РАДИОХИМИЯ, 2022, том 64, № 1, с. 45-52
УДК 621.039.738
ЖИДКОСТНАЯ ДЕЗАКТИВАЦИИ
УЗЛОВ ОБОРУДОВАНИЯ В РАСТВОРАХ
С КОМПЛЕКСООБРАЗОВАТЕЛЯМИ С
ЭЛЕКТРОХИМИЧЕСКОЙ И КОМБИНИРОВАННОЙ
ИНТЕНСИФИКАЦИЕЙ ПРОЦЕССА
© 2022 г. И. В. Кузнецов, М. Ю. Каленова, О. Н. Будин*, А. С. Щепин,
Р. В. Сапрыкин, И. М. Мельникова
Ведущий научно-исследовательский институт химической технологии,
115409, Москва, Каширское шоссе, д. 33
* e-mail: o.n.budin@gmail.com
Поступила в редакцию 19.11.2020, после доработки 20.02.2021, принята к публикации 25.02.2021
Проведены эксперименты по жидкостной дезактивации имитаторов радиационно-загрязненного метал-
лического оборудования с ультразвуковой и электрохимической интенсификацией процесса. Испыта-
ния проводили с прототипом промышленного аппарата, предполагающегося к использованию в соста-
ве модуля переработки отработавшего ядерного топлива опытно-демонстрационного энергокомплекса.
Установлено, что в среде нагретого до 65°С дезактивирующего раствора, содержащего 15 мас% HNO3
и 0.5 мас% Трилона Б, наибольшая эффективность очистки достигается в комбинированном режиме
воздействия (ультразвук + электрохимия). Оптимальное время обработки составляет 20 мин при элек-
трохимической интенсификации процесса и от 5 до 15 мин - при комбинированной в зависимости от
характера исходного загрязнения. Остаточные содержания урана составили 145-181 мг/м2 металличе-
ской поверхности. Установлено, что при длительности электрохимического воздействия свыше 20 мин
эффективность дезактивации снижается вследствие обратной сорбции уранатных гидроксокомплексов.
Показано негативное влияние повышения содержания урана в дезактивирующем растворе на эффек-
тивность очистки.
Ключевые слова: дезактивация, радиоактивное загрязнение, ультразвук, электрохимия, ванна, уран,
азотная кислота, Трилон Б, металлические радиоактивные отходы.
DOI: 10.31857/S0033831122010038
На сегодняшний день одной из важнейших
ходами (РАО) и модуль фабрикации/рефабрикации
российских разработок в области развития атом-
(МФР).
ной энергетики является замыкание ядерного то-
Предполагается, что оборудование ОДЭК, вы-
пливного цикла. Реализация данной концепции
водимое из эксплуатации, будет характеризоваться
высокой степенью загрязнения α-, β- и γ-излучаю-
осуществляется в рамках проектного направления
щими радионуклидами. Согласно экспертной оцен-
«Прорыв», предполагающего создание опытно-де-
ке, удельная активность оборудования МП ОДЭК,
монстрационного энергокомплекса (ОДЭК) на тех-
направляемого на дезактивацию, может достигать
нологической площадке Сибирского химического
3×1011 Бк/кг [1] что позволяет отнести его к РАО
комбината, включающего энергоблок на основе бы-
2-го класса. Их окончательное удаление подразу-
строго реактора (БР) естественной безопасности,
мевает захоронение в глубинных геологических
модуль переработки (МП) отработавшего ядерного
формациях, что существенно дороже обращения с
топлива (ОЯТ) и обращения с радиоактивными от-
отходами 3-го и 4-го классов, подлежащих разме-
45
46
КУЗНЕЦОВ и др.
щению в приповерхностных пунктах захоронения
Тип № 2: оборудование с участка экстракци-
[2]. Второй особенностью металлических отходов
онно-кристаллизационного аффинажа, исходным
МП ОДЭК, требующей особого внимания, является
сырьем которого являются азотнокислые раство-
присутствие α-излучающих делящихся материалов
ры продукта пирохимической стадии переработки
(ДМ), включая основные компоненты топлива (U
ОЯТ БР и окисленного СНУП ОЯТ. Моделирование
и Pu) и минорные актиниды. Эти элементы харак-
загрязнения проводили нанесением органической
теризуются длительными периодами полураспа-
фазы UO2(NO3)2·2ТБФ, полученной смешением
раствора уранилнитрата с 30%-ным ТБФ в кероси-
да, высокой радиотоксичностью и подлежат мак-
не при соотношении органической к водной фазе
симальному возврату в ядерный топливный цикл
2.5 : 1.
(ЯТЦ) в соответствии с принципом радиационной
эквивалентности. Для дезактивации выводимого из
Тип № 3: оборудование с операции денитра-
эксплуатации оборудования ОДЭК в составе произ-
ции азотнокислых растворов. На металлические
водства предусмотрена специализированная уста-
поверхности наносили раствор уранилнитрата,
новка, представляющая собой комбинированную
содержащий 252 г/дм3 HNO3 и 238 г/дм3 U. Затем
фрагменты подвергали последовательной терми-
ванну, сочетающую ультразвуковое и электрохими-
ческой обработке при 150 и 400°С для образования
ческое воздействие на обрабатываемые объекты.
кристаллогидрата UО2(NО3)2·6H2O и UO3 соответ-
Задачей настоящего исследования являлась про-
ственно [4].
верка эффективности жидкостной дезактивации
Обогащение урана по изотопу 235U во всех
фрагментов оборудования различного генезиса
случаях соответствовало природному значению
с ультразвуковой и комбинированной (ультраз-
0.711%.
вук + электрохимия) интенсификацией процесса с
использованием полномасштабного макета опыт-
Эксперименты по дезактивации проводили на
полномасштабном макете комбинированной ванны,
но-промышленной установки.
оснащенной подсистемами турбулентного переме-
шивания, ультразвуковой (УЗ) и электрохимической
ЭКСПЕРИМЕНТАЛЬНАЯ ЧАСТЬ
интенсификации процесса дезактивации. Аппарат
является прототипом оборудования, предполагае-
Узлы радиационно-загрязненного оборудова-
мого к использованию в составе МП ОДЭК.
ния ОДЭК, выводимого из эксплуатации, модели-
ровали фрагментами стали 12Х18Н10Т размером
Характеристики полномасштабного макета
установки жидкостной дезактивации с
220 × 300 × 2 мм. Для изучения процесса дезакти-
комбинированной (УЗ+ЭХ) интенсификацией
вации загрязнений различного генезиса изготавли-
процесса
вали имитаторы трех типов.
Тип № 1: оборудование с узлов растворения и
Модель
П.210
Разработчик
ИТЦП «Прорыв»,
осветления раствора ОЯТ гидрометаллургической
Россия
технологии переработки ОЯТ БР. На стальные
Изготовитель
ООО «Александра-
пластины с помощью кисточки наносили азотно-
Плюс», Россия
кислотный раствор нитрата уранила, содержащий
Объем рабочего раствора, л
1300
252 г/дм3 HNO3 и 238 г/дм3 U [3]. Данный вид за-
Размер внутреннего объема
1270 × 1875 × 2570
грязнений является наименее стойким, что обуслов-
ванны, мм
Размер корзины для изделий,
620 × 960 × 1020
лено водоростворимостью образующей его солевой
мм
фазы. Очевидно, что его дезактивация в условиях
Рабочая температура среды, °С 20-70
электрохимического и комбинированного воздей-
Мощность одного УЗ
0.1
ствия не должна вызывать затруднений, исследова-
излучателя, кВт
ния по его отмывке проводили с целью получения
Количество УЗ излучателей,
73
референсных значений остаточного содержания
шт.
уран на поверхности металла.
Частота УЗ колебаний, кГц
22
РАДИОХИМИЯ том 64 № 1 2022
ЖИДКОСТНАЯ ДЕЗАКТИВАЦИИ УЗЛОВ ОБОРУДОВАНИЯ
47
Мощность источника для
3.8
На первом этапе исследовали влияние времени
электрохимии, кВт
обработки на эффективность электрохимической
Максимальный ток, А
200
и комбинированной дезактивации металлических
Мощность нагревательного
12
фрагментов. Радиоактивные образцы загружали на
элемента, кВт
дно металлической корзины, которую помещали в
Количество нагревательных
2
ванну, заполненную рабочим раствором, разогре-
элементов, шт.
тым до 65°С, затем закрывали крышку аппарата.
Максимальная потребляемая
38
В случае электрохимического режима коммутиро-
мощность, кВт
Конструкционный материал сталь 12Х18Н10Т
вали и включали блок электрохимии, устанавли-
ванны
вали максимально возможный ток. При комбини-
рованном воздействии после подачи напряжения
Использование блока электрохимии обеспечива-
на ванну включали УЗ генераторы. Через каждые
ет анодное травление металлических поверхностей,
5 мин обработки имитаторы извлекали, промывали
вследствие которого глубинные загрязнения, капсу-
небольшим количеством дистиллированной воды
лированные оксидными отложениями, переходят в
над ванной, затем сушили в лабораторном сушиль-
раствор. В процессе ультразвукового воздействия
ном шкафу при температуре 150°С до постоянной
дезактивация осуществляется за счет звукового
массы, вырезали образец в форме квадрата со сто-
давления и эффекта кавитации. Эффект кавитации
роной 42 мм и передавали на радиометрический
в совокупности с турбулентным перемешивани-
анализ. Остаточное содержание урана определяли
ем, помимо дезактивации гидравлическим ударом,
с помощью поверенных β-спектрометрического
позволяет проводить постоянное перемешивание
тракта БДЭБ-2У и α-радиометра «Прогресс-АР»,
раствора, обновляющее раствор на границе раздела
входящих в состав спектрометрического комплек-
водной и металлической фаз.
са «Прогресс» (НПП «Доза», Россия). Для каждо-
го набора условий выполняли по 3 параллельных
В качестве дезактивирующей среды использова-
эксперимента. В качестве конечного значения ис-
ли водный раствор, содержащий 15 мас% НNО3 и
пользовали среднее арифметическое по 3 опытам.
0.5 мас% Трилона Б. Выбор среды обусловлен двумя
Для определения степени дезактивации из каждого
факторами. Во-первых, 10-15%-ный раствор HNO3
загрязненного фрагмента отбирали по одному не-
хорошо себя зарекомендовал на практике жидкост-
обработанному образцу.
ной дезактивации при температурах 50-80°С [1];
во-вторых, использование Трилона Б способствует
Степень дезактивации является безразмерной
образованию растворимых солей с различными со-
величиной, зависящей не только от остаточного
единениями металлов, в том числе с устойчивыми
загрязнения, характеризующего отнесение объек-
к азотной кислоте, что предположительно должно
тов к классам РАО, но и от начального, варьирую-
повысить эффективность дезактивации [5].
щегося в весьма широких пределах. В связи с этим
для оценки и сравнения качества обработки также
Результаты анализа литературы, посвященной
использовали отношения суммарной (α + β) актив-
изучению жидкостной дезактивации металличе-
ности и массы урана к площади обрабатываемой
ских фрагментов, показали, что повышение темпе-
поверхности. Второй показатель рассчитывали по
ратуры способствует повышению эффективности
формуле (1):
очистки металлических изделий от ПД и ДМ [6-8],
а длительность дезактивации может варьироваться
, (1)
от нескольких секунд до часов [6, 8-13]. Следова-
тельно, температура процесса должна составлять
максимально возможную для имеющегося обору-
где CU.пов. - содержание урана, г/м2; Aαобр. - α-актив-
дования, а время обработки не превышать необхо-
ность образца, Бк; Aβобр. - β-активность образца, Бк;
димого для достижения заданной степени дезакти-
Aуд 238U - удельная активность 238U, 1.24 × 104 Бк/г;
вации. В настоящей работе температура раствора
Aуд 235U - удельная активность 235U, 7.99 × 104 Бк/г;
составляла 65°С, а время обработки - до 35 мин.
Sобр. - площадь вырезанного фрагмента квадратно-
РАДИОХИМИЯ том 64 № 1 2022
48
КУЗНЕЦОВ и др.
Таблица 1. Результаты экспериментов электрохимиче-
Таблица 2. Результаты экспериментов комбинированно-
ского воздействия
го воздействия
τ, мин
(α + β), Бк/см2
ε, %
τ, мин
(α + β), Бк/ см2
ε, %
Тип № 1 (после воздействия азотнокислотным
Тип № 1 (после воздействия азотнокислотным
раствором уранилнитрата)
раствором уранилнитрата)
0
10.531
-
0
6.234
-
5
0.192
95.94
5
0.671
92.83
10
0.183
95.86
10
0.203
98.00
15
0.174
96.32
15
0.228
97.94
20
0.167
96.36
20
0.212
98.01
25
0.181
95.89
25
0.212
98.01
30
0.178
96.00
30
0.195
98.20
35
0.181
95.90
35
0.255
97.86
Тип № 2 (после воздействия урансодержащим ТБФ)
Тип № 2 (после воздействия урансодержащим ТБФ)
0
2.263
-
0
3.292
-
5
0.200
90.82
5
0.854
74.96
10
0.183
91.76
10
0.198
92.62
15
0.182
91.87
15
0.223
92.04
20
0.180
92.09
20
0.209
92.22
25
0.242
89.29
25
0.219
91.92
30
0.165
92.08
30
0.220
92.16
35
0.163
92.25
35
0.240
91.56
Тип № 3 (после воздействия азотнокислотного
Тип № 3 (после воздействия азотнокислотного
раствора уранилнитрата и обжига)
раствора уранилнитрата и обжига)
0
11.051
-
0
9.133
-
5
0.237
97.88
5
0.282
91.78
10
0.209
98.14
10
0.335
92.21
15
0.184
98.40
15
0.240
94.18
20
0.193
98.39
20
0.225
93.25
25
0.173
98.36
25
0.248
93.37
30
0.174
98.35
30
0.231
93.59
35
0.167
98.43
35
0.281
93.54
го образца со стороной 42 мм, ~1.76 × 10-3 м2 На
РЕЗУЛЬТАТЫ И ИХ ОБСУЖДЕНИЕ
следующем этапе исследовали влияние содержания
урана в дезактивирующем растворе на эффектив-
В табл. 1 приведены результаты экспериментов
ность процесса. Продолжительность воздействия в
по дезактивации в электрохимическом режиме. Как
обоих режимах составила 20 мин.
видно, стабильное снижение активности металли-
Химический анализ проб дезактивирующего
ческих образцов наблюдается в первые 20 мин элек-
раствора, отобранных до и после опыта, на содер-
трохимического воздействия, тенденция не зависит
жание урана проводили титрованием ванадатом ам-
от характера исходного загрязнения. Более продол-
мония по методу Сахарова [14].
жительная обработка не обеспечивает повышения
РАДИОХИМИЯ том 64 № 1 2022
ЖИДКОСТНАЯ ДЕЗАКТИВАЦИИ УЗЛОВ ОБОРУДОВАНИЯ
49
0.181
0.200
0.170
0.168
0.155
0.180
0.145
0.160
0.134
0.140
0.120
0.100
0.080
0.060
0.040
1
2
1
2
1
2
0.020
0.000
Загрязнение
Загрязнение
Загрязнение
типа № 1.
типа № 2.
типа № 3.
Раствор
Органическая фаза
Триоксид урана
уранилнитрата
UO2(NO3)2∙2ТБФ
(термохимическое
воздействие
Рис. 1. Сравнение остаточных содержаний урана в зависимости от характера загрязнения и способа дезактивации
дезактивации в электрохимическом и комбинированном режимах. 1 - электрохимическое, 2 - комбинированное воздействие.
эффективности дезактивации. Наблюдаемые при
Эффективность электрохимического или комби-
этом флуктуации остаточной активности, очевидно,
нированного воздействия сопоставлена на рис. 1.
связаны с явлением обратной сорбции уранатных
Для построения гистограммы использовали усред-
гидроксокомпелксов, описанным в статье [9].
ненные значения остаточного содержания урана по-
сле обработки по трем параллельным опытам для
Несколько более сложный характер поведения
каждого из загрязнений при длительности воздей-
образцов наблюдался при комбинированном воз-
ствия 20 мин.
действии (табл. 2). Динамика эффективности де-
зактивации образца № 2 (загрязнение урансодер-
Из рис. 1 следует, что дезактивация в комбини-
жащим ТБФ) характеризуется «плато» при времени
рованном режиме в растворе, содержащем 15 мас%
обработки от 10 до 20 мин, снижением при 25-ми-
НNО3 и 0.5 мас% Трилона-Б, является более эф-
нутном воздействии и стремительным увеличением
фективной для каждого типа загрязнений по срав-
при продолжительности обработки 30 мин и более.
нению с отдельным электрохимическим воздей-
Имитатору 3-го типа (загрязнение уранилнитратом
ствием. Наиболее вероятно это связано с интенси-
и последующий обжиг) свойственны локальный
фикацией массообменных процессов в приповерх-
минимум остаточной активности, достигаемый при
ностном слое металла в результате кавитационного
15-минутном воздействии, и стремительное сни-
воздействия. Сравнение остаточного загрязнения
жение при 25-минутной и более продолжительной
образцов 3 типов показывает, что дезактивация,
обработке.
интенсифицируемая электрохимическим и комби-
нированным воздействием, весьма эффективна вне
Как видно из представленных таблиц, приме-
нение дезактивирующего раствора, содержащего
зависимости от характера радиоактивного отложе-
ния. При удалении «проблемных» загрязнений, вы-
15 мас% НNО3 и 0.5 мас% Трилона Б, позволяет
званных термохимическим воздействием и контак-
вести эффективную обработку оборудования с за-
том с органической фазой, остаточное содержание
грязнениями всех типов, рассмотренных в данном
урана на поверхностях практически соответствует
исследовании. Независимо от способа интенсифи-
образцу, покрывавшемуся водорастворимым ура-
кации наиболее трудноудалямыми являются следы
нилнитратом.
урансодержащей органической фазы, что, вероятно,
связано с образованием ей непроводящих пленок на
На рис. 2 и 3 представлены зависимости остаточ-
поверхности металла.
ного содержания урана на металлических фрагмен-
РАДИОХИМИЯ том 64 № 1 2022
50
КУЗНЕЦОВ и др.
0.22
2
0.2
1
0.18
3
0.16
0.14
0.12
0.00055
0.00065
0.00075
0.00085
0.00095
0.000105
0.000115
Содержание урана в растворе, г/л
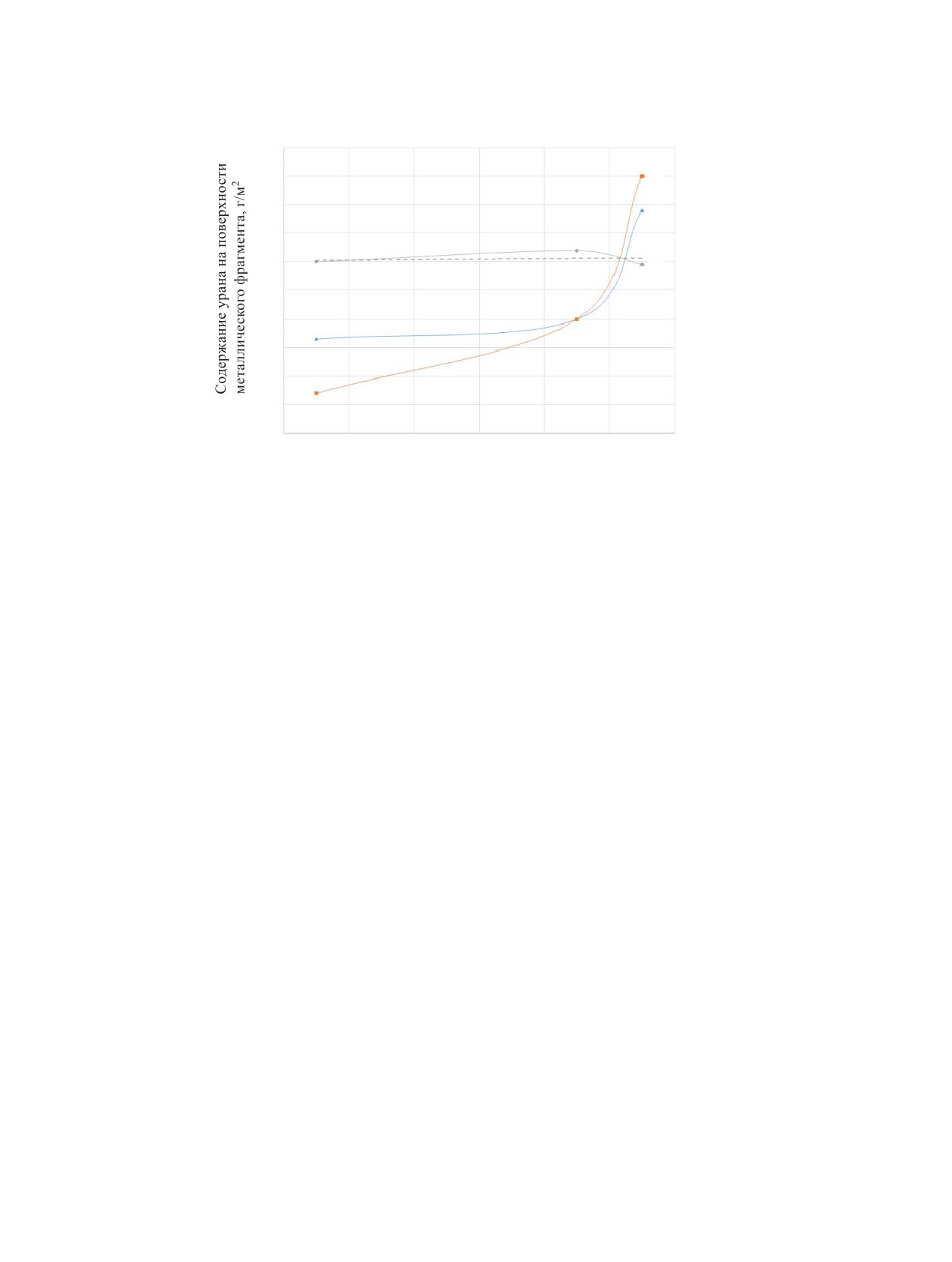
Рис. 2. Зависимость содержания урана на поверхности металлических фрагментов от содержания урана в растворе
при электрохимической обработке. Фрагменты, загрязненные: 1 - раствором уранилнитрата, 2 - органической фазой,
3 - триоксидом урана (термохимическое воздействие)
тах после отмывки продолжительностью 20 мин в
Снижение эффективности дезактивации фрагмен-
электрохимическом и комбинированном режимах
тов оборудования в данном случае, вероятно, также
от содержания урана в растворе после каждого опы-
связано с обратной сорбцией урана.
та.
Как видно из представленных данных, незави-
ЗАКЛЮЧЕНИЕ
симо от способа обработки начальное содержание
урана в растворе влияет на эффективность очист-
Проведена серия экспериментов по жидкост-
ки. Результаты дезактивации первых двух образцов
ной дезактивации фрагментов нержавеющей стали,
при электрохимическом и комбинированном воз-
имитирующих радиационно-загрязненное оборудо-
действии имеют выраженную тенденцию повыше-
вания ОДЭК, используемого в процессах растворе-
ния остаточного содержания урана на поверхности
ния и осветления, экстракционно-кристаллизаци-
фрагментов при увеличении его концентрации в
онного аффинажа, термической денитрации. Испы-
растворе. Поскольку все пластины имели простую
тания проводили с использованием электрохимиче-
конфигурацию с гладкими поверхностями и под-
ской и комбинированной интенсификации процесса
вергались отмывке дистиллированной водой после
обработки, можно заключить, что данное явление
(электрохимия + ультразвук) на полномасштабном
связано не с удержанием дезактивирующего рас-
макете опытно-промышленной установки. Проде-
твора образцом, а с пропорциональным усилением
монстрирована эффективность жидкостной дезак-
эффекта обратной сорбции уранатных гидроксо-
тивации металлических изделий в растворе, со-
комплексов [9].
держащем 15 мас% HNO3 и 0.5 мас% Трилона Б,
нагретом до 65°С. Отмечено, что очистка оборудо-
Эффективность отмывки третьего образца слабо
зависит от содержания урана в растворе в интерва-
вания со «сложными» въевшимися загрязнениями
ле 0-1.1×10-3 г/л при электрохимическом воздей-
не представляет трудностей. Металлические пла-
ствии, однако при комбинированной обработке на-
стины, подвергавшиеся термохимическому воздей-
блюдается такая же отрицательная тенденция, как у
ствию и контактировавшие с органической фазой,
фрагментов с первым и вторым типом загрязнения.
очищаются практически так же эффективно, как и
РАДИОХИМИЯ том 64 № 1 2022
ЖИДКОСТНАЯ ДЕЗАКТИВАЦИИ УЗЛОВ ОБОРУДОВАНИЯ
51
0.175
2
3
0.165
1
0.155
0.145
0.135
0.125
0.115
0.0019
0.0021
0.0023
0.0025
0.0027
0.0029
0.0031
Содержание урана в растворе, г/л
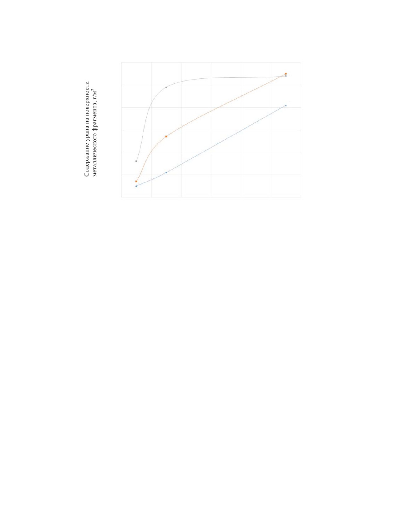
Рис. 3. Зависимость содержания урана на поверхности металлических фрагментов от содержания урана в растворе
при комбинированной обработке. Фрагменты, загрязнегнные: 1 - раствором уранилнитрата, 2 - органической фазой,
3 - триоксидом урана (термохимическое воздействие).
образец, покрытый водорастворимым уранилни-
тивации происходит при продолжительности про-
тратом.
цесса 30 мин и более.
Показано, что дезактивация при комбинирован-
Установлено, что повышение содержания урана
ной интенсификации процесса более эффективна,
в дезактивирующем растворе снижает эффектив-
чем при электрохимической. В первом случае по-
ность процесса как при электрохимической, так и
при комбинированной интенсификации процесса.
сле 20 мин обработки остаточное содержание урана
составляет 134, 145 и 155 мг/м2 на образцах с за-
грязнениями типов № 1, 2 и 3 соответственно (обо-
ФОНДОВАЯ ПОДДЕРЖКА
рудование растворения и осветления, экстракцион-
но-кристаллизационного аффинажа и термической
Финансирование работы осуществлялось из
денитрации соответственно). При электрохимиче-
средств Государственного контракта от 23.03.2020
ском воздействии аналогичные показатели состав-
№ Н.4о.241.19.20.1028.
ляют 170, 168 и 181 мг/м2.
Установлено, что при электрохимической ин-
КОНФЛИКТ ИНТЕРЕСОВ
тенсификации процесса оптимальное время дезак-
тивации составляет 20 мин, дальнейшая обработка
Авторы заявляют об отсутствии конфликта ин-
приводит к снижению эффективности процесса
тересов.
вследствие обратной сорбции уранатных гидроксо-
комплексов. При комбинированной интенсифика-
СПИСОК ЛИТЕРАТУРЫ
ции процесса время обработки и эффективность де-
зактивации имеют сложную нелинейную взаимос-
1.
Черников М.А., Богданов А.И., Жеребцов А.А. //
вязь. В зависимости от типа загрязнения локальные
Вопр. атом. науки и техники. 2016. № 4. С. 70.
минимумы и «плато» остаточной активности на-
2.
Тарифы на захоронение радиоактивных отходов на
блюдаются в интервале длительностей воздействия
период с 2018 по 2022 годы. http://www.norao.ru/
10-20 мин. Стабильный рост эффективности дезак-
about/tarify/. Дата обращения: 11.01.2021.
РАДИОХИМИЯ том 64 № 1 2022
52
КУЗНЕЦОВ и др.
3.
Карелин В.А., Страшко А.Н. Технология переработ-
10. Зимон А.Д. Дезактивация. М.: Атомиздат, 1975. 280 с.
ки облученного ядерного топлива. Томск: Изд-во
11. Акатов А.А., Романов В.Ю. // Традиции и инновации:
Томского политехн. ун-та, 2018. 89 с.
Сб. статей по материалам научной конф. Санкт-Пе-
4.
Evans J.V., Hanusa T.P. The Heaviest Metals: Science
тербургский гос. технологический ин-т (техниче-
and Technology of the Actinides and beyond (EIC
ский ун-т), 2018. С. 188.
Books). Wiley, 2019. 544 p.
12. Лебедев Н.М., Коваленко В.Н., Арефьева А.Н., Ака-
5.
Koryakovskiy Y.S., Doilnitsyn V.A., Akatov A.A. // Nucl.
тов А.А., Доильницын В.А., Коряковский Ю.С., Чере-
Energy Technol. 2019. Vol. 5, N 2. P. 155.
мискин П.И. Патент RU 2635202. 2015 // Б.И. 2017.
6.
Савкин А.Е., Карлина О.К., Васильев А.П. и др. // Без-
№ 31.
опасность окружающей среды. 2007. № 3. С. 38.
13. Акатов А.А., Коряковский Ю.С., Доильницын В.А.,
7.
Курносов В.А., Хитров Ю.А., Еперин А.П., Шма-
Лебедев Н.М., Арефьева А.Н. // Актуальные вопро-
ков Л.В., Анискин Ю.Н., Феофанов В.Н., Пичу-
сы ядерно-химических технологий и экологиче-
рин С.Г. Патент RU 2078387. 1995.
ской безопасности: Сб. статей по материалам науч-
8.
Широков С.С., Богданов А.И., Жеребцов А.А., Суха-
но-практической конф. Севастопольский гос. ун-т,
нов Л.П., Черников М.А. // Вопр. атом. науки и техни-
2016. С. 57.
ки. 2016. № 4. С. 61.
14. Марков В.К., Виноградов А.В., Елинсон С.В., Клы-
9.
Широков С.С., Кузнецов А.Ю., Холопова О.В., Широ-
гин А.Е., Моисеев И.В. Уран, методы его определе-
кова Е.В. // Радиохимия. 2015. Т. 57, № 2. С.154.
ния. М.: Атомиздат, 1965. 264 с.
РАДИОХИМИЯ том 64 № 1 2022