РАДИОХИМИЯ, 2022, том 64, № 3, с. 233-240
УДК 66.061.351
ЭКСТРАКЦИЯ ИТТЕРБИЯ И ЛЮТЕЦИЯ
РАСТВОРАМИ МОНО-2-ЭТИЛГЕКСИЛОВОГО ЭФИРА
2-ЭТИЛГЕКСИЛФОСФОНОВОЙ КИСЛОТЫ
В УГЛЕВОДОРОДАХ ИЗ АЗОТНОКИСЛЫХ РАСТВОРОВ
И ЕЕ МАТЕМАТИЧЕСКОЕ ОПИСАНИЕ
© 2022 г. Е. В. Амбула,б, Н. Д. Голецкийа,*, А. И. Медведеваа,
А. А. Наумова, Е. А. Пузикова, М. А. Афонинб, Д. Н. Шишкина
а Радиевый институт им. В.Г. Хлопина,
194021, Санкт-Петербург, 2-й Муринский пр., д. 28
б Санкт-Петербургский государственный технологический институт (технический университет),
кафедра редких элементов и наноматериалов на их основе,
190013, Санкт-Петербург, Московский пр., д. 26
*e-mail: goletsky@khlopin.ru
Поступила в редакцию 13.01.2022, после доработки 09.05.2022, принята к публикации 10.05.2022
Исследована экстракция лютеция и иттербия растворами моно-2-этилгексилового эфира
2-этилгексилфосфоновой кислоты в изопаре-М и м-нитробензотрифториде (Ф3), а также растворами
бис(2,4,4-триметилпентил)фосфиновой кислоты в изопаре-М. Методом сдвига равновесия показано,
что иттербий и лютеций экстрагируются по катионообменному механизму в виде аддукта Ln[HA2]3
вплоть до 3 моль/л НNO3, а c дальнейшим ростом концентрации азотной кислоты в водном растворе
механизм экстракции меняется на сольватный. Коэффициенты разделения β(Lu/Yb) в исследованных
экстракционных системах составляют 1.4-1.6. Полученные данные могут быть использованы для
проведения последующих расчетов экстракционного каскада для разделения лютеция и иттербия.
Проведена математическая обработка экспериментальных данных с получением констант экстракции.
Ключевые слова: лютеций, иттербий, жидкостная экстракция, моно-2-этилгексиловый эфир 2-этил-
гексилфосфоновой кислоты, бис(2,4,4-триметилпентил)фосфиновая кислота, экстракционное разделе-
ние, математическое моделирование.
DOI: 10.31857/S0033831122030054, EDN: FPTQBI
ВВЕДЕНИЕ
того, 177Lu обладает химическими свойствами, под-
ходящими для маркировки белка (например, пептид
Лютеций-177 (177Lu) - терапевтический радиои-
dotatate [3]) бифункциональными хелатирующими
зотоп, применение которого в медицинских целях
агентами [4].
обусловлено оптимальными ядерно-физическими
Основным методом получения препарата 177Lu
характеристиками: удобным периодом полураспа-
высокой удельной активности является облучение
да (Т1/2 = 6.7 сут); приемлемой энергией β-частиц
нейтронами стартового материала, содержащего
(максимальная энергия 0.5 МэВ), которая позволяет
176Yb: [5]. Облучение иттербиевой мишени, высо-
уничтожить небольшие опухоли и метастазы разме-
кообогащенной по изотопу 176, выгодно тем, что в
ром 1-3 мм, не затрагивая здоровые ткани; мягким
этом случае за счет β--распада изотопа 177Yb обра-
сопутствующим γ-излучением с энергией, доста-
зуется моноизотопный продукт - 177Lu. Таким об-
точной для визуализации и отслеживания мигра-
ции препарата в организме пациента (Eγ = 113 кэВ
разом, задача получения изотопно-чистого целево-
(6.4%) и 208 кэВ (11%)) [1, 2]. Продуктом распада
го продукта сводится к его отделению от материала
177Lu является стабильный изотоп
177Hf. Кроме мишени химическими методами.
233
234
АМБУЛ и др.
Отделение Lu от Yb является сложной задачей,
ЭКСПЕРИМЕНТАЛЬНАЯ ЧАСТЬ
поскольку оба элемента являются лантанидами и
Для исследований использовали азотную кис-
близки по своим физико-химическим свойствам.
лоту и оксиды иттербия и лютеция квалификации
При этом даже небольшое количество примесей ста-
х.ч., моно-2-этилгексиловый эфир 2-этилгексил-
бильных изотопов лютеция на уровне нескольких
фосфоновой кислоты (P507) производства фирмы
десятых мас% способно привести к существенно-
Luoyang Zhongda Chemical Co чистотой не менее
му снижению удельной активности 177Lu. С учетом
99%, бис-(2,4,4-триметилпентил)фосфиновую кис-
достаточно короткого периода полураспада 177Lu
лоту (Cyanex-272) фирмы Cytec Solvay Group (со-
разделение следует проводить с использованием
держание основного вещества 90.6%), изопар-М
высокоселективных методов: экстракционных или
производства Exxon Mobil и м-нитробензотрифто-
хроматографических [6]. Хроматографическое раз-
рид (Ф3) химической чистотой 99%.
деление обычно используется для получения хими-
Растворы металлов Yb и Lu готовили по стандарт-
чески чистых индивидуальных элементов, но такой
ной методике: навески оксидов металлов (99.99%),
процесс является малопроизводительным - концен-
взвешенные на аналитических весах Mettler Toledo
трирование с получением фракций до 1 г/л трудно
ML303T/A00 (класс точности II), растворяли при
поддается наращиванию производительности [7].
нагревании, не доводя до кипения, в концентриро-
ванной азотной кислоте (8 моль/л). Раствор упари-
Задачи разделения близких по химическим
вали досуха. Получившуюся смешанную соль после
свойствам элементов решаются также экстракци-
остывания растворяли в 1 моль/л HNO3, переноси-
онным методом, в частности, при разделении РЗЭ
ли в мерную колбу объемом 25 мл и доводили дис-
и трансплутониевых элементов. В промышленно-
тиллированной водой до метки. В результате были
сти для этих целей в последнее время используют-
получены стандартные растворы 20 г/л Lu и 200 г/л
ся фосфорорганические кислоты, такие как P507
Yb. Рабочие растворы готовили путем разбавления
(моно-2-этилгексиловый эфир 2-этигексилфосфо-
стандартного. Рабочие концентрации варьировали
новой кислоты) [8], Cyanex 272 (бис(2,4,4-триме-
от 0.05 до 200 г/л. Концентрации стандартных рас-
тилпентил)фосфиновая кислота) [9, 10], INET-3
творов контролировали методом атомно-эмиссион-
(2,3-диметилбутил)(2,4,4ꞌ-триметилпентил)фос-
ной спектрометрии с индуктивно связанной плаз-
финовая кислота [11], Д2ЭГФК (ди-(2-этилгексил)
мой (ISP-OES) на спектрометре Prodigy Plus. Были
фосфорная кислота) [12]. Известно также, что при
выбраны следующие характеристические длины
волн излучения атомов Yb и Lu: иттербий - 289.138
разделении Yb/Lu смесями экстрагентов Cyanex
и 369.419 нм, лютеций - 291.139 и 302.054 нм.
272, P507 и Д2ЭГФК проявляется синергетический
эффект [9, 13].
Экстракционные испытания проводили в про-
бирках объемом 15 мл. Фазы контактировали в те-
Моно-2-этилгексиловый эфир 2-этилгексилфос-
чение 5 мин. Реэкстракцию Lu и Yb из органиче-
фоновой кислоты, выпускаемый под торговой мар-
ской фазы проводили растворами 5 моль/л HNO3.
кой Р507, является перспективным экстрагентом в
Перед отбором реэкстракта на анализ пробы цен-
технологии получения РЗЭ, поскольку системы на
трифугировали с целью полного расслоения водной
его основе обладают более высокими коэффициен-
и органической фаз. Затем определяли концентра-
тами разделения лантанидов [14].
ции иттербия и лютеция в реэкстрактах.
Задача экстракционного метода максимально
быстро отделить 177Lu, ввиду небольшого периода
РЕЗУЛЬТАТЫ И ИХ ОБСУЖДЕНИЕ
полураспада, от основной массы иттербия с обеспе-
чением возможности наиболее удобного последую-
Экстракция РЗЭ из азотнокислых сред раствора-
щего обращения с выделенным лютецием. Данная
ми фосфорорганических кислот может быть пред-
ставлена в виде уравнения реакции
работа посвящена оценке возможности приме-
нения фосфорорганических экстрагентов Р507 и
Ln3+(в) + nNO3-(в) + m(HA)2(o) =
Cyanex-272 для выделения чистого лютеция.
= [Ln(NO3)nA3-n(HA)(2m+n-3)](o) + (3-n)H+(в),
(1)
РАДИОХИМИЯ том 64 № 3 2022
ЭКСТР
АКЦИЯ ИТТЕРБИЯ И ЛЮТЕЦИЯ
235
(а)
(б)
Рис. 1. Влияние равновесной концентрации HNO3 на коэффициенты распределения Yb (а) и Lu (б) при экстракции
растворами Р507 в изопаре-М. Исходная концентрация РЗЭ 0.2-0.4 г/л. Точки - эксперимент, линии - расчет.
где Ln3+ - катион РЗЭ, а HA - молекула фосфорор-
быть связано с переходом к экстракции по сольват-
ганической кислоты. Большинство авторов пола-
ному (донорно-акцепторному) механизму, который
гает, что экстрагент присутствует в органической
наблюдается, например, при экстракции РЗЭ рас-
фазе в виде димера (HA)2 [15], так как значения
творами Д2ЭГФК из кислых сред [17, 18]. Пред-
констант димеризации Р507 и Cyanex-272 весьма
полагается, что в образовании сольвата принимает
велико (lgK = 20 и 4.2 соответственно [16])
участие от 1 до 3 молекул экстрагента [19], однако,
При экстракции РЗЭ растворами P507 в диапа-
учитывая незначительность вклада данной реакции
зоне концентраций HNO3 не выше 4 моль/л наблю-
в общий механизм экстракции и отсутствие данных
дается линейная зависимость логарифмов коэф-
при более высоких концентрациях HNO3, значение
фициентов распределения Yb и Lu от логарифма
m было принято равным 1, как и в работе [4].
концентрации HNO3 с тангенсом угла наклона,
Ln3+(в) +3NO–(в) + (HA)2(о) = H2[Ln(NO3)3A2)](о);
близким к -3 (рис. 1). Это позволяет использовать
m = 1, n = 3.
(5)
уравнение реакции:
Таким образом, отклонение от линейной зависи-
Ln3+(в) + 3(HA)2(о) = Ln(HA2)3(о) + 3H+(в); m = 3, n = 0. (2)
мости коэффициентов распределения РЗЭ от кон-
Константа равновесия данной реакции
центрации HNO3 в логарифмических координатах в
области ее высоких концентраций (свыше 3 моль/л)
(3)
может быть описано с использованием константы
равновесия
В этом случае коэффициент распределения дол-
жен быть обратно пропорционален концентрации
s
(6)
протона в кубе и прямо пропорционален концентра-
HA
ции димера экстрагента также в третьей степени:
Высокие значения коэффициентов распределе-
ния иттербия и лютеция при экстракции растворами
(4)
P507 в изопаре-М осложняют процесс реэкстрак-
ции РЗЭ, что приводит к необходимости использо-
Отклонение от линейной зависимости (рис. 1)
вания растворов с высокой концентрацией HNO3 на
при концентрации 4 моль/л HNO3 и выше может
этой стадии процесса и затрудняет дальнейшее об-
РАДИОХИМИЯ том 64 № 3 2022
236
АМБУЛ и др.
Таблица 1. Значения констант равновесий реакций (2) (KH) и (5) (KS) для растворов Р507 в легком и тяжелом
разбавителях
KS
Концентрация Р507,
KH Р507 в изопаре-М
KH Р507 в Ф-3
Концентрация Р507, %
(не зависит от разбавителя)
моль/л
Yb
Lu
Yb
Lu
Yb
Lu
5
0.15
2750
4100
10
0.30
1214
1839
113
173
0.0028
0.0023
15
0.45
763
1147
112
170
0.0038
0.0032
20
0.60
550
850
30
0.90
363
606
53
80
0.0042
0.0038
40
1.20
236
357
38
56
0.0070
0.0059
50
1.50
161
260
38
55
0.0083
0.0065
75
2.25
120
190
100
3.00
84
136
ращение с продуктами. Альтернативным вариантом
влияния данного разбавителя на экстракцию РЗЭ
может быть снижение концентрации P507, однако
растворами P507. Характер зависимости коэффи-
оно приводит к снижению производительности
циентов распределения РЗЭ от концентрации HNO3
процесса, так как уменьшается насыщение экстра-
при экстракции Yb и Lu растворами P507 в Ф3 не за-
гента. При концентрации Р507 15% (0.45 моль/л)
висит от природы разбавителя (рис. 3), однако вли-
яние сольватного механизма начинает проявляться
максимальное насыщение экстракта иттербием
несколько раньше (начиная с 3 моль/л HNO3), чем
стремится к 0.075 моль/л (рис. 2), что соответствует
при экстракции растворами Р507 в изопаре-М.
мольному соотношению РЗЭ : Р507 = 1 : 6 в орга-
нической фазе и уравнению (2), а также косвенно
Зависимости коэффициентов распределения ит-
тербия и лютеция от концентрации Р507 в изопа-
подтверждает участие молекул димера Р507 в обра-
ре-М в логарифмических координатах (рис. 4) име-
зовании соединений с РЗЭ.
ют линейный вид с тангенсом наклона, близким к
Известно, что использование тяжелых фтори-
2, а не к 3, что может быть следствием повышения
рованных разбавителей, например, Ф3, также при-
степени ассоциации молекул экстрагента при уве-
водит к снижению коэффициентов распределения
личении его концентрации. Это приводит к сниже-
РЗЭ, поэтому представляло интерес исследование
нию значений констант экстракции РЗЭ с ростом
концентрации Р507 (табл. 1). Величины концентра-
ционных констант равновесия уравнения (5) оказа-
лись одинаковыми для изопара-М и Ф3, причем для
лютеция они оказались ниже, чем для иттербия.
Для учета данного эффекта, вызванного влияни-
ем разбавителя, может быть использовано уравне-
ние
0
0
lg K lg K
alg(C
HA
) ,
(7)
где CHA - концентрация Р507, CHA0 - концентрация
неразбавленного экстрагента, lgK0 - константа рав-
новесия реакции (2) или (5) для неразбавленного
Р507. Похожие зависимости использованы в работе
[14], где влияние концентрации Р507 на логарифмы
констант экстракции РЗЭ из хлоридных сред опи-
сывалось членом BCHAy.
Рис. 2. Изотермы экстракции Yb в 15%-ных растворах
На рис. 5 представлена линейная зависимость
Р507 и Cyanex-272 в изопаре-М из 1 моль/л HNO3.
логарифмов констант равновесий (2) и (5) от лога-
РАДИОХИМИЯ том 64 № 3 2022
ЭКСТР
АКЦИЯ ИТТЕРБИЯ И ЛЮТЕЦИЯ
237
(а)
(б)
Рис. 3. Влияние равновесной концентрации HNO3 на коэффициенты распределения Yb (а) и Lu (б) при экстракции
растворами Р507 в Ф-3 (исходная концентрация РЗЭ 0.2-0.4 г/л).
(а)
(б)
Рис. 4. Влияние концентрации Р507 в изопаре М (0.15, 0.3, 0.45, 0.9, 1.2, 1.5, 2.25, 3 моль/л) на коэффициенты распределения
Yb (а) и Lu (б) при их экстракции из растворов HNO3 различной концентрации (исходная концентрация РЗЭ 0.2 г/л).
рифма относительной концентрации Р507. Рассчи-
ции Р507 и от концентрации HNO3 свидетельствует
танные методом наименьших квадратов значения
о том, что значения коэффициентов разделения Yb
и Lu будут несколько увеличиваться при понижении
угловых коэффициентов a и значений параметров
концентрации экстрагента, оставаясь в диапазоне
lgK0 представлены в табл. 2. К сожалению, полу-
1.4-1.6 (коэффициенты разделения были получены
ченные значения lgK0 оказались различными для
как отношение экспериментально полученных ко-
этих двух разбавителей, что не позволило сократить
эффициентов распределения из растворов, содер-
число используемых параметров.
жащих Yb и Lu в различных соотношениях). При
Практически параллельный ход зависимостей
увеличении концентрации HNO3 в водном растворе
коэффициентов распределения РЗЭ от концентра-
все большую роль начинает играть сольватный ме-
РАДИОХИМИЯ том 64 № 3 2022
238
АМБУЛ и др.
Таблица 2. Значения параметров уравнения (7) для Yb и Lu при их экстракции растворами Р507 в изопар-М или Ф3
P507
Cyanex-272
Уравнение реакции
Параметр
изопар-М
Ф3
изопар-М
Yb
Lu
Yb
Lu
Yb
Lu
(2)
lgK0
1.95
2.13
1.27
1.43
-1.22
-0.87
a
-1.16
-1.14
-0.85
-0.88
1.26
1.23
(5)
lgK0
-1.93
-2.01
-1.93
-2.01
-3.3
-3.3
a
0.630
0.627
0.630
0.627
-
-
(8)
lgK0
-1.82
-1.75
a
-0.89
-0.90
(9)
lgK0
-1.8
-1.8
a
-
-
ханизм экстракции РЗЭ, приводящий к снижению
обходимости использования для описания экстрак-
коэффициентов разделения.
ции РЗЭ в этой области не только уравнения (2),
но и уравнения (8), которое получается из уравне-
Известно, что использование бис-(2,4,4-три-
ния (1) при m = 2 и n = 1:
метлпентил)фосфиновой кислоты (Cyanex-272) в
качестве экстрагента вместо P507 приводит к сни-
Ln3+(в) + NO–(в) + 2(HA)2(o) =
жению коэффициентов распределения РЗЭ пример-
= H2[Ln(NO3)A4](o) + 2H+(в); m = 2, n = 1.
(8)
но на 2 порядка при сохранении высоких значений
С повышением концентрации кислоты в водной
коэффициентов разделения [20, 21], поэтому пред-
фазе выше 3 моль/л при экстракции РЗЭ наблюда-
ставляло интерес изучение закономерностей экс-
ется возрастание коэффициентов распределения,
тракции Yb и Lu растворами Cyanex-272 в изопа-
которое может быть связано с постепенным пере-
ре-М.
ходом к сольватному механизму экстракции. При
В отличие от системы с P507, зависимости лога-
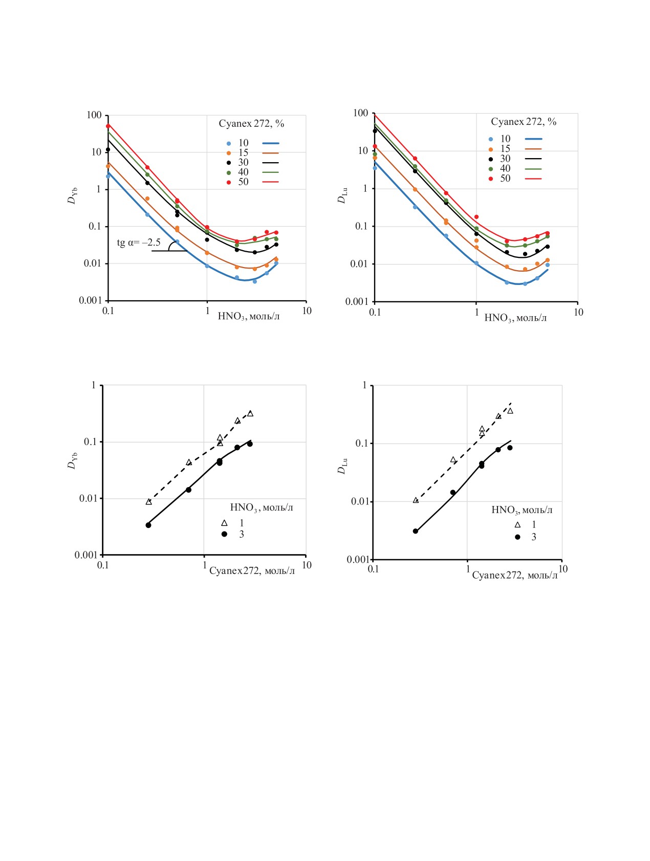
этом с повышением концентрации Cyanex-272 угол
рифмов коэффициентов распределения Yb и Lu от
наклона на восходящей части зависимости коэффи-
логарифма концентрации HNO3 при концентрации
циента распределения от концентрации HNO3 сни-
менее 1 моль/л в данной системе имеют тангенс
жается (рис. 6), что может быть описано с исполь-
угла наклона около -2.5 (рис. 6), что приводит к не-
зованием уравнения (5) и уравнения (9), которое
получается из уравнения (1) при m = 1 и n = 2:
Ln3+(в) + 2 NO3-(в) + (HA)2(o) = H[Ln(NO3)2A2](o) + H+(в);
m = 1, n = 2.
(9)
Тангенс угла наклона зависимостей коэффициен-
та распределения РЗЭ от концентрации Cyanex-272
в изопаре-М при концентрации 1 и 3 моль/л HNO3
(рис. 7) близок к 1.6, что соответствует протеканию
совокупности реакций (2), (5), (8) и (9).
Значения угловых коэффициентов a и значений
параметров lgK0 уравнения (7) представлены в
табл. 1. Из них следует, что значения параметров a
уравнения (7) практически не отличаются для Yb и
Lu, что показывает независимость коэффициентов
разделения этих элементов от концентрации экстра-
гента. Значения констант равновесий (5) и (9) для
Yb и Lu совпадают и практически не зависят от кон-
Рис. 5. Зависимость логарифмов констант экстракции Yb
и Lu по уравнениям (2) и (5) от логарифма концентрации
центрации экстрагента, что подтверждает сниже-
Р507 в различных разбавителях.
ние коэффициентов разделения этих элементов при
РАДИОХИМИЯ том 64 № 3 2022
ЭКСТР
АКЦИЯ ИТТЕРБИЯ И ЛЮТЕЦИЯ
239
(а)
(б)
Рис. 6. Влияние концентрации HNO3 на коэффициенты распределения Yb (а) и Lu (б) при экстракции растворами Cyanex-272
в изопаре-М (исходная концентрация РЗЭ 0.2-0.4 г/л. Точки - эксперимент, линии - расчет).
(а)
(б)
Рис. 7. Влияние концентрации Cyanex-272 в изопаре-М на коэффициенты распределения Yb (а) и Lu (б) при их экстракции
из растворов HNO3 различной концентрации (исходная концентрация РЗЭ 0.2-0.4 г/л).
концентрации выше 2 моль/л HNO3. При более низ-
ЗАКЛЮЧЕНИЕ
кой концентрации коэффициенты разделения пары
Yb/Lu возрастают и достигают значений 1.4-1.6,
Исследованы экстракционные системы для раз-
деления лютеция и иттербия на основе кислых фос-
что позволяет рассматривать данный экстрагент
форорганических экстрагентов P507 и Cyanex-272
в качестве альтернативы Р507. Вместе с тем, низ-
из азотнокислых растворов. В ходе экспериментов
кое насыщение Cyanex-272 (рис. 2) обусловливает
получены результаты как с использованием легкого
необходимость использования Cyanex-272 лишь в
разбавителя (изопар-М), так и тяжелого разбавите-
смеси с другими экстрагентами.
ля Ф3. Коэффициенты разделения лютеция и иттер-
Средняя погрешность расчета коэффициентов
бия в исследованных экстракционных системах со-
распределения по модели не превышает 7-8 отн%. ставляют 1.4-1.6. Полученные экспериментальные
РАДИОХИМИЯ том 64 № 3 2022
240
АМБУЛ и др.
данные по экстракеции лютеция и иттербия с P507
Quantum Chemistry Study // The Journal of Physical
использованы для построения математической мо-
Chemistry A. 2017. Vol. 121 (12). P. 2531-2543.
дели, позволяющей предсказать поведение Yb и Lu
9.
Quinn J.E., Soldenhoff K.H., Stevens G.W., Leng-
в экстракционном каскаде. Испытаниям техноло-
keek N.A. // Hydrometallurgy. 2015. Vol. 157. P. 298-
гических режимов разделения лютеция и иттербия
305.
будет посвящена отдельная публикация.
10. Li K., Freiser H. // Solvent Extr. Ion Exch. 1986. Vol. 4,
N 4. P. 739-755.
https://doi.org/10.1080/07366298608917890
КОНФЛИКТ ИНТЕРЕСОВ
11. Wang J., Xie M., Wang H., Xu Sh. // Hydrometallurgy.
2016. Vol. 167. P. 39-47.
Авторы заявляют об отсутствии конфликта ин-
12. Khaironie M.T., Masturah M., Meor Y.M.S.
//
тересов.
J. Kejuruteraan. 2015. Vol. 27. P. 57-62.
13. Xie F., Zhang T.A., Dreisinger D., Doyle F. // Miner.
СПИСОК ЛИТЕРАТУРЫ
Eng. 2014. Vol.56. P. 10-28.
14. Wang J., Chen G., Xu Sh., Yin Zh., Zhang Q. // J. Rare
1.
Болдырев П.П., Загрядский В.А., Ерак Д.Ю., Ку-
Earths. 2016. Vol. 37. P. 724-730.
рочкин А.В., Марковский Д.В., Михин О.В., Про-
шин М.А., Семенов А.Н., Хмызов Н.В., Чувилин Д.Ю.,
15. Афонин М.А., Нечаев А.В., Сибилев А.С.,
Яшин Ю.А. // Мед. физика. 2016. № 3. С. 54-59.
Смирнов А.В. // Тр. Кольск. науч. центра РАН. Хим.
науки. 2018. С. 215-219.
2.
Pillai A.M., Knapp F.F., Jr. // Curr. Radiopharm. 2015.
https://doi.org/10.25702/KSC.2307-5252.2018.9.1.215-219
Vol. 8, N 2. P. 78-85.
16. Fu X., Hu Zh., Liu Y., Golding J.A. // Solvent Extr. Ion
3.
Strosberg J., El-Haddad G., Wolin E. et al. // New
Exch. 1990. Vol. 8. P. 573-595.
England J. Med. 2017. Vol. 376, N 2. P. 125-135.
https://doi.org/1056/NEJMoa1607427
17. Михайличенко А.И., Михлин, Е.Б., Патрикеев Ю.Б.
Редкоземельные металлы. М.: Металлургия, 1987.
4.
Нуртдинов Р.Ф., Прошин М.А., Чувилин Д.Ю. // Ра-
диохимия. 2016. Т. 58, № 2. C. 150-154.
232 с.
5.
Тарасов В.А., Романов Е.Г., Кузнецов Р.А. // Изв.
18. Яцимирский К.Б., Костромина Н.А., Шека З.А. и
Самарск. науч. центра РАН. 2013. №4(5). С. 1084-
Яцимирский К.Б., Костромина Н.А., Шека З.А., Да-
1090.
виденко Н. К., Крисс Е.Е., Ермоленко В.И. Химия
комплексных соединений редкоземельных элемен-
6. Monroy-Guzman F., Jaime Salinas E. // Soc. Quím.
тов. Киев: Наук. думка, 1966. 494 с.
México. 2015. Vol. 59, N 2. P. 143-150.
19. Черемисина О.В. // Зап. Горного ин-та. 2015. Т. 214.
7. Косынкин В.Д., Молчанова Т.В., Жарова Е.В. // Атом.
С. 40-50.
энергия. 2016. Т. 121, № 6. С. 346-350.
20. Saleh M.I., Bari Md.F., Saad B. // Hydrometallurgy.
8.
Jing Y., Chen J., Chen L., Su W. Liu Y., Li D. Extraction
2002. Vol. 63. P. 75-84.
Behaviors of Heavy Rare Earths with Organophosphoric
Extractants: The Contribution of Extractant Dimer
21. Swain B., Out E.O. // Sep. Purif. Technol. 2011. Vol. 83.
Dissociation, Acid Ionization and Complexation. A
P. 82-90.
РАДИОХИМИЯ том 64 № 3 2022