РАДИОХИМИЯ, 2022, том 64, № 2, с. 193-200
УДК 544.58+546.36
СОРБЦИЯ Cs(I) НА ГЛИНАХ
МЕСТОРОЖДЕНИЙ
МАРКОВСКОЕ (БЕЛАРУСЬ)
И 10-й ХУТОР (ХАКАСИЯ, РОССИЯ)
© 2022 г. А. А. Баклайa, *, Н. А. Маковскаяa, Т. Г. Леонтьеваa,
Д. А. Кузьмукa, Л. Н. Москальчукa, б
a Объединенный институт энергетических и ядерных исследований - Сосны НАН Беларуси,
220109, Минск, а/я 119
б Белорусский государственный технологический университет,
220006, Минск, ул. Свердлова, д. 13а
*e-mail: a.baklay@tut.by
Поступила в редакцию 05.04.2021, после доработки 19.06.2021, принята к публикации 22.11.2021
Изучены минеральный состав и сорбционные характеристики образцов природных глин месторождений
Марковское (Беларусь) и 10-й Хутор (Хакасия, Россия). Содержание основных глинистых минералов в
образцах глин данных месторождений составляет, мас%: Марковское - монтмориллонит 37.6, иллит 3.6,
каолинит 14.7; 10-й Хутор - монтмориллонит 58.8. Время установления сорбционного равновесия для
изученных образцов глин при концентрации Cs+ в растворе 3.5 × 10-9 и 10-3 моль/дм3 составляет около
24 ч. Установлено, что рН раствора в диапазоне значений 4.0-10.5 практически не влияет на сорбцию
Cs+ глинами. Определено, что глины имеют два типа сорбционных центров - Т1 и Т2, различающиxся
своей селективностью и емкостью по отношению к Cs+. Сорбционные емкости центров типа Т1 и Т2
глин месторождений по отношению к Cs+ составляют соответственно: Марковское - 3.2 × 10-5 и 0.03
моль/кг, 10-й Хутор - 2.5 × 10-6 и 0.07 моль/кг. Установлено, что сорбция 137Cs из растворов с удельной
активностью не более 1.3 × 1010 Бк/дм3 выше на глине месторождения Марковское по сравнению с глиной
месторождения 10-й Хутор. Сделан вывод о возможности ее использования в составе подстилающего
экрана пункта захоронения низко- и среднеактивных радиоактивных отходов Белорусской АЭС.
Ключевые слова: природная глина, монтмориллонит, иллит, цезий, сорбция, сорбционные центры,
радиоактивные отходы.
DOI: 10.31857/S0033831122020113, EDN: FPIGYW
В 2020 г. в Беларуси введен в эксплуатацию пер-
реализацией принципа многобарьерности, основан-
вый энергоблок Белорусской АЭС. В этой связи осо-
ного на применении системы барьеров (естествен-
бую актуальность приобретает проблема долговре-
ных и инженерных) на пути распространения иони-
менного безопасного захоронения в геологической
зирующего излучения и радиоактивных веществ в
среде радиоактивных отходов (РАО) различного
окружающую среду. Исходя из вышеизложенного
состава, которые будут образовываться и накапли-
для решения проблемы изоляции РАО Белорусской
ваться на Белорусской АЭС. Согласно постановле-
АЭС от окружающей среды планируется строи-
нию Совета Министров Республики Беларусь от
тельство приповерхностного пункта захоронения
02.06.2015 № 460 «Об утверждении стратегии об-
радиоактивных отходов (ПЗРО) с использованием
ращения с радиоактивными отходами Белорусской
многобарьерной защитной системы, представляю-
атомной электростанции» долговременная безо-
щей собой совокупность естественных и инженер-
пасность захоронения РАО должна обеспечиваться
ных барьеров. Буферная засыпка, подстилающий
193
194
БАКЛАЙ и др.
Таблица 1. Образцы природной глины, отобранные для исследований
Шифр образца
Наименование образца
Наименование месторождения (место отбора образца)
ГМ
Глина
Марковское (Гомельская обл., Беларусь)
ГХ
Глина
10-й Хутор (Хакасия, Россия)
и покрывающий экраны являются элементами си-
с использованием CuKα-излучения в диапазоне
стемы инженерных барьеров приповерхностного
съемки 2θ = 2°-70. Для расшифровки рентгено-
ПЗРО [1], для создания которых требуется большое
грамм использовали программу Jade 6.5 (MDI) с
количество глинистых материалов. Исходя из прин-
порошковой базой данных PDF-2. Количествен-
ципа МАГАТЭ для стран, эксплуатирующих АЭС,
ный минеральный состав данного образца глины
рекомендовано использовать местные глинистые
определяли методом Ритвельда [5] в программном
материалы для снижения стоимости строительства
пакете PROFEX GUI для BGMN [6]. Соотношение
ПЗРО [2].
глинистых минералов в тонкой фракции (менее
Целью данной работы является изучение сорб-
2 мкм) образца глины месторождения Марковское
ционных характеристик природных глин, залегаю-
рассчитывали методом математического модели-
щих на территориях Беларуси и России, и оценка
рования рентгеновских дифракционных картин от
возможности использования белорусской глины в
ориентированных препаратов в воздушно-сухом
составе подстилающего экрана ПЗРО Белорусской
и насыщенном этиленгликолем состояниях в про-
АЭС.
граммном пакете Sybilla (Sevron).
Удельную поверхность образцов природных
ЭКСПЕРИМЕНТАЛЬНАЯ ЧАСТЬ
глин определяли методом низкотемпературной ад-
сорбции азота (метод БЭТ) с использованием при-
Для исследований использовали образцы при-
бора ASAP-2010 (Micromeritics, США). Емкость ка-
родной глины, представленные в табл. 1.
тионного обмена (ЕКО) определяли по адсорбции
Выбор природной глины месторождения Мар-
метиленового голубого согласно ГОСТ 21283-93
ковское обусловлен тем, что по сравнению с ранее
[7].
исследованными образцами глин, отобранными
Сорбционные
характеристики
образцов
из 7 месторождений Беларуси [3], находящихся в
природных глин определяли с использованием
промышленной эксплуатации, она обладает наи-
радиоактивного и стабильного цезия [8]. Перед
лучшими сорбционными характеристиками по от-
проведением исследований образцы глин
ношению к цезию. Выбор глины месторождения
высушивали в сушильном шкафу при температуре
10-й Хутор связан с тем, что в России она рассма-
105 ± 5С до постоянной массы, затем растирали в
тривается в качестве перспективного глинистого
ступке и просеивали через сито с размером ячеек
материала для создания барьеров безопасности
1 мм. Модельные радиоактивные растворы готовили
при изоляции РАО [4]. Образец данной природной
путем добавления радиоактивной метки 137Cs в
глины, основным глинистым минералом в которой
дистиллированную воду. Удельная активность
является монтмориллонит, предоставило для ис-
растворов составляла 1.5 × 106 Бк/дм3. Ионную
следований ООО «Компания Бентонит» (Россия).
силу растворов (0.01 моль/дм3) устанавливали с
Характеристики образца: содержание монтмо-
использованием NaClO4 марки ч.д.а.
риллонита 58.8 мас%, емкость катионного обмена
Эксперименты по изучению сорбции цезия (Cs)
45.6 мг-экв/100 г.
из растворов проводили в статических условиях
Исследования природных глин проводили в
при температуре 20 ± 2С путем периодического
следующей последовательности: минеральный
перемешивания образца глины фракции менее
состав-удельная поверхность-сорбционные свой-
0.63 мм с аликвотой раствора
[9]. Время,
ства. Минеральный состав образца природной
необходимое для установления сорбционного
глины месторождения Марковское определяли ме-
равновесия в системе глина-модельный раствор,
тодом рентгенофазового анализа (РФА) на рентге-
определяли на основании изучения кинетики
новском дифрактометре Ultima-IV, Rigaku (Япония)
сорбции цезия с использованием 137Cs в качестве
РАДИОХИМИЯ том 64 № 2 2022
195
СОРБЦИЯ Cs(I) НА ГЛИНАХ
Q
радиоактивной метки. Кинетические эксперименты
проводили при рН 6.5 с концентрацией Cs, равной
3.5 × 10-9 (низкая) и 10-3 моль/дм3 (высокая). По
(а)
результатам экспериментов рассчитывали степень
сорбции (S, %) и коэффициент распределения (Kd,
Q
дм3/кг) Cs по формулам:
M
K
K
Q
K
M
M
F
Q QQQ
,
(1)
K
M
K
M
,
(2)
2
M
1
K
где А0, Ар - соответственно удельная активность
радионуклида в исходном растворе и в фильтрате
K
(б)
I
после сорбции соответствующего радионуклида,
Q
Бк/дм3; V- объем жидкой фазы, дм3; m - масса сор-
K
Q
MQ
QK
бента, кг.
Q
M
Q
Зависимость сорбции Cs образцами глин от рН
раствора изучали при изменении значений рН в ин-
10
20
30
40
50
CuKα, 2θ, град
тервале от 2 до 11, которые регулировали раствора-
ми HCl и NaОН с концентрацией 1.0 и 0.1 моль/дм3
соответственно.
Рис. 1. Рентгеновские дифрактограммы валового образца
глины ГМ (а) и его глинистой фракции (б). Межплоскост-
Изотермы сорбции Cs получали при заданном
ные расстояния даны в ангстремах. Красная линия (1) -
значении рН от 6 до 7 и концентрации NaClO4,
воздушно-сухой препарат, зеленая линия (2) - препарат,
равной 0.01 моль/дм3, изменяя концентрацию це-
насыщенный этиленгликолем. Обозначения рефлексов
зия в растворе от 10-10 до 10-2 моль/дм3. Для экс-
отдельных минеральных фаз: I - иллит, K - каолинит, Q -
кварц, F - полевые шпаты.
периментов с высокой концентрацией Cs (более
10-7 моль/дм3) к радиоактивной метке добавляли
Отношение твердой и жидкой фаз во всех экс-
необходимое количество стабильного CsNO3 марки
периментах составляло 10 г/дм3. Жидкую и твер-
х.ч. Содержание цезия в растворе (Ср, моль/дм3) и
дую фазу разделяли центрифугированием при
твердой фазе образца глины (Ст, моль/кг) рассчиты-
8000 об/мин в течение 30 мин. В полученном
вали по формулам
фильтрате определяли удельную активность 137Cs
,
(3)
прямым спектрометрическим методом по линии
Eγ = 662 кэВ с использованием универсального
спектрометрического комплекса РУС-91М.
,
(4)
РЕЗУЛЬТАТЫ И ИХ ОБСУЖДЕНИЕ
где С0 и Ср - исходная и равновесная концентрация
цезия в растворе, моль/дм3.
Характеристика образцов исследуемых глин.
Емкость селективной сорбции определяли по изо-
Исследование минерального состава природной
термам сорбции цезия в координатах lgCт-lgCp. Для
глины месторождения Марковское (ГМ) методом
оценки влияния концентрации калия (СK, моль/дм3)
РФА для оценки возможности ее использования в
в растворе на сорбцию 137Cs образцами природных
составе подстилающего экрана ПЗРО показало, что
глин строили зависимость коэффициента распреде-
в валовом образце содержатся следующие мине-
ления 137Cs (Kd, дм3/кг) от СK в координатах lgKd-
ральные фазы: монтмориллонит, каолинит, кварц,
lgCK. Концентрацию калия в растворе регулировали
микроклин, а также следовые количества альбита и
добавлением KNO3 марки х.ч.
анатаза (рис. 1).
РАДИОХИМИЯ том 64 № 2 2022
196
БАКЛАЙ и др.
Таблица 2. Характеристика образцов глин месторождений Марковское и 10-й Хутор
Содержание
Шифр образца
Месторождение
Удельная поверхность, м2/г
ЕКО, мг-экв/100 г
монтмориллонита, мас%
ГМ
Марковское
42.7 ± 2.4
24.2 ± 0.8
37.6 ± 2.0
ГХ
10-й Хутор
48.9 ± 1.5
45.6а
58.8а
а Данные предоставлены ООО «Компания Бентонит» (Россия).
Положение рефлекса (d001) на рис. 1, а для об-
ливает его высокую растворимость и миграционную
разца ГМ составляет 14.57 Å и указывает на то, что
подвижность. Радионуклид 137Cs образуется при де-
монтмориллонит в межпакетных позициях содер-
лении топлива АЭС на основе урана и является ос-
жит преимущественно катионы кальция и магния
новным компонентом низко-, средне- и высокоактив-
[10]. При исследовании валового образца ГМ следо-
ных РАО, удельная активность которых составляет
вые количества такой минеральной фазы, как иллит,
соответственно 106-107, 107-1010 и более 1010 Бк/кг.
не установлены. Дополнительные исследования
В связи с этим эксперименты по изучению кинетики
ориентированных препаратов глинистой фракции с
сорбции Cs+ на образцах глин ГМ и ГХ выполняли
размером частиц менее 2 мкм, выделенной из об-
при концентрациях Cs+ в растворе 3.5 × 10-9 (низкая)
разца глины ГМ (рис. 1, б), показали, что монтмо-
и 10-3 моль/дм3 (высокая), что соответствует удельной
риллонитовая фаза состоит из переслаивающихся
активности 137Cs, равной 1.5 × 106 и 4.4 × 1011 Бк/дм3.
смешанных иллит-монтмориллонитовых слоев
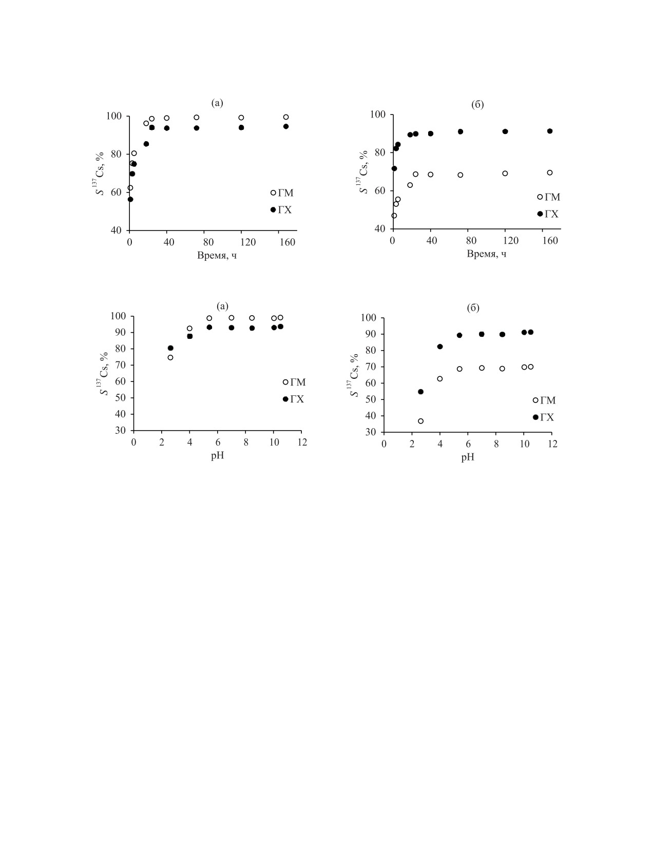
На рис. 2 представлены зависимости степени сорбции
[11, 12], среди которых 9% составляют иллитовые
137Cs (S, %) изучаемыми образцами глин от времени
слои. По результатам исследований установлен ми-
контакта с радиоактивным раствором.
неральный состав образца глины месторождения
Как видно из рис. 2, при вышеуказанных концен-
Марковское, мас%: монтмориллонит 37.6, иллит
трациях Cs+ в растворе его сорбция на образцах ис-
3.6, каолинит 14.7, кварц 34.3, микроклин 6.7, аль-
следуемых глин (ГМ и ГХ) имеет схожий характер.
бит 2.3 и анатаз 0.8.
Наиболее быстро сорбция протекает в начальный
В работах [13-15] показано, что сорбционные
период времени. Форма кинетической кривой пока-
свойства природных глин по отношению к 137Cs
зывает, что сорбция Cs+ за первые 7 ч взаимодей-
зависят в основном от их удельной поверхности,
ствия образца глины с раствором возрастает, чему
содержания глинистых минералов монтморилло-
соответствует резкий подъем кривой. Затем сорбция
нита, иллита, каолинита и конкурирующих ионов в
замедляется, и в течение 24 ч устанавливается сор-
растворе. По данным работы [15], глины с высоким
бционное равновесие Cs+ в системе глина-раствор.
содержанием монтмориллонита являются наилуч-
Установлено, что при низкой концентрации мак-
шими для создания противомиграционных и про-
симальная степень сорбции Cs+ на образцах глин
тивофильтрационных барьеров для обеспечения
ГМ и ГХ составляет соответственно 99.1 и 94.1%
безопасности приповерхностного ПЗРО. Результа-
(рис. 2, а), а при высокой - 68.8 и 91.1% (рис. 2, б).
ты исследований удельной поверхности, ЕКО и со-
Здесь и далее приведены средние значения соответ-
держания глинистого минерала монтмориллонита
ствующих величин 3-х параллельных эксперимен-
приведены в табл. 2.
тов. Максимальное стандартное отклонение вели-
Согласно данным табл. 2 и работ [13-15], сорбция
чины степени сорбции 137Cs (S, %) составляло не
цезия из растворов должна быть выше для образца
более 1.5% (рис. 2 и 3). На основании полученных
глины из месторождения 10-й Хутор (Россия).
результатов дальнейшие сорбционные эксперимен-
Изучение сорбции Cs(I) образцами глин. Одна
ты выполняли при времени контакта образца глины
из основных функций слоя глины в составе под-
с раствором 72 ч.
стилающего экрана ПЗРО - препятствовать выходу
Известно [9], что рН водного раствора является
радионуклидов за его пределы в случае разгерме-
одним из параметров, влияющим на сорбцию ради-
тизации емкостей с РАО. В работе [16] показано, что
онуклидов. На рис. 3 приведены зависимости сорб-
цезий в условиях окружающей среды присутствует
ции Cs+ от рН для образцов глин ГМ и ГХ при его
в форме моновалентного катиона Cs+, и это обуслов-
низкой и высокой концентрациях в растворе.
РАДИОХИМИЯ том 64 № 2 2022
197
СОРБЦИЯ Cs(I) НА ГЛИНАХ
Рис. 2. Кинетика сорбции Cs+ при концентрации 3.5 × 10-9 (а) и 10-3 моль/дм3 (б) на образцах глин ГМ и ГХ. рН 6.5 ± 0.1,
I(NaClO4) = 0.01 моль/дм3, m/V = 10 г/дм3; то же на рис. 3-5.
Рис. 3. Зависимость сорбции Cs+ от рН раствора на образцах глин ГМ и ГХ при [Cs+] = 3.5 × 10-9 (а) и 10-3 моль/дм3 (б).
Из рис. 3 видно, что для обеих концентраций Cs+
Приведенные на рис. 4 данные позволяют опре-
в растворе степень его сорбции на образцах глин в
делить емкости сорбции различных сорбционных
диапазоне рН 4-10.5 практически не изменяется и
центров из линейных участков и сравнивать зна-
снижается при рН < 4. В работе [17] показано, что
чения величин коэффициента распределения цезия
при рН < 4 или pH > 10 может иметь место значи-
для образцов глин. Если сорбция Cs на образце гли-
тельное растворение глинистых минералов, входя-
ны линейна, то изотерма в координатах lgCт-lgCp
щих в состав глин. Поэтому снижение сорбции Cs+
будет выглядеть как прямая линия с наклоном,
равным единице. Обработку экспериментальных
на образцах глин при рН < 4 может быть связано с
результатов проводили методом наименьших ква-
его конкуренцией как с высвобождающимися иона-
дратов с использованием уравнения линейной ре-
ми при частичном растворении глинистых минера-
грессии
лов, так и с H+.
lgCт = AlgCp + B,
(5)
На рис. 4 представлены изотермы сорбции цезия
для образцов глин ГМ и ГХ в виде зависимостей
где А, В - константы.
концентрации цезия в твердой фазе образца глины
Установлено (рис. 4, а), что сорбция Cs+ на образ-
(Cт, моль/кг) и коэффициента распределения цезия
цах глин отклоняется от линейной, так как тангенс
(Kd, дм3/кг) от его равновесной концентрации в рас-
угла наклона (параметр А) уравнения линейной ре-
творе (Cp, моль/дм3) в билогарифмических коорди-
грессии (5) для образцов ГМ и ГХ значительно от-
натах.
личается от единицы. Уравнения линейной регрес-
РАДИОХИМИЯ том 64 № 2 2022
198
БАКЛАЙ и др.
Рис. 4. (а) изотермы сорбции Cs на образцах глин ГМ и ГХ (красная линия - сорбционные центры типа Т1, зеленая линия -
сорбционные центры типа Т2), (б) зависимость коэффициента распределения Cs от его равновесной концентрации в
растворе.
сии для образцов ГМ и ГХ имеют соответственно
Согласно данным работ [16, 18], глинистые
следующий вид:
минералы монтмориллонит и каолинит имеют
один тип сорбционных центров, а иллит
-
lgCт = 0.65lgCp + 0.83,
(6)
несколько типов сорбционных центров. Появление
lgCт = 0.78lgCp + 1.50.
(7)
в образцах глин ГМ и ГХ двух сорбционных
центров, различающихся селективностью и
При этом на изотермах сорбции (рис. 4, а) мож-
емкостью, связано, по-видимому, с присутствием
но выделить два линейных участка, для которых
смешанных
иллит-монтмориллонитовых
тангенс угла наклона близок к единице. Уравне-
слоев, которые могут структурно приводить к
ния линейной регрессии в диапазонах равновес-
существованию в монтмориллоните таких же
ных концентраций цезия 1.5 × 10-11-7.7 × 10-9 и
селективных сорбционных центров, как в иллите
8.6 × 10-7-1.9 × 10-5 моль/дм3 для образца ГМ
[16]. Сорбционная емкость по цезию сорбционных
(8), (9) и 9.5 × 10-11-1.0 × 10-9 и 8.6 × 10-7-9.5 ×
центров типа Т1 и Т2 образцов глин ГМ и ГХ
10-5 моль/дм3 для образца ГХ (10), (11) имеют
определяли из прямолинейных участков изотерм
следующий вид:
сорбции (рис. 4, а). Для образцов глин ГМ и ГХ
lgCт = 0.98lgCp + 4.01,
(8)
величины емкости сорбции по цезию центров типа
Т1 составляют соответственно 3.2 × 10-5 и 2.5 ×
lgCт = 0.94lgCp + 2.34,
(9)
- 0.03 и 0.07 моль/кг.
10-6 моль/кг, а центров Т2
lgCт = 0.99lgCp + 3.53,
(10)
Согласно данным работы [19], необходимая масса
lgCт = 0.92lgCp + 2.31.
(11)
природной глины для предотвращения выхода 137Cs
за пределы ПЗРО в случае разгерметизации емкостей
Перегибы на изотермах сорбции Cs
с РАО обратно пропорциональна Kd 137Cs для данной
свидетельствуют о существовании в образцах глин
глины. Из рис. 4, б видно, что для образца глины ГХ
ГМ и ГХ двух типов сорбционных центров (Т1 и Т2).
значения Kd 137Cs для центров типа Т1 меньше, а для
До насыщения сорбционных центров T1 сорбция
центров типа Т2 больше по сравнению с образцом
цезия является линейной (участок постоянного
глины ГМ. Установлено, что при концентрации Cs+ в
значения Kd в пределах ошибки эксперимента,
растворе не более 3 × 10-5 моль/дм3, что эквивалент-
рис. 4, б). После насыщения центров T1 наблюдается
но удельной активности 137Cs 1.3 × 1010 Бк/дм3, зна-
другой участок линейной сорбции с постоянным
чения Kd 137Cs для образца глины ГМ больше, чем
значением Kd (рис. 4, б). Это соответствует наличию
для образца глины ГХ.
сорбционных центров второго типа (Т2). Величины
В работах [9, 20] показано, что катион K+,
Kd больше для сорбционных центров Т1, чем для Т2
являясь аналогом цезия, среди конкурирующих
(рис. 4, б).
катионов Na+, Ca2+ и Mg2+ в грунтовой воде ока-
РАДИОХИМИЯ том 64 № 2 2022
199
СОРБЦИЯ Cs(I) НА ГЛИНАХ
зывает наибольшее влияние на Kd 137Cs в глинах.
Концентрация калия в грунтовых водах может
меняться в достаточно широких пределах: от 0.5
до 25 ммоль/дм3 [21]. При эксплуатации ПЗРО
возможен контакт грунтовых вод с его подстила-
ющим экраном. В связи с этим изучено влияние
концентрации иона K+ в растворе на коэффициент
распределения 137Cs для образцов глин ГМ и ГХ. В
процессе изучения сорбции 137Cs образцами глин из
солевого раствора KNO3 изменения рН не наблю-
далось. На рис. 5 приведены зависимости значений
Kd 137Cs для образцов глин ГМ и ГХ от исходной
Рис. 5. Зависимость Kd 137Cs от концентрации иона K+
концентрации иона K+ в растворе.
в растворе на образцах глин ГМ и ГХ при [Cs] = 3.5 ×
Представленные на рис. 5 результаты свидетель-
10-9 моль/дм3.
ствуют о том, что образцы глин ГМ и ГХ селектив-
ской АЭС. Показано, что в составе подстилающе-
но сорбируют 137Cs из раствора при концентрации
го экрана глина данного месторождения способна
иона K+ менее 2 и 1 ммоль/дм3 соответственно. Зна-
существенно снизить миграцию 137Cs за пределы
чения Kd 137Cs для изученных образцов глин зако-
номерно снижаются при дальнейшем увеличении
ПЗРО.
концентрации K+ в растворе. Кроме того, из рис.
5 видно, что значения Kd 137Cs для образца глины
БЛАГОДАРНОСТИ
ГМ во всем диапазоне изменения концентрации K+
в растворе от 0.5 до 100 ммоль/дм3 больше, чем для
Авторы выражают благодарность Ильиной О.А.
образца глины ГХ.
(ООО «Компания Бентонит», Россия) за предостав-
ление образца глины месторождения 10-й Хутор и
ЗАКЛЮЧЕНИЕ
Крупской В.В. за помощь в проведении минерало-
гических исследований глины в ИГЕМ РАН.
В результате проведенных исследований
установлено, что образцы глин месторождений
КОНФЛИКТ ИНТЕРЕСОВ
Марковское (ГМ) Гомельской обл. Беларуси и
10-й Хутор (ГХ) Хакасии, Россия имеют два типа
Авторы заявляют об отсутствии конфликта ин-
сорбционных центров Т1 и Т2, которые отличаются
тересов.
своей селективностью и емкостью. Емкость
сорбционных центров типа Т1 образца глины ГМ
СПИСОК ЛИТЕРАТУРЫ
(3.2 × 10-5 моль/кг) больше в 12.8 раз, чем образца
глины ГХ (2.5 × 10-6 моль/кг). При концентрации
1.
Варлакова Г.А., Осташкина Е.Е., Голубева З.И. // Ра-
цезия в растворе не более
3 ×
10-5 моль/дм3
диохимия. 2013. Т. 55, № 6. С. 549.
2.
Procedures and techniques for closure of near
(эквивалентно удельной активности 137Cs, равной
surface disposal facilities for radioactive waste:
1.3 × 1010 Бк/дм3) сорбция Cs+ образцом глины ГМ
IAEA-TECDOC-1260. Vienna: IAEA, 2001. 96 p.
выше по сравнению с образцом глины ГХ, что,
3.
Маковская Н.А., Баклай А.А., Леонтьева Т.Г. // Докл.
по-видимому, связано с тем, что данный процесс
VIII Междунар. конф. «Атомная энергетика, ядер-
контролируется в основном сорбционными
ные и радиационные технологии XXI века». Минск,
центрами типа Т1.
23-26 июня 2020. Минск: Право и экономика, 2020.
Следовательно, глину месторождения Марков-
С. 161.
ское (Гомельская обл., Беларусь) можно использо-
4.
Семенкова А.С. Сорбция Cs(I), Eu(III), Np(V) на
вать в качестве компонента подстилающего экрана
глинах различного минерального состава: Автореф.
при строительстве пункта захоронения низко- и
дис. … к.х.н. М.: МГУ им. М.В. Ломоносова, 2019.
среднеактивных радиоактивных отходов Белорус-
22 с.
РАДИОХИМИЯ том 64 № 2 2022
200
БАКЛАЙ и др.
5.
Post J.E., Bish D.L. // Rev. Mineral. Geochem. 1989.
13. Прядко А.В., Жаркова В.О., Ершова Я.Ю., Тюпи-
Vol. 20. P. 277.
на Е.А., Крупская В.В. // Успехи в химии и хим. тех-
6.
Doebelin N., Kleeberg R. // J. Appl. Crystallogr. 2015.
нологии. 2017. Т. 31, № 10. С. 19.
Vol. 48. P. 1573.
14. Галыш В.В. // Поверхность. 2015. Вып. 7(22). С. 94.
7.
ГОСТ 21283-93: Глина бентонитовая для тонкой и
15. Крупская В.В., Бирюков Д.В., Белоусов П.Е.,
Лехов В.А., Романчук А.Ю., Калмыков С.Н.
//
строительной керамики. Методы определения пока-
Радиоактивные отходы. 2018. № 2(3). С. 30.
зателя адсорбции и емкости катионного обмена. М.:
16. Missana T., García-Gutiérrez M., Benedicto A., Ayora C.,
Госстандарт России, 1993. 8 с.
De-Pourcq K. // Appl. Geochem. 2014. Vol. 47. P. 177.
8.
Леонтьева Т.Г., Москальчук Л.Н., Баклай А.А., Ма-
17. Siroux B., Wissocq A., Beaucaire C., Latrille Ch.,
ковская Н.А. // Сорбционные и хроматографические
Petcut C., Calvaire J., Tabarant M., Benedetti M.F.,
процессы. 2018. № 5. С. 726.
Reiller P.E. // Appl. Geochem. 2018. Vol. 99. P. 65.
9.
Москальчук Л.Н., Баклай А.А., Леонтьева Т.Г., Ма-
18. Missana T., Benedicto A., García-Gutiérrez M.,
ковская Н.А. // Радиохимия. 2019. Т. 61. № 4. С. 334.
Alonso U.
// Geochem. Cosmochim. Acta.
2014.
10. Белоусов П.Е., Бочарникова Ю.И., Боева Н.М. //
Vol. 128. P. 266.
Вестн. РУДН. Сер.: Инженерные исследования.
19. Мартынов К.В., Коневник Ю.В., Захарова Е.В. //
2015. Т. 16, № 4. С. 94.
Тр. ВЕСЭМПГ-2020 / Отв. ред. О.А. Луканин. М.:
11. Осипов В.И., Соколов В.Н. Глины и их свойства. Со-
ГЕОХИ РАН, 2020. С. 307.
став, строение и формирование свойств. М: ГЕОС,
20. Robin V., Tertre E., Beaufort D., Regnault O., Sardini P.,
2013. 578 с.
Descostes M. // Appl. Geochem. 2015. Vol. 59. P. 74.
12. Fernandez A.M., Baeyens B., Bradbuty M., Rivas P. //
21. Снакин В.В., Присяжная А.А., Рухович О.В. Состав
Phys. Chem. Earth. 2004. Vol. 29. P. 105.
жидкой фазы почв. М.: РЭФИА, 1997. 325 с.
РАДИОХИМИЯ том 64 № 2 2022