РАДИОХИМИЯ, 2022, том 64, № 1, с. 70-83
УДК 621.039.7
ВЛИЯНИЕ ГАММА-ОБЛУЧЕНИЯ НА УСТОЙЧИВОСТЬ
В ВОДЕ АЛЮМОФОСФАТНЫХ СТЕКОЛ С
ИМИТАТОРАМИ РАДИОАКТИВНЫХ ОТХОДОВ
© 2022 г. С. В. Юдинцева, б, *, В. А. Петрова, В. И. Мальковскийа,
С. С. Даниловв, Е. Е. Осташкинаг
а Институт геологии рудных месторождений, петрографии, минералогии и геохимии РАН,
119017, Москва, Старомонетный пер., д. 35
б Институт физической химии и электрохимии им. А. Н. Фрумкина РАН,
119071, Москва, Ленинский пр., д. 31, корп. 4
в Институт геохимии и аналитической химии им. В. И. Вернадского РАН,
119991, Москва, ул. Косыгина, д. 19
г Объединенный эколого-технологический и научно-исследовательский центр
по обезвреживанию РАО и охране окружающей среды,
119121, Москва, 7-й Pостовский пеp, д. 2/14
* e-mail: yudintsevsv@gmail.com
Поступила в редакцию 13.10.2020, после доработки 27.11.2020, принята к публикации 03.12.2020
Изучено влияние γ-облучения дозой 62 МГр на устойчивость в воде двух типов натрийалюмофосфат-
ных стекол: простого состава (GS), содержащего только элементы каркаса (О, Na, Al, Fe, P), и модифи-
цированного (GM) - с добавками имитаторов компонентов радиоактивных отходов (Cr, Mn, Ni, Ru, La,
U). Выщелачивание проводили при 25 и 90°С с заменой воды на 1-е, 3-и, 10-е, 14-е, 21-е и 28-е сутки
от начала опыта. Скорость растворения стекол, нормированная по элементам матрицы (Na, Al, Fe, P),
после облучения остается неизменной или слабо снижается. Скорость выщелачивания имитаторов ра-
дионуклидов в подавляющем большинстве случаев снижается, но для Cr, Ni и La в опытах при 90°С она
несколько возрастает. Зависимость интенсивности выщелачивания стекол от температуры описывается
формулой Аррениуса. Повышение температуры с 25 до 90°С ведет к увеличению скорости выщела-
чивания всех элементов из стекломатриц как до, так и после облучения на 0.5-1.5 порядка величины.
Для обеих температур экспериментов со временем происходит уменьшение скорости выщелачивания
элементов, что объясняется формированием защитного слоя на поверхности образцов.
Ключевые слова: высокорадиоактивные отходы, иммобилизация, алюмофосфатные стекла, гамма-
облучение, строение, гидролитическая устойчивость.
DOI: 10.31857/S0033831122010075
ВВЕДЕНИЕ
коплению; с учетом данных работы [3] количество
ОЯТ в нашей стране в настоящее время можно оце-
нить в 23-24 тыс. т. Переломить ситуацию с нако-
Для устойчивой работы атомной энергетики
плением ОЯТ в будущем позволит ввод в эксплуата-
необходимо решить проблему обращения с вы-
цию радиохимического завода по переработке ОЯТ
сокорадиоактивными отходами (ВАО) от перера-
ВВЭР-1000 на ГХК в Красноярском крае [4].
ботки отработавшего ядерного топлива (ОЯТ) [1].
В Российской Федерации в год перерабатывается
При переработке 1 т ОЯТ образуется 13-31 м3
150-200 т ОЯТ, что составляет примерно четверть
жидких ВАО [5], представляющих собой азотно-
от образованного за тот же срок [2]. Превышение
кислый раствор с удельной активностью более
генерации ОЯТ над переработкой ведет к его на-
10 Ки/л. Во Франции при переработке 1 т ОЯТ лег-
70
ВЛИЯНИЕ ГАММА-ОБЛУЧЕНИЯ НА УСТОЙЧИВОСТЬ В ВОДЕ АЛЮМОФОСФАТНЫХ СТЕКОЛ
71
ководных реакторов с выгоранием 33 000 ГВт·сут
Основной механизм распространения радиоактив-
после упаривания образуется 660 л жидких ВАО
ного загрязнения из хранилища ВАО в биосферу -
[6], которые содержат (грамм оксида на литр рас-
это транспорт радионуклидов подземными водами.
твора): 13 Fe, 0-2 Al, 2.3 Cr, 1.9 Ni, 20 Na, 0-1 Zn,
Долговечность контейнеров из углеродистой стали
1.3 P, 52 продукты деления (главные среди них по
не превышает 1000 лет, после чего подземные воды
содержанию - РЗЭ) и 3.8 актиниды (в основном
начнут взаимодействовать с отвержденными ВАО.
малые - Np, Am и Cm, остаточные количества U и
Поэтому чем более устойчива матрица к выщела-
Pu). Сходных значений можно ожидать для состава
чиванию, тем меньшее количество радионуклидов
ВАО, получаемых в России на заводе РТ-1 при ре-
поступит в подземные воды и может быть вынесено
генерации оксидного уранового топлива реакторов
в биосферу.
ВВЭР по той же технологии ПУРЕКС.
В ВАО происходят интенсивные процессы ради-
Вследствие высокой активности эти отходы
оактивного распада, которые продолжаются и по-
являются источником экологической угрозы для
сле захоронения. Выделяющаяся тепловая энергия
биосферы. В долгосрочном плане их радиоактив-
приведет к повышению температуры остеклован-
ность будет преимущественно определяться ма-
ных отходов и среды ближней зоны хранилища. По
лыми актинидами и продуктами их распада, из-за
имеющимся оценкам [22, 23], температура в хра-
чего ВАО остаются опасными в течение многих
нилище Юкка-Маунтин, США (ОЯТ и остеклован-
сотен тысяч лет. С точки зрения экологической
ные ВАО) может достигать 250°С. Моделирование
безопасности и эффективности наиболее реальной
тепловых режимов в хранилище показало, что в
стратегией изоляции ВАО от биосферы является их
течение 200 лет после захоронения температура
отверждение и размещение в хранилище на глубине
на поверхности контейнеров с остеклованными
нескольких сотен метров [1-7]. В качестве матрицы
ВАО может превышать 100°С [21-24]. Наиболее
ВАО в Российской Федерации преимущественно
интенсивный разогрев происходит в течение пер-
используются стекла алюмофосфатного состава [1,
вых сотен лет и связан с процессами β- и γ-распада.
2, 6-11], за рубежом - боросиликатные стеклоком-
Повышенная температура способствует кристал-
позиции [1, 6, 12-19].
лизации стекломатрицы, а также интенсифицирует
Преимущества B-Si стекол над Na-Al-P матри-
ее взаимодействие с подземными водами в случае
цами заключаются в возможности включения боль-
нарушения целостности контейнеров. Воздействие
шего количества отходов, лучшей термической и
α-, β- и γ-радиации на B-Si стекла хорошо изучено
коррозионной устойчивости. Поэтому со временем
разными способами [6, 18, 22, 23, 25-32], в отно-
предполагается осуществить переход от алюмофос-
шении Al-P матриц имеются лишь единичные ис-
фатных стекол к боросиликатным стекломатрицам
следования [8, 33, 34]. В настоящей работе анализи-
ВАО [11, 20]. Достоинства Na-Al-P композиций
руется влияние гамма-облучения на устойчивость
заключаются в простоте технологии одностадий-
алюмофосфатных стекол в воде. Вначале опишем
ного остеклования и лучшей растворимости в сте-
процессы радиоактивного распада в остеклованных
кле проблемных компонентов: оксидов Al, Mo и
отходах для оценки их роли в изменении матриц.
Cr, сульфатной серы. Последние три элемента при
Радиоактивный распад в остеклованных
остекловании формируют так называемую «жел-
отходах. Основные источники радиации в ВАО
тую фазу» молибдатов и хроматов щелочных, ще-
и содержащих их матрицах - процессы β-распада
лочноземельных и редкоземельных элементов [19],
продуктов деления и α-распад трансурановых ак-
хорошо растворимых в водных средах.
тинидов, которые также сопровождаются γ-излуче-
Расплав стекла с компонентами ВАО разливает-
нием [18, 22, 23]. Гораздо меньший вклад в ради-
ся в стальные контейнеры, которые после выдержки
ационные нагрузки вносят процессы спонтанного
и остывания будут окончательно размещены в под-
деления актинидов и альфа-нейтронные реакции.
земных выработках. Со временем (через сотни-ты-
Явления α-распада в ВАО обусловлены в основном
сячи лет) хранилище ВАО заполнят подземные воды
малыми актинидами (Np, Am, Cm). В результате
[1, 2, 20, 21], которые вступят в контакт с остекло-
образуются две заряженные частицы: α-частица
ванными ВАО после разгерметизации контейнеров.
(ион Не2+) с энергией порядка 4-6 МэВ и тяжелое
РАДИОХИМИЯ том 64 № 1 2022
72
ЮДИНЦЕВ и др.
Таблица 1. Типы самооблучения боросиликатной стекломатрицы отходов [13, 18]
Доза облучения, Гр
Размер дефектов в
Число смещений атомов за
Источник излучения
стекле
за 10
4 лет
за 106 лет
одно событие распада
α-Распад:
- α-частица
~20 мкм
3109
1010
130 - 200
- ядро отдачи
~30 нм
~6107
~3109
120 - 2000
β-Распад
~1 мм
~3109
~4109
0.1-1
γ-Распад
~2 см
~2109
~2109
<<1
Реакция (n,α)
~1 м
~2102
~3103
110-200
Спонтанное деление ядер
~10 мкм
103-104*
Нет данных
2.5104-5105
* За первые 100 лет.
ядро отдачи - ядро материнского радионуклида,
Процесс β-распада происходит в основном в
осколочных радионуклидах (продуктах деления),
потерявшего α-частицу и получившего вследствие
таких как 137Cs и 90Sr. Его воздействие связано со
закона сохранения импульса энергию порядка
столкновениями β-частиц с элементами матрицы и
0.1 МэВ. Помимо этого, α-распад сопровождается
разрывом связей между ними. Из-за распада про-
γ-излучением. Столкновение α-частиц и ядер отда-
дуктов деления (трансмутации) вместо Cs и Sr об-
чи с атомами структурных элементов стекла ведет
разуются стабильные изотопы Ba и Zr, причем ра-
к смещениям последних из исходного положения
диус у Ba2+ на 20% меньше, чем у Cs+, а у Zr4+ - на
и, вследствие этого, к изменению строения каркаса
29% меньше, чем у Sr2+. Оба эти фактора могут ока-
матрицы. Хотя α-частица получает гораздо боль-
зать влияние на свойства стекол. Характеристики
шую энергию, чем ядро отдачи (табл. 1), количе-
источников радиации в остеклованных ВАО даны в
ство смещений, порожденных последними, суще-
табл. 1, накопление дозы их самооблучения в высо-
ственно выше, чем при столкновении α-частицы с
коактивных отходах оборонного (военного) и граж-
элементами каркаса стекла. Со временем α-частицы
данского (коммерческого) происхождения со време-
превращаются в атомы гелия с появлением пузырь-
нем показано на рис. 1.
ков газовой фазы. Повышение содержания гелия и
Различие радиационных характеристик оборон-
частичные нарушения структуры приведут к изме-
ных и гражданских отходов (рис. 1) объясняется
нению плотности стекла и его устойчивости в воде.
тем, что в первом случае глубина выгорания ОЯТ в
1021
β-распад
(а)
(б)
1012
комм. ВАО
4
1020
2
α-распад
1011
10% 239Pu
комм. ВАО
1019
1010
β-распад
1018
обор. ВАО
109
1017
108
α-распад
обор. ВАО
1
1016
107
3
15
10
106
101
102
103
104
105
106
101
102
103
104
105
106
Время, годы
Время, годы
Рис. 1. (а) дозы облучения остеклованных ВАО разного происхождения; (б) общая поглощенная доза для отходов
оборонной промышленности (1 - α-излучение, 3 - β-излучение) и коммерческих (гражданских) ВАО от переработки ОЯТ
АЭС (2 - α-излучение, 4 - β-излучение), по данным работ [22, 23].
РАДИОХИМИЯ том 64 № 1 2022
ВЛИЯНИЕ ГАММА-ОБЛУЧЕНИЯ НА УСТОЙЧИВОСТЬ В ВОДЕ АЛЮМОФОСФАТНЫХ СТЕКОЛ
73
Таблица 2. Состав ОЯТ (г/т) реакторов ВВЭР разного выгорания [35]
Выгорание, ГВт·сут/(т U)
Элемент
0.5
4
20
33
40
60
Актиниды, всего
999500
995600
979600
964800
959100
936000
U (все изотопы)
999100
992500
974500
955000
947000
926000
237Np
~0.5
22
135
450
650
890
Pu (все изотопы)
400
2600
4990
9100
9975
12990
Am (все изотопы)
-
-
130
325
475
765
Продукты деления
500
4160
20500
35000
42000
64000
ฬ том числе: Zr
75
515
2550
3580
5250
6280
Mo
60
400
2050
3350
4250
5050
Tc
16
110
510
815
1000
1405
Ru
36
200
1200
2165
2800
4155
∑ РЗЭ
~220
1425
7155
11200
14895
23150
десятки раз меньше, чем у коммерческих (граждан-
по отношению к металлической упаковке отходов и
ских) ОЯТ атомных станций. Это связано с более
самой матрице [36, 37].
коротким временем его нахождения в реакторе во
Во всех тестах со стеклами не было выявлено
избежание наработки четных изотопов плутония. В
сколько-нибудь заметных структурных разрушений
результате оборонные и гражданские ОЯТ различа-
под действием γ-излучения. Изменения плотности
ются по содержанию продуктов деления и актини-
стекла составляли не более 0.5%. Однако эти ре-
дов (табл. 2), а также по радиационным характери-
зультаты были получены при исследовании бороси-
стикам, которые наследуются в составе ВАО.
ликатных стекол при низких дозах, до 107 Гр [22,
Реакции α- и β-распада радионуклидов сопрово-
38]. Они нуждаются в дополнении применительно к
ждаются интенсивным γ-излучением. Помимо это-
более высоким дозам γ-облучения и по отношению
го, γ-излучение является также результатом элек-
к алюмофосфатным стеклам. Повышенные темпе-
ратуры и воздействие излучения могут повлиять на
тронных столкновений при малых энергиях тормо-
жения. Доза γ-излучения, которую стекломатрица
свойства матрицы ВАО и снизить ее устойчивость
в подземных водах. Это приведет к росту посту-
накопит за 10 тыс. лет, составит 2 × 109 Гр. Подобно
пления радионуклидов из хранилища ВАО в окру-
β-облучению, γ-облучение ведет к разрыву связи
жающую среду и в итоге уменьшению уровня его
между атомами структурного каркаса стекла, росту
безопасности. Данная работа посвящена анализу
неупорядоченности и генерации свободного кисло-
влияния гамма-облучения и температуры на устой-
рода. Появление кислородных пузырей отмечено
чивость Na-Al-(Fe)-P-стекол в воде.
при интенсивности γ-облучения в 2.5 × 104 Гр/ч и
суммарной дозе 107 Гр [22]. Однако в статье [26] по-
явление кислородных пузырей не отмечалось и при
ЭКСПЕРИМЕНТАЛЬНАЯ ЧАСТЬ
более высоких суммарных дозах γ-облучения. Это
различие объяснялось [22] тем, что в работе [26] ис-
Использованы стекла двух составов. Первый
пользовали слишком высокую интенсивность облу-
состав (GS) включает только компоненты матри-
чения, т.е. условия опыта не соответствовали иссле-
цы: оксиды натрия, алюминия, железа и фосфора.
дуемому процессу. Как и при β-облучении, катионы
Выбор такого состава обусловлен имеющимися
переменной валентности подавляют генерацию де-
данными об улучшении термической и гидролити-
фектов и снижают эффект γ-облучения на матрицу.
ческой устойчивости алюмофосфатной стеклоком-
Еще одно важное последствие радиации, спо-
позиции при частичной замене Al на Fe [39]. В стек-
собное повлиять на долговременную безопасность
ло второго состава (GM) введены добавки, имити-
хранилища ВАО, - это радиолиз подземных вод с
рующие ВАО, его состав близок к используемому
изменением рН и Eh и усиление их агрессивности
на ПО «Маяк» [8]. Стекла готовили в электропечи
РАДИОХИМИЯ том 64 № 1 2022
74
ЮДИНЦЕВ и др.
(д)
1
(а)
(б)
2
GS
10
20
30
40
50
60
2θ, град
(г)
(в)
(е)
GM
1
2
10
20
30
40
50
60
2θ, град
Рис. 2. Фотографии (а-г, деления на линейке - в см) необлученных (а, в) и облученных (б, г) образцов GS (а, б) и GM (в, г) и
их рентгенограммы (д, е) до (1) и после (2) облучения. Широкий пик («горб») в области углов 2θ от 25° до 35° отвечает стеклу.
Квадратами (е) показаны рефлексы фазы RuO2, остальные пики - отражения AlPO4.
нагревом исходной шихты со скоростью 10-30°С/ч
росиликатных стекол. Их кристаллизация возможна
до 1100°С, при этой температуре их выдерживали
лишь из-за быстрого выделения энергии, запасен-
2 ч для гомогенизации расплава, затем расплав за-
ной стекломатрицей при облучении, и ее разогрева
каливали в стекло.
выше температуры размягчения стекла. Величина
Стекла в течение 9 месяцев подвергали γ-об-
запасенной энергии оценивается в 90-130 Дж/г
лучению на установке ФГУП «Радон» с источ-
[22] при температуре размягчения от 400-450°С у
ником 60Со типа ГИК-7-2 (число источников 24,
Al-P стекол до 550-600°С у B-Si стекломатриц [6,
общая активность 12300 Ки, или 455.1 × 1012 Бк),
8, 9, 41].
мощность экспозиционной дозы в центре камеры
Устойчивость облученных и необлученных сте-
(0.8-1.0) × 106 Р/ч. Накопленная доза составила
кол GS и GM определялась по их выщелачиванию
62 × 106 Гр, что хотя на треть ниже рекомендован-
в воде. Из-за ограниченного количества материала
ной величины 108 Гр [8, 40], но выше, чем в дру-
использовали следующую процедуру эксперимен-
гих работах по гамма-облучению стекломатриц [22,
тов. После дробления образца с помощью сит от-
36]. Для исследования получены несколько кусоч-
бирали фракцию порошка с размером зерен от 0.07
ков образцов неправильной формы массой от 1 до
до 0.16 мм. Поверхность, вычисленная из размера и
4 г (рис. 2, а-г). При изучении стекол обоих соста-
плотности частиц, равна 200 см2/г, отношение объ-
вов методами рентгенофазового анализа (РФА), ИК
ема раствора и площади поверхности равно 3 см.
спектроскопии и в сканирующем электронном ми-
Выщелачивание проводили по ГОСТ 52126-2003 в
кроскопе с энергодисперсионным спектрометром
бидистиллированной воде в автоклавах с тефлоно-
(СЭМ/ЭДС) различий в их строении до и после
облучения не выявлено [33]. Так, на рентгенограм-
выми вставками при 25 и 90°С с заменой раствора
ме образца GS как до, так и после облучения фик-
на 1-е, 3-и, 10-е, 14-е, 21-е и 28-е сутки. Содержания
сируется только широкий пик, отвечающий стеклу
элементов в растворах после опытов определяли
(рис. 2, д). По данным РФА (рис. 2, е), в образце GM
методами индуктивно-связанной плазменной и
до и после облучения кроме стекла еще имеются
атомно-эмиссионной масс-спектрометрии на при-
фазы ортофосфата алюминия (AlPO4) и диоксида
борах iCAP 6500 Duo и X Series2 Thermo Scientific.
рутения (RuO2).
Пределы обнаружения составляют, мг/кг: 0.05 (Ru,
Это согласуется с утверждением [22] об отсут-
U), 0.02 (P), 0.01 (Na, Ca, Al, Fe) и 0.001 (Mn, Ni, Cr,
ствии заметного влияния радиации на строение бо-
La), точность определения равна 5-10 отн%.
РАДИОХИМИЯ том 64 № 1 2022
ВЛИЯНИЕ ГАММА-ОБЛУЧЕНИЯ НА УСТОЙЧИВОСТЬ В ВОДЕ АЛЮМОФОСФАТНЫХ СТЕКОЛ
75
(а)
(б)
(г)
(в)
Рис. 3. СЭМ изображения образцов GS (а, б) и GM (г, д: серое - стекло; темные зерна - AlPO4; мелкие светлые частицы -
диоксид рутения) до (а, в) и после облучения (г, д).
По этим данным рассчитывали значения скоро-
ла имеется до 10 об% фаз ортофосфата алюми-
стей выщелачивания элементов: дифференциаль-
ния (главная фаза) и диоксида рутения (рис. 3, 4).
i
ной R
- за конкретный промежуток времени и ин-
Первая образует сростки кристаллов, иногда более
тегральной Vi - суммарно за весь период от начала
300 мкм длиной, вторая - отдельные частицы ми-
эксперимента, по следующим общеизвестным фор-
кронного размера и их агрегаты. Появление фазы
мулам:
RuO2 обусловлено крайне низкой растворимостью
рутения в Na-Al-P расплавах, составляющей ты-
(1)
сячные доли мас% [8]. На RuO2 приходится порядка
i
где m
- масса элемента, выщелоченная за n-й ин-
99 отн% всего рутения, имеющегося в образце.
тервал времени, г;
- массовая концентрация
Значения дифференциальной и интегральной
элемента в образце в начале n-го периода г/г; S -
скоростей выщелачивания до и после облучения
площадь поверхности образца, см2; Δtn - длитель-
10-3
ность n-го периода выщелачивания между сменами
90оС
раствора, сут;
1
(2)
10-4
3
где mi - масса элемента, выщелоченная за k-й ин-
i
тервал времени, г; m
- массовая концентрация эле-
мента в исходном образце, г/г; S - площадь поверх-
ности образца, см2; tk - длительность k-го периода
10-5
выщелачивания от начала выщелачивания, сут.
2
РЕЗУЛЬТАТЫ И ИХ ОБСУЖДЕНИЕ
10-6
0.1
1
10
Время, сут
По данным РФА и СЭМ/ЭДС анализа, образец
Рис. 5. Изменение со временем дифференциальной ско-
GS состоит только из стекла. Составы фаз приве-
рости выщелачивания элементов из стекла GS (1 - Na,
дены в табл. 3, содержание рутения в стекле ниже
2 - Al, 3 - P) при 90°С: сплошная линия - исходное стек-
предела обнаружения. В образце GM кроме стек-
ло, пунктир - после облучения.
РАДИОХИМИЯ том 64 № 1 2022
76
ЮДИНЦЕВ и др.
(а)
(б)
Рис. 4. СЭМ снимки частиц RuO2 (а, б) и их энергодисперсионный спектр (на врезке). Появление в спектре ряда элементов
(Na, Al, P) связано с захватом стекла, С - из-за напыления графитом. Размер метки 10 мкм.
стекол показаны на рис. 5, 6 и сведены в табл. 4-6.
5-60 отн%. Исключение - Al, Fe, Ca, Cr, Ni и La при
Из этих данных следует, что 1) со временем диф-
90°С, чьи интегральные скорости выщелачивания
ференциальная скорость выщелачивания элементов
несколько возрастают (рис. 7; табл. 5, 6).
из стекол снижается; 2) с ростом температуры ско-
В целом значения Ri убывают со временем, что
рость выщелачивания главных элементов матрицы
согласуется с диффузионными моделями продви-
(Na, Al, Fe, P) и имитаторов радионуклидов повы-
жения фронта выщелачивания [42]. На 21-е и 28-е
шается в 3-30 раз; 3) после облучения скорость вы-
сутки намечается выполаживание кривых, что объ-
щелачивания элементов из стекол уменьшается на ясняется формированием измененного поверхност-
Таблица 3. Составы фаз образцов, данные СЭМ/ЭДС (крист. - AlPO4)а
Код образца
Na2O
Al2O3
Fe2O3
P2O5
СаO
NiO
La2O3
Cr2O3
MnO
UO2
GS
стекло
22.4
9.3
15.6
51.8
-
-
-
-
-
-
GM
стекло
26.2
15.6
1.3
53.4
0.9
0.4
0.3
0.3
0.3
1.4
крист.
0.3
41.4
0.2
58.2
<п.о.
<п.о.
<п.о.
<п.о.
<п.о.
<п.о.
а Прочерк - компонент не вводили, <п.о. - ниже предела обнаружения. В составе образца GS выявлены также 0.5 мас% K2O и
0.4 мас% SiO2 (примесные элементы), а в образце GM (валовой состав) имеется 0.5 мас% RuO2.
Таблица 4. Дифференциальные скорости выщелачивания (г/см2·сут) из стекла GS при 90°Cа
Сутки
Na
Al
Fe
P
1
2.41 × 10-4/1.60 × 10-4
1.52 × 10-4/7.67 × 10-5
1.75 × 10-6/1.34 × 10-5
1.61 × 10-4/9.24 × 10-5
3
1.71 × 10-4/7.10 × 10-5
6.85 × 10-5/2.73 × 10-5
1.87 × 10-7/2.47 × 10-6
1.02 × 10-4/4.22 × 10-5
7
8.03 × 10-5/4.06 × 10-5
1.76 × 10-5/1.08 × 10-5
7.96 × 10-8/7.20 × 10-7
4.69 × 10-5/2.37 × 10-5
10
9.96 × 10-5/4.01 × 10-5
1.91 × 10-5/1.16 × 10-5
1.47 × 10-7/9.32 × 10-7
5.79 × 10-5/2.31 × 10-5
14
6.32 × 10-5/2.85 × 10-5
9.48 × 10-6/6.60 × 10-6
2.70 × 10-7/3.93 × 10-7
3.64 × 10-5/1.75 × 10-5
21
3.18 × 10-5/1.65 × 10-5
3.68 × 10-6/3.29 × 10-6
4.87 × 10-8/2.92 × 10-7
2.47 × 10-5/1.28 × 10-5
28
2.90 × 10-5/1.39 × 10-5
3.45 × 10-6/3.26 × 10-6
н. о./5.50 × 10-7
2.36 × 10-5/1.01 × 10-5
а В числителе - до облучения стекла, в знаменателе - после облучения; н. о. - не обнаружен; то же в табл. 5.
Таблица 5. Интегральные скорости выщелачивания (г/см2·сут) из стекла GS при 90°С
Сутки
Na
Al
Fe
P
1
2.41 × 10-4/1.60 × 10-4
1.52 × 10-4/7.67 × 10-5
1.75 × 10-6/1.34 × 10-5
1.61 × 10-4/9.24 × 10-5
3
1.94 × 10-4/1.01 × 10-4
9.64 × 10-5/4.37 × 10-5
7.09 × 10-7/6.12 × 10-6
1.22 × 10-4/5.89 × 10-5
7
1.29 × 10-4/6.63 × 10-5
5.14 × 10-5/2.49 × 10-5
3.49 × 10-7/3.03 × 10-6
7.91 × 10-5/3.88 × 10-5
10
1.20 × 10-4/5.84 × 10-5
4.17 × 10-5/2.09 × 10-5
2.89 × 10-7/2.40 × 10-6
7.28 × 10-5/3.41 × 10-5
14
1.04 × 10-4/4.99 × 10-5
3.25 × 10-5/1.68 × 10-5
2.83 × 10-7/1.83 × 10-6
6.24 × 10-5/2.93 × 10-5
21
7.99 × 10-5/3.88 × 10-5
2.29 × 10-5/1.23 × 10-5
2.05 × 10-7/1.32 × 10-6
4.98 × 10-5/2.38 × 10-5
28
6.72 × 10-5/3.25 × 10-5
1.80 × 10-5/1.01 × 10-5
н. о.*/1.13 × 10-6
4.32 × 10-5/2.04 × 10-5
РАДИОХИМИЯ том 64 № 1 2022
ВЛИЯНИЕ ГАММА-ОБЛУЧЕНИЯ НА УСТОЙЧИВОСТЬ В ВОДЕ АЛЮМОФОСФАТНЫХ СТЕКОЛ
77
РАДИОХИМИЯ том 64 № 1 2022
78
ЮДИНЦЕВ и др.
(а)
(б)
-4
10
10-4
4
2
10-5
2
4
10-5
1
3
1
10-6
3
10-6
10-7
0
10
20
30
0
10
20
30
Время, сут
Время, сут
(в)
(г)
10-4
10-4
2
10-5
10-5
4
2
1
4
1
3
3
10-6
10-6
0
10
20
30
0
10
20
30
Время, сут
Время, сут
Рис. 6. Изменение со временем дифференциальной скорости выщелачивания Na (а), Al (б), P (в) и U (г) из стекла GM в воде
до (1, 2) и после (3, 4) облучения при 25 (1, 3) или 90°С (2, 4).
ного слоя, защищающего стекло от выщелачивания.
где
- нормированная дифференциальная ско-
Эта область получила название гелевый слой [1, 18,
рость выщелачивания элемента из стекла при T→∞,
28], она характеризуется низким содержанием ще-
Ea - энергия активации, R - универсальная газовая
i
лочных и щелочноземельных элементов, повышен-
постоянная (8.314 Дж/(кг·моль). Из значений R
ным содержанием алюминия и воды. Скорости вы-
для двух температур T1 и T2 можно вычислить энер-
гию активации Еа:
щелачивания основных элементов каркаса матрицы
после облучения (пунктирные линии на рис. 5, 6)
близки или ниже данных у исходного стекла. При
a
(4)
τi 8.5 сут наблюдается локальный максимум.
Формула (3) получена с помощью аппарата ста-
Одно из объяснений - ошибка в определении со-
тистической физики для кинетических констант хи-
держаний элементов в 10-суточном опыте. Похожее
мических реакций. Она справедлива в случае, когда
отмечалось и при изучении боросиликатных стекол
изменяется только температура протекания реак-
[18, 43], вероятной причиной считается осаждение
ции, а остальные условия остаются неизменными.
вторичных фаз, что меняет состав поверхностно-
При ее использовании применительно к растворе-
го слоя стекла [28, 44]. В результате концентрации
нию стекла необходимо учитывать, что при разных
компонентов в этом слое снижаются, а интенсив-
температурах в течение опыта меняется площадь
ность растворения матрицы будет снова возрастать.
поверхности реакции и толщина поверхностного
(гелевого) слоя за фронтом выщелачивания [49].
Для оценки влияния температуры на скорость
Если принимать величину Ea как константу аппрок-
растворения стекла используют формулу Аррениуса
симации, то естественно ожидать, что Ea способна
[6, 28, 45] вида:
меняться со временем, как отмечено в работе [45].
Величина Ea пропорциональна ∂ln (Rin)/∂T , чем
(3)
она больше, тем сильнее Rin возрастает с темпера-
РАДИОХИМИЯ том 64 № 1 2022
ВЛИЯНИЕ ГАММА-ОБЛУЧЕНИЯ НА УСТОЙЧИВОСТЬ В ВОДЕ АЛЮМОФОСФАТНЫХ СТЕКОЛ
79
(а)
10-4
До облучения
После облучения
10-5
10-6
10-7
Na Al Fe P Ca Cr Mn Ni La
U
(б)
10-4
До облучения
После облучения
10-5
10-6
10-7
Na Al Fe P Ca Cr Mn Ni La
U
Рис. 7. Интегральные скорости выщелачивания элементов из стекла GM в воде при 25 (а) или 90°С (б) до и после облучения.
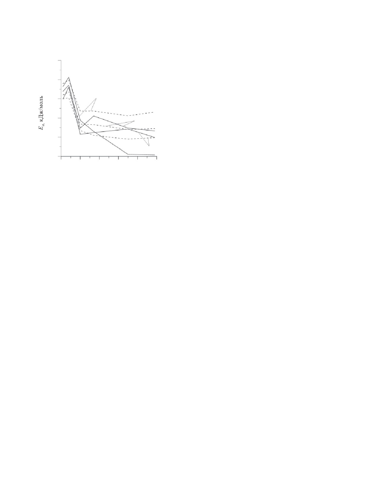
турой. По формуле (2) из данных по выщелачива-
ных стекол на всем временном интервале опытов
нию при 25 и 90оС образцов стекла GM вычисле-
проходят в относительной близости.
ны значения Ea (рис. 8). В начале опытов (t < 5 сут)
Начальный период соответствует формированию
зависимости Ea (t) для Na, Al и Р близки как для
непрерывного гелевого слоя, затем процесс раство-
облученных, так и необлученных образцов, но за-
рения определяет диффузия молекул воды из раство-
тем они расходятся и при t > 5 сут - весьма значи-
ра через гелевый слой, а продуктов растворения в
тельно. Это позволяет предположить, что процесс
противоположном направлении - от границы стекла
выщелачивания определяется двумя разными ме-
и гелевого слоя в раствор [51]. Значения Еа, опреде-
ханизмами, в начальный период преобладает один
ленные по Na и Р, за исключением короткого началь-
из них, а в последующем - другой. На начальном
ного периода, меняются от 15 до 21 кДж/моль. Они
интервале температура одинаково действует на
согласуются с величиной Ea = 17 кДж/моль в статье
выщелачивание всех трех элементов каркаса ма-
[52], но отличаются от значений в 43-83 кДж/моль,
трицы. Поверхностная часть каркаса разрушается,
полученных в работе [45] для 25 и 90°С. Возможно,
водная фаза не достигает насыщения ни по одному
это связано с тем, что в экспериментах работы [45]
из элементов, сплошной гелевый слой из продук-
в качестве жидкой фазы использовали не дистил-
тов выщелачивания стекла еще не сформировался.
лированную воду, а водный раствор в равновесии
Первым состояние насыщения раствора достигает-
с бентонитом.
ся по алюминию и начинает формироваться геле-
При t > 5 сут кривые 2 (Al), построенные по дан-
вый слой, обогащенный алюминием по сравнению
ным выщелачивания облученных и необлученных
с неизмененным стеклом [45, 50]. Изменение фор-
образцов, отклоняются от кривых 1 (Na) и 3 (P) и
мы кривых Ea (t) при t 5 сут (рис. 8) позволяет
расходятся (рис. 8). Однако характер зависимости
предположить, что процесс формирования сплош-
Ea (t), полученной при выщелачивании алюминия
ного гелевого слоя протекает сравнительно быстро.
из облученного образца (пунктирная кривая 2 на
Кривые 1 (Na) и 3 (P) для необлученных и облучен-
рис. 8), сохраняет тот же вид, что и зависимости
РАДИОХИМИЯ том 64 № 1 2022
80
ЮДИНЦЕВ и др.
анализа, ЯМР и ЭПР не выявило изменений струк-
35
туры стекла после облучения. После облучения до
100 млн Гр скорость выщелачивания натрия при
30
комнатной температуре в суточном эксперименте
2
растет, а после 30 дней взаимодействия ее значение
25
остается постоянным или незначительно уменьша-
ется, составляя 4 × 10-7 г/(см2·сут). Этот результат
20
1
согласуется с данными [55] о весьма слабом влия-
нии γ-облучения дозой до 200 МГр на скорость вы-
щелачивания элементов из боросиликатных стекло-
15
матриц в дистиллированной воде при 90°С.
3
В настоящей работе установлено, что γ-облуче-
10
0
5
10
15
20
25
ние дозой 62 МГр привело к весьма незначитель-
Время, сут
ному изменению скоростей выщелачивания, нор-
Рис.
8. Значения
,
вычисленные из данных по
мализованных по Na и Р, для стекол простого (GS)
выщелачиванию исходного (сплошная линия) и
и модифицированного (GM) состава в воде. После
облученного (пунктирная линия) образца GM при 25 и
облучения стекла простого состава скорость выще-
90°С (1 - Na, 2 - Al, 3 - P).
лачивания, нормализованная по Al, в течение пер-
Ea (t), построенные по данным выщелачивания на-
вых суток энергии активации несколько меньше (не
трия и фосфора (кривые 1 и 3). Это позволяет пред-
более, чем на 10%), а затем примерно на ту же вели-
положить, что выщелачивание Al из облученного
чину выше, чем у необлученного стекла. Облучение
образца определяет диффузионный перенос ионов
стекла GM привело к снижению скоростей выщела-
Al через гелевый слой, а отличие пунктирной кри-
чивания, нормализованных по Na, P и U. После об-
вой 2 от кривых 1 и 3 обусловлено меньшей под-
лучения величина скорости выщелачивания стекла
вижностью ионов Al в гелевом слое по сравнению с
GM, нормализованная по Al, в опыте, проведенном
ионами Na и Р. Расхождение кривых 2 при t > 5 сут
при 25°С, в течение первых 5 сут была незначитель-
можно объяснить разными формами Al в растворе
но (до 10%) выше, а затем - ниже, чем у необлу-
(ионной или коллоидной) при выщелачивании об-
ченного стекла, а при 90°С - в течение всего опыта
лученного и необлученного стекла, что требует до-
ниже, чем у необлученного стекла.
полнительной проверки.
Скорость выщелачивания зависит от содержания
Как уже говорилось ранее, открытую площадь
в воде компонентов матрицы. Так, наличие крем-
поверхности твердой фазы, контактирующей с рас-
незема в растворе снижает скорость растворения
твором, рассчитывали исходя из размера и плотно-
боросиликатного стекла более чем на два порядка
сти частиц стекла в предположении их сферической
[53]. Добавка в бентонитовый буфер крошки неак-
формы. Сравнение вычисленной площади поверх-
тивного B-Si стекла существенно снизила скорость
ности твердой фазы и ее измеренных значений путем
разрушения и выщелачивание актинидов (Np, Pu,
адсорбции газа (метод Брунауэра-Эммета-Теллера)
Am) из облученных остеклованных ВАО в натур-
показало, что реальная площадь в 2-2.5 раза боль-
ных экспериментах [56]. Сходного влияния можно
ше расчетной [53, 54]. Соответственно, реальные
ожидать и при взаимодействии Al-P стекломатри-
скорости выщелачивания элементов из изученных
цы отходов с водным раствором, содержащим Al и
стекломатриц будут меньше на ту же величину.
(или) P.
В одном из немногих исследований влияния
ЗАКЛЮЧЕНИЕ
радиации на свойства алюмофосфатных стекол их
облучали до 100 млн Гр и 2 × 1018 α-расп/см3 [8].
Эти значения близки к дозе облучения, которую ре-
Изучено влияние γ-облучения дозой 62 млн Гр
альные остеклованные ВАО получат за 10 000 лет.
и повышенных температур (90°С) на гидролити-
Изучение образцов методами рентгеноструктурного
ческую устойчивость Na-Al-(Fe)-P стекломатриц
РАДИОХИМИЯ том 64 № 1 2022
ВЛИЯНИЕ ГАММА-ОБЛУЧЕНИЯ НА УСТОЙЧИВОСТЬ В ВОДЕ АЛЮМОФОСФАТНЫХ СТЕКОЛ
81
ВАО. Исследованы образцы простого состава (со-
На поведение стекломатрицы повлияет ее кри-
держат только элементы каркаса матрицы: Na, Al,
сталлизация со временем в связи с разогревом при
Fe, P, О и стекла с добавлением имитаторов ВАО
распаде короткоживущих радионуклидов. В резуль-
(Cr, Mn, Ni, Ru, La, U). Установлено, что γ-облуче-
тате скорость выщелачивания Cs и U из матрицы мо-
ние не меняет характера зависимости интенсивно-
жет вырасти в сотни раз [8, 57, 58]. На выщелачива-
сти выщелачивания стекол в воде, значения которой
ние Sr и актинидов (Am, Cm) этот процесс не окажет
увеличиваются с ростом температуры и снижаются
заметного влияния в силу их преимущественного
со временем. После первых 5 сут энергия актива-
вхождения в фосфат РЗЭ со структурой монацита с
ции выщелачивания облученных и необлученных
очень низкой растворимостью в подземных водах.
стекол обоих составов, определенная по Na и Р, со-
Полученные результаты и сделанные на их ос-
ставляет 15-21 кДж/моль.
нове выводы относятся к общему содержанию эле-
Интегральная скорость растворения стекол, нор-
ментов в растворе, без разделения на растворенную
мированная по элементам матрицы (Na, Al, Fe, P),
и коллоидную форму. Существенная часть выщело-
после облучения остается неизменной или слабо
ченных из матрицы элементов, включая имитаторы
снижается. Скорость выщелачивания имитаторов
радионуклидов, может находиться в составе частиц
элементов отходов в подавляющем большинстве
размером несколько микрон и менее [57, 59]. Анализ
случаев снижается, но для Cr, Ni и La в опытах
роли коллоидной формы элементов в выщелатах об-
при 90°С она несколько возрастает. Причины это-
лученных стекол требует дальнейших исследований.
го нам непонятны. Но поскольку различия в ско-
рости выщелачивания до и после выщелачивания
БЛАГОДАРНОСТИ
в целом несущественны, то это не принципиально.
Зависимость интенсивности выщелачивания стекол
Авторы благодарят О.И. Стефановскую за синтез
от температуры описывается формулой Аррениуса.
образцов стекол, Б.С. Никонова и М.С. Никольского -
Увеличение температуры с 25 до 90°С ведет к уве-
личению скорости выщелачивания всех элементов
за помощь при изучении СЭМ/ЭДС методом,
А.А. Ширяева за их исследование методами РФА и
из стекломатрицы на 0.5-1.5 порядка величины. В
ИК спектроскопии.
обоих случаях происходит уменьшение скорости вы-
щелачивания элементов со временем, что объясняет-
Авторы признательны двум рецензентам за заме-
ся формированием защитного слоя на поверхности
чания, позволившие улучшить статью.
образцов стекла.
В работе не анализировалось косвенное воздей-
ФОНДОВАЯ ПОДДЕРЖКА
ствие радиации на устойчивость стекломатрицы
вследствие изменения свойств подземных вод из-за
Работа проведена в соответствии с соглашением
облучения. Радиолиз приведет к появлению свобод-
между ФГУП «Радон» и ГК «Росатом» и по теме
ных радикалов, повышению их кислотности и, тем
НИР государственного задания ИГЕМ РАН.
самым, агрессивности по отношению к отвержден-
ным ВАО. Интенсивный радиолиз может иметь ме-
КОНФЛИКТ ИНТЕРЕСОВ
сто лишь в течение первых сотен лет, когда контей-
нер сохраняет целостность. Вследствие этого можно
Авторы заявляют об отсутствии конфликта ин-
ожидать, что радиолиз непосредственного влияния
тересов.
на процесс выщелачивания матрицы не окажет. И
даже после разгерметизации упаковки с отходами на
СПИСОК ЛИТЕРАТУРЫ
более ранней стадии он будет быстро подавляться за
счет взаимодействия подземных вод с другими ин-
1.
Лаверов Н.П., Величкин В.И., Омельяненко Б.И.,
женерными барьерами.
Юдинцев С.В., Петров В.А., Бычков А.В. Изоляция
РАДИОХИМИЯ том 64 № 1 2022
82
ЮДИНЦЕВ и др.
отработавших ядерных материалов: геолого-геохи-
17. Carter J.T., Luptak A.J., Gastelum J., Stockman Ch.,
мические основы. М.: ИГЕМ РАН, 2008. 280 с.
Miller A. Fuel Cycle Potential Waste Inventory for
Disposition. US Department of Energy, 2012. 328 p.
2.
Кочкин Б.Т., Мальковский В.И., Юдинцев С.В.
Научные основы оценки безопасности геологиче-
18. Gin S., Jollivet P., Tribet M., Peuget S., Schuller S. //
ской изоляции долгоживущих радиоактивных от-
Radiochim. Acta. 2017. Vol. 105. P. 927.
ходов (Енисейский проект). М.: ИГЕМ РАН. 2017.
19. Short R. // Procedia Mater. Sci. 2014. Vol. 7. P. 93.
384 с.
20. Алой А.С., Трофименко А.В., Кольцова Т.И.,
3.
Dorogov V.I., Ponizov A.V., Khaperskaya A.V. // Rad.
Никандрова М.В. // Радиоакт. отходы. 2018. № 4 (5).
Waste. 2017. N 1. P. 66.
С. 67.
4.
Kryukov O.V., Khaperkaya A.V., Dorofeev A.N.,
21. Diomidis N., Johnson L.H. // J. Miner. Met. Mater. Soc.
Ferapontov A.V., Kudryavtsev E.G., Linge I.I., Utkin S.S.,
2014. Vol. 66, N 3. P. 461.
Dorogov V.I., Sharafutdinov R.B., Ponizov A.V.,
22. Weber W.J., Ewing R.C., Angell C.A. Arnold G.W.,
Vasilishin A.L. // Rad. Waste. 2019. N 1. P. 25.
Cormack A.N., Delaye J.M., Griscom D.L.,
Hobbs L.W., Navrotsky A., Price D.L., Stoneham A.M.,
5.
Копырин А.А., Карелин А.И.‚ Карелин В.А. Технология
Weinberg M.C. // J. Mater. Res. 1997. Vol. 12. P. 1946.
производства ядерного топлива и его радиохимиче-
ская переработка. М.: Атомэнергоиздат, 2006. 576 с.
23. Weber W.J. // Procedia Mater. Sci. 2014. Vol. 7. P. 237.
6.
Vernaz E., Gin S., Veyer C. Waste Glass // Comprehensive
24. Дробышевский Н.И., Моисеенко Е.В., Бутов Р.А.,
Токарев Ю.Н. // Радиоакт. отходы. 2017. № 1. С. 65.
Nuclear Materials/Eds R. Konings, T. Allen, R. Stoller,
S. Yamanaka. Elsevier, 2012. Vol. 5, Ch. 5.18. P. 451.
25. Bibler N.E. // Mater. Res. Soc. Symp. Proc. 1981. Vol. 6.
P. 681.
7.
Laverov N.P., Yudintsev S.V., Kochkin B.T.,
Malkovsky V.I. // Elements. 2016. Vol. 12. P. 253.
26. Howitt D.G., Chan H.W., DeNatale J.F., Heuer J.P. // J.
Am. Cer. Soc. 1991. Vol. 74. P. 1145.
8.
Вашман А.А., Демин А.В., Крылова Н.В.,
Кушников В.В., Матюнин Ю.И., Полуэктов П.П.,
27. Abdelouas A., Ferrand K., Grambow B., Mennecart T.,
Fattahi M., Blondiaux G., Houee-Levin G. // Mater. Res.
Поляков А.С., Тетерин Э.Г. Фосфатные стекла с ра-
Soc. Symp. Proc. 2004. Vol. 807. P. 175.
диоактивными отходами/Под ред. А.А. Вашмана и
А.С. Полякова. М.: ЦНИИатоминформ, 1997. 172 с.
28. Gin S., Ribet I., Peuget S., Delaye J.-M. // Nuclear Waste
Conditioning/Ed. J.-F. Parisot. CEA, 2009. P. 51. Gif-
9.
Sengupta P. // J. Hazard. Mater. 2012. Vol. 235-236.
sur-Yvette.
P. 17.
29. Peuget S., Cachia J.-N., Jegou C., Deschanels X.,
10. Ремизов М.Б., Козлов П.В., Логунов М.В.,
Roudil D., Broudic V., Delaye J.M., Bart J.-M. // J. Nucl.
Колтышев В.К., Корченкин К.К. // Вопр. радиац. без-
Mater. 2006. Vol. 354. P. 1.
опасности. 2014. № 3. С.17.
30. Peuget S., Mendoza C., Maugeri E.A., Delaye J.M.,
11. Баторшин Г.Ш., Ремизов М.Б., Козлов П.В.,
Caraballo R., Charpentier T., Tribet M., Bouty O.,
Логунов М.В., С.В. Кустов // Вопр. радиац. безопас-
Jégou C. // Procedia Mater. Sci. 2014. Vol. 7. P. 252.
ности. 2015. № 1. С. 3.
31. Peuget S., Tribet M., Mougnaud S., Miro S., Jégou C. //
12. Hench L.L., Clark D.E., Harker A.B. // J. Mater. Sci.
NPJ Mater. Degrad. 2018. Vol. 2. P. 23.
1986. Vol. 21, N 5. P. 1457.
https://doi.org/10.1038/s41529-018-0044-3.
13. Lutze W. // Radioactive Waste Forms for the Future/Eds.
32. Mir A.H., Peuget S. // J. Nucl. Mater. 2020. Vol. 539.
W. Lutze, R.C. Ewing. Amsterdam: Elsevier, 1988. P. 1.
ID 152246.
14. Nuclear Waste Conditioning. A Nuclear Energy Division
33. Luzhetsky A.V., Petrov V.A., Yudintsev S.V.,
Monograph/Ed. J.-F. Parisot. Gif-sur-Yvette: CEA,
Malkovsky V.I., Ojovan M.I., Nikolsky M.S.,
2009. 151 p.
Shiryaev A.A., Danilov S.S., Ostashkina E.E.
//
Sustainability. 2020. Vol. 12. ID 4137.
15. Donald I.W. Waste Immobilization in Glass and Ceramic
Based Hosts: Radioactive, Toxic, and Hazardous Wastes.
34. Zubekhina B.Y., Burakov B.E., Ojovan M.I. // Challenges.
Chichester: Wiley, 2010. 507 p.
2020. Vol. 11. N 14.
16. Jantzen C.M. // Handbook of Advanced Radioactive
35. Зильберман Б.Я. // Радиохимия. 2000. Т. 42. № 1. С. 3.
Waste Conditioning Technologies/Ed. M.I. Ojovan.
36. Burns W., Marsh W., Walters W. // Radiat. Phys. Chem.
Cambridge, UK: Woodhead, 2011. P. 230.
1983. Vol. 21. P. 259.
РАДИОХИМИЯ том 64 № 1 2022
ВЛИЯНИЕ ГАММА-ОБЛУЧЕНИЯ НА УСТОЙЧИВОСТЬ В ВОДЕ АЛЮМОФОСФАТНЫХ СТЕКОЛ
83
37. Guo X., Gin S., Lei P., Yao T., Liu H., Schreiber D.K.,
49. Zhang H., Corkhill C.L., Heath P.G., Hand R.J.,
Ngo D., Viswanathan G., Li T., Kim S.H., Vienna J.D.,
Stennett M.C., Hyatt N.C. // J. Nucl. Mater.
2015.
Ryan J.V., Du J., Lian J., Frankel G.S. // Nature Mater.
Vol. 462. P. 321.
2020.
50. Krylova N.V., Salamatina R.N., Shavruk V.V.,
https://doi.org/10.1038/s41563-020-0742-4.
Yuzvikova M.A. // At. Energy. 1990. Vol. 69, N 5.
38. McGann O.J., Bingham P.A., Hand R.J., Gandy A.S.,
Р. 946.
Kavcic M., Zitnik M., Bucar K., Edge R., Hyatt N.C. // J.
Nucl. Mater. 2012. Vol. 429. P. 353.
51. Ferrand K., Abdelouas A., Grambow B. // J. Nucl. Mater.
2006. Vol. 355. P. 54.
39. Stefanovskii S.V., Stefanovskaya O.I., Semenova D.V.,
Kadyko M.I., Danilov S.S. // Glass Ceram. 2018. Vol. 75,
52. Болдырев К.А., Мартынов К.В., Крючков Д.В.,
N 3-4. P. 89.
Захарова Е.В., Ермолаев В.М. // Радиохимия. 2019.
40. ГОСТ Р 50926-96: Отходы высокоактивные отверж-
Т. 61. № 5. С. 427.
денные. Общие технические требования. М.: Изд-во
53. Icenhower J.P., Steefel C.I. // J. Nucl. Mater.
2013.
стандартов, 1996. 5 c.
Vol. 439. P. 137.
41. Chouard N., Caurant D., Majerus O., Guezi-Hasni N.,
54. Fournier M., Ull A., Nicoleau E., Inagaki Y., Odorico M.,
Dussossoy J.-L., Baddour-Hadjean R., Pereira-
Frugier P., Gin S. // J. Nucl. Mater. 2016. Vol. 476.
Ramos J.-P. // J. Alloys Compd. 2016. Vol. 671. P. 84.
P. 140.
42. Карслоу Г., Егер Д. Теплопроводность твердых тел.
55. Rolland S., Tribet M., Jollivet P., Jégou C., Broudic V.,
М.: Наука, 1964. 487 с.
Marques C., Ooms H., Toulhoat P. // J. Nucl. Mater.
43. Frugier P., Chave Т., Gin S., Lartigue J.-E. // J. Nucl.
2013. Vol. 433. P. 382.
Mater. 2009. Vol. 392. P. 552.
56. Valcke E., Lemmens K., Van Iseghem P., Godon N.,
44. Fournier M., Gin S., Frugier Р. // J. Nucl. Mater. 2014.
Jollivet P., Jockwer N., Wieczorek K., Pozo C. // Proc.
Vol. 448. P. 348.
REPOSAFE 2007 (Int. Conf. "Radioactive Waste
45. Мартынов К.В., Захарова Е.В. // Вопр. радиац. безо-
Disposal in Geological Formations". Braunschweig,
пасности. 2019. № 3. С.23.
Germany, May 11, 2007). 2008. Vol. 1. P. 187.
46. Xing Shi-Ben, Muller I.S., Pegg I.L. // Mater. Res. Soc.
57. Malkovsky V.I., Yudintsev S.V., Aleksandrova E.V. // J.
Symp. Proc. 1994. Vol. 333. P. 549.
Nucl. Mater. 2018. Vol. 508. P. 212.
47. Ojovan M.I., Pankov A., Lee W.E. // J. Nucl. Mater.
2006. Vol. 358. P. 57.
58. Stefanovsky S.V., Stefanovsky O.I., Danilov S.S.,
Kadyko M.I. // Ceram. Int. 2019. Vol. 45. P. 9331.
48. Jollivet P., Angeli F., Cailleteau C., Devreux F.,
Frugier P., Gin S. // J. Non-Cryst. Solids. 2008. Vol. 354.
59. Yudintsev S.V., Mal’kovskii V.I., Aleksandrova E. V. //
P. 4952.
Radiochemistry. 2020. Vol. 62. P. 411.
РАДИОХИМИЯ том 64 № 1 2022