РАДИОХИМИЯ, 2022, том 64, № 6, с. 573-582
УДК 546.79
СОРБЦИЯ Np, Pu, Am, Sr, Cs НА МИНЕРАЛЬНЫХ
ФАЗАХ ПОРОД НИЖНЕКАНСКОГО ГРАНИТОИДНОГО
МАССИВА В УСЛОВИЯХ ПГЗРО
© 2022 г. А. А. Родионоваа, б,*, В. Г. Петрова, И. Э. Власоваа
а Химический факультет Московского государственного университета им. М.В. Ломоносова,
119991, Москва, Ленинские горы, д. 1 стр. 3
б Иститут геохимии и аналитической химии им. В. И. Вернадского РАН, 119991,
Москва, ул. Косыгина, д. 19
*e-mail: skigirla@mail.ru
Поступила в редакцию 11.02.2022, после доработки 29.06.2022, принята к публикации 29.06.2022
Изучены сорбционные свойства минеральных фаз, входящих в состав пород участка «Енисейский»
Нижнеканского гранитоидного массива, по отношению к Np, Pu, Am, Sr, Cs в условиях подземного
захоронения радиоактивных отходов. В результате сорбционных экспериментов были получены
кинетические кривые сорбции, а также определены значения коэффициентов распределения (Kd)
радионуклидов на минеральных фазах. Полученные данные позволили оценить различия в сорбционных
свойствах минералов по отношению к исследованным радионуклидам. Для каждого радионуклида,
за исключением америция, удалось установить наиболее эффективные с точки зрения сорбции
минеральные фазы: для Np(V) - гидроксиапатит и кальцит, для Pu(V) - гидроксиапатит и магнетит, для
Sr(II) - биотит и гидроксиапатит, для Cs(I) - биотит и мусковит. Америций сорбировался количественно
на всех минеральных фазах, за исключением биотита и кварца.
Ключевые слова: сорбция, радионуклиды, минеральные фазы, коэффициенты распределения, цезий,
стронций, америций, плутоний, нептуний, экзоконтакт Нижнеканского гранитоидного массива.
DOI: 10.31857/S0033831122060119, EDN: MGSNIP
ВВЕДЕНИЕ
участок «Енисейский», расположенный в зоне эк-
зоконтакта Нижнеканского гранитоидного массива
В настоящее время в России, как и в большин-
(НГМ). Для обоснования безопасности хранилища
стве стран мира, решается проблема захоронения
первоочередным этапом является создание подзем-
высокоактивных и среднеактивных отходов, содер-
ной исследовательской лаборатории, где наряду с
жащих долгоживущие радионуклиды, в глубокие
геофильтрационными исследованиями свойств по-
геологические формации [1-3]. Перспектива захо-
род планируется изучение миграции радионукли-
ронения радиоактивных отходов в геологических
дов в условиях подземного захоронения [7, 8]. Клю-
структурах, представленных кристаллическими
чевыми процессами, контролирующими мигра-
горными породами, рассматривается российски-
цию радионуклидов, являются процессы сорбции/
ми учеными уже на протяжении 30 лет [4-6]. При
десорбции на вмещающих породах. Породы НГМ
этом основное внимание было сосредоточено на
участка «Енисейский» представляют собой плагио-
изучении крупных гранитоидных тел и толщ до-
и гранито-гнейсы, которые прорваны дайковыми
кембрийских метаморфических пород Южно-Ени-
комплексами долеритов и габбро-диабазов, а также
пронизаны прожилками кварцевого и карбонатного
сейского кряжа на территории Красноярского края.
По результатам предварительных изысканий среди
состава, что указывает на гетерогенность данных
трех рассматриваемых участков «Итатский», «Ка-
пород [9, 10].
менный», «Енисейский» наиболее перспективным
Изучение сорбционных свойств мультимине-
участком для размещения хранилища был выбран ральных кристаллических пород, которые также ха-
573
574
РОДИОНОВА и др.
Таблица 1. Литературные данные по сорбции Np, Pu, Am, Sr, Сs в диапазоне концентраций 10-6-10-11 М на различных
минеральных фазах в условиях водных растворов с рН 7-8, I = 0.01-0.1
lgKd [мл/г]
Минералы
Источники
Np(IV/V)
Pu(IV/V)
Am(III)
Sr(II)
Cs(I)
Каркасные алюмосиликаты
Ж/Т
25-5000
40-2500
70-2000
20-2000
20-2000
Кварц
0.5-1
3
2.7-3
1.2
0-2
[17-23]
К-полевой шпат
1.5
-
3.8
-
0.7-2.3
[22-25]
Na-полевой шпат
0-1.3
-
3.6
-
1.4-2.3
[18, 22-24, 26]
Цеолит
-
2-3
4-5
3.8-4.5
5.3
[27-30]
(синтетический)
Клиноптилолит
1
3
-
3.8
4
[17, 27, 29, 31]
Шабазит
-
-
-
2.9
-
[32]
Слоистые алюмосиликаты
Биотит
1.3-1.9
5
4.3
4
2.8-3.8
[18, 22, 23, 26, 33]
Вермикулит
-
-
-
4.3
5.3
[30]
Хлорит
1-2
-
4.3
-
2-3
[18, 23, 34]
Иллит
2-3
5.4
5-5.5
2.2
2.6-3.5
[21, 23, 35-40]
Фосфаты
Апатит /
3-4
5.5
4
1.6
2
[18, 30, 41, 42]
гидроксиапатит (ГАП)
Карбонаты
Кальцит
2.5-2.7
1.3-3а
4
1.3
1
[18, 23, 43-45]
Fe-содержащие минералы
Магнетит
0-2.8
4-5
4
1.5
1.5
[18, 46-49]
а Значения Kd варьируются в зависимости от степени окисления плутония.
рактеризуются неоднородным рельефом поверхно-
разцов пород. Например, в величину сорбции цезия
сти, является достаточно сложной задачей. В связи
значительный вклад вносят слоистые алюмосили-
с этим в последнее время исследователи все чаще
каты (биотит, мусковит и т.д.) [15]. Наименее эф-
прибегают к комплексному подходу изучения по-
фективными сорбентами в случае Cs, Ra, Am и Pu
ведения радионуклидов в среде кристаллических
являются кварц и полевые шпаты [13]. Наибольшей
пород, который дает возможность установить вклад
эффективностью в отношении сорбции Am обла-
минеральных зерен в удерживание радионуклидов
дает биотит, что было количественно подтвержде-
с точки зрения неоднородности поверхности [11,
но путем дробления цельного образца и измерения
12].
каждой минеральной фракции методом γ-спектро-
метрии [5]. Таким образом, сорбция радионуклида
Сорбционные свойства кристаллических пород
может контролироваться определенным минералом
участка «Енисейский» были изучены в работах
или группой минералов одного класса, присутству-
[13-16]. Помимо определения основных сорбци-
ющими в породе.
онных параметров (коэффициенты распределения,
степени сорбции), полученных из валовых сорбци-
Сорбционные свойств различных минералов по
онных экспериментов, авторами было изучено ми-
отношению к радионуклидам рассмотрены во мно-
крораспределениие радионуклидов на поверхности
гих работах. В табл. 1 представлены коэффициенты
цельных образцов пород посредством цифровой
распределения (Kd) для минералов, которые могут
радиографии. В результате проведенных исследова-
входить в состав пород НГМ участка «Енисейский».
ний авторами отмечается, что сорбция радионукли-
Однако известно, что на значения Kd сильно вли-
дов проходит крайне неравномерно и минеральный
яют условия эксперимента, в том числе значения
состав оказывает значительное влияние на характер
рН растворов, концентрация элемента в растворе,
распределения радионуклидов на поверхности об-
соотношение жидкой и твердой фазы (Ж/Т), удель-
РАДИОХИМИЯ том 64 № 6 2022
СОРБЦИЯ Np, Pu,
Am, Sr, Cs НА МИНЕРАЛЬНЫХ ФАЗАХ
575
Таблица
2. Удельная поверхность использованных для проведения сорбционных экспериментов образцов
минеральных фаз (размер зерен <0.1 мм)
Классификация
Название минерала
Формула
Поверхность, м2
Каркасные силикаты
Кварц
SiO2
0.4
Слоистые силикаты
Мусковит
KAl2[AlSi3O10](OH)2
12.3
Биотит
K(Mg,Fe)3[Si3AlO10][OH,F]2
4.9
Карбонаты
Кальцит
CaCO3
0.2
Фосфаты
Гидроксиапатит(ГАП)
Ca10(PO4)6(OH)2
67.1
Окислы (Fe-содержащие минералы)
Магнетит
FeO·Fe2O3
1.3
ная поверхность сорбентов и их структура. Таким
экзоконтакта НГМ и ранее установленные в рабо-
образом, на основании лишь значений Kd, получен-
тах [10, 13]. Поскольку выделение минеральных
ных из различных валовых сорбционных экспери-
фаз непосредственно из исследуемых образцов
ментов, сложно проанализировать конкурентную
пород участка «Енисейский» технически затруд-
сорбционную способность минеральных фаз в кон-
нено, нами были выбраны аналоги минеральных
кретных условиях подземного захоронения. Для
фаз, входящих в состав пород. Всего в работе было
решения данной проблемы была предложена мето-
рассмотрено шесть минеральных фаз, некоторые из
дика определения количественного параметра от-
них были синтезированными (кварц, гидроксиапа-
носительной эффективности сорбции (ОЭС) ради-
тит (ГАП), магнетит), остальные (мусковит, биотит,
кальцит) имели природное происхождение. Для
онуклидов на минеральных фазах цельных образ-
получения порошков выбранные минералы разма-
цов пород [50, 51]. На основании данных по ОЭС
лывали с использованием шаровой мельницы и вы-
определяли вклад каждого минерала гетерогенной
деляли фракцию с размером зерен меньше 0.1 мм.
системы в удерживание U, Np, Pu, Am, Ra, Cs и вы-
Характеристики минеральных фаз с точки зрения
являли закономерности сорбции радионуклидов на
их классификации, а также значения удельной по-
определенных минеральных фазах различных об-
верхности порошков минеральных фаз, определен-
разцов участка «Енисейский». Для подтверждения
ные методом БЭТ, приведены в табл. 2.
полученных закономерностей сорбции радиону-
клидов в гетерогенных системах и получения па-
Сорбционные эксперименты проводили при
раметров Kd c целью дальнейшего моделирования
комнатной температуре (22 ± 2°С) в пластиковой
посуде в воздушной атмосфере. В качестве жидкой
миграционного поведения радионуклидов необхо-
фазы использовали модельный раствор подземных
димо рассмотреть мономинеральные системы в тех
вод. Раствор готовили путем добавления бентони-
же условиях, в которых исследовались цельные об-
та к дистиллированной воде в соотношении 1 г/л
разцы пород.
(бентонит из месторождения «10-й Хутор», Хака-
Данная работа направлена на изучение сорб-
сия, Россия). Равновесие устанавливалось в тече-
ционных свойств минеральных фаз, входящих в
ние недели, затем воду отделяли от осадка при цен-
состав скальных пород зоны экзоконтакта НГМ
трифугировании (15000 об/мин) в течение 20 мин.
участка «Енисейский», по отношению к Np, Pu,
Концентрация основных компонентов в модельном
Am, Sr, Cs для получения параметров Kd и установ-
растворе (мг/л) была следующей: Ca2+ 2.4, Mg2+ 1.9,
ления закономерностей сорбции радионуклидов на
Na+ 16.9, Al3+ 6.8; Si4+ 19.5. В соответствии с данны-
рассматриваемых минералах.
ми концентрацями ионная сила раствора составля-
ла 0.01 моль/л. Далее к приготовленным модельным
ЭКСПЕРИМЕНТАЛЬНАЯ ЧАСТЬ
растворам по отдельности добавляли радионукли-
ды 237,239Np, 239,240Pu, 241Am, 90Sr/90Y, 137Cs с началь-
Для проведения валовых сорбционных экспери-
ной концентрацией в растворе 10-9 моль/л. Исход-
ментов рассматривались минеральные фазы, вхо-
ная удельная активность растворов (A, Бк/л) с мет-
дящие в состав пород участка «Енисейский» зоны
ками 239Np, 240Pu, 241Am, 90Sr/90Y, 137Cs составила
РАДИОХИМИЯ том 64 № 6 2022
576
РОДИОНОВА и др.
тилляционной спектрометрии (Tri-Carb 2810 TR,
Canberra и Quantulus 1220, PerkinElmer).
Степень извлечения (R, %) радионуклидов рас-
считывали исходя из следующего соотношения:
I
0
I
t
R
I
0
,
где I0, имп/мин - скорость счета радионуклида в ис-
ходном растворе; It, имп./мин - скорость счета ра-
дионуклида в растворе в момент времени t.
Для каждой минеральной фазы определяли ко-
эффициенты распределения (Kd, мл/г) изученных
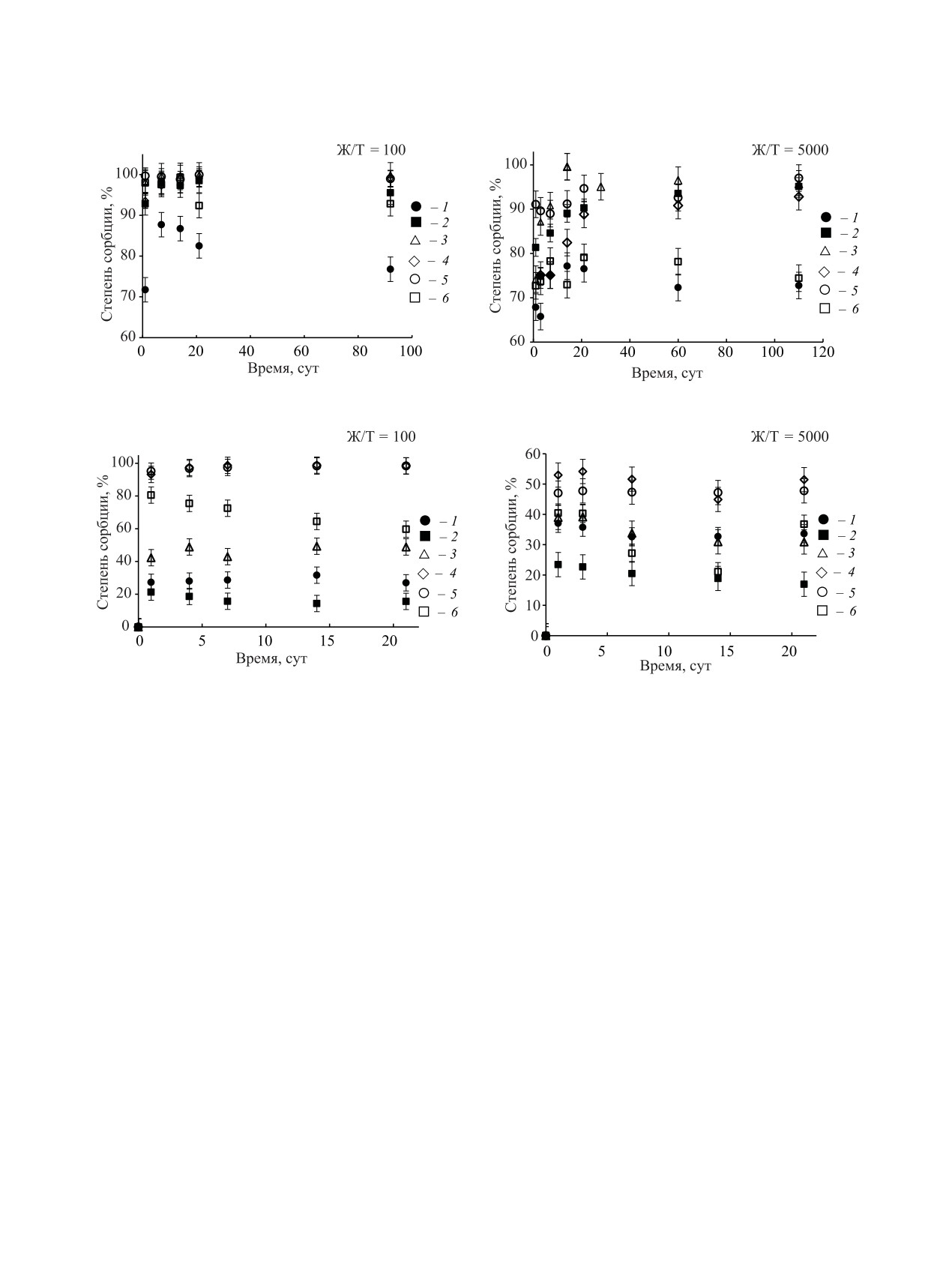
Рис. 1. Сорбция Np(IV/V) на минеральных фазах: 1 -
радионуклидов исходя из следующего соотноше-
кварц, 2 - мусковит, 3 - биотит, , 4 - магнетит, 5 - кальцит,
6 - гидроксиапатит. Ж/Т (мл/г) = 100, модельный раствор
ния:
подземных вод, рН 7-8, I = 0.01 М.
I
I
V
0
K
d
,
I
m
1.3 × 106, 2.2 × 103, 3.3 × 104, 4.5 × 105, 3 × 105 соот-
ветственно. Значение рН растворов поддерживали
где I0, имп./мин - скорость счета радионуклида
в интервале 7-8 путем добавления растворов NaOH
в исходном растворе; I, имп/мин - скорость сче-
и НCl. Эксперименты проводились при соотноше-
та радионуклида в момент равновесия системы;
V, мл - объем раствора; m, г - масса образца мине-
ниях Ж/Т (объем жидкой фазы раствора/масса твер-
рала, контактирующего с раствором.
дой фазы сорбента) 100 и 5000 мл/г. Достижение
равновесия контролировали путем периодического
РЕЗУЛЬТАТЫ И ИХ ОБСУЖДЕНИЕ
отбора аликвот объемом 100-500 мкл из растворов.
В случае Np отбор аликвот проводили в течение
В результате сорбционных экспериментов на
недели из-за короткого периода полураспада 239Np.
порошках минералов были получены кинетиче-
В остальных случаях время отбора варьировали от
ские кривые сорбции радионуклидов Np(IV/V),
суток до месяца/трех месяцев по мере наступления
Pu(IV/V), Am(III), Sr(II), Cs(I) (рис. 1-5). Полу-
равновесия. Активность аликвот 90Sr/90Y измеряли
ченные коэффициенты распределения приведены
по прошествии 20 сут для установления равнове-
в табл. 3. На рис. 6 коэффициенты распределения
сия между 90Sr и 90Y. Содержание радионуклидов
Np(IV/V), Pu(IV/V), Am(III), Sr(II), Cs(I) на мине-
в растворах определяли методом жидкостно-сцин-
ральных фазах по литературным данным (табл. 1)
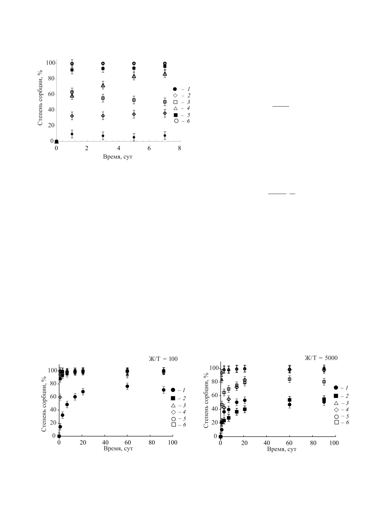
Рис. 2. Сорбция Pu(IV/V) при различных соотношениях Ж/Т на минеральных фазах: 1 - кварц, 2 - кальцит, 3 - магнетит,
4 - мусковит, 5 - гидроксиапатит, 6 - биотит. Модельный раствор подземных вод, рН 7-8, I = 0.01 М.
РАДИОХИМИЯ том 64 № 6 2022
СОРБЦИЯ Np, Pu,
Am, Sr, Cs НА МИНЕРАЛЬНЫХ ФАЗАХ
577
Рис. 3. Сорбция Am(III) при различных соотношениях Ж/Т на минеральных фазах: 1 - кварц, 2 - кальцит, 3 - магнетит,
4 - мусковит, 5 - гидроксиапатит, 6 - биотит. Модельный раствор подземных вод, рН 7-8, I = 0.01 М.
Рис. 4. Сорбция Sr(II) при различных соотношениях Ж/Т на минеральных фазах: 1 - кварц, 2 - кальцит, 3 - магнетит,
4 - мусковит, 5 - гидроксиапатит, 6 - биотит. Модельный раствор подземных вод, рН 7-8, I = 0.01 М.
сопоставлены со значениями, полученными в ре-
гидроксиапатит > кальцит > магнетит > биотит >
зультате сорбционных экспериментов, по возмож-
мусковит > кварц с соответствующими значениями
ности при близких соотношениях Ж/Т.
Kd, мл/г: 5.4 × 104, 1.4 × 103, 258, 125, 49, 8. Высокая
сорбционная способность минералов групп фосфа-
При изучении кинетики сорбции нептуния,
для которого характерной степенью окисления
тов (ГАП) и карбонатов (кальцит) по отношению к
в заданных условиях является +5, отмечено, что
нептунию объясняется образованием комплексов
практически для всех минералов равновесие
нептунил-ионов (NpO+) с анионами PO43- и CO32-
достигается в течение недели, за исключением
на поверхности данных минералов [41, 54]. При
магнетита и биотита. Такое поведение, возмож-
сравнении значений Kd нептуния на минералах из
но, связано с медленным восстановлением неп-
сорбционных экспериментов со значениями Kd из
туния в присутствии Fe(II)-содержащих мине-
литературных данных (рис. 6) можно отметить схо-
ральных фаз [52]. При этом в работе [53] авторы
димость значений в пределах одного порядка для
указывают на то, что Np(V) восстанавливается не
кварца и магнетита, в случае с апатитом значения
в жидкой фазе, а на поверхности минерала. Ис-
практически совпадают. Стоит также подчеркнуть
ходя из данных кинетических кривых сорбции
и то, что полученные данные по Kd из сорбцион-
нептуния (рис. 1) была установлена различная
ных мономинеральных экспериментов согласуются
сорбционная эффективность минеральных фаз.
с ранее полученными данными по относительной
По эффективности сорбции нептуния минераль-
эффективности сорбции (ОЭС) нептуния на мине-
ные фазы располагаются в следующем порядке:
ралах цельных образцов из работы [51], где мине-
РАДИОХИМИЯ том 64 № 6 2022
578
РОДИОНОВА и др.
Рис. 5. Сорбция Cs(I) при различных соотношениях Ж/Т на минеральных фазах: 1 - кварц, 2 - кальцит, 3 - магнетит,
4 - мусковит, 5 - гидроксиапатит, 6 - биотит. Модельный раствор подземных вод, рН 7-8, I = 0.01 М.
рал группы фосфатов - монацит является наиболее
исходит его восстановление до Pu(IV) на поверх-
эффективной фазой по отношению к нептунию
ности твердых фаз [55, 56]. Таким образом, для Pu
(ОЭС = 2.3), а биотит обладает средними сорбци-
в системе возможно наличие двух степеней окис-
онными свойствами со значением ОЭС, равным 1.4.
ления. В целом полученные значения Kd Pu из мо-
номинеральных экспериментов согласуются как с
В случае Pu и Am (рис. 2, 3) при соотношении
Ж/Т 100 практически для всех минералов наблюда-
литературными данными (рис. 6), так и с данными
лась быстрая и количественная сорбция. Исключе-
по ОЭС из работы [57], где показано, что наиболее
эффективными фазами по отношению к Pu являют-
ние составляет фаза кварца, которая оказалась ме-
нее эффективной по отношению к данным нукли-
ся Fe-содержащие минералы (магнетит, ильменит)
дам, при этом в системе с Am сорбционное равнове-
и фосфаты (апатит). В случае слоистых минералов
сие даже в течение 90 сут так и не было достигнуто.
отмечена небольшая разница, по данным ОЭС [57]
Таким образом, исходя из данных, полученных при
мусковит и биотит обладают средними сорбцион-
соотношении Ж/Т 100, сделать вывод о различии
ными свойствами (ОЭС = 1.4-1.5) по отношению
сорбционных свойств сложно. Увеличение соотно-
к Pu, тогда как значения Kd для биотита в мономи-
шения Ж/Т до 5000 позволило установить некото-
неральных экспериментах (рис. 6) могут достигать
рые различия в поведении Pu и Am по отношению к
104-105 мл/г, что указывает на высокую эффектив-
различным минералам.
ность сорбции, сравнимую с эффективностями для
фосфатов (апатит/ГАП) и Fe-содержащего минера-
При соотношении Ж/Т 5000 (рис. 2) была отме-
ла магнетита.
чена разница в кинетике сорбции Pu на слоистых
алюмосиликатах биотите и мусковите. Из получен-
Для Am увеличение соотношения Ж/Т до 5000
ных данных следует, что вначале сорбция на био-
не является показательным (рис. 3), так как в дан-
тите проходит быстрее, чем на мусковите, затем по
ном случае количественная сорбция (Kd ~105) аме-
мере наступления равновесия сорбционная способ-
риция характерна для всех минеральных фаз, за ис-
ность мусковита по отношению к Pu становится
ключением биотита и кварца с коэффициентами 104
выше, чем у биотита, со значениями Kd, равными
и 103 мл/г соответственно (табл. 3). На основании
105 и 104 мл/г соответственно (табл. 3). Преимуще-
литературных данных (табл. 1) также сложно сде-
ственными фазами сорбции Pu оказались гидрок-
лать вывод о наиболее эффективных минеральных
сиапатит и магнетит, для которых наблюдаются
фазах, сорбирующих Am, так как данный радиону-
значения Kd порядка 106 мл/г. Наименьшей сорб-
клид в равной степени удерживается практически
ционной способностью обладают кварц и кальцит
на всех минеральных группах, за исключением кар-
(Kd = 103 мл/г). Стоит отметить, что изначально при
касных силикатов (кварц, полевые шпаты). В то же
приготовлении водных растворов плутоний нахо-
время при изучении микрораспределения Am по
дился в степени окисления +5. Однако известно,
минеральным фазам было установлено, что преи-
что при взаимодействии Pu(V) с минералами про-
мущественными фазами, удерживающими Am, яв-
РАДИОХИМИЯ том 64 № 6 2022
СОРБЦИЯ Np, Pu,
Am, Sr, Cs НА МИНЕРАЛЬНЫХ ФАЗАХ
579
7
7
6
6
5
5
4
4
3
3
2
2
1
1
0
0
кварц биотит апатит/ГАП кальцит магнетит
кварц биотит апатит/ГАП кальцит магнетит
Am(III) табл.1 Am(III) эксп.
Sr(II) табл.1
Np(IV/V) табл.1 Np(IV/V) эксп. Pu(IV/V) табл.1
Pu(IV/V) эксп.
Sr(II) эксп.
Cs(I) табл.1
Cs(I) эксп.
Рис. 6. Сравнение полученных значений коэффициентов распределения Np(IV/V), Pu(IV/V), Am(III), Sr(II), Cs(I) на мине-
ральных фазах (табл. 3) при соотношении Ж/Т 100 с литературными значениями (табл. 1).
ляются магнетит и апатит со значениями ОЭС, рав-
ных минеральных фаз значения Kd значительно уве-
ными 2 [51, 57].
личились при соотношении Ж/Т 5000 по сравнению
с Ж/Т 100, что привело к схожим значениям Kd в
При изучении сорбции Sr в системах с различ-
случае биотита, кварца и магнетита (табл. 3). Таким
ными соотношениями Ж/Т наблюдаются расхожде-
ния в сорбционных свойствах минералов (рис. 4).
образом, в случае Sr разница в сорбционных свой-
ствах минеральных фаз более отчетливо наблюдает-
Степень сорбции Sr на кварце при соотношении
ся при соотношении Ж/Т 100. Также при сравнении
Ж/Т 5000 резко возрастает по сравнению с сорбци-
значений Kd Sr, полученных из мономинеральных
ей при соотношении Ж/Т 100. Стоит отметить, что
экспериментов при соотношении Ж/Т 100, с лите-
для наиболее сорбционно-эффективных минераль-
ратурными данными (рис. 6) можно отметить, что
ных фаз - биотита и гидроксиапатита - значения Kd
практически для всех рассмотренных минеральных
не изменяются в зависимости от соотношения Ж/Т
и составляют порядка 103 мл/г (табл. 3). Высокая
фаз значения Kd совпадают в пределах одного по-
рядка, за исключением фосфата (апатита/ГАП).
сорбционная эффективность данных минералов
объясняется сорбцией по механизму ионного обме-
Для Cs (рис. 5), как для Sr, наблюдается разница
на, характерному для Sr, хотя авторы не исключают
в сорбционных свойствах минеральных фаз при со-
возможность реализации механизма комплексо-
отношениях Ж/Т 100 и 5000. Видно, что все значе-
образования на поверхности [58, 59]. Для осталь-
ния степени сорбции при Ж/Т 5000 увеличились, в
Таблица 3. Коэффициенты распределения радионуклидов на минеральных фазах в модельных растворах подземных
вод с рН 7-8, I = 0.01 М, концентрация радионуклидов 10-9 M
lgKd [мл/г]
Минералы
Ж/Т = 100
Ж/Т = 5000
Np
Pu
Am
Sr
Cs
Pu
Am
Sr
Cs
Кварц
0.9
2.3
3.3
1.6
1.9
3
3.1
3.4
4
Мусковит
1.7
>6
6
3.8
3.4
5
4.7
3.7
4.6
Биотит
2.1
4.5
6
2.2
4
4.1
4
3.5
5.3
Кальцит
3.1
3.8
6
1.2
0
3.1
5
2.8
4
Гидроксиапатит
3.7
>6
5.1
3.8
0.8
6
5.2
3.8
4
Магнетит
2.4
>6
6
2
2.1
6
5
3.4
3.8
РАДИОХИМИЯ том 64 № 6 2022
580
РОДИОНОВА и др.
особенности для кварца, гидроксиапатита, кальци-
Полученные нами коэффициенты распределения
та и магнетита, которые при соотношении Ж/Т 100
исследуемых радионуклидов также хорошо согла-
показали низкую сорбцию. Однако, несмотря на
суются с ранее полученными данными по относи-
разницу в результатах при разных соотношениях
тельной эффективности сорбции минералов цель-
Ж/Т, для цезия преимущественными фазами сорб-
ных образцов пород.
ции и в том, и в другом случае оказались слоистые
алюмосиликаты мусковит и биотит со значениями
ФОНДОВАЯ ПОДДЕРЖКА
Kd 103-104 мл/г (табл. 3), что также подтверждает-
ся данными по значениям ОЭС [51]. Данные ми-
Работа выполнена при поддержке гранта
нералы обладают кристаллографической слоистой
РНФ № 19-73-20051 (эксперименты по сорбции)
структурой с наличием ионообменных центров,
и
при выполнении государственного задания
которые принимают непосредственное участие в
Института геохимии и аналитической химии
сорбции цезия [60]. Достаточно быстрое достиже-
им. В. И. Вернадского РАН в части подготовки и
ние равновесия в системе также указывает на ме-
характеризации минеральных фаз.
ханизм ионного обмена (рис. 5). Как и в случае со
Sr, для Cs при соотношении Ж/Т 100 наблюдается
КОНФЛИКТ ИНТЕРЕСОВ
сходимость значений Kd из мономинеральных экс-
периментов с литературными значениями (рис. 6)
Авторы заявляют об отсутствии конфликта ин-
практически для всех рассмотренных минеральных
тересов.
фаз. Исключение составляет фаза фосфата - апати-
та/ГАП, для которой значения Kd различаются на
СПИСОК ЛИТЕРАТУРЫ
порядок, что скорее связано с различной природой
исследуемых фосфатов. В наших исследованиях мы
1.
McKinley I.G., Russell A.W., Blaser P.C. // Radioact.
изучали синтетический ГАП, тогда как в литературе
Environ. 2007. Vol. 9. P. 41.
речь идет о природном минерале [30].
https://doi.org/10.1016/S1569-4860(06)09003-6
2.
Geological Disposal Facilities for Radioactive Waste
ЗАКЛЮЧЕНИЕ
Specific Safety Guide. Vienna: IAEA, 2011. P. 124.
3.
Цебаковская Н.С., Уткин С.С., Капырин И.В., Ме-
На основании полученных данных по степени
дянцев Н.В., Шамина А.В. Обзор зарубежных прак-
извлечения и коэффициентам распределения Np,
тик захоронения ОЯТ и РАО. М.: Комтехпринт, 2015.
Pu, Am, Sr, Cs на минеральных фазах проведен
208 c.
сравнительный анализ сорбционных свойства ми-
4.
Anderson E.B., Shabalev S.I., Savonenkov V.G.,
нералов, входящих в состав пород участка «Ени-
Lyubtseva E.F., Rogozin Yu.M. // MRS Online Proc.
Library. 1999. Vol. 556, N 3. P. 543.
сейский» зоны НГМ в условиях подземного захоро-
https://doi.org/10.1557/PROC-556-543
нения. Для каждого радионуклида, за исключением
5.
Anderson E.B., Rogozin Yu. M., Smirnova E.A.,
Am, удалось установить наиболее эффективные
Bryzgalova R.V., Andreeva N.R., Malimonova S.I.,
минеральные фазы: для Np(V) - гидроксиапатит и
Shabalev S.I.,
Fujiwara Ai, Tochiyama O.
//
кальцит, для Pu(V) - гидроксиапатит и магнетит, для
Radiochemistry. 2007 Vol. 49, N 3. P. 305.
Sr(II) - биотит и гидроксиапатит, для Cs(I) - биотит
https://doi.org/10.1134/S1066362207030186
и мусковит. Америций сорбировался количественно
6.
Андерсон Е.Б., Белов С.В., Камнев Е.Н., Колесни-
на всех минеральных фазах при различных соотно-
ков И.Ю., Лобанов Н.Ф., Морозов В.Н., Татари-
шениях Ж/Т (100 и 5000 мл/г), за исключением био-
нов В.Н. Подземная изоляция радиоактивных отхо-
тита и кварца, поэтому установить преимуществен-
дов. М.: Горная книга, 2011. 592 c.
ные фазы в данном случае не удалось. В случае Pu
7.
Абрамов А.А., Большов. Л.А., Дорофеев А.Н.,
увеличение соотношения Ж/Т до 5000 позволило
Игин И.М., Казаков К.С., Красильников В.Я., Лин-
установить разницу в сорбционных свойствах ми-
ге И.И., Трохов Н.Н., Уткин С.С. // Радиоактивные
нералов, что, возможно, связано с различной сорб-
отходы. 2020. Т. 10, № 1. С. 9.
ционной емкостью исследуемых минеральных фаз.
https://doi.org/10.25283/2587-9707-2020-1-9-21.
РАДИОХИМИЯ том 64 № 6 2022
СОРБЦИЯ Np, Pu,
Am, Sr, Cs НА МИНЕРАЛЬНЫХ ФАЗАХ
581
8.
Igin V., Krasilnikov V. // MRS Adv. 2020. Vol. 5, N 5-6.
Martin A. // Radiochim. Acta. 2016. Vol. 104, N 8.
P. 275.
P. 575.
https://doi.org/10.1557/adv.2020.56
https://doi.org/10.1515/ract-2016-2574
9.
Кочкин Б.Т. // Радиоактивные отходы. 2019. Т. 7, № 2.
23. Kónya J., Nagy N.M., Nemes Z. // J. Colloid Interface
С. 76.
Sci. 2005. Vol. 290, N 2. P. 350.
https://doi.org/10.25283/2587-9707-2019-2-76-91
https://doi.org/10.1016/j.jcis.2005.04.082
10. Петров В.А., Полуэктов В.В., Хаммер Й.Р., Цула-
24. Torstenfelt B., Rundberg R.S., Mitchell A.J. // Radiochim.
уф Г. // Горный журн. 2015. № 10. C. 67.
Acta. 1988. Vol. 44-45, N 1. P. 111.
https://doi.org/10.17580/gzh.2015.10.13
https://doi.org/10.1524/ract.1988.4445.1.111
11. Demnitz M., Molodtsov K., Schymura S., Schiertz A.,
25. Allard B., Kipatsi H., Liljenzin J.O. // J. Inorg. Nucl.
Chem. 1980. Vol. 42, N 7. P. 1015.
Muller K., Jankovsky F., Havlova V., Stumpf T.,
https://doi.org/10.1016/0022-1902(80)80394-0
Schmidt M. // J. Hazard Mater. 2022. Vol. 423. 127006.
https://doi.org/10.1016/j.jhazmat.2021.127006
26. Allard B, Beall G.W., Krajewski T. // Nucl. Technol.
1980. Vol. 49, N 3. P. 474.
12. Yuan T., Schymura S., Bollermann T., Molodtsov K.,
https://doi.org/10.13182/NT80-A17695
Chekhonin P., Schmidt M., Stumpf T., Fischer C. //
Environ. Sci. Technol. 2021. Vol. 55, N 23. P. 15797.
27. Rajec P., Macášek F., Misaelides P.
// Natural
https://doi.org/10.1021/acs.est.1c04413
Microporous Materials in Environmental Technology:
vol. 362 of NATO Science Ser. Dordrecht: Springer,
13. Vlasova I., Petrov V., Kuzmenkova N., Kashtanov A.,
1999. P. 353.
Petrov V., Poluektov V., Kalmykov S., Hammer J. // MRS
https://doi.org/10.1007/978-94-011-4499-5_25
Adv. 2016. Vol. 1, N 61. P. 4061.
28. Ishihara Y., Mimura H., Akiba K. // J. Nucl. Sci. Technol.
https://doi.org/10.1557/adv.2017.190
1991. Vol. 28, N 2. P. 144.
14. Петров В.Г., Власова И.Э, Kузьменкова Н.В., Калмы-
https://doi.org/10.1080/18811248.1991.9731333
ков С.Н. // Горный журн. 2015. № 10. С. 84.
29. Marinin D.V., Brown G.N. // Waste Manag.
2000.
https://doi.org/10.17580/gzh.2015.10.15
Vol. 20, N 7. P. 545.
15. Konevnik Yu.V., Zakharova E.V., Martynov K.V.,
https://doi.org/10.1016/S0956-053X(00)00017-9
Andryushchenko N.D., Proshin I.M. // Radiochemistry.
30. Andryushchenko N.D., Safonov A.V., Konevnik Y.V.,
2017. Vol. 59, N 3. P. 313
Kondrashova A.A., Proshin I.M., Zakharova E.V.,
https://doi.org/10.1134/S106636221703016X
Babich T.L., Ivanov P.V.
// Radiochemistry.
2017.
16. Rozov K.B., Rumynin V.G., Nikulenkov A.M.,
Vol. 59, N 4. P. 414.
Leskova P.G. // J. Environ. Radioact. 2018. Vol. 192.
https://doi.org/10.1134/S1066362217040154
P. 513.
31. Elizondo N.V., Ballesteros E., Kharisov B.I. // Appl.
https://doi.org/10.1016/j.jenvrad.2018.08.001
Radiat. Isot. 2000. Vol. 52, N 1. P. 27.
17. Bertetti
F.P.,
Pabalan R.T., Turner D.R.,
https://doi.org/10.1016/S0969-8043(99)00110-4
Almendarez M.G. // MRS Online Proc. Library. 1995.
32. Кузнецов Ю.В., Щебетковскии В.Н., Трусов А.Г. Ос-
Vol. 412, N 4. P. 631.
новы очистки воды от радиоактивных загрязнении.
https://doi.org/10.1557/PROC-412-631
М.: Атомиздат, 1974. 360 c.
18. Allard B. // Sorption of actinides in granitic rock: Report.
33. Söderlund M., Ervanne H., Muuri E., Lehto J. //
Gothenburg: Chalmers Univ. of Technology. S-41296.
Geochem. J. 2019. Vol. 53, N 4. P. 223.
P. 70.
https://doi.org/10.2343/geochemj.2.0561
19. Moulin V., Stammose D. // MRS Online Proc. Library.
34. Grutter A., Von Gunten H.R., Rossler E. // Clays Clay
1988. Vol. 127. P. 723.
Miner. 1986. Vol. 34, N 6. P. 677.
https://doi.org/10.1557/PROC-127-723
https://doi.org/10.1346/CCMN.1986.0340609
35. Nagasaki S., Riddoch J., Saito T., Goguen J., Walker A.,
20. Allard B., Beall G.W. // J. Environ. Sci. Health. Part A:
Yang T.T. // J. Radioanal. Nucl. Chem. 2017. Vol. 313,
Environ. Sci. Eng. 1979. Vol. 14, N 6. P. 507-518.
N 1. P. 1.
https://doi.org/10.1080/10934527909374895
https://doi.org/10.1007/s10967-017-5290-2
21. Nemes Z., Nagy N.M., Komlósi A., Kónya J. // Appl.
36. Marsac R., Banik N.L., Lützenkirchen J., Marqu-
Clay Sci. 2006. Vol. 32, N 3-4. P. 172.
ardt C.M., Dardenne K., Schild D., Rothe J., Dias-
https://doi.org/10.1016/j.clay.2005.12.004
corn A., Kupcik T., Schafer T., Geckeis H. // Geochim.
22. Muuri E., Ikonen J., Matara-aho M., Linberg A.,
Cosmochim. Acta. 2015. Vol. 152. P. 39.
Holgersson S., Voutilainen M., Siitari-Kauppi M.,
https://doi.org/10.1016/j.gca.2014.12.021
РАДИОХИМИЯ том 64 № 6 2022
582
РОДИОНОВА и др.
37. Banik N.L., Marsac R., Lützenkirchen J., Diascorn A.,
50. Rodionova A.A., Petrov V.G., Vlasova I.E.,
Bender Kerstin, Marquardt C.M., Geckeis H. // Environ.
Kalmykov S.N., Petrov V.A., Poluektov V.V., Hammer J. //
Sci. Technol. 2016. Vol. 50, N 4. P. 2092.
Perspect. Sci. 2019. Vol. 12. 100406.
https://doi.org/10.1021/acs.est.5b05129
https://doi.org/10.1016/j.pisc.2019.100406
38. Degueldre C., Ulrich H.J., Silby H. // Radiochim. Acta.
51. Petrov V.G., Vlasova I.E., Rodionova A.A., Yapas-
1994. Vol. 65, N 3. P. 173.
https://doi.org/10.1524/ract.1994.65.3.173
kurt V.O., Korolev V.V., Petrov V.A., Poluektov V.V.,
39. Bradbury M.H., Baeyens B. // Geochim. Cosmochim.
Hammer J., Kalmykov S.N. // Appl. Geochem. 2019.
Acta. 2009. Vol. 73, N 4. P. 1004.
Vol. 100. P. 90.
https://doi.org/10.1016/j.gca.2008.11.016
https://doi.org/10.1016/j.apgeochem.2018.11.007
40. Rajec P., Mátel L., Orechovská J., Sucha J., Novak I. //
52. Bidoglio G., Avogadro A., De Plano A. // Mater. Res.
J. Radioanal. Nucl. Chem. 1996. Vol. 208, N 2. P. 477-
Soc. Symp. Proc. 1986. Vol. 50. P. 709.
486.
https://doi.org/10.1007/BF02040065
https://doi.org/10.1557/proc-50-709
41. Moore R.C., Holt K., Zhao H., Hasan A., Awwad N.,
53. Nakata K., Nagasaki S., Tanaka S., Sakamoto Y.,
Gasser M., Sanchez C. // Radiochim. Acta.
2003.
Tanaka T., Ogawa H. // Radiochim. Acta. 2002. Vol. 90.
Vol. 91, N 12. P. 721.
P. 665.
https://doi.org/10.1524/ract.91.12.721.23417
https://doi.org/10.1524/ract.2002.90.9-11_2002.665
42. Moore R.C., Gasser M., Awwad N., Holt K.C.,
54. Heberling F., Scheinost A.C., Bosbach D. // J. Contam.
Salas F.M., Hasan A., Hasan M.A., Zhao H.,
Sanchez C.A. // J. Radioanal. Nucl. Chem.
2005.
Hydrol. 2011. Vol. 124. P. 50.
Vol. 263, N 1. P. 97.
https://doi.org/10.1016/j.jconhyd.2011.02.002
https://doi.org/10.1007/s10967-005-0019-z
55. Sanchez A.L., Murray J.W., Sibley T.H. // Geochim.
43. Heberling F., Brendebach B., Bosbach D. // J. Contam.
Cosmochim. Acta. 1985. Vol. 49, N 11. P. 2297.
Hydrol. 2008. Vol. 102, N 3-4. P. 246.
56. Keeney-Kennicutt W.L., Morse J.W.
// Geochim.
https://doi.org/10.1016/j.jconhyd.2008.09.015
Cosmochim. Acta. 1985. Vol. 49, N 12. P. 2577-2588.
44. Zavarin M., Roberts S., Hakem N., Sawvel A.M.,
Kersting A.B. // Radiochim. Acta. 2005. Vol. 93. P. 93.
https://doi.org/10.1016/0016-7037(85)90127-9
https://doi.org/10.1524/ract.93.2.93.59413
57. Rodionova A.A., Petrov V.G., Vlasova I.E.,
45. Bellenger J.P., Staunton S. // J. Environ. Radioact. 2008.
Yapaskurt V.O., Kalmykov S.N., Petrov V.A, Polu-
Vol. 99, N 5. P. 831.
ektov V.V., Hammer J., Kalmykov S.N. // Radiochemistry.
https://doi.org/10.1016/j.jenvrad.2007.10.010
46. Tochiyama O., Endo S., Inoue Y. // Radiochim. Acta.
2019. Vol. 61, N 1. P. 37.
1995. Vol. 68, N 2. P. 105.
58. Lee S.S., Fenter P., Park C., Sturcchio N.C., Nagy K.L. //
https://doi.org/10.1524/ract.1995.68.2.105
Langmuir. 2010. Vol. 26, N 22. P. 16647.
47. Powell B.A., Fjeld R.A., Kaplan D.I., Coates J.T.,
https://doi.org/10.1021/la1032866
Serkiz S.M. // Environ. Sci. Technol. 2004. Vol. 38,
59. Lazić S., Vuković Z. // J. Radioanal. Nucl. Chem.
N 22. P. 6016.
https://doi.org/10.1021/es049386u
Articles. 1991. Vol. 149, N 1. P. 161.
48. Pablo J., Rovira M., Giménez J., Cases I., Clarens F. //
https://doi.org/10.1007/BF02053724
MRS Online Proc. Library. 2008. Vol. 1107, N 1. P. 593.
60. McKinley J.P., Zachara J.M., Heald S.M., Dohnal-
https://doi.org/10.1557/PROC-1107-593
kova A., Newville M.G., Sutton S.R. // Environ. Sci.
49. Todorovic M., Milonjic S.K., Comor J.J., Gal I.J. // Sep.
Sci. Technol. 1992. Vol. 27, N 5. P. 671.
Technol. 2004. Vol. 38, N 4. P. 1017.
https://doi.org/10.1080/01496399208018910
https://doi.org/10.1021/es034569m
РАДИОХИМИЯ том 64 № 6 2022