РАДИОХИМИЯ, 2022, том 64, № 4, с. 382-388
УДК 544.653.2
ЭЛЕКТРОХИМИЧЕСКОЕ ОКИСЛЕНИЕ В
ВОДНЫХ РАСТВОРАХ ОРГАНИЧЕСКИХ
КОМПЛЕКСООБРАЗУЮЩИХ
И ПОВЕРХНОСТНО-АКТИВНЫХ ВЕЩЕСТВ
© 2022 г. П. Г. Зеленина, В. В. Милютина,*, А. Ф. Селиверстова, В. М. Бахирб
а Институт физической химии и электрохимии им. А.Н. Фрумкина РАН,
119071, Москва, Ленинский пр., д. 31, корп. 4
б Институт электрохимических систем и технологий Витольда Бахира,
123423, Москва, ул. Народного Ополчения, д. 34, стр. 3
*e-mail: vmilyutin@mail.ru
Поступила в редакцию 05.07.2021, после доработки 09.11.2021, принята к публикации 16.11.2021
Изучено электрохимическое окисление (ЭХО) водных растворов органических комплексообразующих
[этилендиаминтетрауксусной
кислоты
(ЭДТА), нитрилотриуксусной
кислоты
(НТА),
диэтилентриаминпентауксусной кислоты (ДТПА)] и поверхностно-активных веществ
(ПАВ)
[додецилбензолсульфоната натрия (анионогенный ПАВ) и ОП-10 (неионогенный ПАВ)] с
использованием проточного электрохимического модульного элемента МБ-11Т-06. Показано, что при
ЭХО растворов комплексонов степень их окисления достигает 95%. Введение в исходные растворы
хлорид-ионов в количестве до 1 г/дм3 увеличивает скорость ЭХО комплексонов примерно в 3 раза. При
ЭХО растворов ПАВ в присутствии 1 г/дм3 хлорид-ионов удаляется более 99% анионогенных ПАВ и
около 85% неионогенных ПАВ. Электрохимическая обработка растворов, содержащих комплексоны
и хлорид-ионы, повышает эффективность сорбционной очистки растворов от радионуклидов 137Cs
на ферроцианидном сорбенте ФНС на 1-2 порядка и от 152Eu на сульфокатионите - на 4-5 порядков.
Эффективность соосаждения 152Eu с осадком гидроксида железа(III) после ЭХО увеличиваются на
3 порядка. Сделан вывод о высокой перспективности метода ЭХО для удаления различных органических
комплексообразующих и поверхностно-активных веществ из водных растворов, в том числе из жидких
радиоактивных отходов.
Ключевые слова: электрохимическое окисление, проточный электрохимический элемент,
комплексообразующие вещества, ПАВ, радиоактивные отходы.
DOI: 10.31857/S0033831122040062, EDN: FRQENS
ВВЕДЕНИЕ
Негативное влияние этих соединений при очистке
ЖРО сорбционными и осадительными методами
Важной проблемой радиохимической отрас-
связано с образованием прочных, трудноудаляемых
ли является переработка жидких радиоактивных
комплексов радионуклидов с соответствующими
отходов (ЖРО). Особую сложность представляет
лигандами. В работе [2] показано, что в присут-
обращение с ЖРО, содержащими в своем составе
ствии щавелевой и лимонной кислот коэффициент
органические комплексообразующие и поверхност-
очистки от радионуклидов на катионитах, окис-
но-активные вещества [1].
ленном угле и вермикулите снижается в 4-5 раз.
Органические комплексообразующие вещества -
Негативное влияние ЭДТА и других органических
Трилон Б (ЭДТА), другие комплексоны, щавелевая,
комплексонов на сорбцию 137Cs ферроцианидными
лимонная кислота и др. - поступают в состав ЖРО
сорбентами связано с химическим растворением
при дезактивации технологического оборудования.
ферроцианидной составляющей сорбента [3].
382
ЭЛЕКТРОХИМИЧЕСКОЕ ОКИСЛЕНИЕ В ВОДНЫХ РАСТВОРАХ
383
Поверхностно-активные вещества (ПАВ) по-
Для удаления органических веществ из водных
падают в состав ЖРО с водами санпропускников,
растворов может быть использован метод электро-
спецпрачечных и с дезактивационными раство-
химического окисления (ЭХО), основанный на ано-
рами. Присутствие ПАВ при осадительных про-
дном окислении вещества как непосредственно на
цессах очистки увеличивает время отстоя и объем
поверхности анода, так и за счет протекания вто-
осадков, а при сорбционных - ухудшает кинетику и
ричных электродных реакций [8-10]. Метод ЭХО
снижает степень очистки ЖРО. При цементирова-
не предполагает использования дополнительных
нии ЖРО, содержащих ПАВ, наблюдается сниже-
химических реагентов, т.е. является безреагентным
ние соленаполнения компаунда и уменьшается его
и не приводит к образованию дополнительных ра-
прочность [4].
диоактивных отходов.
Для удаления органических веществ из раство-
Для практической реализации метода ЭХО весь-
ров могут быть использованы методы, основанные
ма перспективными являются проточные диафраг-
на их извлечении и концентрировании без химиче-
менные электрохимические элементы типа ПЭМ и
ской деструкции или на полном разложении или
МБ, разработанные и промышленно выпускаемые
окислении органических веществ (деструктивные
Институтом электрохимических систем и техноло-
методы).
гий Витольда Бахира (Россия) [11, 12]. В предыду-
щей работе [13] нами была показана возможность
Удаление органических веществ без их разло-
электрохимической деструкции оксалат-ионов в
жения осуществляют методами коагуляции солями
проточном электрохимическом элементе МБ.
железа или алюминия, а также путем адсорбции,
в основном, на активных углях [5]. Недостатком
Целью данной работы являлось исследование
недеструктивных методов является образование
процесса электрохимического окисления различ-
больших количеств вторичных отходов (шламов,
ных комплексообразующих и поверхностно-актив-
отработанных адсорбентов), которые требуют до-
ных веществ с использованием электрохимическо-
полнительной переработки. В связи с этим данные
го элемента типа МБ.
методы используются в основном для очистки ЖРО
с невысоким содержанием органических соедине-
ЭКСПЕРЕМЕНТАЛЬНАЯ ЧАСТЬ
ний.
Наиболее перспективными для удаления орга-
Эксперименты по электрохимическому окисле-
нических соединений из состава ЖРО являются
нию (ЭХО) проводили с помощью проточного элек-
деструктивные методы, основанные на окислении
трохимического модульного элемента МБ-11Т-06.
или разложении органических веществ с образова-
Элемент МБ-11Т-06 представляет собой цилин-
нием газообразных или низкомолекулярных про-
дрическую ячейку с внешним катодом из полиро-
дуктов реакции.
ванного титана и коаксиальным полым анодом, вы-
Среди деструктивных методов наибольшее рас-
полненным из титана с покрытием из оксида ири-
пространение получило реагентное окисление с
дия. Катод и анод разделены керамической пористой
использованием в качестве окисляющего агента
диафрагмой, изготовленной из оксида алюминия в
перманганата калия, пероксида водорода и озона [6,
α-форме толщиной 1.3 мм. Размеры пор диафраг-
7]. Однако при использовании перманганата калия
мы находятся в диапазоне 0.01-0.1 мкм. Ширина
происходит образование дополнительных вторич-
обеих электродных камер (расстояние от электрода
ных радиоактивных отходов (осадка диоксида мар-
до диафрагмы) 1.2 мм. Внешний диаметр элемента
ганца). Применение озона в качестве окислителя
МБ-11Т-06 18 мм, длина рабочего межэлектродного
предполагает использование сложного и дорогосто-
пространства 200 мм. Площадь поверхности анода
ящего технологического оборудования. Дополни-
и катода элемента 50 и 94 см2 соответственно. Ка-
тельные сложности при работе с озоном обуслов-
тодная и анодная части снабжены электрическими
лены его высокой химической активностью и ток-
контактами и штуцерами для входа и выхода рас-
сичностью.
творов. Элемент МБ-11Т-06 предоставлен для ис-
РАДИОХИМИЯ том 64 № 4 2022
384
ЗЕЛЕНИН и др.
пытаний Институтом электрохимических систем и
метрическим методом после экстракции хлоро-
технологий Витольда Бахира.
формом ассоциатов ПАВ с метиленовым синим и
роданокобальтатом аммония соответственно [14].
Лабораторная установка состояла из электрохи-
мического элемента МБ-11Т-06, источника посто-
Измерение светопоглощения растворов проводили
на фотоколориметре «Экотест-2020», Россия.
янного тока типа QJ 3005C, позволяющего регули-
ровать и поддерживать напряжение и силу тока в
Степень разложения органических веществ
диапазоне 0-30 В и 0-5 А соответственно, двух пе-
определяли также по изменению значений химиче-
ристальтических насосов для циркуляции анолита и
ского потребления кислорода (ХПК) исходных и об-
католита и емкостей для сбора анолита и католита.
работанных растворов. Величину ХПК определяли
Нами проведены эксперименты по электро-
бихроматным методом [14].
химическому окислению комплексообразующих
Определение влияния электрохимической об-
[этилендиаминтетрауксусной кислоты (ЭДТА), ни-
работки растворов на сорбцию радионуклида 137Cs
трилотриуксусной кислоты (НТА), диэтилентриа-
ферроцианидным сорбентом ФНС (ферроцианид
минпентауксусной кислоты (ДТПА)] и поверхност-
никеля-калия, нанесенный на поверхность силикаге-
но-активных веществ: додецилбензолсульфоната
ля) и 152Eu на сульфокатионите марки «Токем 308»
натрия -анионогенного ПАВ (АПАВ) и неионоген-
(ООО «Токем», Кемерово) проводили по следую-
ного ПАВ (НПАВ) - вспомогательного вещества
щей методике. В исходный и обработанный рас-
ОП-10, получаемого путем обработки смеси моно-
творы вносили индикаторные количества (око-
и диалкилфенолов окисью этилена.
ло
105 Бк/дм3) соответствующего радионуклида
Рабочие растворы комплексообразующих ве-
и выдерживали в течение 3 сут для установления
ществ с исходной концентрацией 1.0 г/дм3, содер-
равновесия между компонентами раствора. Затем
жащие в качестве фонового электролита 10.0 г/дм3
аликвоту раствора (20 см3) помещали в пластико-
нитрата натрия, готовили путем растворения на-
вую емкость, добавляли навеску сорбента (50 мг
вески соответствующего реактива в дистиллиро-
ФНС и 25 мг «Токем 308») и перемешивали в тече-
ванной воде. Корректировку рН исходных раство-
ние 24 ч. Затем сорбент отделяли от раствора путем
ров комплексонов до рН 6-8 проводили раствором
фильтрования через бумажный фильтр «синяя лен-
1 моль/дм3 NaOH. Рабочие растворы ПАВ с исход-
та» и определяли в фильтрате удельную активность
ной концентрацией 0.5 г/дм3, содержащие 10.0 г/дм3
соответствующего радионуклида. По результатам
нитрата натрия, рН 6-8, готовили путем растворе-
анализов рассчитывали значения коэффициента
ния навески соответствующего реактива в дистил-
распределения (Kd) радионуклида по формуле
лированной воде. При проведении ЭХО в присут-
ствии хлорид-ионов в исходные растворы вносили
,
(1)
точную навеску высушенного хлорида натрия.
ЭХО проводили путем одновременной циркуля-
где А0, Ар - соответственно удельная активность ра-
ции через анодную камеру раствора, содержащего
дионуклида в исходном растворе и в фильтрате по-
разлагаемое соединение (анолит) и через катодную
сле сорбции, Бк/дм3; Vр - объем жидкой фазы, см3;
камеру - раствора 0.1 моль/дм3 NaOH (католит).
mс - масса сорбента, г.
Исходный объем анолита и католита - по 250 см3
Влияние электрохимической обработки раство-
каждого.
ров на соосаждение 152Eu с осадком гидроксида же-
После подачи напряжения на клеммы элемента
леза (III) изучали по следующей методике. В исход-
через определенные промежутки времени отбирали
ный и обработанный растворы, содержащие около
пробы циркулирующего анолита на содержание ор-
105 Бк/дм3 152Eu, добавляли раствор FeCl3 до дости-
ганического компонента. Содержание комплексо-
жения концентрации по металлу 0.1 г/дм3, подще-
нов в растворе определяли фотометрическим мето-
лачивали раствором 1 моль/дм3 NaOH до рН 12.0-
дом по ослаблению окраски комплекса трехвалент-
12.2, перемешивали 1 ч и фильтровали полученную
ного железа с сульфосалициловой кислотой [14].
суспензию через бумажный фильтр «синяя лента».
Концентрацию АПАВ и НПАВ определяли фото-
По результатам определения удельной активности
РАДИОХИМИЯ том 64 № 4 2022
ЭЛЕКТРОХИМИЧЕСКОЕ ОКИСЛЕНИЕ В ВОДНЫХ РАСТВОРАХ
385
Рис. 1. Зависимость степени разложения комплексонов от времени проведения электрохимического окисления при раз-
личных концентрациях хлорид-ионов, г/дм3. а - НТА, Cl-: 1 - 1.0, 2 - 0; б - ДТПА, Cl-: 1 - 1.0, 2 - 0; в - ЭДТА, Cl-: 1 - 1.0;
2 - 0.5; 3 - 0.2; 4 - 0.
152Eu в исходном растворе и в фильтрате определя-
Из представленных графиков видно, что добавле-
ли коэффициент очистки (Kоч) по формуле
ние хлорид-ионов в исходный раствор значительно
интенсифицирует процесс окисления: в присутствии
Kоч = А0/Аф,
(2)
1 г/дм3 хлорид-ионов степень разложения комплек-
где А0, Аф - соответственно удельная активность ра-
сонов 90% достигается через 60 мин после начала
дионуклида 152Eu в исходном растворе и в фильтра-
эксперимента. При отсутствии хлорид-ионов такое
те после осаждения, Бк/дм3.
же значение степени разложения достигается при-
Удельную активность 137Cs и 152Eu в растворах
мерно через 180 мин, т.е. в 3 раза дольше. Наблю-
определяли прямым радиометрическим методом с
даемые эффекты связаны с образованием на аноде
использованием спектрометрического комплекса
активных форм хлора - гипохлорит-ионов, хлор-
СКС-50М («Грин стар технолоджиз», Россия).
новатистой кислоты, молекулярного и атомарного
хлора, обладающих высокой окислительной спо-
РЕЗУЛЬТАТЫ И ИХ ОБСУЖДЕНИЕ
собностью. Аналогичное влияние хлорид-ионов на
скорость ЭХО оксалат-ионов нами было показано в
На рис. 1 представлены зависимости степени
работе [13]. Наибольшее влияние хлорид-ионов на
скорость ЭХО комплексонов (ЭДТА) наблюдается
разложения различных комплексонов от времени
при концентрации Cl- более 0.5 г/дм3 (рис. 1, в).
проведения электрохимического окисления раство-
ров при различных концентрациях хлорид-ионов.
В табл. 1 приведены значения химического по-
При проведении всех экспериментов сила тока (I)
требления кислорода (ХПК) исходных и обработан-
составляла 0.8 А, напряжение (U) - в диапазоне
ных в течение 3 ч растворов, содержащих различ-
2.7-3.1 В.
ные концентрации хлорид-ионов.
РАДИОХИМИЯ том 64 № 4 2022
386
ЗЕЛЕНИН и др.
Таблица 1. Значения химического потребления кислорода (ХПК) исходных и обработанных растворов комплексонов,
не содержащих хлорид- ионов и сожержащих 1.0 г/дм3 хлорид- ионов
ХПК, мг О/л
Комплексон
исходный раствор
обработанный (без Cl-)
обработанный (1.0 г/дм3 Cl-)
НТА
300 ± 10
260 ± 10
120 ± 5
ЭДТА
500 ± 30
350 ± 10
85 ± 5
ДТПА
590 ± 30
350 ± 20
210 ± 10
Таблица 2. Коэффициенты распределения (Kd) 137Cs на сорбенте ФНС при сорбции из исходных и обработанных в
течение 3 ч растворов комплексонов, содержащих различные концентрации хлорид-ионов
Kd, см3/г
Комплексон
исходный раствор
обработанный (без Cl-)
обработанный (1.0 г/дм3 Cl-)
НТА
9.2 × 103
1.8 × 104
6.0 × 105
ЭДТА
8.9 × 103
4.3 × 104
2.0 × 105
ДТПА
1.5 × 104
2.0 × 104
1.8 × 105
Таблица 3. Коэффициенты распределения (Kd) 152Eu на сульфокатионите «Токем 308» при сорбции из исходных и
обработанных в течение 3 ч растворов комплексонов, содержащих различные концентрации хлорид-ионов
Kd, см3/г
Компонент
исходный раствор
обработанный (без Cl-)
обработанный (1.0 г/дм3 Cl-)
НТА
1.8
660
9.0 × 104
ЭДТА
˂1
1.1 × 104
5.3 × 104
ДТПА
˂1
2.1
1.20 × 105
Таблица 4. Коэффициенты очистки (Kоч) от 152Eu при соосаждении с осадком гидроксида железа(III) из исходных
растворов комплексонов и из растворов после ЭХО без добавления хлорид-ионов и в присутствии 1.0 г/дм3 Cl-
Kоч
Компонент
исходный раствор
обработанный (без Cl-)
обработанный (1.0 г/дм3 Cl-)
НТА
1.4
228
1510
ЭДТА
3.4
19.5
2230
ДТПА
1.5
2.5
6150
Представленные в таблице результаты показыва-
прошедших ЭХО в присутствии 1.0 г/дм3 Cl- и без
ют, что остаточные значения ХПК в обработанных
добавления хлорид-ионов, приведены в табл. 4.
растворах, содержащих хлорид-ионы, значительно
Представленные результаты показывают, что
ниже по сравнению с растворами, не содержащих
ЭХО растворов, содержащих комплексоны, резко
хлор.
увеличивает эффективность сорбционной очист-
В табл. 2 и 3 приведены значения коэффициентов
ки растворов от 137Cs и 152Eu. Значения Kd 137Cs
распределения (Kd) 137Cs на ферроцианидном сор-
на сорбенте ФНС при сорбции из обработанных в
бенте ФНС и 152Eu на сульфокатионите «Токем 308»
присутствии 1.0 г/дм3 Cl- растворов увеличивают-
соответственно при сорбции из исходных и обрабо-
ся на 1-2 порядка, а Kd 152Eu на сульфокатионите
танных в течение 3 ч растворов, содержащих различ-
«Токем 308» - на 4-5 порядков по сравнению с не-
ные концентрации хлорид-ионов.
обработанными растворами.
Значения коэффициентов очистки (Kоч) от 152Eu
Аналогичный эффект ЭХО оказывает на процесс
при соосаждении с осадком гидроксида железа(III)
соосаждения 152Eu с осадком гидроксида железа
из исходных растворов комплексонов и растворов,
(III). Значения коэффициентов очистки (Kоч) для
РАДИОХИМИЯ том 64 № 4 2022
ЭЛЕКТРОХИМИЧЕСКОЕ ОКИСЛЕНИЕ В ВОДНЫХ РАСТВОРАХ
387
ВЫВОДЫ
Метод электрохимического окисления (ЭХО) по-
зволяет проводить эффективное (свыше 95 %) окис-
ление различных комплексообразующих веществ:
ЭДТА, НТА, ДТПА. Введение в исходные растворы
хлорид-ионов в количестве до 1 г/дм3 увеличивает
скорость ЭХО комплексонов примерно в 3 раза.
Электрохимическая обработка растворов, со-
держащих комплексоны и хлорид-ионы, повышает
эффективность сорбционной очистки растворов от
радионуклидов 137Cs на ферроцианидном сорбенте
Рис. 2. Зависимость степени разложения НПАВ (1, 4) и
АПАВ (2, 3) от времени проведения ЭХО в отсутствие
ФНС на 1-2 порядка и от 152Eu на сульфокатиони-
хлорид-ионов (1, 2) и в присутствии 1 г/дм3 хлорид-ионов
те на 4-5 порядков. Эффективность соосаждения
(3, 4).
152Eu с осадком гидроксида железа(III) после ЭХО
обработанных растворов по сравнению с необрабо-
увеличиваются на 3 порядка.
танными увеличиваются на три порядка.
Метод ЭХО пригоден для удаления из растворов
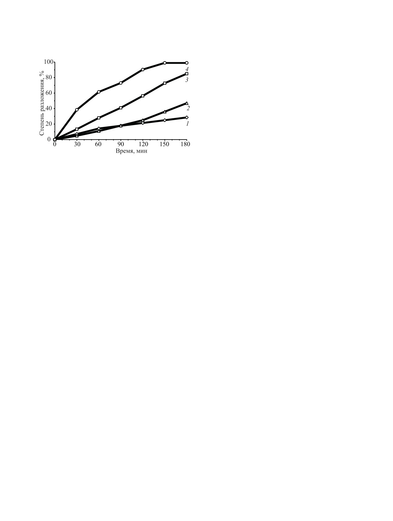
На рис. 2 представлены данные по окислению
поверхностно-активных веществ (ПАВ). В присут-
поверхностно-активных веществ в ходе ЭХО. Сила
ствии 1 г/дм3 хлорид-ионов удаляется более 99%
тока в ходе экспериментов 0.8 А, а напряжение - в
анионогенных ПАВ (додецилбензолсульфонат на-
диапазоне 3.5-5.0 В.
трия) и около 85% неионогенных ПАВ (ОП-10).
Представленные на рисунке 2 данные демон-
Метод электрохимического окисления является
стрируют, что при окислении без хлора степень
перспективным для удаления различных органиче-
разложения НПАВ и АПАВ не превышает 30 и
ских комплексообразующих и поверхностно-актив-
ных веществ из водных растворов, в том числе из
50% соответственно, в то время как присутствие в
жидких радиоактивных отходов.
растворе анолита 1 г/дм3 хлорид-ионов позволяет
достичь практически полного разложения НПАВ
ФОНДОВАЯ ПОДДЕРЖКА
через 2.5 ч проведения процесса. Степень разложе-
ния АПАВ за то же время несколько ниже (около
Работа выполнена при частичном финансирова-
85%), что связано с большей устойчивостью данно-
нии Министерства науки и высшего образования
го вида ПАВ к электрохимическому окислению.
Российской Федерации.
Таким образом, электрохимическое окисление
является эффективным методом удаления различ-
КОНФЛИКТ ИНТЕРЕСОВ
ных органических соединений из водных раство-
ров, в том числе из жидких радиоактивных отходов.
Авторы заявляют об отсутствии конфликта ин-
В частности, данный метод может быть использо-
тересов.
ван при переработке кубовых остатков АЭС, со-
СПИСОК ЛИТЕРАТУРЫ
держащих значительные количества органических
комплексообразующих и поверхностно-активных
1.
Рябчиков Б.Е. Очистка жидких радиоактивных отхо-
веществ, присутствие которых значительно снижа-
дов. М.: ДеЛи принт, 2008. 516 с.
ет эффективность извлечения радионуклидов цезия
2.
Кульский Л.А., Страхов Э.Б., Волошинова А.М.,
и кобальта [6]. После электрохимической обработ-
Близнюкова В.А. Очистка вод атомных электростан-
ки и сорбционной очистки от радионуклидов кубо-
ций. Киев: Наук. думка, 1979. 209 с.
вые остатки могут быть переведены в категорию
3.
Милютин В.В., Гелис В.М., Ершов Б.Г., Селивер-
неактивных химических отходов[15].
стов А.Ф. Изучение влияния органических комплек-
РАДИОХИМИЯ том 64 № 4 2022
388
ЗЕЛЕНИН и др.
сообразующих и пове // Радиохимия. 2008. Т. 50,
10. Косяков В.Н., Яковлев Н.Г., Велешко И.Е. // Четвер-
№ 1. С. 60-61.
тая Рос. конф. по радиохимии: Тез. докл. Озерск,
4.
Варлаков А.П., Германов А.В. // Безопасность жизне-
2003. С. 189.
деятельности. 2010. № 10. С. 42-48.
11. Бахир В.М. // Водоснабжение и канализация. 2010.
5.
Рябчиков Б.Е. Современная водоподготовка. М.:
№ 3-4. С. 56-62.
ДеЛи плюс, 2013. 680 с.
6.
Савкин А.Е., Моренова А. Г., Захарова Е.В., Родыги-
12. Бахир В.М. Электрохимическая активация. Изобре-
на Н.И. // Радиохимия. 2003. Т. 45, № 4. С. 363-365.
тения, техника, технология. М: ВИВА-СТАР, 2014.
7.
Селиверстов А.Ф., Лагунова Ю.О., Милютин В.В.,
512 с.
Ершов Б.Г. // Радиохимия. 2013. Т. 55, № 4. С. 319-
13. Зеленин П.Г., Милютин В.В., Бахир В.М., Адамо-
322.
вич Д.В. // Радиохимия. 2021. Т. 63, № 4. С. 349-355.
8.
Фиошин М.Я., Смирнова М.Г. Электросинтез окис-
лителей и восстановителей. Л.: Химия, 1981. 2-е изд.
14. Лурье Ю.Ю. Аналитическая химия промышленных
212 с.
сточных вод. М.: Химия, 1984. 448 с.
9.
Яковлев С.В., Краснобородько И.Г., Рогов В.М.
15. Авезниязов С.Р., Стахив М.Р. // Радиоактивные отхо-
Технология электрохимической очистки воды. Л.:
Стройиздат. 1987. 312 с.
ды. 2018. № 4 (5). С. 49-54.
РАДИОХИМИЯ том 64 № 4 2022