РАДИОХИМИЯ, 2022, том 64, № 3, с. 217-226
УДК 621.039.73
ОКИСЛЕНИЕ ОЯТ ДЕФЕКТНЫХ ТВЭЛОВ
РБМК-1000 В УСЛОВИЯХ СУХОГО ХРАНЕНИЯ
© 2022 г. В. И. Безносюк, А. П. Криницын, К. Я. Мишин,
М. М. Металиди, М. В. Никандрова*
Радиевый институт им. В.Г. Хлопина, Санкт-Петербург, 2-й Муринский пр., д. 28
*e-mail: nikandrova@khlopin.ru
Поступила в редакцию 16.06.2021, после доработки 17.02.2022, принята к публикации 18.02.2022
Исследовано влияние атмосферы влажного азота с содержанием кислорода 0.08, 0.48, 1.30 об% и
температуры 300°С на изменение структуры топливной композиции РБМК-1000 в зависимости от
величины дефекта в оболочке твэла. Показано, что при повреждении оболочки твэла площадью свыше
0.8 мм2 хранение ОЯТ в азотной атмосфере с содержанием кислорода более 0.5 об% при температуре
300°C приводит к достаточно быстрому окислению топливной композиции до U3O8. Таким образом,
сухое хранение ОЯТ должно осуществляться без доступа кислорода.
Ключевые слова: отработавшее ядерное топливо, твэл, сухое хранение, РБМК.
DOI: 10.31857/S0033831122030030, EDN: FPOYJW
ВВЕДЕНИЕ
тивного теплообмена. По мнению директора изо-
топно-химического завода Горно-химический ком-
Отработавшее ядерное топливо (ОЯТ) атом-
бината И.Н. Сеелева, хранить ОЯТ сухим способом
ных электростанций требует особого обращения.
значительно безопаснее и дешевле: в отличие от
Находясь в реакторе, тепловыделяющие элементы
«мокрого» хранилища здесь отсутствуют расходы
(твэлы) накапливают большое количество продук-
на водоснабжение и водоподготовку, не нужно ор-
тов деления и даже спустя годы после извлечения
ганизовывать циркуляцию воды, объект не постра-
из активной зоны реактора выделяют тепло: в от-
дает при потере электропитания, а от персонала
сутствие принудительного охлаждения твэлы ра-
не требуется никаких действий, кроме собственно
зогреваются до нескольких сотен градусов. Для
загрузки ОЯТ. В этом смысле создание сухой тех-
обеспечения теплосъема по окончании топливной
нологии - огромный шаг вперед. Однако полно-
кампании облученные тепловыделяющие сборки
стью отказаться от водоохлаждаемого хранилища
помещают в пристанционные бассейны выдерж-
нельзя: из-за повышенного тепловыделения ОЯТ
ки - «мокрое» хранилище ОЯТ. В настоящее время
должно находиться в воде первые 10-15 лет. Только
принята концепция долговременного хранения ОЯТ
после этого его можно перемещать в сухой зал или
в сухих хранилищах с тем, чтобы водоохлаждаемое
отправлять на переработку [1]. Предполагается, что
хранилище было лишь промежуточным этапом пе-
температура сборок ОЯТ РБМК, выгружаемых из
ред сухим хранением и переработкой ОЯТ. Хранить
«мокрого» хранилища, достигает порядка 300°C,
отработавшее топливо в сухих хранилищах пред-
причем значительная часть твэлов в сборках по
полагается до 50 лет и более. Охлаждает сборки
ряду причин являются негерметичными.
наружный воздух, который самотеком поступает
Основным компонентом ОЯТ РБМК, как извест-
по воздуховодам. При этом не требуется принуди-
но, является диоксид урана. В случае негерметич-
тельной вентиляции: циркуляция воздуха обеспе-
ности твэла в результате воздействия кислорода
чивается благодаря определенному расположению
UO2 окисляется до U3O8, что приводит к увеличе-
каналов, а отвод тепла происходит за счет конвек-
нию объема топливной матрицы на ≈30%. Процесс
217
218
БЕЗНОСЮК и др.
интенсивного окисления диоксида урана начина-
сухого хранения на окисление ОЯТ в процессе дли-
ется при температуре выше 350°C. Однако, даже
тельной выдержки негерметичных твэлов реакто-
при 22°С в приповерхностных слоях таблеток UO2
ров типа РБМК-1000. Для моделирования условий
происходит медленное увеличение стехиометриче-
сухого хранения образцы облученного топлива вы-
ского коэффициента (соотношение O/U) на 0.003-
держивали при температуре 300°С в атмосфере азо-
0.006 от исходного значения в течение 3500 ч [2].
та с примесью кислорода при различных величинах
Объемное окисление UO2 на воздухе начинается
дефекта оболочки. Полученные результаты вкрат-
при температуре выше 60°С. В интервале темпе-
це изложены в публикациях [13, 14], подробное их
ратур 165-260°С конечным продуктом окисления
описание и обсуждение приведено ниже.
является оксид состава UO2.37, а в интервале тем-
ператур 270-800°С - U3O8 [2]. Последовательность
ЭКСПЕРИМЕНТАЛЬНАЯ ЧАСТЬ
фазовых переходов в процессе окисления диоксида
урана в интервале температур 260-400°C описана в
Исследование влияния атмосферы влажного азо-
работах [3-5]:
та с различным содержанием кислорода, величины
UO2 → UO2+x → UO2.25±x (U4O9) →
дефекта в оболочке твэла и физического состояния
→ тетрагональные фазы (UO2.32, UO2.37, UO2.41) →
образца топлива на скорость окисления облученно-
→ UO2.67-x →UO2.67 (U3O8).
го диоксида урана проводили в изотермических ус-
Понижение плотности оксида при переходах
ловиях при температуре 300°C. В ходе эксперимен-
UO2 (10.96 г/см3) → U4O9 (11.30 г/см3) → U3O8
тов варьировали содержание кислорода в газовой
(8.39 г/см3) достигает ≈25% и является достаточ-
смеси, а также величину дефекта в оболочке твэла,
ным для превращения керамического оксидного
включая предельные значения (полностью герме-
топлива в мелкодисперсный порошок U3O8 с разме-
тичная и абсолютно негерметичная оболочка). В
ром частиц до нескольких микрометров.
качестве величин, характеризующих влияние пере-
численных факторов на окисление ОЯТ, использо-
На основании выше изложенного и с учетом ли-
вали среднюю константу скорости реакции окисле-
тературных данных [3-12] можно заключить, что в
ния (K) и соотношение O/U в ОЯТ после окисления.
неповрежденных твэлах, т.е. в атмосфере инертного
газа, даже при высоких температурах диоксид ура-
В работе использовали образцы ОЯТ
на сохраняет свою структуру и свойства. В дефек-
РБМК 1000 Ленинградской АЭС с начальным
тных твэлах, напротив, под воздействием кислоро-
обогащением порядка 2% и средним выгоранием
да воздуха и влаги при повышенных температурах
19.73 МВт·сут/(кг U), выгруженные из активной
происходит окисление топливной композиции.
зоны реактора в 1976 г. Образцы ОЯТ, предназна-
ченные для газотермических исследований, пред-
Вместе с тем известно, что механизмы окисле-
ния необлученных таблеток UO2 и ОЯТ несколько
ставляли собой фрагменты облученных твэлов, на-
рубленные на отрезки длиной ~30 мм (образцы М1-
различаются: в начале процесса скорость окисле-
ния ОЯТ на воздухе выше, чем скорость окисления
М7, табл. 1). Дополнительно готовили контрольные
необлученного топлива, затем она постепенно сни-
образцы, предназначенные для проведения «холо-
жается; конечным продуктом окисления ОЯТ явля-
стых» опытов и представляющие собой образец, за-
ется U3O8, однако возможно образование и U4O9+x
герметизированный с торцов крышками из нержа-
в результате формирования твердого раствора с ок-
веющей стали с помощью высокотемпературного
сидами неодима и церия, имеющими флюоритовую
герметика (полностью герметичный образец М8,
структуру с параметрами решетки, близкими к па-
табл. 1), фрагменты таблеток облученных твэлов
раметрам решетки U4O9. С учетом вышеизложенно-
без оболочки (полностью негерметичные образ-
го данные, полученные в ходе изучения окисления
цы М10 и М12, табл. 1), а также пустую оболочку
необлученного топлива, не могут быть использова-
твэла, тщательно очищенную от облученного то-
ны для предсказания долговременного поведения
плива механическим способом и предназначенную
ОЯТ в аналогичных условиях. В этой связи целью
для учета изменения массы образцов за счет при-
данной работы являлось изучение влияния условий
роста массы оболочки твэла (образец М11, табл. 1).
РАДИОХИМИЯ том 64 № 3 2022
ОКИСЛЕНИЕ ОЯТ ДЕФЕКТНЫХ ТВЭЛОВ РБМК-1000
219
Таблица 1. Характеристики образцов ОЯТ РБМК-1000
Характеристики образца
Условия окисления
температура и
величина
Образец
Описание образца
содержание
экспозиционная
время
дефекта
длина, а мм
масса, б г
О2 в газовой
доза, Р/ч
окисления, в
пенала (S),
смеси, об.%
°С / час
мм2
М1
Отрезок твэла в
0.74
33.5
23.464
0.08
300 / 3764
7.1 ± 0.5
пенале
М2
Отрезок твэла в
0.57
32.0
18.509
0.08
300 / 3764
0.8 ± 0.2
пенале
М3
Отрезок твэла в
0.57
32.0
17.830
0.08
300 / 3608
0.04 ± 0.04
пенале
М4
Отрезок твэла в
0.86
32.5
29.410
0.48
300 / 3621
7.1 ± 0.5
пенале
М5
Отрезок твэла в
0.90
31.5
31.023
0.48
300 / 3621
0.8 ± 0.2
пенале
М6
Отрезок твэла в
0.78
32.5
28.379
0.48
300 / 3621
0.04 ± 0.04
пенале
М7
Отрезок твэла в
0.16
33.1
4.218
1.30
300 / 2620
-г
открытом виде
М8
Отрезок твэла
0.33
32.0
9.666
1.30
300 / 1390
-д
герметизированный
с торцов
М10
Фрагменты
0.33
-
10.132
1.30
300 / 1634
-г
таблеток
М11
Оболочка твэла
0.02
32.5
7.540
1.30
300 / 2223
-г
М12
Фрагменты
0.25
-
8.029
-е
520 / 3.5
-г
таблеток
а Определяли с помощью штангенциркуля 2 класса точности.
б Определяли с помощью весов II класса точности
в Определяли с точностью до 0.5 ч.
г Абсолютно негерметичный образец (т.е. образец без пенала).
д Полностью герметичный образец.
е Окисление осуществляли на воздухе.
Подготовленные для газотермических исследо-
личных марок с содержанием кислорода 0.08 ± 0.03,
ваний образцы М1-М6 помещали в пеналы из не-
0.48 ± 0.07, 1.3 ± 0.2 об%. Газ, подаваемый в реактор
ржавеющей стали диаметром 27 и высотой 38 мм
со скоростью 1.7 ± 0.2 л/ч, увлажняли барботажом
с крышкой на резьбе и алюминиевой прокладкой.
через дистиллированную воду при комнатной тем-
В крышках пеналов просверливали отверстия ди-
пературе до относительной влажности 80-90%, или
аметром 0.23, 1.00 и 3.00 мм (диаметр отверстий
0.018-0.021 г/л в пересчете на абсолютную влаж-
определяли с помощью штангенциркуля 1 класса
ность.
точности) и площадью (S) 0.04 ± 0.04, 0.8 ± 0.2 и
Принципиальная схема термоокислительной
7.1 ± 0.5 мм2 соответственно, имитирующие негер-
установки с системой контроля и управления пред-
метичность твэла разной степени. Все пеналы пе-
ставлена на рис. 1. Установка была смонтирована
ред началом испытаний прогревали на воздухе при
в защитном пятисекционном боксе и оборудована
температуре 450-500°C в течение 5 ч до постоян-
системой дистанционной подачи и перемещения
ной массы.
образцов ОЯТ, а также системами контроля и авто-
Для имитации атмосферы хранения были приго-
матического поддержания температуры и расхода
товлены газовые смеси, составы которых соответ-
газа в реакторах. Система контроля температуры в
ствовали азоту техническому по ГОСТ 9293-74 раз-
нагревательных устройствах позволяла поддержи-
РАДИОХИМИЯ том 64 № 3 2022
220
БЕЗНОСЮК и др.
1
(300±2)°C
(300±2)°C
(300±2)°C
TPM-10
TPM-10
TPM-10
2
3
ТП
ТП
ТП
9
9
9
10
10
10
7
8
8
8
7
4
5
6
Рис. 1. Схема установки для газотермических испытаний образцов твэлов ОЯТ РБМК-1000. 1 - регуляторы-измерители
температуры в печах типа ТРМ-10; 2 - оптотиристорные реле включения-выключения нагрева печей-реакторов; 3 -
печи-реакторы с образцами твэлов ОЯТ РБМК-1000 (ТП - термопары); 4 - баллон с газовой смесью азот-кислород
(0.08 ± 0.03 об%); 5 - баллон с газовой смесью азот-кислород (0.48 ± 0.07 об%); 6 - баллон с газовой смесью азот-кислород
(1.3 ± 0.2 об%); 7 - редукторы с манометрами; 8 - вентили тонкой регулировки; 9 - калиброванные дифференциальные
водяные манометры для контроля скорости подачи газовых смесей; 10 - барботеры с дистиллированной водой для
увлажнения потоков газовых смесей.
вать ее с точностью ±3°C в течение всего периода
для определения прироста массы диоксида урана.
испытаний.
Массу оболочки учитывали расчетным путем исхо-
Константы скорости реакции окисления ОЯТ
дя из геометрических размеров отрезка твэла с уче-
рассчитывали по формуле (1):
том данных по изменению массы оболочки твэла,
освобожденной от топлива при нагревании на воз-
,
(1)
духе, полученных по результатам экспериментов с
образцом М11.
где ∆m - изменение массы образца, г; m0 - началь-
ная масса образца, г; Δτ - время окисления, ч.
Абсолютные ошибки рассчитанных таким обра-
зом констант скорости окисления ОЯТ вычисляли с
Для определения величины ∆m в процессе экс-
использованием известных формул для оценки по-
перимента через определенные промежутки време-
грешности косвенных измерений:
ни проводили контрольное взвешивание образцов.
Для этого прерывали нагрев, образцы охлаждали
y f
(x
, x
,..., x
)
1
2
n
,
до комнатной температуры, сохраняя продувку газа
f
2
f
2
f
2
через реактор в целях снижения температуры до
y

(
x
)
(
x
)
(
x
)
1
2
n
,
(2)
x
x
x
1
2
n
140-150°C. Дальнейшее понижение температуры
осуществлялось без продувки газа. После дости-
жения комнатной температуры пеналы с образцами
x
- абсолютная погрешность определения пе-
извлекали из реакторов и поочередно взвешивали
ременной x.
РАДИОХИМИЯ том 64 № 3 2022
ОКИСЛЕНИЕ ОЯТ ДЕФЕКТНЫХ ТВЭЛОВ РБМК-1000
221
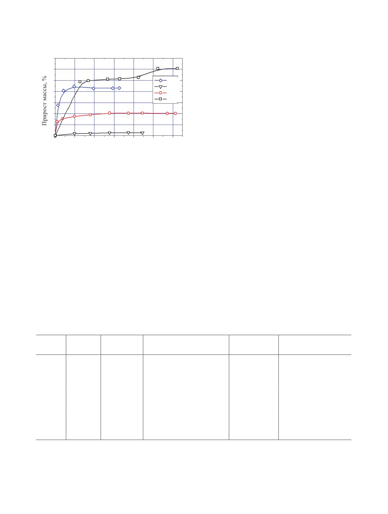
7
продолжительности испытаний, измеряемой сот-
6
нями и тысячами часов, предполагается, что про-
M10
исходит выравнивание скорости окисления по всей
5
M11
массе образца.
4
M8
M7
Рентгенофазовый анализ структуры исследу-
3
емых образцов после проведения экспериментов
2
проводили на дифрактометре ДРОН-УМ1 с исполь-
зованием CuKα-излучения.
1
00
500
1000
1500
2000
2500
3000
РЕЗУЛЬТАТЫ И ИХ ОБСУЖДЕНИЕ
Время, ч
Рис. 2. Изотермы окисления ОЯТ РБМК-1000 во фраг-
Предварительно определяли исходное состоя-
ментах твэлов (М7 и М8), фрагментов таблеток (М10), а
также оболочки твэла (М11) в атмосфере влажного азота,
ние топливной композиции в исследуемых образ-
содержащего 1.3 ± 0.2 об% кислорода.
цах, т.е. величину возможной доли окисления урана
в ОЯТ за время, прошедшее с момента выгрузки
Соотношения O/U рассчитывали из прироста
топлива из активной зоны реактора. Термическая
массы образцов после каждого временнóго интер-
обработка фрагментов таблеток твэлов без обо-
вала окисления. Эти данные являются усреднен-
лочки (образец М12) на воздухе при 520°C в тече-
ными по скорости окисления всей массы образца.
ние 3.5 ч дала прирост массы образцов на 4.05%.
Теоретически стехиометрический коэффициент
Рентгенофазовый анализ показал, что в исходных
должен снижаться по мере удаления от поверхно-
образцах весь уран находился в форме диоксида.
сти образца. Доподлинно определить, так это или
Отсюда следует, что за время хранения окисления
нет, можно было бы путем определения коэффици-
топливной композиции не происходило.
ента диффузии кислорода в толщу образца, но про-
На рис. 2 и в табл. 2 представлены данные, по-
ведение такого эксперимента в радиохимическом
лученные в ходе «холостых» опытов по окислению
исполнении сопряжено с определенными техниче-
исследуемых образцов в газовой смеси, содержа-
скими сложностями, связанными, в частности, с
щей 1.3 об% кислорода:
большим количеством пылящих операций и необ-
ходимостью использования массивного образца то-
- отрезок твэла в открытом виде (абсолютно негер-
пливного материала. В этой связи с учетом высокой
метичный образец М7);
Таблица 2. Константы скорости окисления ОЯТ РБМК-1000 и оболочки твэла в атмосфере азота, содержащего
1.3 ± 0.2 об% О2 при 300°C
Масса
Временной
Средние константы скорости
Фазовый состав
Образец
Отношение O/U
образца,а г
интервал,б ч
реакции K, г/(гобр·ч)
конечного продукта
М7
4.218
0-200
(15.0 ± 29.6) × 10-5
2.51 ± 0.03
U3O8 (UO2.9)
200-640
(4.3 ± 9.3) × 10-5
2.82 ± 0.04
640-2100
(0.2 ± 2.8) × 10-5
2.87 ± 0.04
2127-2620
(1.6 ± 2.6) × 10-5
3.02 ± 0.04
М8
9.666
0-45.5
(28.0 ± 56.8) × 10-5
2.22 ± 0.03
н/ов
45.5-493
(1.1 ± 5.2) × 10-5
2.30 ± 0.03
493-1390
(0.3 ± 1.9) × 10-5
2.35 ± 0.03
М10
10.132
0-66
(41.9 ± 37.4) × 10-5
2.37 ± 0.03
U3O8,
66-214
(8.8 ± 11.5) × 10-5
2.55 ± 0.04
O/U = 2.73, d = 8.40 г/см3
214-480
(1.5 ± 1.5) × 10-5
2.75 ± 0.04
500-1634
2.73 ± 0.04
а Определяли с помощью весов II класса точности.
б Определяли с точностью до 0.5 ч.
в Не определяли.
РАДИОХИМИЯ том 64 № 3 2022
222
БЕЗНОСЮК и др.
4.14
3000
CuKα-излучение
2600
2200
3.41
2.63
1800
1.774
1400
2.08
1000
1.967
1.286
1.429
600
1.706
1.579
1.318
1.381
400
20
24
28
32
36
40
44
48
52
56
60
64
68
72
76
80
Угол 2θ, град
Рисунок 3. Дифрактограмма образца ОЯТ (образец М10). Фазовый состав - U3O8 (#31-1425), гексагональная сингония,
плотность 8.40 г/см3, эффективный размер кристаллитов 300 Å по направлению 00L и 200 Å по другим направлениям.
CuKα-излучение
- отрезок твэла, герметизированный с торцов (пол-
ний прирост массы образца М10 стабилизировался
ностью герметичный образец М8);
на уровне 4.31% при конечном соотношении O/U,
- фрагменты таблеток облученного топлива разме-
равном 2.73. Это соответствует соотношению O/U
ром ~2-5 мм (образец М10);
в закиси-окиси урана состава U3O8+х, наличие кото-
- оболочка твэла, освобожденная от облученного
рой подтверждается результатами рентгенофазово-
топлива (образец М11).
го анализа (рис. 3).
Отрезок оболочки твэла, освобожденной от об-
При окислении отрезка твэла, открытого с тор-
лученного топлива (образец М11), использовав-
цов (абсолютно негерметичный образец М7), уже
шийся для проведения газотермических испытаний,
за первые 640 ч газотермических испытаний при-
был взят из того же твэла, что и все исследованные
нами образцы ОЯТ РБМК-1000. Циркониевая обо-
рост массы образца достигает 5.26% (соотноше-
лочка была тщательно очищена в защитном боксе
ние O/U = 2.82). Затем изотерма выходит на плато
от топлива механическим способом с последующей
с небольшим подъемом вплоть до 2400 ч нагрева-
протиркой тканью внутренних и внешних поверх-
ния, после чего следует быстрый прирост массы с
ностей для удаления пылеобразных остатков ОЯТ.
5.26 до 6.05%. При этом соотношение O/U меня-
Изменение массы образца оболочки в ходе газотер-
ется от 2.87 до 3.02. Полученные в эксперименте
мических испытаний в указанных выше условиях
столь высокие значения прироста массы и, соответ-
протекало в очень незначительной степени (М11,
ственно, соотношения O/U противоречат результа-
рис. 2): за 2223 ч прирост массы оболочки составил
там рентгенофазового анализа, согласно которым
всего 19 мг (0.25%). Отсюда следует, что прирост
конечным продуктом окисления является U3O8.
массы за счет доокисления материала оболочки твэ-
Предполагается возможность образования описан-
ла при длительных испытаниях является незначи-
ного в литературе соединения UO2.9 оливково-зе-
тельным и может не учитываться при определении
леного цвета с такой же, как у α-U3O8, плотностью
изменения массы исследуемых образцов в ходе га-
зотермических испытаний.
(8.42 г/см3) и с такой же -орторомбической- струк-
турой. Инструментальная проверка этого предпо-
Окисление фрагмента топливной таблетки без
ложения не проводилась ввиду технической слож-
оболочки (М10, рис. 2), как и следовало ожидать,
происходит с наиболее высокой начальной скоро-
ности проведения работ с ОЯТ. Соединение UO2.9
стью из всех рассматриваемых в данной серии экс-
было впервые обнаружено при нагревании аморф-
периментов образцов. После первых 500 ч испыта-
ного UO3 на воздухе при 520°C [6].
РАДИОХИМИЯ том 64 № 3 2022
ОКИСЛЕНИЕ ОЯТ ДЕФЕКТНЫХ ТВЭЛОВ РБМК-1000
223
Таблица 3. Зависимость констант скорости реакции окисления ОЯТ РБМК-1000 от состава газовой фазы и величины
дефекта оболочки твэла, г/(гобр.·ч)
Площадь отверстия в пенале, мм2
Содержание О2 в газовой фазе, об%
0.04
0.8
7.1
константа скорости реакции окисления ОЯТ РБМК-1000
0.08 ± 0.03
(1.7 ± 2.8) × 10-5
(0.1 ± 1.5) × 10-5
(0.5 ± 3.1) × 10-6
0.48 ± 0.07
(0.4 ± 2.3) × 10-5
(6.0 ± 7.8) × 10-7
(2.0 ± 2.6) ×10-7
Таблица 4. Зависимость отношения O/U от состава газовой фазы и величины дефекта оболочки твэла
Площадь отверстия в пенале, мм2
Содержание О2 в газовой фазе, об%
0.04
0.8
7.1
Отношение O/U
0.08 ± 0.03
2.74 ± 0.04
2.77 ± 0.04
2.69 ± 0.04
0.48 ± 0.07
2.56 ± 0.04
2.80 ± 0.04
2.77 ± 0.04
Окисление топлива в отрезке твэла, загерметизи-
ции в изотермических условиях в зависимости от
рованного с торцов (образец М8), вероятно, объяс-
степени негерметичности исследуемых образцов,
няется поступлением кислорода через микротрещи-
представлены на рис. 4, 5 и в табл. 3, 4.
ны герметизированного слоя. На начальной стадии
При рассмотрении результатов окисления образ-
окисление происходит с относительно высокой ско-
цов в пеналах с различными диаметрами отверстий
ростью, затем процесс резко замедляется и изотерма
видно, что в исследованном диапазоне концентра-
окисления, начиная с 1400 ч экспозиции и вплоть до
ций кислорода окисление UO2 до U3O8 происходит
3870 ч, имеет вид строго горизонтальной прямой.
в случае значительных повреждений оболочки (пло-
Это может свидетельствовать о стабилизации хи-
щадь отверстия более 0.8 мм2). При площади де-
мического состояния ОЯТ на стадии образования
фекта оболочки менее 0.04 мм2 (заданный диаметр
тетрагональных структур U4O9+х (O/U = 2.30 и 2.35)
отверстия в пенале 0.23 мм) окисление диоксида
или об образовании плотного слоя продуктов окис-
урана до U3O8 за 3000 ч происходит не полностью.
ления, который способен препятствовать диффузии
Это подтверждается результатами гравиметриче-
молекул кислорода к оставшейся неокисленной ча-
ского (образцы М3 и М6, рис. 4 и 5) и рентгенофазо-
сти топливной композиции.
вого анализов. И только по истечении 3500 ч наблю-
Экспериментальные данные, демонстрирующие
дается увеличение массы образцов в этих пеналах,
динамику процесса окисления топливной компози- соответствующее окислению UO2 до U3O8. С точки
Рис. 4. Изотермы окисления ОЯТ РБМК-1000 в атмосфере
Рис.
5. Изотермы окисления ОЯТ РБМК-1000 в
влажного азота, содержащего 0.08 ± 0.03 об% кислорода,
атмосфере влажного азота, содержащего 0.48 ± 0.07 об%
в пеналах с отверстиями диаметром: образец M1 - 3.0,
кислорода, в пеналах с отверстиями площадью: образец
M2 - 1.0, M3 - 0.23 мм.
М4 - 7.0, М5 - 0.8, М6 - 0.04 мм2.
РАДИОХИМИЯ том 64 № 3 2022
224
БЕЗНОСЮК и др.
Таблица 5. Коэффициенты парной корреляции изменяющихся параметров эксперимента
Содержание О2 в
Константа скорости
Площадь отверстия
Параметры эксперимента
Отношение O/U
газовой фазе V
O2
окисления k
в пенале S
Содержание О2 в газовой фазе V
O2
1
Константа скорости окисления k
-0.38а
1
Отношение O/U
-0.15
-0.09
1
Площадь отверстия в пенале S
5.85 × 10-17
-0.48
0.14
1
а при rxy = 0 связь между x и y отсутствует; при rxy = +1 между x и y существует строгая положительная связь (при росте одной из
величин возрастает и другая); при rxy = -1 между x и y существует строгая отрицательная связь (при увеличении одной из величин
другая уменьшается); при -1 < rxy < +1 о корреляции судят лишь с точки зрения большей или меньшей вероятности.
Таблица 6. Результаты расчета величин t
Содержание О2 в
Константа скорости
Площадь отверстия
Параметры эксперимента
Отношение O/U
газовой фазе V
окисления k
в пенале S
2
O
Содержание О2 в газовой фазе VO2
1
Константа скорости окисления k
-0.82
1
Отношение O/U
-0.30
-0.17
1
Площадь отверстия в пенале S
1.17 × 10-16
-1.09
0.28
1
зрения предполагаемой продолжительности сухого
димые расчеты проводили с использованием стан-
хранения ОЯТ эта величина пренебрежимо мала.
дартных средств MS Excel.
Вместе с тем, соответствующие данные могут быть
Методика проведения корреляционного анали-
использованы в логистических расчетах, при под-
за и расчета коэффициентов корреляции подробно
готовке методик проведения экспертизы и оценки
описана в работах [16, 17]. Данный метод позволя-
безопасности хранилища ОЯТ «сухого» типа, при
ет установить с некоторой наперед заданной веро-
формировании перечня проектных и запроектных
ятностью наличие или отсутствие линейной связи
аварий на таком объекте и т.п.
между исследуемыми параметрами x и y. Для этого
Кинетика окислительного взаимодействия то-
рассчитывали коэффициенты парной корреляции
плива с азотно-кислородными газовыми смесями,
rxy для всех переменных, значения которых приве-
содержащими 0.08 и 0.48 об% кислорода, в случае
дены в табл. 3 и 4. Полученные значения коэффици-
использования пеналов с площадью отверстий 0.8
и 7.1 мм2, аналогична (образцы М1, М2, рис. 4; М4,
ентов парной корреляции приведены в табл. 5.
М5, рис. 5).
Статистическую проверку полученных значений
Для статистической проверки описанных выше
проводили с использованием таблицы теоретиче-
предположений был проведен корреляционно-ре-
ских значений распределения коэффициента корре-
грессионный анализ полученного массива экспе-
ляции, приведенной в монографии [17]. В резуль-
риментальных данных. Данный метод позволяет
тате при проверке гипотезы о наличии линейной
корректно сравнить между собой полученные экс-
корреляции между рассматриваемыми параметра-
периментальные данные с использованием стати-
ми для всех пар значений был получен отрицатель-
стических критериев, а также установить матема-
ный ответ - линейная связь между ними отсутству-
тическую форму зависимости измеряемой физи-
ет. Однако это может означать возможное наличие
ческой величины от влияющих на нее параметров
нелинейной зависимости между исследуемыми
эксперимента, т.е. построить уравнение регрессии
величинами. В этом случае критерием независимо-
y = f(x1, x2, … xn), и включает вычисление коэффи-
сти пар величин, между которыми не оказалось ли-
циентов корреляции и оценку их статистической
значимости, вычисление коэффициентов регрес-
нейной корреляционной связи, служила величина t,
сии, оценку их значимости и степени адекватности
которая следует распределению Стьюдента с (n - 2)
математической модели в целом [16]. Все необхо-
степенями свободы (4):
РАДИОХИМИЯ том 64 № 3 2022
ОКИСЛЕНИЕ ОЯТ ДЕФЕКТНЫХ ТВЭЛОВ РБМК-1000
225
ствует о тесной связи между учтенными в уравне-
(3)
нии переменными и результирующей функцией.
Между тем, оценка статистической значимости
коэффициентов уравнения с использованием
Если вычисленное значение t больше таблич-
t-критерия Стьюдента показала, что влияние со-
ного при заданном уровне значимости, то гипоте-
за об отсутствии парной корреляции отвергается.
держания кислорода в газовой смеси на конечное
соотношение O/U статистически незначимо с на-
Результаты соответствующих расчетов приведены
дежностью 95%. С точки зрения статистической
в табл. 6.
обработки полученных экспериментальных данных
Полученные результаты позволяют утверждать
отсюда следует, что уравнение множественной ре-
наличие обратно пропорциональной нелинейной
грессии можно упростить до (6)
корреляционной связи между следующими параме-
трами: k и V
O2
, а также k и S. Другими словами, с
(6)
вероятностью P > 0.50 чем выше содержание кис-
без ущерба для точности результатов расчета. Что
лорода в газовой фазе, тем ниже скорость реакции
касается отсутствия влияния содержания кислорода
окисления топливной композиции; с вероятностью
на конечное соотношение O/U, данный факт озна-
P > 0.60 чем больше площадь отверстия в пенале,
чает, что окисление топливной композиции проис-
тем ниже скорость реакции окисления топливной
ходит в любом случае, даже при самом минималь-
композиции. Возможно, это явление связано со
ном содержании кислорода в газовой смеси. Таким
значительной «пассивацией» поверхности иссле-
образом, сухое хранение ОЯТ должно быть органи-
дуемого образца при повышенном содержании кис-
зовано таким образом, чтобы полностью исключить
лорода в газовой фазе и повышенной кратности га-
контакт твэлов с кислородом воздуха.
зообмена на границе раздела фаз, препятствующей
Ошибка аппроксимации полученного уравне-
дальнейшему объемному окислению топливной
композиции. Но это предположение требует допол-
ния, т.е. среднее отклонение расчетных значений
результирующей функции от фактических, рассчи-
нительной проверки.
тывали по формуле (7):
Математическая модель процесса окисления то-
пливной композиции представлена в виде уравне-
ния множественной регрессии вида (4):
,
(7)
(4)
,
где yi и yx - экспериментальное и рассчитанное по
где y - результирующая функция; b0 - свободный
уравнению множественной регрессии значение ре-
член уравнения регрессии; b1, b2, …, bk - коэф-
зультирующей функции соответственно, n - коли-
фициенты регрессии; x1, x2, …, xk - независимые
чество экспериментов. Результат расчета ошибки
переменные. В качестве результирующей функ-
аппроксимации составил 4.81%, что свидетельству-
ции было выбрано конечное соотношение O/U.
ет об адекватности выведенного уравнения.
Независимыми переменными являлись продолжи-
тельность окисления t (ч), степень негерметичности
Найденные коэффициенты уравнения линей-
ной регрессии характеризуют интенсивность вли-
образца S (мм2) и содержание кислорода в газовой
яния отдельных параметров уравнения регрессии
смеси V (об%). Коэффициенты уравнения множе-O
2
на результирующую функцию. Поскольку незави-
ственной регрессии вычисляли методом наимень-
симые переменные, вошедшие в состав уравнения
ших квадратов.
линейной регрессии, характеризуются различными
По результатам расчетов было получено уравне-
единицами измерения, для оценки влияния их из-
ние множественной регрессии, которое записывает-
менения на величину результирующей функции ис-
ся в явном виде как (5)
пользуют коэффициенты эластичности k, которые
(5)
показывают, на сколько процентов изменится зна-
Множественный коэффициент корреляции для
чение функции отклика при изменении параметра x
данного уравнения составляет 0.83, что свидетель-
на 1% при постоянстве остальных параметров (8):
РАДИОХИМИЯ том 64 № 3 2022
226
БЕЗНОСЮК и др.
3.
Власов В.Г., Жуковский В.М., Ткаченко Е.В.
(8)
Кислородные соединения урана. М.: Атомиздат,
1972. 256 с.
Расчеты показали, что коэффициенты эластич-
4.
Gilbert E.R., White G.D., Knox C.A. // Workshop
ности переменных t и S составляют 0.039 и 0.008
on Irradiate Fuel Storage Operating Experience and
соответственно. Это означает, что чем выше про-
Development Programs. Toronto, ON (Canada),
должительность окисления и степень негерметич-
Oct. 17-18, 1984. P. 551.
ности образца, тем выше конечное соотношение
5. Безносюк В.И., Галкин Б.Я., Колядин А.Б.,
O/U. При этом наиболее существенное влияние на
Криницын А.П., Федоров Ю.С., Любцев Р.И.
//
результирующую функцию оказывает именно про-
Радиохимия. 2007. Т. 49. № 4. С. 334-338.
должительность окисления.
6.
Переработка облученного топлива методом ле-
тучести фторидов (Информационный бюллетень
ЗАКЛЮЧЕНИЕ
по материалам зарубежной печати. ГКАЭ СССР,
ЦНИИАтоминформ) / Пер. с англ. М.: Атомиздат,
Полученные результаты показывают, что хране-
1971. С. 30.
ние ОЯТ РБМК-1000 в азотной атмосфере, содер-
7.
Einziger R.E., Thomas L.E., Buchanan H.C., Stout R.B. //
жащей кислород, при температуре 300°C в случаях
J. Nucl. Mater. 1992. Vol. 190. P. 53.
8.
Colmenares C.A. // Prog. Solid State Chem.
1984.
площади повреждения оболочки ≥0.8 мм2 приводит
Vol. 15. P. 257.
к заметному окислению топливной композиции.
9.
Stout R.B., Kansa E., Einziger R.E., Buchanan H.C.,
Решающее влияние на конечное соотношение O/U
Thomas L.E. // Proc. 2nd Int. High-Level Radioactive
оказывает продолжительность окисления: между
Waste Manangement Conf. Las Vegas, Nevada, 1991.
этими двумя величинами наблюдается прямо про-
P. 103.
порциональная зависимость. В случае отклонения
10. Hastings I.J, Mizzan E., Ross A.M. Novak J.,
перечисленных условий хранения ОЯТ РБМК-1000
Chenier R.J. // Nucl. Technol. 1983. Vol. 63, N 2. P. 254.
в сторону увеличения хранение твэлов должно осу-
11. McEachern R.J., Taylor P.A. // J. Nucl. Mater. 1998.
ществляться в бескислородной атмосфере.
Vol. 209, N 3. P. 270.
12. Kim R.-S., You G.-S. Min D.K., Ro S.G., Kim E.K. //
БЛАГОДАРНОСТИ
J. Korean Nucl. Soc. 1997. Vol. 29, N 2. P. 93.
13. Aloy A.S., Sapozhnikova N.V. Influence of Radiation,
Environment and Temperature on the Interaction of the
Авторы признательны Балину Н.Д. за органи-
Spent Fuel RMBK-1000 and Borosilicate Glasses under
зацию экспериментальной части работы, а также
Simulated Repository Conditions. https://www-pub.
Алою А.С и Кольцовой Т.А. за выполнение рентге-
iaea.org/MTCD/publications/PDF/TE_1563_CD/PDF/
нофазовых исследований и обсуждение результатов
Part_one_together.pdf. Дата обращения 23.03.2021 г.
работы.
14. Aloy A. // Spent Fuel and High Level Waste: Chemical
Durability and Performance under Simulated Repository
КОНФЛИКТ ИНТЕРЕСОВ
Conditions. Results of a Coordinated Research Project
1998-2004: IAEA-TECDOC-1563.. Vienna, Austria:
Авторы заявляют об отсутствии конфликта ин-
IAEA, 2007. P. 13.
тересов.
15. Papaioannou D., Hollas S., Rondinella V.V.,
Sasahara A. // Top Fuel
2012 (Spent Fuel and
Transportation). Manchester (UK), Sept. 2-6, 2012. P. 5.
СПИСОК ЛИТЕРАТУРЫ
16. Никандрова М.В. Механизм фиксации высокоактив-
1.
Сеелев И.Н. Как хранят отработавшее ядерное топли-
ных отходов в измененном поверхностном слое бо-
во, а, главное, зачем? https://www.atomic-energy.ru/
росиликатного стекла. Дис. … к.х.н. СПб.: СПбГУ,
SMI/2018/04/09/84831. Дата обращения 23.03.2021 г.
2016. С. 155.
2.
Ракитская Е.М., Панов А.С. // Атом. энергия. 2000.
17. Дерффель К. Статистика в аналитической химии /
Т. 89, № 5. С. 372.
Пер. с нем. М.: Мир, 1994. 268 с.
РАДИОХИМИЯ том 64 № 3 2022