РАДИОХИМИЯ, 2023, том 65, № 1, с. 89-92
УДК 544.58+543.554.6
СТРОНЦИЙ-СЕЛЕКТИВНЫЕ СЕНСОРЫ
С МЕМБРАНАМИ НА ОСНОВЕ
ДИ-трет-БУТИЛДИЦИКЛОГЕКСАНО-18-КРАУН-6
© 2023 г. Ю. Е. Ермоленкоa, В. В. Тимошенкоa, *, А. А. Бречаловa,
В. В. Ерёминa, Е. О. Калининa, Д. С. Калягинa, б, И. В. Смирновa, б
a Санкт-Петербургский государственный университет,
193313, Санкт-Петербург, Университетская наб., д. 7/9.
б Радиевый институт им. В.Г. Хлопина,
194021, Санкт-Петербург, 2-й Муринский пр., д. 28
* e-mail: v.v.timoshenko@spbu.ru
Поступила в редакцию 27.10.2022, принята к публикации 03.11.2022
Разработаны стронций-селективные потенциометрические сенсоры с полимерными мембранами на ос-
нове ди-трет-бутилдициклогексано-18-краун-6 для контроля содержания стронция в технологических
растворах радиохимических производств. Показано, что предел обнаружения составляет 2 × 10-6 М,
а крутизна электродной функции 29 ± 1 мВ/pSr. Определены коэффициенты селективности строн-
ций-селективного сенсора по отношению к основным мешающим ионам. Установлено, что доза иони-
зирующего облучения на уровне 10 кГр существенно не влияет на рабочие характеристики разработан-
ных стронций-селективных сенсоров.
Ключевые слова: стронций-селективный сенсор, краун-эфиры, предел обнаружения, селективность,
электрохимическая ячейка, потенциометрическое определение, ионизирующее излучение.
DOI: 10.31857/S0033831123010124, EDN: OHTSZW
Потенциометрические сенсоры получили боль-
соры на катионы щелочных и щелочноземельных
шое распространение в аналитической практике,
металлов [5, 6]. Известны химические сенсоры для
в том числе и в радиохимических исследовани-
определения ионов стронция, где в качестве чув-
ях [1, 2], как эффективный инструмент для экс-
ствительного вещества используется стронциевая
пресс-анализа жидких сред. В научной литературе
соль моноизооктилового эфира метилфосфоновой
ежегодно публикуется ряд обзорных работ, посвя-
кислоты (содержание в мембране 2.5-20.5 мас%), в
щенных различным аспектам создания и использова-
качестве растворителя был выбран 1,2-дихлорэтан.
ния химических сенсоров [3, 4]. Одними из важней-
Крутизна электродной функции сенсора
28.0 ±
ших среди мембранных материалов для химических
1 мВ/pSr [7]. Также были предложены сенсоры на
сенсоров являются нейтральные переносчики. Их
стронций с чувствительной мембраной на основе
молекулы имеют пространственную конфигурацию,
5,11,17,23,29,35-гексакаликс(1,1,3,3-тетраметилбу-
состоящую из полярных групп, позволяющих удер-
тил)-37,38,39,40,41,42-гексакис(карбоксиметокси)
живать потенциалопределяющий ион, и липофиль-
каликс[6]арена с поливинилхлоридной мембраной
ных групп, которые обеспечивают хорошую раство-
и пластификатором Дибутиладипинат (ДБА) [8].
римость в органических средах. К указанному классу
Основные рабочие характеристики: предел об-
мембранных материалов относится и такая обшир-
наружения 1.9 × 10-5 М; время отклика 15 мс; се-
ная группа соединений, как краун-эфиры. В настоя-
лективность к ионам Na 2.5 × 10-2, K 2.0 × 10-2,
щее время в аналитической практике применяются
Ca 3.5 × 10-2. Матрицами для селективных мем-
различные потенциометрические сенсоры на ос-
бранных композиций могут быть не только класси-
нове целого ряда краун-эфиров, в частности, сен-
ческие пластифицированные мембраны на основе
89
90
ЕРМОЛЕНКО и др.
Таким образом, были получены стронций-селек-
тивные сенсоры с мембраной на основе краун-эфи-
ра ДТБДЦГ18К6.
Потенциометрическая измерительная ячейка
имела следующий вид (табл.1).
Исследуемые растворы содержали концентра-
ции от 10-7 до 10-1 М Sr(NO3)2, а также использовали
смешанные растворы нитратов стронция (0.01 М) и
нитратов натрия, калия, кальция и магния (0.1 М)
для определения коэффициентов селективности
стронциевого сенсора. Потенциалы ячеек измеряли
с помощью высокоомного иономера-милливольт-
метра (Mettler Toledo S20). Нитрат стронция имел
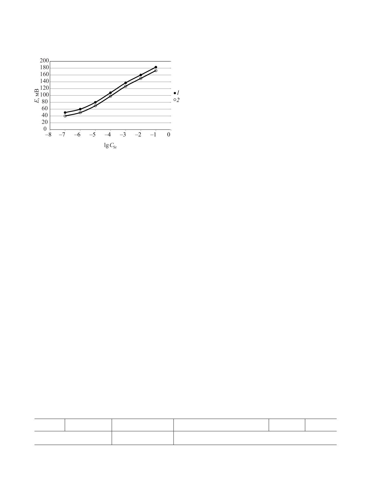
Рис.
1. Электродная функция стронций-селективного
сенсора с двумя типами мембран: 1 - макромембрана, 2 -
квалификацию х.ч., а нитраты натрия, калия, каль-
микромембрана.
ция и магния - ч.д.а.
поливинилхлорида (ПВХ), но и углеродные нано-
трубки, слои графена, полупроводниковые струк-
РЕЗУЛЬТАТЫ И ИХ ОБСУЖДЕНИЕ
туры [9, 10]. Целью настоящего исследования была
разработка потенциометрического сенсора на ионы
Тестирование изготовленных потенциометри-
стронция, который может быть успешно использо-
ческих сенсоров на ионы стронция с пленочными
ван в радиохимической практике.
мембранами на основе краун-эфира ДТБДЦГ18К6
проводили в измерительной ячейке объемом 50 мл.
ЭКСПЕРИМЕНТАЛЬНАЯ ЧАСТЬ
В качестве электрода сравнения использовали
хлорсеребряный электрод с раствором 0.1 М KCl.
Для изготовления стронций-селективного сен-
Для измерения аналитических характеристик ми-
сора были синтезированы пленочные пластифи-
кросенсоров использовали ячейку объемом 0.5 мл и
цированные мембраны на основе краун-эфира
хлорсеребряный капиллярный электрод сравнения.
ди-трет-бутилдициклогексано-18-краун-6 (ДТБД-
Первую серию измерений проводили в чистых
ЦГ18К6). В процессе изготовления мембран к на-
растворах нитратов стронция. На рис. 1 и 2 пока-
веске 900 мг порошка поливинилхлорида (ПВХ)
заны зависимости потенциалов ячеек от логариф-
добавляли 1350 мг пластификатора - 2-нитро-
ма концентрации и активности ионов стронция.
фенилоктилового эфира, 150 мг ДТБДЦГ18К6 и
На рис. 1 показаны градуировочные кривые для
100 мг липофильного компонента - тетрафенил-
макро- и микросенсоров на ионы стронция. Из по-
бората натрия. Приготовленную смесь растворя-
лученных данных видно, что мембраны на основе
ли в 5.0-7.5 мл тетрагидрофурана (ТГФ). После
краун-эфира ДТБДЦГ18К6 показывают высокую
тщательного перемешивания и частичного испаре-
чувствительность к ионам стронция (рис. 1, кри-
ния растворителя смесь компонентов помещали в
вые 1, 2). На рис. 2 показана электродная функция
чашку Петри и выдерживали в эксикаторе в тече-
в координатах Е-lg(aSr) для одного из сенсоров на
ние 20-24 ч. Изготовленная таким образом пленка
стронций с мембраной на основе ДТБДЦГ18К6, с
имела толщину 300-400 мкм. Из пленки вырезали
крутизной, близкой к теоретической (29 мВ/рSr), и
мембраны диаметром 12 мм для макросенсоров и
пределом обнаружения 2 × 10-6 М.
2 мм для микросенсоров и вклеивали полученные
Для последующей серии экспериментов нами
мембраны с помощью ТГФ в торцы ПВХ-трубок.
были выбраны мембраны с лучшими характеристи-
Таблица 1. Потенциометрическая измерительная ячейка
Ag, AgCl
KCl 0.1 M
Sr(NO3)2×10-7-10-1 М
мембрана на основе краун-эфира
0.1 M SrCl2
Ag, AgCl
электрод сравнения
исследуемый раствор
стронций-селективный сенсор
РАДИОХИМИЯ том 65 № 1 2023
СТРОНЦИЙ-СЕЛЕКТИВНЫЕ СЕНСОРЫ С МЕМБР
АНАМИ
91
Рис. 2. Зависимость потенциала от логарифма концентра-
Рис. 3. Электродные функции стронций-селективного
ции (1) или активности (2) для стронций-селективного
сенсора до облучения и после облучения до дозы 10 и
сенсора с макромембраной.
150 кГр.
ками по отношению к иону стронция и измерена их
менения в радиохимических технологиях, их харак-
селективность по отношению к ионам натрия, ка-
теристики были изучены как до, так и после воздей-
лия, кальция, магния в смешанных растворах. На
ствия различных доз ионизирующего излучения. В
основе полученных данных были рассчитаны коэф-
работе был использован источник γ-излучения 60Co
фициенты селективности для сенсора на стронций
(экспериментальная установка К-120000) с интен-
(табл. 2).
сивностью 20 кГр/ч. Две серии образцов сенсоров
Важным параметром, влияющим на применение
(по 4 образца) в результате эксперимента получи-
химических сенсоров в аналитической практике,
ли следующие дозы ионизирующего излучения:
является зависимость потенциалов стронций-селек-
первая - 10 кГр (облучение 0.5 ч), вторая - 150 кГр
тивных мембран от рН измеряемых растворов. Наши
(облучение 7.5 ч). После облучения были выполне-
опыты по изучению влияния pH на стабильность
ны две калибровки сенсоров в растворах нитрата
электродных потенциалов показали, что для сен-
стронция 10-6-10-1 моль/л при pH 2.
соров с мембранами на основе краун-эфира ДТБД-
На рис. 3 показаны электродные функции строн-
ЦГ18К6 в растворах с содержанием 10-1-10-3 моль/л
ций-селективных сенсоров до облучения и после
Sr(NO3)2 наиболее стабильной областью является
облучения в зависимости от дозы. На основе полу-
область pH от 2.0 до 6.5. Образцы стронций-селек-
ченных данных можно сделать вывод, что сенсоры
тивных сенсоров были периодически тестированы
практически сохраняют свою работоспособность
(интервал 3-7 сут) в растворах нитрата стронция
при полученных дозах облучения ≤10 кГр. При
(10-7-10-1 М). Было показано, что в течение 6-8 ме-
более высоких дозах облучения (~150 кГр) элект-
сяцев сохранялся наклон электродной функции в
родная функция стронций-селективных сенсоров
пределах 28 ± 2 мВ/рSr, а предел обнаружения нахо-
существенно ухудшается.
дился в интервале 2 × 10-6-4 × 10-6 М. Погрешность
определения концентрации стронций-селективным
ЗАКЛЮЧЕНИЕ
сенсором составляет 3-4% в интервале концентра-
ций 1 × 10-5-1 × 10-1 М и 8-10% в интервале кон-
Изготовлены потенциометрические строн-
центраций 2 × 10-6-1 × 10-5 М.
Поскольку потенциометрические сенсоры на
ций-селективные сенсоры на основе краун-эфира
стронций были разработаны для возможности при-
ди-трет-бутилдициклогексано-18-краун-6 (ДТБД-
Таблица 2. Коэффициенты селективности для сенсора на стронций
Мешающий ион (M)
K+
Na+
Ca2+
Mg2+
Коэффициент селективности KSr/M
3.2 × 10-3
< 1.0 × 10-3
1.2 × 10-2
8.0 × 10-3
РАДИОХИМИЯ том 65 № 1 2023
92
ЕРМОЛЕНКО и др.
ЦГ18К6) с пленочными ПВХ мембранами. Пока-
СПИСОК ЛИТЕРАТУРЫ
зано, что сенсор с мембраной, содержащей кра-
ун-эфир ДТБДЦГ18К6, обладает практически
1.
Zidan W.I., Ibrahim H.A., Badr Z.F. // J. Radioanal.
теоретической функцией с крутизной 29 мВ/рSr и
Nucl. Chem. 2015. Vol. 303. P. 469-477.
пределом обнаружения 2 × 10-6 моль/л. Измере-
2.
Kalyagin D.S., Smirnov I.V., Karavan M.D., Eremin V.V.,
ны коэффициенты селективности (KSr/X) сенсора к
Verkhovskaya E.A., Kalinin E.O., Ermolenko Yu.E. //
ионам натрия (<1.0 × 10-3), калия (3.2 × 10-3), каль-
Russ. J. Appl. Chem. 2021. Vol. 94. P. 1222-1225.
ция (1.2 × 10-2) и магния (8.0 × 10-3). Определена
3.
Михельсон К.Н., Пешкова М.А. // Успехи химии.
область рабочего диапазона сенсоров: pH 2.0-6.5.
2015. Т. 84, № 6. С. 555-578.
Таким образом, разработанный стронций-селек-
4.
Janata J. Principles of Chemical Sensors. Springer,
тивный сенсор обладает характеристиками, пре-
2009. P. 373.
восходящими ранее известные [7, 8]. Показано, что
сенсоры сохраняют свою работоспособность после
5.
Бречалов А.А., Бабитова Е.С., Тимошенко В.В., Ка-
воздействия ионизирующего излучения (10 кГр) и
лягин Д.С., Смирнов И.В., Ермоленко Ю.Е. // ЖАХ.
могут быть использованы для определения строн-
2023. Т. 78, № 1 (в печати).
ция в аналитических и радиохимических лаборато-
6.
Ozbek O., Isildak O., Gürdere M.B., Cetin A. // Org.
риях.
Commun. 2021. Vol. 14, N 3. P. 228-239.
7.
Голубев В.Н., Пурин Б.А., Гуцол А.Д., Пантелеев В.И.,
ФОНДОВАЯ ПОДДЕРЖКА
Соболев И.А., Хомчик Л.М. А.с. СССР № 987499.
1983.
Работа выполнена при частичной финансовой
8.
Gupta V.K., Ludwig R., Agarwal S. // J. Jpn. Soc. Anal.
поддержке гранта Российского научного фонда
Chem. 2005. Vol. 21, N 3. P. 293-296.
(проект № 20-13-00143).
9.
Zhang H.X., Huang Z.X., Zhao P.Y., Hou Y., Guo J.J.,
Wu Y.C. // Mater. Res. Express. 2019. Vol. 6, N 12.
КОНФЛИКТ ИНТЕРЕСОВ
125095.
Авторы заявляют об отсутствии конфликта ин-
10. Negi G., Goswami-Giri A.S. // Anal. Chem. Lett. 2018.
тересов.
Vol. 8, N 1. P. 25-34.
РАДИОХИМИЯ том 65 № 1 2023