ОН- могут
ходной пробе, потом после добавления известного
вытеснять (замещать) ионы РO3- из фосфатa желе-
количества стабильного фосфора, а также в процес-
за(III), переводя их в растворимую форму с образо-
се сорбции для дальнейшей оценки выхода каждые
ванием нерастворимого гидроксида железа(III).
0.1-0.5 дм3 отбирали пробы пропущенных дожде-
вых осадков в пластиковые пробирки.
При извлечении фосфора с использованием
Al2O3 степень извлечения при увеличении рН так-
На основании исходных и полученных значений
же уменьшается, что соответствует литературным
концентраций рассчитывали значения эффектив-
данным [17].
ности извлечения (E, %) минерального фосфора
из дождевых осадков, равную степени извлечения
Сорбционное извлечение фосфора в динами-
изотопов 32P и 33Р, по формуле, представленной в
ческих условиях. Выходные кривые сорбции фос-
работе [3].
фора в динамических условиях представлены на
рис. 2.
Определение удельной активности 32P и 33Р
методом жидкостно-сцинтилляционной спек-
Таблица 1. Значения ДОЕ и ПДОЕ по фосфору на раз-
трометрии с радиохимической подготовкой. Со-
личных сорбентах
рбенты ПАН-Fe(OH)3 после извлечения фосфора
Сорбент
Fe-NH
Fe-SF
Fe-H
Al2O3
озоляли в муфельной печи СНОЛ-30/1300-И1п (AB
ДОЕ, мг/г
0.0097
0.0487
0.0649
0.0065
Umega-Group, Утена, Литва) при 600°С в течение
ПДОЕ, мг/г
0.0360
0.1886
0.6956
0.0551
4 ч. Золу растворяли в смеси 50 см3 концентриро-
РАДИОХИМИЯ том 65 № 4 2023
КОНЦЕНТРИРОВАНИЕ ФОСФОРА СОРБЕНТАМИ
321
1) Растворение золы
← 1) 50 см3 конц. HCl, 50 см3 конц. H2O2
2) Упаривание раствора
↓
1) Фильтрование
2) Добавление трассера, реагентов
← 2) 20 см3 конц. KH2PO4 (0.3 мг/см3 P), 190 см3 конц.
3) Осаждение
HNO3, 100 см3 конц. HN3, Н2О до 800 см3
(NH4)3[PMo12O40]∙2H2O, 90-100°C
←3) 15 см3 15% (NH4)2MoO4
4) Промывка осадка
←4) 50 см3 1 моль/дм3 HNO3
↓
Переосаждение
(NH4)3[PMo12O40]∙2H2O, 30-40°С
1) Растворение осадка
← 1) 20 см3 конц. NH3, 50 см3 Н2О
2) Фильтрование
← 2) 30 моль/дм3 HNO3
3) Осаждение (NH4)3[PMo12O40]∙2H2O
← 3) 15 см3 15% (NH4)2MoO4
4) Промывка осадка
← 4) 50 см3 1 моль/дм3 HNO3
↓
1) Растворение (NH4)3[PMo12O40]∙2H2O
← 1) 20 см3 конц. NH3
2) Корректировка рН раствора до 7
← 2) 30 см3 конц. HCl
↓
Осаждение NH4MgPO4∙6H2O
1, 2) Добавление избытка осадителя
← 1) 40 см3 MgCl2 + NH4Cl; 2) 2 см3 конц. NH3
3) Охлаждение на водяной бане (30 мин)
↓
Растворение NH4MgPO4∙6H2O
1) Фильтрование NH4MgPO4∙6H2O
2) Промывка NH4MgPO4∙6H2O
← 2) 0.5 моль/дм3 NH3
3) Растворение NH4MgPO4∙6H2O
← 3) 40 см3 9 моль/дм3 HCl
↓
1) Фильтрование через катионит КУ-2-8
(высота слоя 8-10 см)
2) Промывка катионита
← 2) 10 см3 9 моль/дм3 HCl
↓
1) Фильтрование через анионит АВ-17-8
(высота слоя 8-10 см)
2) Промывка анионита
← 2) 10 см3 9 моль/дм3 HCl
↓
1) Упаривание раствора
2) Корректировка объема
← 2) H2O, конечный объем 3 см3
3) Нейтрализация раствора
← 3) NH3
4) Фильтрование
→ 4) 50 мм3 для оценки химического выхода
↓
ЖС-спектрометрия
←15 см3 сцинтилляционного коктейля
Схема 1. Радиохимическая подготовка проб.
Результаты определения ДОЕ и ПДОЕ изучен-
сорбентами. Эти данные позволяют рассчитывать
ных сорбентов приведены в табл. 1.
количество сорбента необходимое для концентри-
Установлено, что наилучшие результаты ДОЕ по
рования радионуклидов 32P, 33P из дождевых осад-
стабильному фосфору показывают сорбенты Fe-SF
ков, при использовании в качестве трассеров выхо-
и Fe-H, при этом ПДОЕ сорбента Fe-H в несколько
раз выше по сравнению с остальными изученными да стабильных изотопов.
РАДИОХИМИЯ том 65 № 4 2023
322
ФРОЛОВА и др.
100
0.8
90
0.7
80
0.6
Fe-NH
0.5
Fe-SF
70
Fe-H
0.4
Al2O3
60
Fe-NH
0.3
Fe-SF
50
Fe-H
0.2
Al2O3
40
0.1
30
0
0
4
8
12
16
20 24
28
32
36
40 44
48
0
0.2
0.4
0.6
0.8
1
1.2
1.4
t ɱ
C ɦɝ ɞɦ3
Рис. 3. Зависимость степени извлечения фосфора от вре-
Рис. 4. Изотермы сорбции фосфора.
мени сорбции.
Кинетика сорбции фосфора. Результаты иссле-
лимитируется реакцией ионного обмена, сорбат и
дования кинетики сорбции фосфора представлены
функциональная группа сорбента взаимодействуют
на рис. 3. Установлено, что время достижения сорб-
друг с другом в соотношении 1 : 1 [19, 22].
ционного равновесия при извлечении фосфора для
Полученные значения констант скорости для
большинства сорбентов составляет 40-48 ч.
моделей псевдопервого и псевдовторого порядка
Полученные экспериментальные параметры
(табл. 2) в целом имеют общие закономерности и
извлечения фосфора описывали с помощью кине-
показывают, что сорбция фосфора наилучшим об-
тических моделей (табл. 2): внутричастичной диф-
разом идет на сорбенте Fe-H.
фузии [18], псевдопервого [18-21] и псевдовторого
Изотерма сорбции фосфора. Результаты иссле-
порядка [18-20, 22], Еловича [19, 20, 23].
дования изотермы сорбции фосфора представлены
Для описания кинетики сорбции фосфора иссле-
на рис. 4. Установлено, что максимальная емкость
дуемыми сорбентами наиболее приемлемой ока-
сорбентов по фосфору устанавливается при рав-
залась модель псевдовторого порядка, о чем сви-
новесной концентрации фосфора в растворе более
детельствуют самые высокие коэффициенты r2 =
0.6 мг/дм3. Наибольшую емкость по фосфору имеет
0.999-1.00 и согласующиеся экспериментальные и
сорбент Fe-H.
теоретические значения равновесной сорбционной
Полученные экспериментальные параметры из-
емкости qe.
влечения фосфора обрабатывали с помощью лине-
Кинетические модели псевдопервого порядка,
аризации по уравнениям Ленгмюра [18, 21, 23] и
внутричастичной диффузии и Еловича не позволя-
Фрейндлиха [19, 21, 23] (табл. 3). Установлено, что
ют хорошо описать кинетику сорбции фосфора. По-
полученные данные извлечения фосфора всеми из-
скольку механизм псевдовторого порядка адекватно
ученными сорбентами хорошо описываются урав-
описывает полученные величины, процесс сорбции
нением изотермы сорбции Ленгмюра.
Таблица 2. Полученные параметры кинетических моделей
Внутричастичная
Псевдопервый
Псевдовторой порядок
Модель Еловича
диффузия
порядок
qe, exp,
Сорбент
K
, мг/
K1,
K2, г/
α,
β,
мг/г
I
с
r2
ge, мг/г
r2
ge, мг/г
r2
r2
(г∙ч0.5)
ч-1
(мг∙ч)
г/(мг∙ч)
г/мг
Fe-NH
0.0006
0.0087
0.791
0.101
0.0036
0.950
114
0.0126
0.999
8.10
1000
0.937
0.0125
Fe-SF
0.0007
0.0092
0.803
0.116
0.0038
0.984
121
0.0133
0.999
13.4
1000
0.948
0.0132
Fe-H
0.0007
0.0095
0.782
0.147
0.0037
0.983
144
0.0135
0.999
8.14
909
0.949
0.0134
Al2O3
0.0008
0.0071
0.796
0.120
0.0052
0.934
82.5
0.0122
0.999
0.416
769
0.944
0.0120
РАДИОХИМИЯ том 65 № 4 2023
КОНЦЕНТРИРОВАНИЕ ФОСФОРА СОРБЕНТАМИ
323
Константа n указывает на интенсивность вза-
100
имодействия сорбент-сорбат. Установлено, что
90
сорбция хорошо протекает даже при высоких кон-
центрациях ионов фосфора, о чем свидетельствуют
80
значения n больше 1 [21, 23].
Оценка эффективности извлечения 32P, 33P
70
из проб атмосферных выпадениях. Результаты
60
изучения влияния скорости пропускания атмосфер-
Fe-NH
ных осадков на эффективность извлечения 32P и 33P
Fe-SF
50
одноколоночным методом гранулированным Al2O3
Fe-H
и волокнистыми сорбентами ПАН-Fe(OH)3, полу-
Al2O3
40
ченными различными способами, представлены на
0
1
2
3
4
5
ɋɪɟɞɧɹɹ ɫɤɨɪɨɫɬɶ ɤ ɨ ɦɢɧ
рис. 5.
Рис. 5. Зависимость эффективности извлечения (Е, %)
Установлено, что наибольшая эффективность
32P, 33P от скорости пропускания дождевых осадков (од-
извлечения фосфора достигается при скорости
ноколоночный метод, объем сорбента 10 см3, объем дож-
девых осадков 3 дм3)
пропускания дождевых осадков 0.5-2 к.о./мин (ко-
лоночных объемов в минуту) при использовании
3. В отобранные дождевые осадки добавляют на-
сорбентов Fe-SF (88.1-94.5%) и Fe-H (95.6-99.6%).
веску дигидроортофосфата калия до концентрации
Эффективность извлечения фосфора с помощью
1 мкмоль/дм3 по фосфору для оценки эффективно-
Al2O3, использованного в данной работе (размер
сти извлечения и оставляют на 5-6 ч для уравни-
гранул 2.0-6.0 мм, насыпная масса 0.73-0.78 г/см3),
вания концентрации фосфора во всем объеме емко-
составила 63-80.3% при скорости пропускания 0.5-
сти.
5 к.о./мин, что ниже значений, полученных в рабо-
4. В колонку загружают 10 см3 сорбента Fe-SF
те [14] для Al2O3. Однако в работе [14] параметры
или Fe-H.
используемого Al2O3 не приведены, поэтому нет
5. Через колонку с сорбентом пропускают под-
возможности провести достоверное сравнение.
готовленные дождевые осадки со скоростью 0.5-
По полученным результатам разработана мето-
2 к.о./мин.
дика извлечения 32P и 33P из дождевых осадков (схе-
ма 2):
6. Периодически (каждые 0.1-0.5 дм3) отбирают
пробу пропущенных дождевых осадков для оценки
1. Отбирают дождевые осадки (минимум
эффективности извлечения по стабильному фосфо-
2-3 дм3) в расположенные на высоте 1.5 м относи-
ру.
тельно уровня подстилающей поверхности кюве-
ты, соединенные с пластиковыми емкостями для
7. После сорбции сорбент высушивают в су-
уменьшения потерь в результате испарения проб.
шильном шкафу при температуре 70-80°С.
2. Отобранные дождевые осадки консервируют
8. Определение активности 32P и 33P проводят
путем подкисления раствором соляной кислоты до
методом жидкостно-сцинтилляционной спектроме-
рН менее 2, выдерживают в течение 4-6 ч и отфиль-
трии с радиохимической подготовкой по методике,
тровывают.
подробно описанной в [3].
Таблица 3. Параметры изотерм сорбции
Изотерма Ленгмюра
Изотерма Фрейндлиха
Сорбент
gm, мг/г
KL, дм3/мг
r2
KF, мг/г
n
r2
Fe-NH
0.045
22.3
0.996
0.051
2.55
0.922
Fe-SF
0.212
46.7
0.996
0.323
2.43
0.879
Fe-H
0.720
17.0
0.999
1.71
1.58
0.890
Al2O3
0.074
12.4
0.998
0.095
1.92
0.952
РАДИОХИМИЯ том 65 № 4 2023
324
ФРОЛОВА и др.
Дождевая вода
(минимум 2-3 дм3)
↓
1) Добавление реагентов
← 1) HCl (до рН менее 2)
2) Выдержка 5-6 ч
3) Фильтрование
↓
← 1) KH2PO4 (до концентрации 1 мкмоль/дм3)
1) Добавление реагентов
→ 2) аликвота 10-15 см3 для определения исходной
2) Выдержка 5-6 ч
концентрации фосфора
↓
← 1) 10 см3 сорбента Fe-SF или Fe-H
1) Сорбция со скоростью
0.5-2 к.о./мин
3
→ 2) аликвота 10-15 см3 каждые 0.1-0.5 дм
2) Определение химического выхода
↓
Сушка сорбента
← 70-80°С
↓
Радиохимическая подготовка
↓
ЖС-спектрометрия
Схема 2. Разработанная методика извлечения 32P и 33P из дождевых осадков.
Таким образом, предложена методика из-
мосферных выпадениях Севастопольского региона
влечения
32P и
33P, позволяющая эффектив-
представлены в табл. 4.
но (эффективность извлечения сорбентом
Установлено, что концентрация 33P в атмос-
Fe-H более 90% при скорости пропускания до
ферных осадках изменялась в пределах от 1.32 до
5 к.о./мин) извлекать фосфор из малого объема
3.85 dpm/дм3 (dpm (decays per minute) - распадов в
(2-3 дм3) дождевых осадков. Дальнейшие исследо-
минуту) при среднем значении 2.43 dpm/дм3, кон-
вания по концентрированию радиоизотопов фосфо-
центрация 32P - от 1.22 до 3.94 dpm/дм3 при сред-
ра из дождевых осадков выполнялись по разрабо-
нем значении 2.38 dpm/дм3. Справочные данные
танной методике.
исследований, проведенных на близких широтах,
Мониторинг 32P, 33P в атмосферных выпа-
показали близкие значения от 0.27 до 13.61 dpm/дм3
дениях Севастопольского региона. Результаты
для 33Р и 32Р [9]. С увеличением количества атмос-
мониторинга активностей и потоков 32P, 33P в ат-
ферных осадков активность изотопов снижается
4.5
4.5
ɚ
ɛ
4
4
3.5
3.5
3
3
2.5
2.5
R2 = 0.8111
R2 = 0.7307
2
2
1.5
1.5
1
1
0.5
0.5
0
0
0
3
6
9
12
15
0
3
6
9
12
15
Ʉɨɥɢɱɟɫɬɜɨ ɨɫɚɞɤɨɜ ɦɦ
Ʉɨɥɢɱɟɫɬɜɨ ɨɫɚɞɤɨɜ ɦɦ
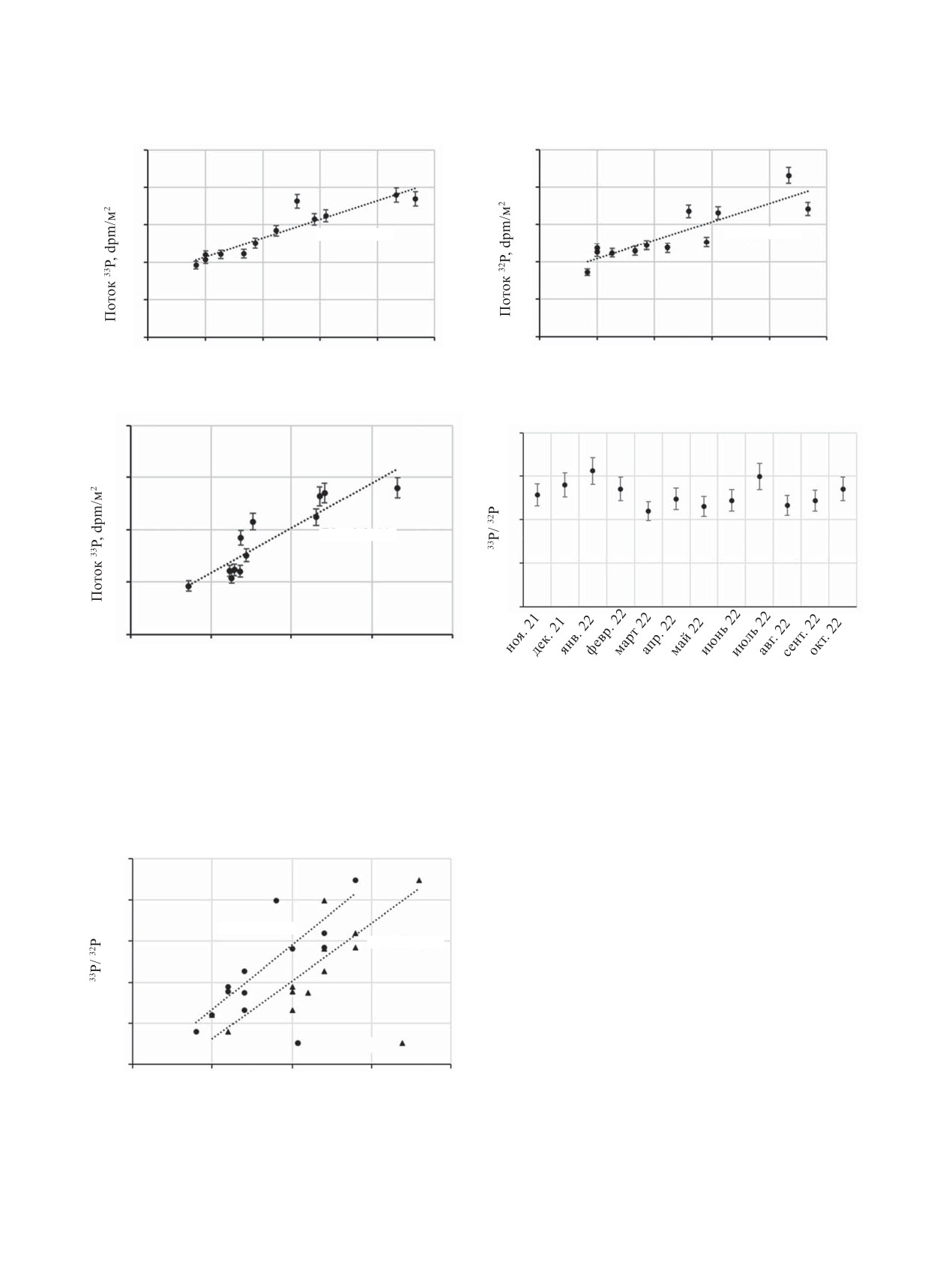
Рис. 6. Зависимость активности 32P, 33P от количества осадков.
РАДИОХИМИЯ том 65 № 4 2023
КОНЦЕНТРИРОВАНИЕ ФОСФОРА СОРБЕНТАМИ
325
ства осадков приводит к увеличению потоков изо-
25
33P
топов. Отклонения в отношениях между потоками
32P
20
и осадками среди изотопов могут возникать из-за
15
различий в источниках воздушных масс, скоростях
поглощения и радиоактивном распаде. Между по-
10
токами 33P и 32P имеется достаточно значимая кор-
5
реляция (R2 = 0.81, рис. 9).
0
Были рассчитаны значения отношения потоков
33P/32P (табл. 4, рис. 10). Минимальное значение со-
ставило 0.88, максимальное - 1.25, среднее - 1.04
Рис. 7. Потоки 32P и 33P.
для 33P/32P соответственно.
Согласно результатам, представленным в ра-
(рис. 6). Это явление указывает на то, что интенсив-
боте [8], приземная концентрация 32Р выше кон-
ность осадков играет важную роль в выносе данных
центрации 33Р на 10-100%, а значение отношения
изотопов из тропосферы, что согласуется с данны-
33P/32P, превышающее 0.9, указывает на стратосфер-
ми работы [9].
ный источник воздушных масс. В работе [9] также
Значения потоков изотопов и их отношения рас-
говорилось, что более высокие значения 33P/32P до
считывали из значений активности (табл. 4, рис. 7).
1.59 ± 0.26 в образцах, собранных в Вудс-Хоул и
Поток 33P с влажными атмосферными выпадения-
Портсмуте, наблюдались в штормовых условиях.
ми изменялся в интервале от 9.63 до 18.98 dpm/м2,
Полученные нами данные для г. Севастополя (ве-
среднее значение составило 13.96 dpm/м2, поток
тровой регион) подтверждают это, более низкие
32P - от 8.6 до 21.58 dpm/м2, среднее значение со-
отношения 33P/32P наблюдались при максимальных
ставило 13.58 dpm/м2.
скоростях ветра менее 7 м/с (порывах менее 11 м/с),
Зависимость значений потока от количества
более высокие отношения 33P/32P - при скорости
осадков представлена на рис. 8. Увеличение количе- ветра более 7 м/с (порывах более 11 м/с). Также
Таблица 4. 32P, 33P в атмосферных выпадениях Севастопольского региона
Скорость ветра,
м/са
Количество
Активность
Активность
Поток 33P,
Поток 32P,
Дата сбора
33P/32P
осадков, мма
макси-
33P, dpm/дм3
32P, dpm/дм3
dpm/м2
dpm/м2
порыв
мальная
09.11.2021
5.6
7
12
2.24 ± 0.11
2.18 ± 0.11
12.54 ± 0.63
12.21 ± 0.61
1.03 ± 0.10
02.12.2021
2.5
12
14
3.85 ± 0.19
3.44 ± 0.17
9.63 ± 0.48
8.60 ± 0.43
1.12 ± 0.11
19.01.2022
8.7
14
18
1.81 ± 0.09
1.45 ± 0.07
15.75 ± 0.79
12.62 ± 0.63
1.25 ± 0.12
08.02.2022
14
10
12
1.32 ± 0.07
1.22 ± 0.06
18.48 ± 0.92
17.08 ± 0.85
1.08 ± 0.11
01.03.2022
13
4
6
1.46 ± 0.07
1.66 ± 0.08
18.98 ± 0.95
21.58 ± 1.08
0.88 ± 0.09
08.04.2022
3.8
6
10
2.91 ± 0.15
2.94 ± 0.15
11.06 ± 0.55
11.17 ± 0.56
0.99 ± 0.10
06.05.2022
3
5
5
3.46 ± 0.17
3.76 ± 0.19
10.38 ± 0.52
11.28 ± 0.56
0.92 ± 0.09
09.06.2022
9.3
6
10
1.74 ± 0.09
1.78 ± 0.09
16.18 ± 0.81
16.55 ± 0.83
0.98 ± 0.10
11.07.2022
6.7
9
12
2.12 ± 0.11
1.77 ± 0.09
14.20 ± 0.71
11.86 ± 0.59
1.20 ± 0.12
16.08.2022
3
7
10
3.67 ± 0.18
3.94 ± 0.20
11.01 ± 0.55
11.82 ± 0.59
0.93 ± 0.09
14.09.2022
5
7
11
2.23 ± 0.11
2.29 ± 0.11
11.15 ± 0.56
11.45 ± 0.57
0.97 ± 0.10
03.10.2022
7.8
12
14
2.33 ± 0.12
2.15 ± 0.11
18.17 ± 0.91
16.77 ± 0.84
1.08 ± 0.11
а Данные получены на гидрометеорологической станции «Севастополь», расположенной на мысе Павловский в г. Севастополе.
РАДИОХИМИЯ том 65 № 4 2023
326
ФРОЛОВА и др.
25
25
ɚ
ɛ
20
20
15
15
R2 = 0.8725
R2 = 0.7581
10
10
5
5
0
0
0
3
6
9
12
15
0
3
6
9
12
15
Ʉɨɥɢɱɟɫɬɜɨ ɨɫɚɞɤɨɦ ɦɦ
Ʉɨɥɢɱɟɫɬɜɨ ɨɫɚɞɤɨɦ ɦɦ
Рис. 8. Зависимость потоков 32P, 33P от количества осадков.
25
20
15
R2 = 0.8144
10
0
5
5
10
15
20
25
ɉɨɬɨɤ32P GSP ɦ2
Рис. 10. Отношение активностей 33P/32P в пробах дожде-
Рис. 9. Зависимость потока 33P от потока 32P.
вой воды.
необходимо указать, что межу отношением и мак-
Полученные данные отношения активностей
симальной скоростью ветра и порывами ветра име-
33P/32P в пробах дождевой воды в различные ме-
сяцы были использованы нами в работе [3] для
ется достаточно значимая корреляция (R2 > 0.75,
определения параметров биодинамики фосфора
рис. 11).
для комплексной оценки экологического состоя-
ния прибрежной акватории. На основании данных
1.3
отношения 33P/32Р в морской воде на различных
горизонтах и в источнике поступления - атмос-
1.2
ферных выпадениях - по формулам, приведенным
R2 = 0.7623
1.1
R2 = 0.7527
в статье [24], были рассчитаны значения времени,
скорости и степени обращения фосфора в раство-
1.0
ренную неорганическую форму. Были установлены
повышенные значения параметров биодинамики
0.9
фосфора в весенний и летний период, объясняющи-
Ɇɚɤɫɢɦɚɥɶɧɚɹ ɉɨɪɵɜ
еся особенностью хозяйственной и курортной дея-
0.8
тельности исследуемого района, которая негативно
0
5
10
15
20
ɋɤɨɪɨɫɬɶ ɜɟɬɪɚ ɦ ɫ
влияет на состояние морской экосистемы, в то вре-
Рис. 11. Зависимость отношения активностей 33P/32P в
мя как полученные значения концентраций различ-
пробах дождевой воды от скорости ветра.
ных форм фосфора имели типичный для данного
РАДИОХИМИЯ том 65 № 4 2023
КОНЦЕНТРИРОВАНИЕ ФОСФОРА СОРБЕНТАМИ
327
сезона и места отбора проб (поверхностный слой,
ченные результаты показали, что средние значения
прибрежный район) однородный характер измене-
потоков с осадками составили для 33P 13.96, для
ния и не указывали на повышенную антропогенную
32P - 13.58 dpm/м2. Полученные данные отношения
нагрузку.
активностей 33P/32P в атмосферных осадках были
использованы для оценки параметров биодинамики
ЗАКЛЮЧЕНИЕ
фосфора в морской воде для комплексной оценки
экологического состояния прибрежной акватории.
Исследовано извлечение фосфора сорбентами
собственного производства на основе акрилатного
КОНФЛИКТ ИНТЕРЕСОВ
волокна и гидроксида железа(III) на модельных и
реальных растворах (дождевых осадках). Получен-
Авторы заявляют об отсутствии конфликта ин-
ные данные показывают, что статические и дина-
тересов.
мические характеристики сорбента Fe-H выше по
сравнению с остальными изученными сорбентами.
СПИСОК ЛИТЕРАТУРЫ
Установлены основные физико-химические ха-
1.
Bezhin N.A., Frolova M.A., Dovhyi I.I., Kozlovskaia O.N.,
рактеристики (изотерма и кинетика) процессов
Slizchenko E.V., Shibetskaia I.G., Khlystov V.A.,
сорбции фосфора волокном, модифицированным
Tokar’ E.A., Tananaev I.G. // Water. 2022. Vol. 14, N 15.
гидроксидом железа(III) и оксидом алюминия. По-
2303.
лученные зависимости степени извлечения от вре-
2.
Bezhin N.A., Frolova M.A., Kozlovskaya O.N.,
мени сорбции наилучшим образом описываются с
Slizchenko E.V., Shibetskaya Yu.G., Tananaev I.G. //
помощью механизма псевдовторого порядка, зави-
Processes. 2022. Vol. 10, N 10. 2010.
симости емкости сорбента от равновесной концен-
3.
Frolova M.A., Bezhin N.A., Slizchenko E.V.,
трации фосфора в растворе - с помощью изотермы
Kozlovskaia O.N., Tananaev I.G. // Materials.
2023.
Vol. 16, N 5. 1791.
сорбции Ленгмюра.
4.
Benitez-Nelson C. // Science. 2015. Vol. 348, N 6236.
Выполнена оценка эффективности извлечения
P. 759-760.
32P и 33P из проб дождевых осадков. Установлено,
5.
Wang M., Audi G., Kondev F.G., Huang W. J., Naimi S.,
что наибольшая эффективность извлечения фосфо-
Xu X. // Chin. Phys. C. 2017. Vol. 41, N 3. P. 030003-
ра из дождевых осадков достигается при использо-
1-030003-442.
вании сорбентов Fe-SF и Fe-H при скорости про-
6.
Marquez L., Costa N.L. // Nuovo Cimento. 1955. Vol. 2,
пускания 0.5-2 к.о./мин. По полученным данным
N 5. P. 1038-1041.
предложена методика извлечения радиоизотопов
7.
Lal D., Narasappaya N., Zutshi P.K. // Nucl. Phys. 1957.
фосфора из малого объема дождевых осадков с ис-
Vol. 3, N 1. P. 69-75.
пользованием в качестве сорбента волокна, моди-
8.
Baskaran M. Handbook of Environmental Isotope
фицированного Fe(OH)3, одноколоночным методом
Geochemistry. Berlin: Springer, 2011. 951 p.
с добавлением микроколичеств дигидрофосфата
9.
Benitez-Nelson C.R., Buesseler K.O. // J. Geophys. Res.
калия как трассера извлечения фосфора.
1999. Vol. 104, N D9. P. 11745-11754.
10. Сапожников Ю.А., Алиев Р.А., Калмыков С.Н. Радио-
С использованием разработанной методики по-
активность окружающей среды. М.: БИНОМ. Лабо-
лучены данные натурных наблюдений объемной ак-
ратория знаний, 2015. 289 с.
тивности изотопов 32P, 33P, отношения активностей
11. Waser N.A.D., Bacon M.P. // Earth Planet. Sci. Lett.
33P/32P в атмосферных выпадениях. Приведены ре-
1995. Vol. 133, N 1-2. P. 71-80.
зультаты оценки потоков 32P и 33P, поступающих с
12. Nakanishi T., Kusakabe M., Aono T., Yamada M. // J.
атмосферными выпадениями на подстилающую по-
Radioanal. Nucl. Chem. 2009. Vol. 279, N 3. P. 769-
верхность в Севастопольском регионе с ноября 2021
776.
по октябрь 2022 г., взаимосвязи между значениями
13. Chen M., Yang Z., Zhang L., Qiu Y., Ma Q., Huang Y. //
потока и количеством осадков для 32P и 33P. Полу-
Acta Oceanol. Sin. 2013. Vol. 32, N 6. P. 18-25.
РАДИОХИМИЯ том 65 № 4 2023
328
ФРОЛОВА и др.
14. Waser N.A., Fleer A.P., Hammar T.R., Buesseler K.O.,
20. Dakroury G.A., Abo-Zahra Sh.F., Hassan H.S. // Arab. J.
Bacon M.P. // Nucl. Instrum. Meth. Phys. Res. A. 1994.
Chem. 2020. Vol. 13. P. 6510-6522.
Vol. 338. P. 560-567.
21. El-Shazly E.A.A., Dakroury G.A., Someda H.H. // J.
15. Benitez-Nelson C.R., Buesseler K.O. // Anal. Chem.
1998. Vol. 70. P. 64-72.
Radioanal. Nucl. Chem. 2021. Vol. 330. P. 127-139.
16. РД 52.10.738-2010. Массовая концентрация фосфа-
22. Plazinski W., Dziuba J., Rudzinski W. // Adsorption.
тов в морских водах. М.: ОАО ФОП, 2010. 27 с.
2013. Vol. 19. P. 1055-1064.
17. Zheng T.T., Sun Z.X., Yang X.F., Holmgrenet A. // Chem.
Cent. J. 2012. Vol. 6. P. 26.
23. Javadian H. // J. Ind. Eng. Chem. 2014. Vol. 20. P. 4233-
18. Dong L., Wu C., Han Y., Pan S., Wang Z., Zhang G.,
4241.
Hou L., Gu P.
// J. Radioanal. Nucl. Chem.
2021.
24. Lomas M.W., Burke A.L., Lomas D.A., Bell D.W., Shen C.,
Vol. 327. P. 1179-1190.
Dyhrman S.T., Ammerman J.W. // Biogeoscience. 2010.
19. Attallah M.F., Borai E.H., Allan K.F. // Radiochemistry.
2009. Vol. 51. P. 622-627.
Vol. 7, N 2. P. 695-710.
Phosphorus Concentration by Sorbents Based on
Polyacrylonitrile Fiber Modified with Iron(III) Hydroxide
M. A. Frolovaa, N. A. Bezhina,*, O. N. Kozlovskaiaa, I. G. Tananaeva-с
а Sevastopol State University, Sevastopol, 299053 Russia
b PA «Mayak», Ozersk, Chelyabinsk oblast, 456784 Russia
c Tananaev Institute of Chemistry FRC Kola Science Center RAS, Murmansk oblast, 184209 Russia
e-mail: * nickbezhin@yandex.ru
Received January 27, 2023; revised March 27, 2023; accepted March 30, 2023
The results of phosphorus recovery by sorbents of our production on the base of polyacrylonitrile fiber modified
with iron(III) hydroxide from solutions with different pH were presented. The phosphorus degree of recovery,
the dynamic exchange capacity, and the total dynamic exchange capacity of sorbents for phosphorus have
been established. The output curves of phosphorus sorption were constructed, and the results of a study of the
sorption physicochemical regularities (isotherm and kinetics) were presented. The sorption efficiency of 32P
and 33P from rainfall samples using sorbents based on polyacrylonitrile fiber modified with iron(III) hydroxide
was evaluated. Monitoring of 32P, 33P in atmospheric fallout of the Sevastopol region was carried out.
Keywords: PAN-Fe(OH)3, phosphorus, 32P, 33P, sorption, pH, isotherm, kinetics, rainwater
РАДИОХИМИЯ том 65 № 4 2023