РАДИОХИМИЯ, 2021, том 63, № 6, с. 510-516
УДК 541.11+621.039.72
СОРБЦИЯ РАДИОНУКЛИДОВ 137Cs, 90Sr И 233U НА
РАЗЛИЧНЫХ ПРИРОДНЫХ СОРБЕНТАХ
© 2021 г. В. В. Милютина, *, Н. А. Некрасоваа, **,
П. Е. Белоусовб, ***, В. В. Крупская б, в, ****
а Институт физической химии и электрохимии им. А. Н. Фрумкина РАН,
119071, Москва, Ленинский пр., д. 31, корп. 4
б Институт геологии рудных месторождений, петрографии, минералогии и геохимии РАН,
119017, Москва, Старомонетный пер., д. 35
в Московский государственный университет им. М. В. Ломоносова,
119991, Москва, Ленинские горы, д. 1
e-mail: *vmilyutin@mail.ru, **nnekrassova@gmail.com,
***pitbl@mail.ru, ****krupskaya@ruclay.com
Поступила в редакцию 20.02.2020, после доработки 14.04.2020, принята к публикации 21.04.2020
Изучены сорбционные характеристики ряда природных материалов - диатомита, трепела и бентони-
топодобной породы - по отношению к радионуклидам 137Cs, 90Sr и 233U. Показано, что эффективность
сорбции 137Cs и 90Sr прямо пропорциональна содержанию глинистой составляющей (минералов илли-
та и смектита) в образце и емкости катионного обмена (ЕКО), что свидетельствует об ионообменном
механизме сорбции данных радионуклидов. Сорбционные характеристики исследованных образцов
по отношению к 137Cs и 90Sr уменьшаются в ряду бентонитоподобная порода > диатомит > трепел.
Коэффициенты распределения (Kd) 137Cs образцов бентонитовой породы и диатомита в диапазоне кон-
центраций NaNO3 0.1-1.0 моль/дм3 составляют более 103 см3/г, что свидетельствует о высоких сорб-
ционно-селективных характеристиках данных пород по отношению к 137Cs. Значения Kd 90Sr на всех
исследованных сорбентах при сорбции из водопроводной воды на 1-2 порядка ниже по сравнению с
сорбцией 137Cs, что связано с конкурентной сорбцией ионов кальция. Основным механизмом сорбции
233U является физическая адсорбция на поверхности минералов, которая пропорциональна величине
удельной поверхности минералов. Значения Kd 233U для всех исследованных сорбентов относительно
невелики и находятся в пределах 48-160 см3/г. Показано, что природные сорбенты - бентонитоподоб-
ные глины и диатомиты - могут быть использованы в качестве эффективных геохимических барьеров
для предотвращения миграции радионуклидов цезия и стронция из хранилищ радиоактивных отходов.
Ключевые слова: опал-кристобалитовые породы, глина, диатомит, трепел, природные сорбенты,
сорбция, радионуклиды, цезий, стронций, уран
DOI: 10.31857/S0033831121060022
ВВЕДЕНИЕ
реакторы (ПУГРы), технологические здания, лабо-
ратории и т.п. Проблема многих объектов ядерного
В результате деятельности предприятий ядер-
наследия - близость гидрографических сетей, что
ного топливного цикла и выполнения программ
влечет необходимость создания надежных гидрои-
оборонного значения образовалось значительное
золяционных барьеров для предотвращения мигра-
количество радиационно-опасных объектов: припо-
ции радиоактивных веществ в окружающую среду.
верхностные хранилища твердых радиоактивных
Одним из основных требований к надежности ба-
отходов, водоемы-хранилища жидких радиоактив-
рьера является эффективная сорбция радионукли-
ных отходов (ЖРО), конструкционно сложные объ-
дов гидроизоляционными материалами. В насто-
екты, например, промышленные уран-графитовые
ящее время в качестве барьерных материалов при
510
СОРБЦИЯ Р
АДИОНУКЛИДОВ
511
подземном захоронении радиоактивных отходов
нуклидов 137Cs, 90Sr и 233U как на опал-кристобали-
наиболее часто используют бентонитовые глины,
товых, так и на глинистых породах.
обладающие высокими сорбционными характе-
ристиками по отношению к радионуклидам цезия
ЭКСПЕРИМЕНТАЛЬНАЯ ЧАСТЬ
[1-3].
Для успешного применения сорбентов любого
Материалы и методы исследования.
типа требуется понимание не только их сорбцион-
Материалом для исследования служили образ-
ных свойств, но и детальное изучение их состава,
цы природного диатомита, трепела и бентонито-
структурных особенностей и механизмов сорбции.
подобной породы: Д-исх - диатомит Инзенского
Данная работа посвящена изучению сорбции 137Cs,
месторождения (Ульяновская обл.); Д-обог - ди-
90Sr и 233U на осадочных кремнистых (диатомит,
атомит Инзенского месторождения отмытый от
трепел) и глинистых породах. Основным отличием
глинистой фракции <2 мкм; Тр - природный тре-
между диатомитом и трепелом является соотноше-
пел (AmericanTripoli ltd., США); Бент - бентони-
ние аморфного опала и кристобалита, а также сте-
топодобная порода Нелидовского месторождения
пень их литификации. Диатомит представляет со-
(Белгородская обл.).
бой слаболитифицированные отложения панцирей
С целью выявления корреляции между сорб-
диатомовых водорослей, состоящих из аморфного
цией радионуклидов и минеральным составом в
(биогенного) опала. За счет высокой пористости
экспериментах использовался отмытый от глини-
панцирей диатомей эта порода обладает высокой
стой фракции < 2 мкм образец диатомита (Д-обог).
удельной поверхностью [4]. K трепелам принято
Обогащение проводили в водном столбе по фор-
относить кремнистые породы с более высоким со-
муле Стокса с соотношением твердой и жидкой
держанием кристобалита, образовавшегося за счет
фазы как 1 к 100. Суспензия отстаивалась 24 ч для
переотложения первичного биогенного опала.
достижения равновесия, после чего через заданное
Применение природного диатомита и трепе-
время, определяемое с помощью закона Стокса, с
ла в качестве фильтров для очистки радиоактив-
фиксированной глубины отбирали нужную грану-
но загрязненных вод рассматривалось рядом ав-
лометрическую фракцию [13].
торов при их очистке от радионуклидов Cs, Sr и
Минеральный состав определяли методом рент-
некоторых других металлов [5-9]. Природные и
геновской дифракции на дифрактометре ULTIMA-
модифицированные формы диатомита также из-
IV (Rigaku, Япония). Рабочий режим - 40 кВ, 40 мA,
учали на предмет удаления органических соеди-
нений, ионов урана и радионуклидов из жидких
медное излучение, никелевый фильтр, диапазон из-
отходов [5, 10-12].
мерений 2θ 3°-65°, полупроводниковый детектор
нового поколения DTex/Ultra. Анализ результатов
Однако проблема исследования сорбционных
проводили согласно рекомендациям, описанным
свойств опал-кристобалитовых пород заключает-
в работах [14, 15]. Количественный минеральный
ся в том, что для большинства осадочных место-
анализ осуществляли методом Ритвельда в про-
рождений характерно высокое содержание примеси
граммном пакете PROFEX GUI для BGMN.
глинистых минералов, как правило, иллита и смек-
тита. Зачастую при изучении сорбции не уделяется
Концентрацию породообразующих химических
должного внимания влиянию глинистых примесей
элементов в пробах определяли методом рентге-
в составе пород, что приводит к неверной интер-
нофлуоресцентного анализа (XRF) на спектроме-
претации результатов исследований, а именно ме-
тре последовательного действия Axios Advanced
ханизмов сорбции и реальных величин сорбции на
(PANalytical, Нидерланды). Спектрометр снаб-
опал-кристобалитовой минеральной фазе. Даже не-
жен рентгеновской трубкой мощностью 4 кВт с
большая примесь глинистых минералов может зна-
Rh анодом. Максимальное напряжение на труб-
чительно повлиять на результаты исследований за
ке - 60 кВ, максимальный анодный ток - 160 мА.
счет их высокой сорбционной способности. Таким
Потери при прокаливании определяли при 1000°С
образом, для лучшего понимания механизмов сорб-
в атмосфере воздуха до установления постоянной
ции в данной работе была изучена сорбция радио-
массы образца.
РАДИОХИМИЯ том 63 № 6 2021
512
МИЛЮТИН и др.
Таблица 1. Минеральный состав изученных образцов
Удельную активность 137Cs, 90Sr и 233U в рас-
Содержание минерала, мас%,
творах определяли прямым радиометрическим
Название
в образцах
методом с использованием универсального спек-
минерала
Д-исх
Д-обог
Тр
Бент
трометрического комплекса СКС-50М («Грин стар
Смектит
19.4
13.2
-
34.9
технолоджиз», Москва) с использованием гамма-,
Иллит
6.7
8.9
-
12.8
бета- и альфа-спектрометрического тракта соот-
Каолинит
-
-
-
5.3
ветственно. Пробы, содержащие 90Sr, перед изме-
Клиноптилолит
-
-
-
8.6
рением выдерживали в течение не менее 14 сут для
Кварц
10.1
26.5
9.3
22.1
установления радиоактивного равновесия пары
Опал-кристобалит
62.0
46.4
88.5
-
90Sr-90Y. Перед началом экспериментов в воду
Микроклин
1.4
3.6
0.3
4.3
вносили индикаторные количества (~105 Бк/ дм3)
Альбит
0.4
1.4
-
2.8
радионуклидов и выдерживали в течение 5 сут для
Ярозит
-
-
0.4
-
установления гидролитического равновесия меж-
Анатаз
-
-
0.6
-
ду радиоактивными и неактивными компонентами
Кальцит
-
-
-
9.2
раствора.
Галит
-
-
0.9
-
Емкость катионного обмена (ЕКО) определяли по
Сумма
100
100
100
100
сорбции метиленового голубого (МГ) в соответствии
с ГОСТ 21283-93 «Глина бентонитовая для тонкой и
Площадь удельной поверхности определяли
строительной керамики». Методика предполагает ти-
на установке Quadrasorb SI/Kr. Адсорбцию про-
трование суспензии раствором МГ до его избытка в
водили при температуре жидкого азота (77.35 К).
растворе.
Адсорбатом служил азот с чистотой 99.999%, для
калибровки объема измерительных ячеек исполь-
РЕЗУЛЬТАТЫ И ИХ ОБСУЖДЕНИЕ
зовали гелий марки 6.0 (99.9999%). Расчет по-
верхности проводили методом БЭТ по нескольким
Характеристики сорбентов. Как видно из
точкам изотермы в диапазоне P/Ps от 0.05 до 0.30.
табл. 1, образец диатомита Инзенского место-
Образцы предварительно высушивали в вакуум-
рождения на 62% состоит из опал-кристобали-
ной установке при 100°С в течение определенного
товой фазы. Глинистые минералы представле-
времени (5-24 ч) в зависимости от свойств исход-
ны смектитом и иллитом, содержание которых
ных образцов.
составляет
19.4 и
7.6 мас% соответственно.
Сорбционные характеристики сорбентов опре-
Оставшиеся 11.9% приходятся на примеси (кварц
деляли в статических условиях путем непрерыв-
и полевые шпаты), не влияющие на сорбционные
ного перемешивания навески воздушно-сухого
характеристики образца.
сорбента массой около 0.1 г, взвешенной с точ-
ностью 0.0001 г, с 20 см3 раствора в течение 48 ч.
Отмывка образца диатомита от фракции
Затем смесь фильтровали через бумажный фильтр
<2 мкм (Д-обог) не привела к полному удалению
«белая лента» и определяли в фильтрате удельную
глинистых минералов. Содержание смектита и
активность соответствующего радионуклида. По
опал-кристобалитовой фазы уменьшилось до 13.2
результатам анализов рассчитывали значения ко-
и 46.4% соответственно, в то время как содержа-
эффициента распределения (Kd) радионуклида по
ние иллита и кварца увеличилось до 8.9 и 26.5%
формуле
соответственно. Содержание остальных минера-
лов изменилось незначительно. Образец природ-
A
0
A
p
V
p
K
,
ного трепела (США) имеет довольно однородный
d
A
m
p
c
состав, что является редкостью для осадочных ме-
где А0, Ар - соответственно удельная активность
сторождений; он состоит из опала и кристобалита
радионуклида в исходном растворе и в фильтрате,
на 88.5%. Основной примесью является кварц и в
Бк/дм3; Vр - объем жидкой фазы, см3; mс - масса
незначительных количествах галит, анатаз, ярозит
сорбента, г.
и микроклин. Глинистая порода Белгородской обл.
РАДИОХИМИЯ том 63 № 6 2021
СОРБЦИЯ Р
АДИОНУКЛИДОВ
513
Таблица 2. Химический состав образцов сорбентов
Содержание, %
Название образца
ПППа, %
Na
2
O
MgO
Al2O3
SiO2
K2O
CaO
TiO2
MnO
Fe2O3
Д-исх
9.12
0.27
0.87
6.03
79.18
1.34
0.4
0.38
0.006
2.15
Тр
2.2
0.27
<0.01
1.00
95.4
0.05
0.09
0.83
<0.01
0.08
Бент
22.1
2.129
1.26
16.5
41.6
0.95
11.7
0.77
0.125
2.75
аППП - потери при прокаливании.
Таблица
3. Физико-химические свойства образцов
ляет 43 м2/г. Образцы диатомита и глинистой по-
сорбентов
роды имеют близкую удельную поверхность - 24 и
Название
Удельная
25 м2/г соответственно. Поскольку для минералов
ЕКО, мг-экв/100 г
образца
поверхность, м2/г
опал-кристобалитовой группы характерно широ-
Д-исх
24 ± 2
15.0 ± 0.8
кое развитие микропористости, а глинистые мине-
Д-обог
16 ± 1
6.7 ± 0.3
ралы состоят из слоистых агрегатов микронной и
субмикронной размерности, именно они и вносят
Тр
43 ± 3
<2
основной вклад в величину удельной поверхности
Бент
25 ± 2
22.5 ± 0.9
[4, 5, 14].
Сорбция
137Cs. Сорбционные характери-
относится к бентонитоподобным глинам и содер-
стики образцов по отношению к 137Cs изучали
жит 34.9% смектита, 12.8% иллита и 5.8% каоли-
путем определения зависимости коэффициен-
нита. Помимо глинистых минералов, обладающих
та распределения (Kd) от концентрации нитра-
высокой емкостью катионного обмена (ЕКО), об-
та натрия в растворе в диапазоне концентраций
разец глины содержит 8.6% минералов группы
0.1-1.0 моль/дм3, рН 6.0. Полученные результаты
цеолитов (клиноптилолит). Остальные приме-
приведены на рис. 1.
си представлены кварцем, полевыми шпатами и
кальцитом. Химический состав является характер-
Представленные результаты показывают, что
ным для всех исследуемых пород и представлен в
эффективность сорбции 137Cs коррелирует с со-
табл. 2.
держанием глинистой составляющей в образцах
(табл. 1). Наибольшие значения Kd 137Cs наблю-
Значения емкости катионного обмена (ЕКО)
даются для бентонитовой глины, содержащей
представлены в табл. 3.
47.7% смектита и иллита, а также 8.6% природно-
Максимальная емкость соответствует глинистой
породе и составляет 22.5 мг-экв/100 г. Образец ди-
атомита имеет значительно меньшую емкость -
15 мг-экв/100 г. Наименьшие величины ЕКО со-
ответствует образцу трепела и составляют менее
2 мг-экв/100 г. Очевидно, что ЕКО образцов связа-
но исключительно с содержанием глинистых ми-
нералов, в особенности смектита, что подтвержда-
ется результатами рентгенодифракционных иссле-
дований (табл. 1). Поскольку поверхность частиц
опала, кристобалита и диатомей в кремнистых
породах не имеют отрицательного заряда, связан-
ного с изоморфными замещениями в структуре
минералов, сорбция красителя МГ на поверхности
минералов отсутствует.
Рис. 1. Зависимость коэффициента распределения
(Kd) 137Cs от концентрации NaNO3 в растворе на
Максимальная величина удельной поверхности
различных образцах сорбентов: 1 - Бент, 2 - Д-исх,
(табл. 3) соответствует образцу трепела и состав-
3 - Д-обог, 4 - Тр.
РАДИОХИМИЯ том 63 № 6 2021
514
МИЛЮТИН и др.
200
1.0Е+05
Бент
Бент
150
1.0Е+04
Д-обог
Д-исх
Д-исх
1.0Е+03
100
1.0Е+02
Тр
Д-обог
50
1.0Е+01
Тр
1.0Е+00
0
10
20
30
40
0
ЕКО, мг-экв/100г
0
10
20
30
40
ЕКО, мг-экв/100г
Рис.
2. Зависимость коэффициента распределения
Рис.
3. Зависимость коэффициента распределения
(Kd) 137Cs в 0.1 моль/дм3 NaNO3 от емкости катионного
(Kd) 90Sr в водопроводной воде от емкости катионного
обмена (ЕКО) для образцов Бент, Д-обог, Д-исх и Тр.
обмена (ЕКО) для образцов Бент, Д-обог, Д-исх и Тр.
го цеолита (клиноптилолита), обладающего высо-
Значения коэффициента распределения (Kd) 90Sr
кими сорбционно-селективными характеристиками
на различных образцах сорбентов при сорбции из
по отношению к цезию. По мере снижения содержа-
водопроводной воды
ния глинистых минералов закономерно снижаются и
Сорбент
Бент
Д-исх Д-обог
Тр
сорбционные показатели образцов по отношению к
Kd 90Sr, см3/г
161 ± 3
114 ± 3
51 ± 2
32 ± 2
137Cs в следующем ряду: Бент > Д-исх > Д-обог > Тр.
Для всех изученных образцов значения Kd 137Cs
Приведенные результаты показывают, что, как и
закономерно снижаются при увеличении кон-
в случае сорбции 137Cs, эффективность поглощения
центрации NaNO3 в растворе, при этом получен-
90Sr в целом коррелирует с содержанием глинистой
ные зависимости в билогарифмических коор-
составляющей и соответственно с величиной ЕКО
динатах lgC-lgKd представляют собой прямые
(рис. 3).
линии, что свидетельствует об ионообменном
Абсолютные значения Kd для 90Sr на всех ис-
характере сорбции цезия. Об этом же свидетель-
следованных сорбентах на 1-2 порядка ниже по
ствует высокая корреляция между значениями
сравнению с сорбцией 137Cs. Это связано с относи-
Kd 137Cs (в 0.1 моль/дм3 NaNO3) и ЕКО (рис. 2).
тельно низкой селективностью сорбции стронция в
Абсолютные значения Kd 137Cs образцов бенто-
присутствии конкурирующего иона кальция, при-
нитоподобной глины и диатомита в диапазоне кон-
сутствующего в водопроводной воде [16].
центраций NaNO3 0.1-1.0 моль/дм3 составляют бо-
Сорбция цезия и стронция на минералах груп-
лее 103 см3/г, что свидетельствует о высокой селек-
пы смектита в основном проходит в межслоевом
тивности сорбции смектитов и иллитов, входящих
промежутке и на поверхности кристаллитов за счет
в состав изученных пород, по отношению к 137Cs.
замещения гидратированных катионов Na, Ca, Mg
Сорбция 90Sr. При сорбции 90Sr в качестве
[17]. Поведение цезия и стронция на иллите хо-
жидкой фазы использовали водопроводную
рошо объясняется сорбционной моделью Comans
воду г. Москвы состава, мг/дм3: Na+ 6-8, K+ 4-5,
[18], основанной на предположении о существова-
Mg2+ 15-17, Ca2+ 52-56; Cl- 6-8, SO42- 36-38,
нии сорбционных центров на поверхности иллита,
HCO– 200-205; общее солесодержание 310-330,
связанных с высоким тетраэдрическим зарядом, а
общая жесткость 3.6-3.8 мг-экв/дм3, pH 7.5-7.8.
также о существовании так называемых FES пози-
Полученные результаты приведены ниже.
ций (frayed edge sites), образованных за счет крае-
РАДИОХИМИЯ том 63 № 6 2021
СОРБЦИЯ Р
АДИОНУКЛИДОВ
515
вых дефектов глинистых частиц, что способствует
200
селективному замещению калия одновалентными
катионами. Подобная модель была подтверждена в
Тр
150
последующих работах [19, 20]. Сорбция на цеолите
заключается в замещении негидратированных кати-
100
онов металлов во внутрикристаллических каналах.
Низкие показатели сорбции 137Cs и 90Sr на тре-
Бент
пеле связаны с отсутствием заряда на поверхности
50
Д-обог
Д-исх
опал-кристобалита. В этом случае незначительная
сорбция может проходить только за счет физиче-
0
ской адсорбции на поверхности минералов.
0
10
20
30
40
45
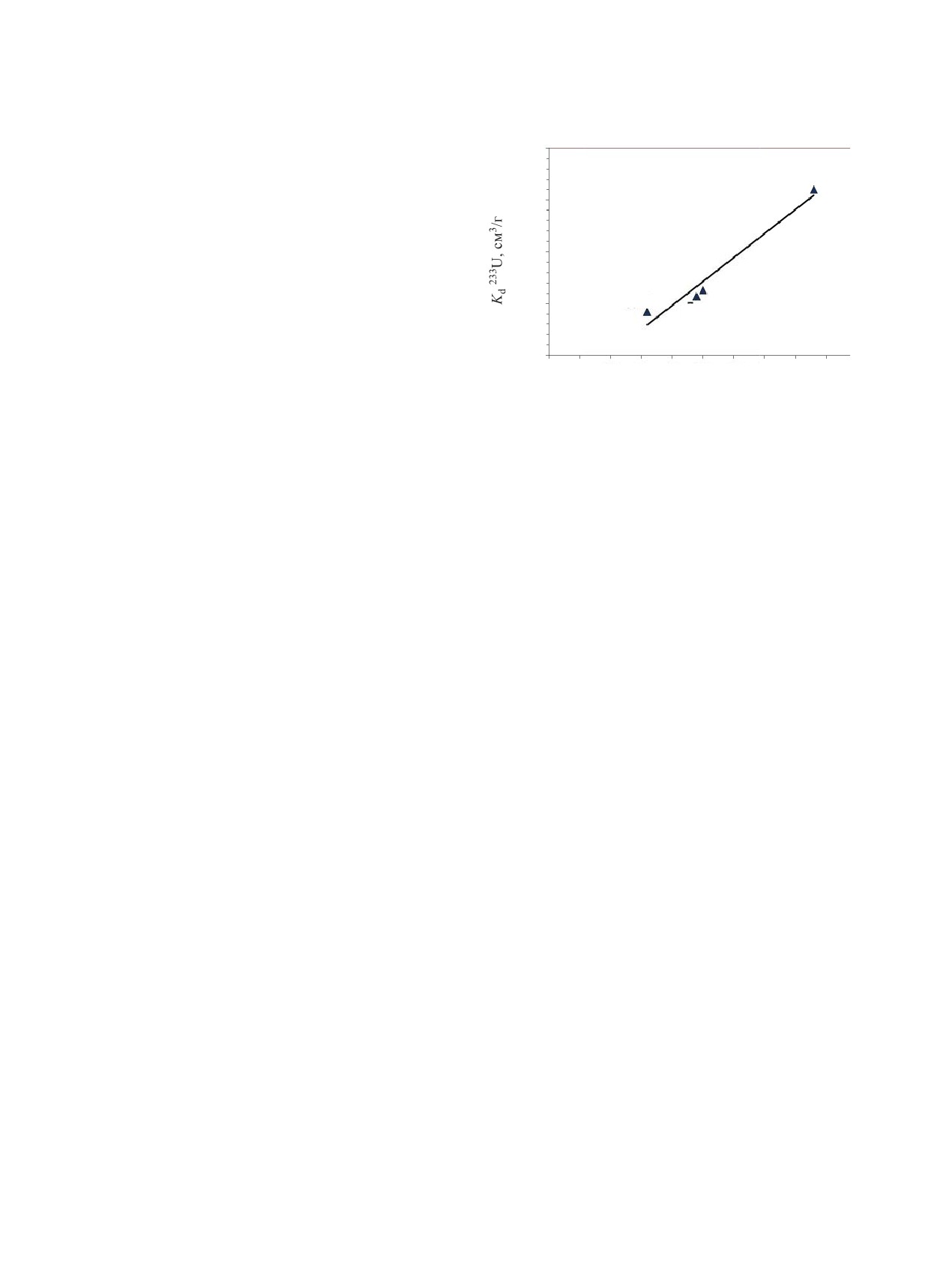
Сорбция 233U. При сорбции 233U в качестве
Sуд, м2/г
жидкой фазы использовали водопроводную воду
Рис.
4.
Зависимость коэффициента распределе-
ния (Kd) 233U в водопроводной воде от удельной
г. Москвы приведенного выше состава. Полученные
поверхности (Sуд) для образцов Бент, Д-обог, Д-исх и
значения Kd 233U приведены ниже.
Тр.
Значения коэффициента распределения (Kd) 233U
по отношению к радионуклидам 137Cs, 90Sr и 233U.
на различных образцах сорбентов при сорбции из
Показано, что эффективность сорбции 137Cs и 90Sr
водопроводной воды
прямо пропорциональна содержанию в образцах
Сорбент
Бент
Д-исх Д-обог
Тр
глинистой составляющей (минералов группы смек-
тита и иллита) и как следствие - величине емкости
Kd 233U, см3/г
63 ± 2
57 ± 3
48 ± 2
160 ± 3
катионного обмена (ЕКО), что свидетельствует об
Приведенные результаты показывают, что значе-
ионообменном механизме сорбции данных ради-
ния Kd для 233U в отличие от сорбции 137Cs и 90Sr
онуклидов. Сорбционные характеристики иссле-
не зависят от содержания глинистой составляющей
дованных образцов по отношению к 137Cs и 90Sr
и величины ЕКО в образцах, что свидетельству-
уменьшаются в следующем ряду Бент > Д-исх > Тр.
ет о различном механизме сорбции урана и цезия
Значения коэффициентов распределения (Kd) 137Cs
(стронция). Данное различие, возможно, связано с
образцов бентонитоподобной глины и диатомита
нахождением урана в водопроводной воде в виде
в диапазоне концентраций NaNO3 0.1-1.0 моль/дм3
отрицательно заряженных карбонатных комплек-
составляют более 103 см3/г, что свидетельствует о
сов, которые практически не сорбируются на ка-
высоких сорбционно-селективных характеристиках
тионообменных группах глинистых минералов.
данных минералов по отношению к 137Cs. Значения
Можно предположить, что основным механизмом
Kd 90Sr на всех исследованных сорбентах при сор-
сорбции урана на изученных образцах является
бции из водопроводной воды на 1-2 порядка ниже
физическая адсорбция на поверхности минералов.
по сравнению с сорбцией 137Cs, что связано, вероят-
Подтверждением этого служит приведенная на
но, c относительно низкой селективностью сорбции
рис. 4 зависимость Kd 233U от удельной поверхности
стронция в присутствии ионов кальция, входящих
(Sуд) образцов Бент, Д-обог, Д-исх и Тр, которая ока-
в состав водопроводной воды. Основным механиз-
зывается линейной. Однако абсолютные значения
мом сорбции радионуклида 233U, в отличие от сорб-
Kd 233U для всех исследованных сорбентов невели-
ции 137Cs и 90Sr, является физическая адсорбция на
ки, что связано с относительно небольшими значе-
поверхности минералов. Абсолютные значения Kd
ниями их удельной поверхности.
233U (48-160 см3/г) для всех исследованных сорбен-
тов невелики, что связано с относительно неболь-
ЗАКЛЮЧЕНИЕ
шими значениями удельной поверхности образцов.
В целом природные сорбенты - бентонитоподоб-
Нами изучены сорбционные характеристики
ные глины и диатомит - могут быть использованы в
ряда природных материалов: диатомита (Д-исх),
качестве эффективных геохимических барьеров для
трепела(Тр) и бентонитоподобной породы(Бент)
предотвращения миграции радионуклидов цезия из
РАДИОХИМИЯ том 63 № 6 2021
516
МИЛЮТИН и др.
хранилищ радиоактивных отходов. Использование
5.
Osmanlioglu A.E. // Appl. Radiat. Isot. 2007. Vol. 65.
данных природных материалов для фиксации ра-
P. 17-20.
дионуклидов стронция и урана значительно менее
6.
Nenadović S., Kljajević L., Marković S., Omerašević M.,
эффективно.
Jovanović U., Andrić V., Vukanac I. // Sci. Sinter. 2015.
Vol. 47. P. 299-309.
7.
Johan E., Yoshida K., Munthali M. W., Matsue Na.,
БЛАГОДАРНОСТИ
Itagaki Y., Aono H. // J. Ceram. Soc. Jpn.
2015.
Vol. 123, N 12. P. 1065-1072.
Авторы выражают благодарность Закусину С.В.
8.
Huang C., Lin T., Chiao L., Chen H. // J. Hazard. Mater.
за проведенные исследования минерального со-
2012. Vol. 233-234. P. 140-147.
става и Тюпиной Е.А. за проведенные измерения
9.
Belousov P., Semenkova A., Egorova T., Romanchuk A.,
удельной поверхности.
Zakusin S., Dorzhieva O., Tyupina E., Izosimova Y.,
Tolpeshta I., Chernov M., Krupskaya V. // Minerals.
2019. Vol. 9. Р. 1-17.
ФОНДОВАЯ ПОДДЕРЖКА
10.
Shenga G., Yanga P., Tanga Y., Hua Q., Lia H.,
Rend X., Hua B., Wanga X., Huang Y. // Appl. Catal. B:
Аналитические работы по исследованию со-
Environmental. 2016. Vol. 193. P. 189-197.
става и свойств природных сорбентов проведены
11.
Ayta S., Akyil S., Aslani M.A.A., Aytekin U. // J.
при финансовой поддержке Российского научного
Radioanal. Nucl. Chem. 1999. Vol. 240, N 3. P. 973-
фонда (проект № 18-77-00015). Сорбционные экс-
976.
перименты проведены при финансовой поддерж-
12.
Sprynskyy M., Kowalkowski T., Hlanganani T.E.M.,
ке Министерства науки и высшего образования
Buszewski B. // Colloids Surf. A: Physicochem. Eng.
Российской Федерации (тема № 0067-2019-008).
Aspects. 2015. Vol. 465. P. 159-167.
13.
Бугров Я.С., Никольский С.М. Дифференциальные
уравнения. Кратные интегралы. Ряды. Функции
КОНФЛИКТ ИНТЕРЕСОВ
комплексного переменного: Учеб. для вузов. М.:
Дрофа, 2004. Т. 3. 512 c.
Авторы заявляют об отсутствии конфликта ин-
14.
Дриц В.А., Коссовская А.Г. Глинистые минера-
тересов.
лы: смектиты, смешанослойные минералы. М.:
Наука, 1990. 214 с.
СПИСОК ЛИТЕРАТУРЫ
15.
Moore D.M., Reynolds R.C., Jr. X-ray Diffraction
and the Identification and Analysis of Clay Minerals.
1.
Selin P., Leupin O.X. // Clays Clay Miner.
2014.
Oxford Univ. Press. 1997. 2nd ed. P. 378.
Vol. 61, N 6. P. 477-498.
16.
Милютин В.В., Гелис В.М. // ЖПХ. 1994. Т. 67,
2.
Крупская В.В., Бирюков Д.В., Белоусов П.Е.,
№ 11. С. 1776-1779.
Лехов В.А., Романчук А. Ю., Калмыков С. Н. //
17.
Semenkova A.S., Evsiunina M.V., Verma P.K.,
Радиоактивные отходы. 2018. № 2. С. 30-43.
Mohapatra P.K., Petrov V.G., Seregina I.F., Bol-
3.
Захарова Е.В., Андрющенко Н.Д., Родыгина Н.И.,
shov M.A., Сomans N.J., Haller R., De Preter M.P. //
Ермолаев В.М. // Матер. V Рос. школы по глини-
Geochim. Cosmochim. Acta. 1991. Vol. 55. P. 433-
стым минералам Argilla Studium. 2017. С. 50-54.
440.
4.
Кононенко О.А., Гелис В.М., Милютин В.В. // Атом.
18.
Bradbury M.H., Baeyens B.A. // J. Contam. Hydrol.
энергия. 2010. Т. 109, № 4. С. 222-227.
2000. Vol. 42. P. 141-163.
РАДИОХИМИЯ том 63 № 6 2021