РАДИОХИМИЯ, 2021, том 63, № 6, с. 559-571
УДК 542.61+543.544+544.58
ВЫДЕЛЕНИЕ 117mSn ИЗ ОБЛУЧЕННОГО ПРОТОНАМИ
ИНТЕРМЕТАЛЛИДА ТИТАН-СУРЬМА
© 2021 г. Е. В. Лапшина*, С. В. Ермолаев, Б. Л. Жуйков
Институт ядерных исследований РАН, 117312, Москва, пр. 60-летия Октября, д. 7а
*e-mail: lapshina@inr.ru
Поступила в редакцию 11.11.2020, после доработки 29.03.2021, принята к публикации 05.04.2021
Разработаны различные методы извлечения перспективного медицинского радионуклида 117mSn из
облученного протонами интерметаллида TiSb - мишенного материала, подходящего для облучения
на интенсивном пучке ускоренных протонов. Для отделения радиоолова от Ti, Sb и радионуклидов
других элементов использованы методы ионообменной хроматографии и жидкостной экстракции,
в частности, анионообменное разделение олова и титана в виде пероксидного комплекса в растворе
HCl, экстракция олова бензолом из иодидных растворов, хроматографическая очистка на силикагеле
из цитратных растворов. В результате удалось получить 117mSn высокой чистоты, удовлетворяющей
требованиям, предъявляемым в ядерной медицине.
Ключевые слова: 117mSn, интерметаллид TiSb, облучение протонами, разделение радиоолова и титана,
ионный обмен, экстракция.
DOI: 10.31857/S0033831121060083
В последние десятилетия значительное развитие
судистых заболеваний, а также коллоида 117mSn для
получила терапия онкологических и других заболе-
облегчения болей при остеоартрите и ревматоид-
ваний человека с использованием радиофармацев-
ном артрите [1, 6].
тических лекарственных препаратов (РФЛП). Более
До недавнего времени 117mSn получали в ос-
80% онкологических больных страдают костными
новном по реакциям стабильных изотопов олова с
метастазами [1]. Одним из эффективных методом
нейтронами: 116Sn(n,γ)117mSn или 117Sn(n,n'γ)117mSn,
лечения больных с распространенными костными
при этом удельная активность 117mSn не превыша-
метастазами является внутритканевая радионуклид-
ла 740 ГБк/г (20 Ки/г) [2, 7]. Наличие стабильного
ная терапия с применением РФЛП на основе радио-
олова серьезно ограничивает возможности меди-
нуклидов, излучающих электроны. РФЛП на основе
цинского применения реакторного 117mSn. Продукт
радионуклида 117mSn (в частности, 117mSn4+ДТПА)
с высокой удельной активностью может быть по-
[2-5] обладают рядом преимуществ по сравнению
лучен в реакциях с ускоренными заряженными ча-
с другими препаратами. Распад метастабильного
стицами, из которых два подхода являются наибо-
радионуклида 117mSn сопровождается испускани-
лее перспективными и демонстрируют сравнимые
ем моноэнергетичных конверсионных электронов
показатели наработки 117mSn: nat,121,123Sb(p,x)117mSn
(127, 129 и 152 кэВ), имеющих короткий и дискрет-
[8, 9] и 116Cd(α,3n)117mSn [10,11]. Сейчас получают
ный пробег 0.2-0.3 мм в биологической ткани. Мяг-
все большее распространение мощные и компакт-
кое излучение приводит к локальному воздействию
ные циклотроны типа Cyclone 70, разработанные
на опухолевые клетки без повреждения здоровых
тканей. Наличие γ-излучения (159 кэВ) при распаде
и изготавливаемые компанией IBA (Бельгия), спо-
117mSn позволяет использовать его для контроля те-
собные ускорять пучки протонов интенсивностью
рапевтического воздействия (тераностика). Успеш-
более 300 мкА до энергии 70 МэВ. Такие циклотро-
но проводятся клинические испытания препара-
ны успешно используются для крупномасштабно-
тов 117mSn4+ДТПА для облегчения боли в костях,
го производства радиоизотопов, главным образом,
117mSn4+ДОТА-аннексин для лечения сердечно-со-
медицинского назначения [12, 13]. На основе экс-
559
560
ЛАПШИНА и др.
периментально определенных сечений показано
шает теплопроводность отдельно взятых титана и
[14], что радионуклид 117mSn может быть получен
сурьмы.
путем облучения сурьмяной мишени протонами
При химическом выделении 117mSn из облучен-
с начальной энергией 145 МэВ и ниже. Облуче-
ного TiSb необходима очистка не только от макро-
ние природной сурьмы протонами с энергией 55
количеств сурьмы, что было исследовано ранее
МэВ или обогащенной 123Sb протонами с энергией
[15], но и от макроколичеств титана. Очистка от
70 МэВ приводит к образованию 117mSn, содержа-
титана затруднена из-за схожести его химического
щего пренебрежимо малую примесь нежелатель-
поведения с поведением олова; в немногих работах,
ного долгоживущего радиоизотопа 113Sn (наличие
описанных в литературе, используются экстракци-
примеси другого долгоживущего радиоизотопа
онные и хроматографические методы разделения.
119mSn (Т1/2 = 293 сут), испускающего при распа-
Sn(IV) может быть экстрагировано метилизобу-
де в стабильный 119Sn весьма мягкое гамма-излу-
тилкетоном из растворов 7 М HCl, при этом Ti(IV)
чение, не препятствует медицинскому использо-
остается в водной фазе [19]. Затем олово реэкстра-
ванию 117mSn). В связи с этим реализация подхода
гируют разбавленными растворами соляной или
nat,123Sb(p,x)117mSn на циклотронах типа Cyclone 70
серной кислоты [20].
для получения больших количеств 117mSn медицин-
Также в аналитической практике используют
ского качества представляется особенно перспек-
экстракцию олова бензолом из растворов HI. Наи-
тивной. В нашей работе [15] был предложен метод
более эффективно экстракция олова бензолом про-
получения 117mSn без носителя из толстой мишени
текает при содержании хлорной кислоты 4.66 M,
металлической сурьмы, облученной протонами.
серной кислоты 1 M (общая кислотность 6.6 M) и
После растворения сурьмяной мишени радиооло-
во выделяли посредством жидкость-жидкостной
концентрации иодида калия 0.5 М. При этом титан и
сурьма, а также металлы I-III групп периодической
экстракции (ЖЖЭ) дибутиловым эфиром с после-
системы, включая индий и скандий, не экстрагиру-
дующей доочисткой на силикагеле. Этот метод по-
зволяет получить до 3 Ки (100 ГБк) 117mSn высокой
ются [21]. Реэкстрагируют олово раствором 1-2 M
HCl. Однако эта методика разработана только для
радионуклидной чистоты с удельной активностью
около 1000 Ки/г (более 40 ГБк/мг).
аналитического определения миллиграммовых ко-
личеств олова [22], ее применимость для выделения
Однако, поскольку металлическая сурьма обла-
радиоолова без носителя не исследована.
дает низкой теплопроводностью, низкой температу-
рой плавления и высоким давлением паров, сурьмя-
Хроматографическое отделение Ti(IV) от ионов
ные мишени не выдерживают длительного облуче-
других металлов возможно путем сорбции титана в
ния током протонов высокой интенсивности. Кроме
присутствии перекиси водорода на слабоосновном
того, сурьма активно взаимодействует со многими
анионите Amberlite CG-4B [23]. Аналогичное пове-
материалами, которые обычно используют для из-
дение Ti(IV) наблюдается на катионитах AG 50W-
готовления оболочки мишени, что приводит к раз-
X8 и Dowex 50W в растворах 0.05 M H2SO4 с до-
рушению оболочки во время облучения. Вместо
бавлением 1% H2O2 [24]. На сильноосновных анио-
металлической сурьмы в качестве мишенного ма-
нообменных смолах (Dowex 1×8 и AG 1 × 8) Ti(IV)
териала были рассмотрены интерметаллические
не адсорбируется [25]. Известно, что Ti образует
соединения, такие как TiSb, NiSb, AlSb, из которых
пероксидные комплексы [TiO(H2O2)]2+, заряженные
наиболее перспективным оказалось TiSb [16]. Его
положительно и устойчивые в сильнокислых рас-
свойства, начало исследования которых приходится
творах. В то же время Sn образует в сильных соля-
на 50-е годы [17], во многом уникальны: это сое-
нокислых растворах анионный комплекс [SnCl6]2-,
динение обладает одновременно высокой стабиль-
поэтому разделение противоположно заряженных
ностью (энтальпия образования оценивается в -167
комплексов Sn и Ti можно осуществить как на ка-
кДж/моль [18]), высокой температурой плавления
тионообменных, так и на анионообменных смолах.
1160°С и ярко выраженными металлическими свой-
Например, при пропускании солянокислого раство-
ствами - высокой электро- и теплопроводностью,
ра Sn и Ti, содержащего небольшой избыток H2O2,
величина которой, по нашей оценке, вдвое превы-
через анионообменную смолу анионы [SnCl6]2- ад-
РАДИОХИМИЯ том 63 № 6 2021
ВЫДЕЛЕНИЕ
117mSn ИЗ ОБЛУЧЕННОГО ПРОТОНАМИ ИНТЕРМЕТАЛЛИДА ТИТАН-СУРЬМА
561
сорбируются, а катионы [TiO(H2O2)]2+ проходят че-
протонов с начальной энергией от 110 до 140 МэВ и
рез колонку. Затем олово десорбируют, пропуская
током 1-50 мкА [27].
через колонку растворы, разрушающие анионный
Материалы и реактивы. Для приготовления
комплекс [SnCl6]2-. В случае отделения микроколи-
водных растворов использовали концентрирован-
честв олова от макроколичеств титана этот метод
ные кислоты HCl, HNO3, H2SO4 и деионизирован-
является предпочтительным, поскольку не требует
ную воду, полученную на установке по очистке
больших объемов сорбента.
воды Millipore Simplicity.
В основном приведенные в литературе методи-
Экстракцию сурьмы проводили дибутиловым
ки разработаны для разделения макроколичеств Sn,
эфиром. Для хроматографического отделения ти-
Sb, Ti, тогда как поведение радионуклидов в состо-
тана использовали: (1) cильноосновные монофунк-
янии «без носителя» может существенно отличать-
циональные аниониты AG 1×8 (Bio Rad, США)
ся. При получении 117mSn высокой удельной актив-
и Dowex 1×8 (Dow, США) на основе сополимера
ности необходимо отделить макроколичества Sb и
стирола и дивинилбензола, где основной функцио-
Ti от ультрамикроколичеств Sn. Кроме того, при
нальной группой является -N+(CН3)3; (2) катионит
облучении протонами сурьмы и титана образуются
Dowex 50×8 (Dow, США) на основе сополимера
и другие радионуклиды, которые могут влиять на
стирола и дивинилбензола, где основной функци-
ональной группой является -SO3H. Размер частиц
чистоту целевого продукта, и их тоже надо отделять
100 меш, степень сшивки 8%. Насыпная плотность
от олова. В настоящей работе предложены вариан-
смол - 0.8 г/мл. Для удаления макроколичеств тита-
ты выделения 117mSn с высокой удельной активно-
на экстракцией использовали метилизобутилкетон,
стью из облученного протонами интерметаллида
бензол и KI марки х.ч. Финальную очистку радио-
сурьма-титан для получения РФЛП.
олова проводили хроматографически на силикагеле
с размером частиц 100-160 мкм. Чистота реактивов
ЭКСПЕРИМЕНТАЛЬНАЯ ЧАСТЬ
соответствовала квалификации ос.ч. или х.ч.
Методика эксперимента. Для отработки ме-
Подготовка и облучение экспериментальных
тодики выделения радиоолова из интерметаллида
мишеней. Используемые в работе радионуклиды
титан-сурьма использовали модельные растворы с
124Sb (с носителем), 113Sn, 121mTe, 123mTe и 114mIn (без
максимальной концентрацией макрокомпонентов:
носителей) для проведения модельных эксперимен-
сурьмы 75 и титана 30 г/л. При выборе концентра-
тов были получены из облученных сурьмяных ми-
ций сурьмы и титана для модельных растворов ис-
шеней по методике, описанной в работе [9]. 44Ti был
ходили из того, что масса мишени для производства
поставлен компанией ЗАО Циклотрон (г. Обнинск).
больших количеств 117mSn составляет около 40 г, из
Интерметаллид сурьма-титан получали посред-
которых 29 г сурьмы и 11 г титана. Основное коли-
ством аргонно-дуговой плавки порошка сурьмы и
чество сурьмы в присутствии титана отделяли экс-
титана в мольном соотношении 1 : 1 [16]. Для из-
тракцией дибутиловым эфиром из раствора 10 М
готовления мишени измельченный интерметаллид
HCl [15].
помещали в титановый контейнер толщиной 5 мм,
Для очистки радиоолова от макроколичеств ти-
заваренный электронным пучком, нагревали при
тана использовали как хроматографию, так и экс-
температуре 910°С и давлении 150 МПа в атмосфе-
тракцию.
ре аргона в течение 1.5 ч [26].
Для хроматографической очистки радиоолова
Для получения радионуклидов и изучения их
от титана готовили модельные растворы объемом
химического поведения облучали мишени из интер-
10 мл, содержащие от 1.5 до 30 г/л Ti, от (2-5) × 10-3
металлида TiSb, а также из металлической сурьмы.
(соответствует добавлению метки 124Sb) до 14.4 г/л
Величины активностей использованных радиону-
Sb, H2O2 (мольное соотношение H2O2 : Ti изменяли
клидов находились в пределах нескольких мкКи
от 1 : 1 до 1.5 : 1), 6 М HCl и метку (113Sn, 124Sb,
(~100 кБк). Облучение проводили на высокоточном
121mTe, 123mTe ,114mIn), полученную из облученной
ускорителе ИЯИ РАН (г. Троицк, Москва) пучком
сурьмяной мишени. Сорбцию и десорбцию олова
РАДИОХИМИЯ том 63 № 6 2021
562
ЛАПШИНА и др.
проводили в динамических условиях пропусканием
трированной HCl с добавлением окислителей: H2O2
раствора через колонку (d = 0.6 см) со слоем сорбен-
или концентрированной HNO3. Полноту растворе-
та высотой 6 см. В качестве сорбентов использо-
ния контролировали, взвешивая нерастворенный
вали две анионообменные смолы: Dowex 1×8 и AG
остаток. Определяя спектрофотометрически кон-
1×8. Перед заполнением колонки сорбенты выдер-
центрацию титана в растворе, рассчитывали содер-
живали в течение 12 ч в 6 М HCl. Через заполнен-
жание титана и сурьмы в остатке и концентрацию
ную колонку сначала пропускали 10 мл исходного
сурьмы в растворе.
раствора со скоростью 0.8 мл/мин, затем 40-50 мл
Для апробации разработанной методики изго-
6 М HCl для промывки колонки. Для десорбции ра-
товили, облучили и переработали эксперименталь-
диоолова использовали растворы 1-4 М HNO3.
ную мишень из интерметаллида титан-сурьма.
Для проведения экстракции использовали мо-
Интерметаллид массой 16 г растворяли по ме-
дельные растворы общей кислотностью 6.6 М и объ-
тодике, отработанной на необлученных образцах.
емом 30 мл, содержащие 4.66 М HClO4, 1 M H2SO4,
Концентрация сурьмы в рабочем растворе состави-
Ti (20 г/л), Sb в виде хлорида сурьмы с концентра-
ла 60 г/л, а титана - 24 г/л. Основное количество
цией от (2-5)×10-3 до 1 г/л и 0.2-1 М KI. Также в
сурьмы из раствора удаляли экстракцией с дибути-
модельный раствор добавляли метку (113Sn, 124Sb,
ловым эфиром (три стадии экстракции сурьмы ди-
121mTe, 123mTe ,114mIn), полученную из облученной
бутиловым эфиром, предварительно насыщенным
сурьмяной мишени. При приготовлении модельно-
10 M HCl [15]).
го раствора навеску KI предварительно растворяли
Одну часть водной фазы очищали от титана
в небольшом количестве воды и добавляли, интен-
посредством хроматографии на анионитах, а вто-
сивно перемешивая, в смесь кислот HClO4 и H2SO4.
рую - экстракцией бензолом из иодидных раство-
Образовывался иод, и раствор был тем темней, чем
ров, используя оптимальные условия, найденные в
больше была навеска KI. Однако даже при низких
модельных экспериментах. Финальную доочистку
концентрациях KI, когда раствор был светло-жел-
радиоолова проводили на силикагеле из цитратных
тый, образовывался осадок, предположительно
растворов, как описано в работе [15].
HIO. Раствор оставляли на сутки для достижения
Аналитические измерения. Определение ра-
равновесия, затем фильтровали, добавляли метку и
дионуклидов (табл. 1) в растворе и на сорбенте
стабильные титан и сурьму, после чего проводили
проводили γ-спектрометрическим методом с ис-
экстракцию. Приготовленный раствор хранили не
пользованием особо чистого Ge детектора (ORTEC
более недели. В качестве органической фазы ис-
GEM15P4-70). Обработку γ-спектров проводили
пользовали бензол, предварительно насыщенный
с помощью программного обеспечения Gamma
раствором 4.66 М HClO4 + 1 M H2SO4. Экстракцию
Vision 32. Для анализа химического поведения ра-
из 30 мл рабочего раствора проводили последова-
диоолова использовали не только целевой радиону-
тельно двумя порциями бензола по 10 мл. На ка-
клид 117mSn, но и более долгоживущий примесный
ждой стадии перемешивание фаз длилось 30-40 с, а
113Sn.
разделение - 10 мин. Реэкстрагировали радиоолово
в 60 мл 1.5 М HCl (перемешивание фаз 5-6 мин,
Определение макроколичеств титана прово-
разделение 17-20 мин).
дили спектрофотометрически с использовани-
На финальном этапе доочистку и концентриро-
ем перекиси водорода (максимум поглощения
вание радиоолова осуществляли на силикагеле из
416 нм, e416 = 810 л/(моль∙см)) и диантипирилме-
модельного раствора 2 М HNO3 с метками 113Sn,
тана (ДАМ). Ti(IV) образует с ДАМ в 0.5-4 M HCl
124Sb, 121mTe и 44Ti по методике, подробно описан-
прочное комплексное соединение с максимумом
ной в работе [15].
поглощения 389 нм. Коэффициент поглощения
Для изучения взаимодействия интерметаллида
e389 = 3.3 × 104 л/(моль∙см) гораздо выше, чем у
TiSb с кислотами необлученные образцы массой
H2O2. Методика определения описана в работе
от 0.5 до 20 г растворяли при нагревании в концен-
[29].
РАДИОХИМИЯ том 63 № 6 2021
ВЫДЕЛЕНИЕ
117mSn ИЗ ОБЛУЧЕННОГО ПРОТОНАМИ ИНТЕРМЕТАЛЛИДА ТИТАН-СУРЬМА
563
Таблица 1. Основные радионуклиды в облученном интерметаллиде TiSb [28]
Радионуклид
Период полураспада
Eγ, кэВ
Выход γ-линии, %
114mIn
49.5 сут
190.3
15.6
558.4
4.4
725.2
4.4
113Sn
115.1 сут
255.1
2.1
391.7 (113mIn)
65.0
117mSn
14.0 сут
156.0
2.1
158.6
86.4
124Sb
60.2 сут
602.7
97.8
1691.0
47.6
121mTe
164.2 сут
212.2
81.5
1002.1
2.5
123mTe
119.2 сут
159.0
84.0
44Ti
59.1 лет
67.9
93.0
78.3
96.4
46Sc
83.8 сут
889.3
99.98
1120.5
99.99
РЕЗУЛЬТАТЫ И ИХ ОБСУЖДЕНИЕ
Для последующей очистки радиоолова от макро-
количеств титана использовали как хроматографию
Выделение 117mSn без носителя из облученной
на сильных анионитах с добавлением перекиси во-
сурьмяной мишени является непростой задачей,
дорода, так и экстракцию бензолом из иодидных
поскольку эти элементы имеют схожее химическое
растворов.
поведение. В случае выделения 117mSn из интерме-
Хроматографическое отделение радиоолова
таллида TiSb задача осложняется необходимостью
от титана. Согласно литературным данным, Ti(IV)
очистки еще и от титана, также проявляющего
хорошо сорбируется на катионите Dowex 50W-X8
близкие с оловом химические свойства. Поэтому
в присутствии перекиси водорода [24] благодаря
основной задачей данной работы явилось эффек-
образованию положительно заряженных комплек-
тивное отделение радиоолова от макрокомпонентов
сов [TiO(H2O2)]2+. Эти комплексы стабильны в кис-
сурьмы и титана с высоким химическим выходом.
лых средах, включая HCl, в которой олово образует
Для очистки от основного количества сурьмы в
анионные комплексы [SnCl6]2-. Проведенные нами
присутствии титана использовали экстракцию ди-
предварительные эксперименты показали, что ма-
бутиловым эфиром, описанную ранее в работе, где
кроколичества Ti не сорбируются из 2 M HCl и не
титана не было [15]. Экстракцию проводили из мо-
полностью сорбируются из 1 M HCl. Ионообмен-
дельного раствора 10 M HCl, содержащего 55 г/л Sb,
ное отделение радиоолова от титана удалось осуще-
20 г/л Ti и метку (113Sn, 124Sb, 44Ti) (табл. 2). В этой
ствить из 0.5 M HCl, при этом концентрация титана
работе было показано, что в результате трех после-
была снижена в 20 раз. Но данный метод не совсем
довательных экстракций в дибутиловый эфир пе-
подходит для решения нашей задачи, поскольку
для очистки от макроколичеств титана необходимы
реходит более 99.7% сурьмы, при этом радиоолово
и титан остаются в водной фазе. Уже после первой
большие объемы сорбента, требующие утилизации
стадии экстракции концентрация сурьмы снижает-
и приводящие к потерям радиоолова.
ся до 1.5 г/л. После трех стадий экстракции удает-
Более перспективным оказалось отделение ра-
ся снизить концентрацию сурьмы до 0.1 г/л. Более
диоолова от титана на сильноосновных анионитах.
95% титана и радиоолова остаются в водной фазе.
Изучение этой возможности проводили на модель-
Обнаружено, что экстракция сурьмы в присутствии
ных растворах. Хроматографическая процедура со-
титана протекает так же, как и в его отсутствие.
стояла в пропускании солянокислого раствора ра-
РАДИОХИМИЯ том 63 № 6 2021
564
ЛАПШИНА и др.
Таблица 2. Экстракция сурьмы дибутиловым эфиром из раствора интерметаллида TiSb, содержащего радиоизотопы
113Sn, 124Sb и 44Ti
Содержание компонентов, %
1-я стадия экстракции
2-я стадия экстракции
3-я стадия экстракции
Изотоп
органическая
органическая
органическая
водная фаза
водная фаза
водная фаза
фаза
фаза
фаза
44Ti
>99.8
<0.2
>99.8
<0.2
>99.8
<0.2
113Sn
98.7
1.3
97.3
1.4
96.0
1.3
124Sb
2.8
97.2
<0.4
2.8
<0.3
< 0.3
диоолова и титана, содержащего небольшой стехио-
ется из колонки, заполненной AG 1×8, особенно
метрический избыток H2O2, через анионообменную
в присутствии макроколичеств сурьмы. Поэтому
смолу. При этом анионы [SnCl6]2- сорбировались на
дальнейшие эксперименты проводили со смолой
колонке, а катионы [TiO(H2O2)]2+ проходили через
AG 1×8.
колонку. Промывку колонки для удаления титана
После промывания колонки на ней, кроме ра-
проводили 6 М HCl. Концентрация титана в про-
диоолова, частично остается теллур. Для элюиро-
мывном растворе и, как следствие, в конечном про-
вания радиоолова использовали раствор азотной
дукте зависела от степени очистки исходного рас-
кислоты, которая разрушает анионный комплекс.
твора от макроколичеств сурьмы (рис. 1).
В табл. 3 показана зависимость количества радио-
Из рис. 1 видно, что увеличение концентрации
олова, оставшегося в адсорбированном состоянии,
сурьмы приводит к ухудшению очистки от титана.
от концентрации азотной кислоты. С ростом кон-
Далее провели сравнение эффективности очист-
центрации HNO3 растет выход радиоолова, однако
ки радиоолова от титана, теллура и остатков сурь-
одновременно начинают десорбироваться и радио-
мы на двух сильноосновных анионообменниках:
нуклиды теллура.
Dowex 1×8 и AG 1×8.
Оптимальной для элюирования является 2 М
Обе эти смолы - сходного состава, но разных ма-
рок, действуют примерно одинаково в отношении
HNO3. При этом достигается выход радиоолова око-
радионуклидов олова, теллура и сурьмы, но оказа-
ло 90%, а содержание радионуклидов теллура сни-
лось, что они отличаются по отношению к титану
жается примерно в 2 раза. Нагрев азотной кислоты
(рис. 2). Из рис. 2 видно, что титан легче отмыва-
до 40°С увеличивает выход радиоолова до 98%.
10000
10000
1000
1000
100
100
4
3
2
10
10
2
3
1
1
1
1
0
10
20
30
40
50
60
0
10
20
30
40
50
60
Объем элюата 6 М HCI, мл
Объем элюата 6 М HCI, мл
Рис.
2.
Влияние марки анионообменной смолы
Рис. 1. Зависимость концентрации титана в промывном
и концентрации сурьмы в исходном растворе на
растворе 6 М HCl от концентрации сурьмы в исходном
концентрацию титана в промывном растворе 6 М HCl.
растворе. Сорбент - AG 1×8, колонка диаметром 0.6
Колонка диаметром
0.6 и высотой
6 см, скорость
и высотой 6 см, скорость пропускания 0.8 мл/мин.
пропускания 0.8 мл/мин. 1 - AG 1×8, c(Sb) = (2-5) ×
Концентрация сурьмы, г/л: 1 - (2-5) × 10-3, 2 - 3.6,
10-3 г/л; 2 - AG 1×8, c(Sb) = 14.4 г/л; 3 - Dowex 1×8,
3 - 14.4.
c(Sb) = (2-5) × 10-3 г/л; 4 - Dowex 1×8, c(Sb) = 6.5 г/л.
РАДИОХИМИЯ том 63 № 6 2021
ВЫДЕЛЕНИЕ
117mSn ИЗ ОБЛУЧЕННОГО ПРОТОНАМИ ИНТЕРМЕТАЛЛИДА ТИТАН-СУРЬМА
565
Таблица 3. Активность 113Sn и 121mTe, оставшаяся на колонке (d = 0.6 см) со слоем сорбента высотой 6 см после про-
пускания через нее 50 мл 6 M HCl и 25 мл HNO3 различной концентрации. Сорбент - AG 1×8, c(Sb) = (2-5) × 10-3 г/л
Активность радионуклида, оставшаяся на колонке, %, при концентрации HNO3, моль/л
Радионуклид
1
2
4
113Sn
9.2
1.3
0.87
121mTe
72.5
56.5
30.4
Высокое содержание сурьмы в исходном рас-
Исходя из полученных выше зависимостей были
творе не только ухудшает очистку от титана, но
определены следующие оптимальные параметры
анионообменного разделения радиоолова и титана:
также снижает и выход радиоолова, что видно из
интегральных кривых элюирования 113Sn при раз-
- для разделения наиболее предпочтительна
анионообменная смола - AG 1×8;
личных концентрациях сурьмы в исходных раство-
рах (рис. 3). Повышение концентрации сурьмы в
- концентрация сурьмы в исходном растворе
должна быть порядка 1 г/л, т.е. основное количество
растворе до 3.6 г/л снижает выход радиоолова до
сурьмы следует предварительно удалить, например,
90%. Таким образом, присутствие сурьмы с концен-
экстракцией с дибутиловым эфиром;
трацией порядка 1 г/л будет вполне приемлемо для
- сорбцию радиоолова следует проводить из рас-
эффективного разделения 117mSn и титана на этой
твора 6 M HCl;
стадии.
- раствор для селективного по отношению к ра-
На рис. 4 представлены зависимости элюирова-
диоолову элюирования титана - 6 M HCl (при объе-
ния сурьмы с колонки при промывке раствором 6 М
ме хроматографической колонки 2.5-3 мл и высоте
HCl и десорбции радиоолова раствором 2 М HNO3
слоя сорбента 6-7 см достаточно 50 мл 6 M HCl);
от концентрации сурьмы в исходном растворе, по-
Для десорбции радиоолова следует использо-
казывающие, как изменяется ее хроматографиче-
вать раствор 2 М HNO3, нагретый до 40°С; при ука-
ское поведение. Видно, что с ростом концентрации
занных выше параметрах колонки достаточно 25 мл
сурьмы в исходном растворе она хуже удерживает-
2 М HNO3, чтобы извлечь 98-99% радиоолова.
ся сорбентом при пропускании 6 M HCl и десорби-
Коэффициент очистки от Ti зависит от его кон-
руется 2 М HNO3 более широким пиком.
центрации в исходном растворе и при концентрации
100
80
1
6 М HCI
2 М HNO3
2
3
80
60
1
2
60
40
3
40
20
20
0
0
0
5
10
15
20
25
30
0
10
20
30
40
50
60
70
80
Объем раствора 2 М HNO3, мл
Объем элюата, мл
Рис.
3. Интегральные кривые элюирования
113Sn в
Рис. 4. Интегральные кривые элюирования сурьмы в
зависимости от концентрации сурьмы в исходном растворе.
зависимости от ее концентрации в исходном растворе.
Сорбент - AG 1×8, колонка диаметром 0.6 и высотой 6 см,
Сорбент - AG 1×8, колонка диаметром 0.6 и высотой 6 см,
скорость пропускания 0.8 мл/мин. Концентрация сурьмы,
скорость пропускания 0.8 мл/мин. Концентрация сурьмы,
г/л: 1 - (2-5) × 10-3, 2 - 3.6, 3 - 14.4.
г/л: 1 - (2-5) × 10-3, 2 - 3.6, 3 - 14.4.
РАДИОХИМИЯ том 63 № 6 2021
566
ЛАПШИНА и др.
70
14
80
2
2
60
10
60
1
1
40
50
6
20
40
2
0
0.2
0.4
0.6
0.8
1
1
0
0
0.2
0.4
0.6
0.8
1
1.2
Исходная концентрация сурьмы, г/л
Исходная концентрация сурьмы, г/л
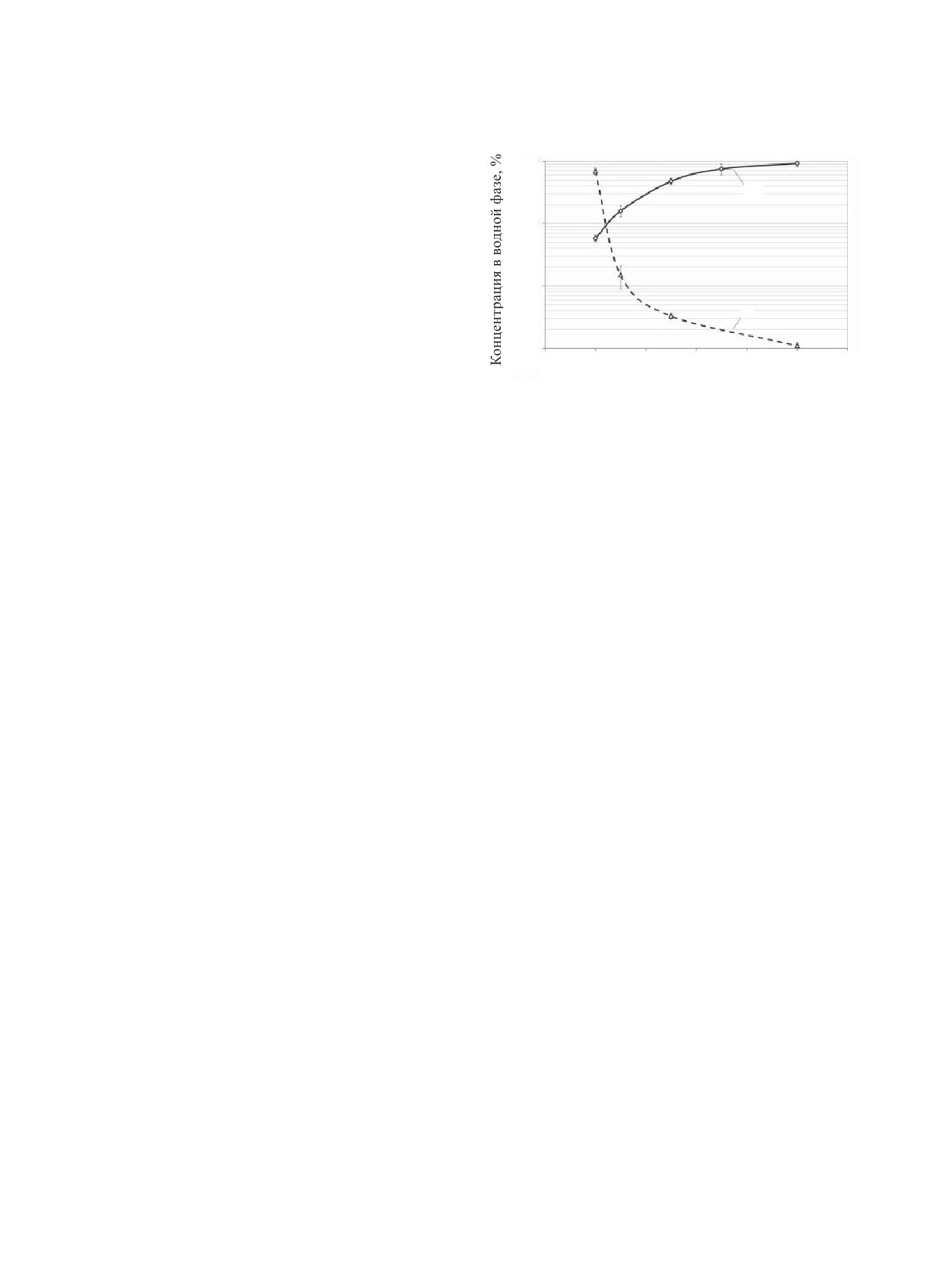
Рис. 5. Зависимость доли экстрагированной сурьмы (1) и
Рис. 6. Потери на осадке, образующемся в органической
концентрации титана в реэкстракте (2) от концентрации
фазе после экстракции, и на поверхности химической по-
сурьмы в исходном растворе.
суды: 1 - сурьма (124Sb), 2 - 113Sn.
титана 25 г/л достигает 104, две стадии хроматогра-
центрацию KI поддерживали постоянной и равной
фической очистки позволяют достичь коэффициен-
0.5 М. В изученном диапазоне концентраций су-
та очистки до 106.
рьмы (2-5) × 10-3-1 г/л не менее 98% радиоолова
экстрагируется двумя порциями бензола по 10 мл.
Экстракционное отделение радиоолова от
Зависимость экстракции сурьмы от ее концентра-
титана. Наряду с хроматографическим методом
для отделения радиоолова от макроколичеств
ции в исходном растворе представлена на рис. 5, из
которого следует, что чем больше сурьмы в исход-
титана используют и экстракционные методы.
ном растворе, тем больше ее экстрагируется в ор-
Одним из таких методов является экстракция
ганическую фазу (эффект высаливания). Поэтому
метилизобутилкетоном [19].
концентрация сурьмы должна быть минимальной.
Проведенные нами модельные эксперименты
Для реэкстракции радиоолова из органической
показали, что метилизобутилкетон экстрагирует из
фазы использовали предложенные в литературе
7 М HCl до 80% радиоолова, при этом концентра-
[22] растворы 1.5 М HCl и 0.25 М H2SO4. Эффек-
ция титана снижается в 200 раз. При экстракции из
тивности реэкстракции растворами обеих кислот
раствора 7 M HCl + 7 M LiCl извлечение радиоо-
оказались близки. Поскольку далее очистку прово-
лова достигает 96%, однако концентрация титана
дили в солянокислых растворах, для реэкстракции
снижается всего в 60 раз. Таким образом, данный
использовали 1.5 М HCl. Было исследовано влия-
метод не позволяет полностью очистить радиооло-
ние исходной концентрации сурьмы на реэкстрак-
во от макроколичеств титана с хорошим выходом.
цию. В частности, было показано, что при росте
Другим экстракционным методом отделения от
концентрации сурьмы в исходном растворе снижа-
титана является экстракция олова бензолом из ио-
ется также и степень очистки от титана радиоолова,
дидных растворов (до 99%). Этот метод исследован
реэкстрагированного из бензола (рис. 5).
в работе [21] для отделения миллиграммовых коли-
честв олова от титана и сурьмы. Поведение радио-
Было обнаружено, что в органической фазе спу-
стя некоторое время (в пределах часа) после экс-
олова в состоянии без носителя может отличаться
тракции начинает образовываться белый осадок.
от поведения макроколичеств олова. На различие в
экстракционном поведении олова влияют в основном
Для реэкстракции олова органическую фазу де-
концентрация стабильной сурьмы и иодид-ионов.
кантировали, при этом, как показано на рис. 6, часть
радиоолова оставалась на осадке и на поверхности
В работе [15] было показано, что после удале-
химической посуды.
ния сурьмы посредством экстракции дибутиловым
эфиром в растворе, тем не менее, остается ее не-
Было исследовано влияние концентрации сурь-
большое количество. На первом этапе было изучено
мы и иодид-ионов в исходном растворе на потери
влияние концентрации сурьмы в исходном растворе
радионуклидов на осадке. Из рис. 6 видно, что с
на экстракцию радиоолова бензолом. При этом кон-
ростом концентрации сурьмы в исходном растворе
РАДИОХИМИЯ том 63 № 6 2021
ВЫДЕЛЕНИЕ
117mSn ИЗ ОБЛУЧЕННОГО ПРОТОНАМИ ИНТЕРМЕТАЛЛИДА ТИТАН-СУРЬМА
567
увеличиваются потери радиоолова в осадке. Для
100
минимизации потерь радиоолова необходимо огра-
ничить время между экстракцией и реэкстракцией,
1
а также снизить концентрацию сурьмы в исходном
10
растворе до 0.1 г/л. Но даже при минимальной кон-
центрации сурьмы в исходном растворе (0.1 г/л)
количество осадка увеличивалось с ростом кон-
1
центрации KI. Потери радиоолова в изученном
2
диапазоне концентраций KI 0.2-1 М находились в
пределах 10-15%, а содержание сурьмы в осадке
0.1
0
0.2
0.4
0.6
0.8
1
1.2
росло с ростом концентрации KI. Поскольку титан
Исходная концентрация Kl, моль/л
не экстрагируется в значимых количествах, сурьма
остается единственным макрокомпонентом, кото-
Рис. 7. Доля сурьмы (1) и радиоолова (2), оставшихся
рый может приводить к нерастворимым соединени-
в водной фазе после экстракции, в зависимости от
концентрации KI в исходном растворе.
ям. Исходя из того, что содержание сурьмы в осадке
увеличивается с ростом концентраций как сурьмы,
нической фазы - бензол, предварительно насыщен-
так и KI, можно предположить, что осадок пред-
ный раствором 4.66 М HClO4 + 1 M H2SO4;
ставляет собой иодид Sb(V) или его производные.
- время между экстракцией и реэкстракцией
При изучении влияния концентрации иодид-ио-
должно быть минимальным и не превышать 45 мин;
нов на ход экстракции концентрацию сурьмы в ис-
- концентрация раствора для реэкстракции ра-
ходном растворе оставляли неизменной и равной
диоолова должна быть около 1.5 М HCl.
0.1 г/л.
Таким образом, экстракцией бензолом можно
Было обнаружено, что в изученном диапазоне
практически полностью очистить радиоолово от
0.2-1 М концентрация KI кардинальным образом
титана, но оно остается загрязненным следовыми
влияет на экстракцию радиоолова и сурьмы: при
количествами сурьмы и теллура, от которых про-
низких концентрациях экстрагируется сурьма, тог-
дукт можно очистить с помощью хроматографии на
да как до 70% радиоолова остается в водной фазе.
силикагеле.
С ростом концентрации KI поведение элементов из-
При переработке облученной сурьмяной мише-
меняется (рис. 7) - радиоолово количественно ухо-
ни такую конечную очистку проводили из раствора,
дит из водной фазы, а сурьма остается. Анализ по-
содержащего 0.5 М цитрата натрия (рН 5.5), кото-
лученных экспериментальных данных показал, что
рый, в свою очередь, получали из раствора 10 M
более 98% титана и радионуклидов теллура оста-
HCl, что определяется предыдущей стадией пере-
вались после экстракции бензолом в водной фазе.
работки, описанной в работе [15]. В случае экстрак-
Кроме того, иодид-ионы способствуют более пол-
ционного разделения радиоолова и титана раствор
ному отделению радиоолова от титана. С ростом
цитрата натрия готовили из раствора 1.5 M HCl, а
концентрации KI с 0.2 до 1 моль/л степень очистки
в случае хроматографического разделения на смоле
от титана увеличивается в 4-5 раз.
AG 1×8 предшествующим раствором является 2 М
HNO3, а не раствор HCl. Мы проверили, как вли-
Исходя из полученных выше зависимостей были
яют следы нитрат-ионов на эффективность хрома-
подобраны оптимальные параметры экстракцион-
тографии на силикагеле, в частности, на образова-
ного разделения радиоолова и титана:
ние комплексов сурьмы с цитрат-ионами. Для этого
- концентрация сурьмы в исходном растворе
приготовили цитратный раствор исходя из раствора
должна быть ниже 0.1 г/л, т.е. предварительно она
2 М HNO3, содержащий 113Sn, 124Sb, 121mTe и 44Ti.
должна быть удалена, например, экстракцией с ди-
Раствор пропускали через колонку, заполненную
бутиловым эфиром;
SiO2, затем промывали колонку и элюировали ра-
- оптимальный состав водной фазы - 4.66 М
диоолово 6 M HCl по методике, описанной в работе
HClO4 + 1 M H2SO4 + (0.5-1) М KI, состав орга-
[15]. Результаты приведены на рис. 8. Из него сле-
РАДИОХИМИЯ том 63 № 6 2021
568
ЛАПШИНА и др.
дует, что радионуклиды Sn, Sb и Te ведут себя так
100
титан (44Ti)
же, как и в отсутствие нитрат-ионов. При этом око-
сурьма (124Sb)
80
113Sn
ло 45% 44Ti остается на колонке.
121m
Te
Выделение радиоолова из облученного образ-
60
ца TiSb. После исследования процесса выделения
радиоолова на модельных экспериментах была из-
40
готовлена и облучена экспериментальная мишень
из интерметаллида титан-сурьма.
20
Химические и физические свойства TiSb изуче-
0
ны мало. Для исследования взаимодействия TiSb
Элюат Промывка Десорбат Сорбент
радиоолова
с кислотами необлученные образцы массой от 0.5
до 20 г последовательно растворяли в концентри-
Рис.
8.
Результаты хроматографической очистки
рованной HCl, затем в концентрированной HCl с
радиоолова на силикагеле из раствора 0.5 M Na3Cit (рН 5.5),
добавлением HNO3. При нагревании TiSb в концен-
содержащего следы нитрат-ионов. Колонка диаметром 0.6
трированной соляной кислоте раствор становился
и высотой 6 см, скорость пропускания 0.6 мл/мин.
фиолетовым (ионы Ti3+). По мере растворения об-
Первую часть очищали от титана на хроматографи-
разца скорость реакции падала. Добавление H2O2
ческой колонке, а вторую - экстракцией бензолом
или концентрированной HNO3 приводит к возоб-
из иодидных растворов.
новлению растворения, однако при этом Ti3+ пере-
ходит в Ti4+, вызывая выпадение осадка и пассива-
Для хроматографической очистки на колонке с
цию поверхности TiSb.
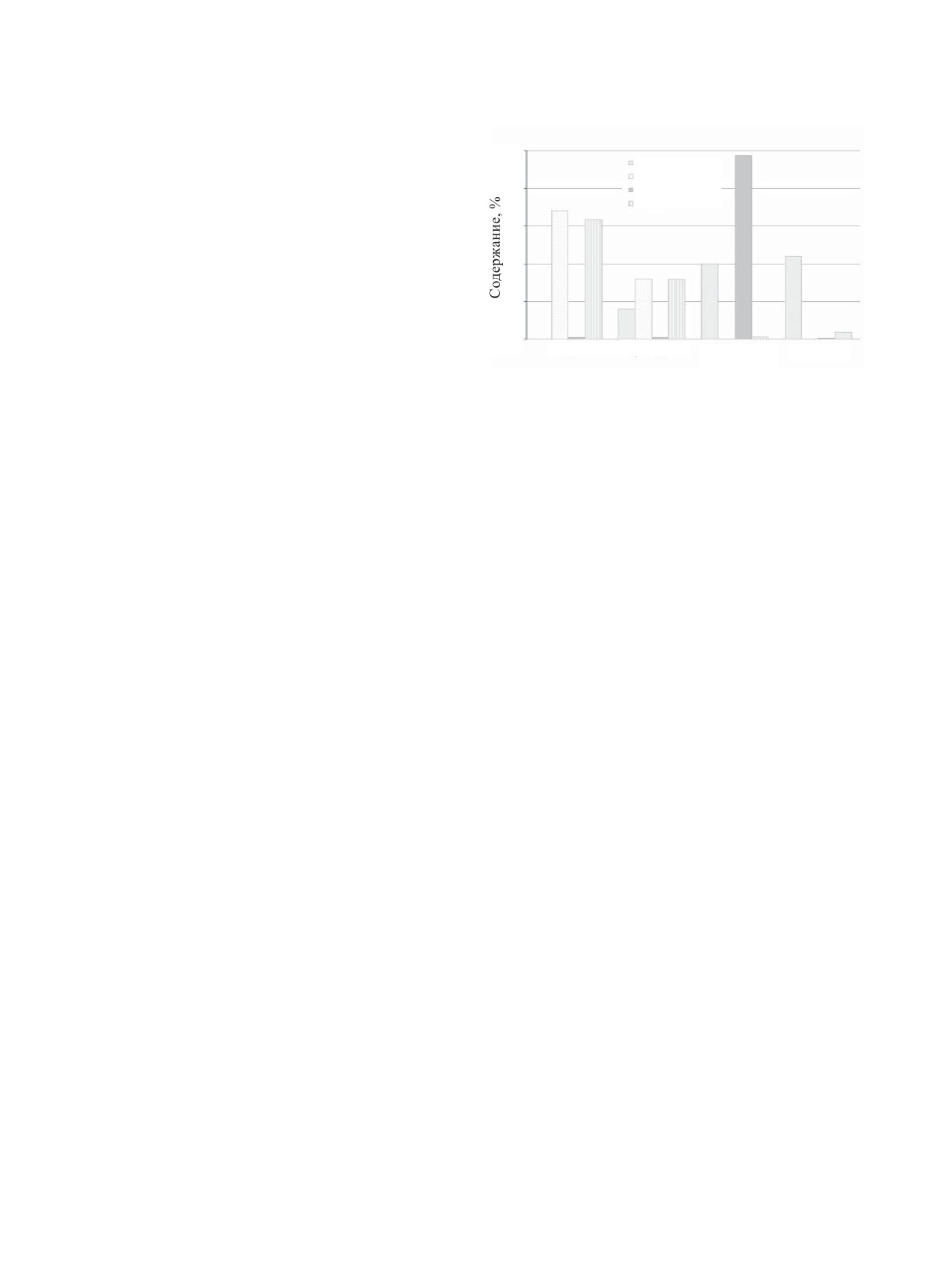
AG 1×8 раствор разбавляли до 6 М HCl. Рис. 9 демон-
Полностью растворить TiSb удалось следующим
стрирует результаты анионообменного разделения
радиоолова и Ti. В результате пропускания исход-
образом. Королек соединения помещали в колбу, до-
бавляли концентрированную HCl и нагревали в те-
ного раствора и последующей промывки раствором
чение 12 ч при температуре кипения. Раствор (№ 1)
6 М HCl из колонки вымываются титан в виде по-
становился густо фиолетовым, что свидетельствует
ложительно заряженного комплекса [TiO(H2O2)]2+
об образовании Ti3+. Затем нерастворенный остаток
и трехвалентные катионы радиоизотопов индия и
переносили в колбу со свежей концентрированной
скандия, при этом радиоолово и сурьма в виде ани-
HCl и при нагревании добавляли по каплям концен-
онных комплексов [SbCl6]- и [SnCl6]2- удержива-
трированную HNO3. Наблюдалось бурное раство-
ются сорбентом вместе с радиоизотопами теллура.
рение, а также образование белой взвеси. Спустя
При изменении подвижной фазы на раствор 2 М
4 ч растворение заканчивалось. После охлаждения
HNO3 комплексы олова и сурьмы разрушаются, и
полученного таким образом раствора (№ 2) осадок
эти элементы, а также частично теллур, десорбиру-
отфильтровали. К раствору (№ 1) добавляли от-
ются. Для конечной очистки радиоолова проводили
фильтрованный раствор (№ 2).
хроматографическое разделение на силикагеле, как
описано выше. В результате общий выход 117mSn
Данным способом растворили эксперименталь-
составил 75-82%, коэффициенты очистки от Sb и
ный образец TiSb, облученный на ускорителе. Было
Ti около 106, а радионуклидная чистота 117mSn - не
показано, что радиоолово не адсорбируется на об-
менее 99.9% (без учета изотопной примеси 113Sn, не
разующемся осадке при кислотности выше 3 M
отделяемой химически).
HCl. Комбинированный раствор переводили в 10 М
HCl и удаляли макроколичества сурьмы экстрак-
Вторую часть раствора, полученного при рас-
цией дибутиловым эфиром. Поскольку модельные
творении TiSb, переводили в раствор, содержащий
эксперименты продемонстрировали возможность
4.66 М HClO4, 1 M H2SO4, 1 M KI и дважды экстра-
очистки от макроколичеств титана как посредством
гировали радиоолово бензолом. Затем реэкстраги-
экстракции, так и посредством хроматографии,
ровали радиоолово из бензода раствором 1.5 М HCl.
раствор, полученный после удаления сурьмы, по-
Как и в случае хроматографии, радиоолово можно
делили на две части для апробации обоих методов.
очистить от титана, радионуклидов индия и скан-
РАДИОХИМИЯ том 63 № 6 2021
ВЫДЕЛЕНИЕ
117mSn ИЗ ОБЛУЧЕННОГО ПРОТОНАМИ ИНТЕРМЕТАЛЛИДА ТИТАН-СУРЬМА
569
8000
16
6 М HCI
2 М HNO3
6000
титан (44Ti)
12
сурьма (124Sb)
113Sn
121mTe
4000
8
114mln, 46Sc
4
2000
0
0
0
10
20
30
40
50
60
70
80
Объем элюата, мл
Рис. 9. Хроматографическое отделение титана при выделении радиоолова из облученной TiSb мишени. Сорбент - AG 1×8.
Колонка диаметром 0.8 см и высотой 8 см, скорость пропускания 0.8 мл/мин.
дия. Но оно остается загрязненным следовыми ко-
присутствие титана в полученных растворах не пре-
личествами сурьмы и теллура (табл. 4), доочистку
пятствует эффективному удалению основного коли-
от которых осуществляли на силикагеле из цитрат-
чества сурьмы экстракцией дибутиловым эфиром.
ных растворов.
Дальнейшее отделение радиоолова от макроколи-
Общий выход 117mSn в данном случае составил
честв титана возможно осуществить как хромато-
80-85%, коэффициенты очистки от Sb и Ti - около
графическим, так и экстракционным методами.
106, радионуклидная чистота - не менее 99.7% (без
При использовании метода хроматографии были
учета изотопной примеси 113Sn, не отделяемой хи-
изучены возможности отделения радиоолова в виде
мически).
[SnCl6]2- от титана в виде противоположно заря-
ЗАКЛЮЧЕНИЕ
женного комплекса [TiO(H2O2)]2+ на сильных ани-
онитах AG 1×8 и Dowex 1×8 из раствора 6 М HCl в
Два разработанных варианта переработки облу-
присутствии H2O2. Показано, что AG-1×8 обеспечи-
ченной TiSb мишени показаны на рис. 10.
вает более эффективную очистку от титана.
Таким образом, исследованы процессы выделе-
При экстракционном разделении радиоолова
ния 117mSn в состоянии без носителя из интерме-
и титана наилучшие результаты были достигнуты
таллического соединения TiSb, облученного прото-
при экстракции радиоолова бензолом из раствора,
нами. Изучено растворение TiSb в кислотах HCl и
содержащего смесь хлорной и серной кислот и ио-
HNO3 с добавлением HNO3 и H2O2. Показано, что
дид-ионов с концентрацией 0.5-1 М.
Таблица 4. Результаты экстракции титана бензолом из раствора 4.66 М HClO4 + 1 M H2SO4 + 1 M KI, содержащего
Ti (30 мг/мл) и радиоизотопы 113Sn, 124Sb, 121mTe, 123mTe, 114mIn и 46Sc
Водная фаза
Органическая
Органическая
Реэкстракция
Реэкстракция
Радионуклид
после второй
фаза 1, %
фаза 2, %
(водная фаза), %
(органическая фаза), %
экстракции, %
113Sn
2.4
92.7
4.9
91.4
6.2
121mTe
98.7
0.9
0.4
0.7
0.6
123mTe
98.4
1,3
0,3
0.8
0.8
124Sb
47.0
32.0
21.0
45.0
8.0
114mIn
>99.99
<0.01
<0.01
<0.01
<0.01
46Sc
>99.99
<0.01
<0.01
<0.01
<0.01
Ti
>99.99
<0.01
<0.01
<0.01
<0.01
РАДИОХИМИЯ том 63 № 6 2021
570
ЛАПШИНА и др.
Растворение
облученной
TiSb мишени
Sb, Ti,
113, 117mSn, 121m, 123mTe, 114mIn, 46Sc
Экстракция
Bu2O: 10 M HCl
Sb
Хроматография
ЖЖЭ
1. экстракция
AG 1×8
Ti, 114mln,
1. сорбция
бензол: 0.5-1 M KI +
Ti,
4.66 M HClO4 + 1 M H2SO4
46Sc
6 М HCl + H2O2
114mIn, 46Sc
2. десорбция
2. реэкстракция
2 M HNO3
бензол: 1.5 M HCl
Sb, Ti,
Sb, Ti,
113, 117mSn, 121m, 123mTe
113, 117mSn, 121m, 123mTe
Хроматография
SiO2
1. сорбция 0.5 M Na3Cit pH 5.5
Sb, Ti,
2. десорбция 6 M HCl
121m, 123mTe
113, 117mSn
Рис. 10. Схема переработки облученной TiSb мишени.
Каждый из использованных методов имеет свои
БЛАГОДАРНОСТИ
достоинства и недостатки [30]. Преимуществом
экстракции по сравнению с хроматографией здесь
Работа проводилась с использованием оборудо-
является быстрота исполнения, а недостатком - не-
вания центра коллективного пользования «Ускори-
сколько более низкий выход радиоолова и ухудше-
тельный центр нейтронных исследований структу-
ние его очистки от титана при остаточной концен-
ры вещества и ядерной медицины ИЯИ РАН».
трации сурьмы в исходном растворе выше 0.1 г/л.
Авторы особо благодарны проф. Сёрешу Срива-
Наиболее предпочтительной, на наш взгляд, яв-
става (Suresh Srivastava) из Брукхейвенской наци-
ляется более длительная методика отделения тита-
ональной лаборатории (США) за инициирование
на на анионите AG 1×8, поскольку она менее чув-
этой работы и важные рекомендации. Авторы так-
ствительна к содержанию сурьмы в исходном рас-
же выражают благодарность Н.Р. Тогаевой (Физи-
творе (около 1 г/л), а также более технологична при
ко-энергетический институт им. А.И. Лейпунского)
использовании в горячих камерах.
за помощь в работе, а также А.Н. Васильеву (ИЯИ
РАН) за полезные обсуждения.
В обоих случаях выделение радиоолова оканчи-
валось хроматографической очисткой на силикагеле
из раствора, содержащего 0.5 М цитрата натрия при
ФОНДОВАЯ ПОДДЕРЖКА
рН 5.5. В результате был получен продукт 117mSn с
выходом не менее 75%, обладающий высокой ради-
Работа была поддержана российско-американ-
онуклидной чистотой и высокой удельной активно-
ской программой по нераспространению (U.S.
стью, что перспективно для развития в дальнейшем
Department of Energy’s Initiative for Proliferation
технологии получения больших количеств 117mSn.
Prevention Program # BNL-T2-324).
РАДИОХИМИЯ том 63 № 6 2021
ВЫДЕЛЕНИЕ
117mSn ИЗ ОБЛУЧЕННОГО ПРОТОНАМИ ИНТЕРМЕТАЛЛИДА ТИТАН-СУРЬМА
571
КОНФЛИКТ ИНТЕРЕСОВ
Int. Conf. on Isotopes Doha (Qatar), Nov. 12-16, 2017.
P. 5.
14. Ermolaev S.V., Zhuikov B.L., Kokhanyuk V.M.,
Авторы заявляют об отсутствии конфликта ин-
Matushko V.L., Srivastava S.C. // Radiochim. Acta.
тересов.
2020. Vol. 108. P. 327.
15. Ermolaev S.V., Zhuikov B.L., Kokhanyuk V.M.,
СПИСОК ЛИТЕРАТУРЫ
Abramov A.A., Togaeva N.R., Khamianov S.V.,
Srivastava S.C. // J. Radioanal. Nucl. Chem.
2009.
1.
Srivastava S.C. // Postgrad. Med. Edu. Res.
2013.
Vol. 280, N 2. P. 319.
Vol. 47. P. 31.
16. Серопегин Ю.Д., Жуйков Б.Л., Сривастава С. Патент
2.
Mausner L.F., Mirzadeh S., Srivastava S.C. // Appl.
РФ № 2403639. 29 авг. 2008; US Patent 8449816 B2.
Radiat. Isot. 1992. Vol. 43, N 9. P. 1117.
Aug. 29, 2008.
3.
Srivastava S.C., Atkins H.L., Krishnamurthy G.T.,
17. Nowotny H.J. // Monatsh. Chem. 1951. Vol. 82. P. 336.
Zanzi I., Silberstein E.B., Meinken G., Mausner L.F.,
18. Miedema A.R., Philips N.V. // J. Less-Common Met.
Swailem F., D’Alessandro T., Cabahug C.J., Lau Y.,
1976. Vol. 46. P. 67.
Park T., Madajewicz S.
// Clin. Cancer Res. 1998.
19. Doll W., Specker H.Z. // Anal. Chem. 1958. Vol. 161.
Vol. 4. P. 61.
4.
Gerbail T. // J. Nucl. Med. 1997. Vol. 38, N 2. P. 230.
P. 354.
5.
Atkins H.L., Mausner L.F., Srivastava S.C.,
20. Kono T. // Jpn. Analyst. 1971. Vol. 20. P. 552.
Meinken G.E., Cabahug C.J., D’Alessandro T. // J. Nucl.
21. Leblond A.M., Boulin R. // Chim. Anal. 1968. Vol. 50,
Med. 1995. Vol. 36. N 5. P. 725.
N 4. P. 171.
6.
Stevenson N.R. // Radiother. Oncol. 2016. Vol. 118.
22. Tanaka K. // Jpn. Analyst. 1964. Vol.13. P. 725.
P. S97.
23. Kuroda R., Oguma K., Kono N., Takahashi Y. // Anal.
7.
Toporov Y.G., Andreyev O.I., Vakhetov F.Z.,
Chim. Acta. 1972. Vol. 62. P. 343.
Gavrilov V.D., Shrivastava S.C. // Abstracts of the 9th
24. Strelow F.W. // Anal. Chem. 1963. Vol. 35. P. 1279.
Int. Symp. on the Synthesis and Applications of Isotopes
25. Strelow F.W., Bothma C.J. // Anal. Chem. 1967. Vol. 39.
and Isotopically Labelled Compounds. Edinburgh (UK),
P. 595.
2006. P. 64.
8.
Mausner L.F., Kolsky K.L., Joshi V., Srivastava S.C. //
26. Жуйков Б.Л., Коняхин Н.А., Коханюк В.М., Срива-
Appl. Radiat. Isot. 1998. Vol. 49. P. 285.
става С. Патент РФ № 2393564. 12 сент. 2008; US
9.
Ermolaev S.V., Zhuikov B.L., Kokhanyuk V.M.,
Patent 8290110. Apr. 16, 2009.
Srivastava S.C. // J. Label. Compd. Radiopharm. 2007.
27. Zhuikov B.L., Kokhanyuk V.M., Konyakhin N.A.,
Vol. 50. P. 611.
Vincent J. // Nucl. Instrum. Meth. Phys. Res., Sect. A.
10. Qaim S.M., Döhler H. // Appl. Radiat. Isot.
1984.
1999. Vol. 438. P. 173.
Vol. 35. P. 645.
28. National Nuclear Data Center, Brookhaven National
11. Stevenson N.R., George G.S., Simón J., Srivastava S.C.,
Laboratory, USA. http://www.nndc.bnl.gov/nudat2/.
Mueller D.W., Gonzales G.R., Roger J.A., Frank R.K.,
29. Пономарев А.И. Методы химического анализа же-
Horn I.M. // J. Radioanal. Nucl. Chem. 2015. Vol. 305.
лезных, титаномагнетитовых и хромовых руд. М.:
P. 99.
Наука, 1966. 407 с.
12. Haddad F., Barbet J., Chatal J.F. // Curr. Radiopharm.
2011. Vol. 4. P. 186.
30. Ермолаев С.В., Тогаева Н.Р., Лапшина Е.В., Жуй-
13. Kiselev M., Lambert B., Richards V., Skarupa W.,
ков Б.Л., Сривастава С. Патент РФ № 2398296.
Wardach M., Zehner J., Ermolaev S., Zhuikov B. // 9th
12 сент. 2008; US Patent 8097064. Jan. 17, 2012.
РАДИОХИМИЯ том 63 № 6 2021