РАДИОХИМИЯ, 2021, том 63, № 5, с. 403-430
УДК 621.039.7
ИЗОЛЯЦИЯ ФРАКЦИОНИРОВАННЫХ ОТХОДОВ
ЯДЕРНОЙ ЭНЕРГЕТИКИ
© 2021 г. С. В. Юдинцев
Институт геологии рудных месторождений, петрографии, минералогии и геохимии РАН,
119017, Москва, Старомонетный пер., 35
e-mail: yudintsevsv@gmail.com
Поступила в редакцию 04.06.2020, после доработки 12.01.2021, принята к публикации 19.01.2021
Переработка отработанного ядерного топлива (ОЯТ) атомных станций ведет к образованию радиоактив-
ных отходов (РАО), в том числе высокого уровня активности (ВАО). ВАО содержат опасные долгоживу-
щие продукты деления и актиниды, поэтому создание эффективных приемов обращения с ними - главная
задача завершающей стадии замкнутого ядерного топливного цикла. В настоящее время ВАО отверждают
в Na-B-Si или Na-Al-P стекла, что не отвечает требованиям безопасности и экономической эффектив-
ности. В частности, низкое содержание в них отходов (3-20 мас%) ухудшает использование простран-
ства глубинного хранилища ВАО. Со временем стекла кристаллизуются с увеличением растворимости
матрицы в подземных водах. Решение проблемы обращения с ВАО связано с разделением на группы
радионуклидов. Многие из этих приемов уже испытаны на реальных жидких отходах переработки ОЯТ. В
результате могут быть получены фракции элементов для включения в оптимальные матрицы с кристалли-
ческими (минералоподобными) фазами. Для включения актинидов пригодны соединения со структурами
пирохлора, цирконолита, монацита, браннерита, перовскита, бритолита, муратаита, граната. Для Cs и Sr
предлагаются фазы со структурами голландита, перовскита, поллуцита, лангбейнита. Для изоляции от-
ходов наиболее сложного состава оптимальны стеклокерамики. С учетом способов синтеза матриц ВАО
рассмотрены перспективные технологии их промышленного изготовления.
Ключевые слова: ядерный топливный цикл, отработанное ядерное топливо, переработка, высокоак-
тивные отходы, фракционирование, иммобилизация, матрица, стекло, минералоподобные материалы,
получение.
DOI: 10.31857/S0033831121050014
ВВЕДЕНИЕ
изведено 370 000 т ОЯТ, третья часть которого пе-
реработана [6]. Типовой водно-водяной реактор ге-
Ядерная энергетика - важный источник элек-
нерирует 25-30 т ОЯТ в год, темпы его накопления
трической энергии во многих странах. В 2018 г.
от всех ядерных блоков составляют свыше 12 000 т
450 ядерных реакторов общей мощностью
ОЯТ в год [1, 7]. В России, Франции, Великобри-
396 ГВт (эл.) выработали 10% всей электроэнергии
тании, Китае и некоторых других странах реализу-
в мире, в том числе треть низкоуглеродной генера-
ется замкнутый ядерный цикл с переработкой ОЯТ,
ции [1]. В США, России и странах ОЭСР в среднем
а в Канаде, Финляндии, Швеции, Южной Корее,
на АЭС производится 18-20% электрической энер-
Германии и США сделан упор на открытый цикл
гии, во Франции - 70% [2]. Другие ее применения -
с захоронением ОЯТ. Со временем объемы ОЯТ и
наработка изотопов разного назначения [3], получе-
ВАО неизбежно будут расти [8]. При переработке
ние тепла, опреснение воды, производство водорода.
ОЯТ возникают жидкие радиоактивные отходы, в
Негативная сторона связана с накоплением отрабо-
том числе высокого уровня активности. Их вклю-
танного ядерного топлива (ОЯТ) и высокоактивных
чают в Na-Al-P стекла в России [2, 4, 9-16] или
отходов его переработки (ВАО), представляющих
Na-B-Si стекла за рубежом [17-24]. К 2013 г. име-
большую опасность [4, 5]. К 2014 г. в мире уже про-
лось около 30 000 т остеклованных ВАО [22, 25].
403
404
ЮДИНЦЕВ
С учетом темпов отверждения ВАО [16, 23-28] их
кристаллические матрицы [4, 18-21, 41-44]. Для
текущая масса оценивается в 35-36 тыс. т, из них
иммобилизации актинидов предложены силикаты,
почти 80% - это Na-B-Si стекла, а остальные 20% -
титанаты и фосфаты - аналоги таких минералов,
Na-Al-P композиции.
как: циркон, бритолит, пирохлор, цирконолит, му-
ратаит, перовскит, монацит, гранат и др. [45-51].
Вопросы обращения с ОЯТ и РАО в России рас-
смотрены в докладах о выполнении национальных
Продукты деления (Cs, Sr) можно изолировать в
фазах со структурой голландита, поллуцита, пе-
обязательств в рамках «Объединенной конвенции
ровскита, лангбейнита. Для отходов наиболее
о безопасности обращения с отработавшим то-
пливом и радиоактивными отходами» [27, 29, 30].
сложного состава перспективны стеклокерамики
Количество ОЯТ в нашей стране на конец 2016 г.
с теми же минералопобными фазами. Большое
составило 22 500 т, из них примерно 2/3 - это ОЯТ
количество данных по матрицам актинидов полу-
РБМК-1000, а 1/3 - ВВЭР-1000. На заводе РТ-1
чено при решении проблемы иммобилизации ору-
ПО «Маяк» уже переработано около 6000 т ОЯТ
жейного плутония [43, 52-55].
реакторов ВВЭР-440, БН-600 и исследовательских
В статье охарактеризованы минералоподобные
установок. При его проектной производитель-
матрицы для иммобилизации фракций высокоак-
ности в 400 т реально перерабатывается от 150
тивных отходов. Рассмотрены способы их лабо-
до 200 т ОЯТ в год. Разработаны технологии для
раторного синтеза и предложены технологии для
регенерации ОЯТ ВВЭР-1000 и дефектного ОЯТ
промышленного получения. На выбор матрицы
реакторов РБМК-1000. На Горно-химическом ком-
влияет состав радиоактивных отходов, поэтому
бинате действует установка по переработке 5 т в
ниже рассмотрены данные об особенностях ОЯТ и
год ОЯТ ВВЭР-1000, в 2021 г. ожидается запуск ее
ВАО его переработки.
2-й очереди на 250 т ОЯТ в год [30]. Скорость на-
1. Особенности состава высокоактивных от-
копления ОЯТ в нашей стране, особенно с учетом
ходов переработки ОЯТ. Состав ОЯТ зависит от
его ввоза из-за рубежа, намного выше масштаба
типа реактора и исходного топлива, глубины его
переработки. Планы по увеличению мощностей
выгорания и времени хранения после выгрузки
по регенерации ОЯТ предполагают, что к 2030 г.
из реактора [8, 26, 56, 57]. Радионуклиды в ОЯТ
переработка ОЯТ будет превышать скорость его
представлены продуктами деления, актинидами и
образования, но это приведет и к наращиванию
элементами топливных сборок. Главные продукты
объема высокоактивных отходов.
деления (табл. 1) - это РЗЭ, Zr, Mo, Tc, Ru, Pd, Cs,
Текущая практика остекловывания жидких
Sr, Rh, Te, Xe, Kr и I, причем на РЗЭ приходится
ВАО не выглядит оптимальным способом обра-
до 25 мас%, на платиноиды - 16%, Zr - 15%, Mo -
щения с ними. Это обусловлено низкой емкостью
12%, Cs - 6% [3]. После трех лет хранения ОЯТ с
стекол в отношении отходов [9, 12, 14, 23, 28, 31,
выгоранием 33 ГВт в сутки (обогащение 3.5% 235U)
32], их кристаллизацией при временном хранении
содержит [20], в кг/т ОЯТ: щелочные металлы (Cs,
и после захоронения с существенным повышени-
Rb) - 3, щелочноземельные металлы (Sr, Ba) -
ем растворимости в водах и снижением защитных
2.4, редкие земли (легкие, группы Се) - 10.2, пе-
свойств [28, 33-37]. Кристаллизация стекломатри-
реходные 4d-металлы (Mo, Zr, Tc) - 7.7, платино-
цы может начаться сразу же после разлива распла-
иды (Ru, Rh, Pd) - 3.9, 0.5 кг Se и Te, 0.2 кг I и Br,
ва в канистры за счет остаточного тепловыделения
0.1 кг Ag, Cd, Sn и Sb. Эти количества продуктов
расплава [28, 33]. При контакте с водой остекло-
деления определяются их бимодальным распре-
ванных отходов или продуктов их кристаллизации
делением (выходом) в зависимости от атомной
образуются коллоидные частицы [36-40], в соста-
массы, где максимумы расположены в интервалах
ве которых долгоживущие радионуклиды актини-
значений 85-105 (Rb, Sr, Zr, Mo, Tc, платиноиды,
дов могут переноситься на большие расстояния и
Ag) и 130-150 (I, Xe, Cs, Ва, РЗЭ) [58]. По мере
достигать биосферы.
выгорания возрастают содержания продуктов де-
Одно из решений проблемы обращения с ВАО
ления в ОЯТ [8, 56, 59] и в ВАО (табл. 1, 2). Со
переработки ОЯТ состоит в выделении из них
временем тепловыделение ОЯТ падает и уже че-
групп элементов для включения в оптимальные
рез несколько сотен лет главная роль переходит от
РАДИОХИМИЯ том 63 № 5 2021
ИЗОЛЯЦИЯ ФР
АКЦИОНИРОВАННЫХ ОТХОДОВ
405
Таблица 1. Состав (г/т) ОЯТ реакторов ВВЭР в зависимости от выгорания [56]
Выгорание, ГВт·сут/т U
Элемент
0.5
4
20
33
40
60
Актиниды, всего
999500
995600
979600
964800
959100
936000
U (все изотопы)
999100
992500
974500
955000
947000
926000
237Np
~0.5
22
135
450
650
890
Pu (все изотопы)
400
2600
4990
9100
9975
12990
Am (все изотопы)
-
-
130
325
475
765
ПД, в том числе:
500
4160
20500
35000
42000
64000
Zr
75
515
2550
3580
5250
6280
Mo
60
400
2050
3350
4250
5050
Tc
16
110
510
815
1000
1405
Ru
36
200
1200
2165
2800
4155
Y
-
77
300
455
630
-
La
-
140
790
1250
1635
-
Ce
-
390
1835
2850
3725
-
Pr
-
140
680
1200
1430
-
Nd
-
550
2660
4100
5590
-
Pm
-
55
145
170
310
-
Sm
-
105
510
805
1070
-
Eu
-
25
130
200
280
-
Gd
-
20
105
170
225
-
∑ РЗЭ
~220
1425
7155
11200
14895
23150
Таблица 2. Содержание элементов в ОЯТ с выгоранием 40 и 70 ГВт·сут/т [59], после выдержки 5 лет
Глубина
Содержание актинидов и продуктов деления (ПД) в ОЯТ, г/т
выгорания
235U
Np
Pu
Am
Sr
Zr
Mo
Tc
Cs
РЗЭ + Y
∑ПД
40
11900
650
11000
480
1440
5240
4260
1090
5120
16000
44000
70
3400
1100
14000
1080
1920
7200
6400
1350
6950
23000
78000
короткоживущих продуктов деления к долгоживу-
Se и Te, а еще 43 мас% приходится на Fe, Ni, Cr, Na, Р
щим актинидам.
и менее значимые элементы. Кальцинат ВАО содер-
Для переработки ОЯТ используется метод
жит (мол%): продукты деления - 26.4 РЗЭ, 13.2 Zr,
12.2 Mo, 7.6 Ru, 7.0 Cs, 4.1 Pd, 3.5 Sr, 3.5 Ba, 1.3 Rb;
PUREX, разработанный около 70 лет назад в США
для выделения 239Pu военного назначения [5, 56,
9% других продуктов деления и коррозии, в основ-
60]. Переработка ОЯТ ведет к появлению жидких
ном Tc, Rh, Te, I, Ni и Cr; актиниды: 1.4 (U + Th) и
радиоактивных отходов (РАО), в том числе высо-
0.2 (Am + Cm + Pu +Np); примеси - 6.4 Fe, 3.2 P,
коактивных. На 1 т ОЯТ образуется от 13 до 31 м3
1.0 Na [62, 63]. По данным работы [64], кальцинат
жидких ВАО [26], после упаривания их объем со-
ВАО после 10 лет хранения состоит из, мас% (в
кращается до 250 л [3]. Особенности состава ОЯТ
скобках период полураспада основного радиону-
наследуются в ВАО, кроме того в них имеются тех-
клида в годах, Т½): 6 Cs2O (30), 6 TcO2 (210 000),
нологические примеси [3, 21, 26]. В сухом остатке
3 SrO (30),
6 малые актиниды (МА: Np, Am,
ВАО присутствуют [20, 61]: 19% переходных ме-
Cm > 10 000), 4 BaO, 10 RuO2, 15 РЗЭ2O3, 6 PdO,
таллов (Mo, Zr, Tc), 18% редкоземельных (La, Ce,
15 ZrO2, 2 Rh2O3, 15 MoO3. Часть элементов ВАО
Pr, Nd, Sm), 10% щелочных (Cs, Rb) и щелочнозе-
представлена только стабильными нуклидами (Ва,
мельных (Sr, Ba) элементов, 7% платиноидов (Ru,
Мо), другие - радиоактивными (Тс, малые актини-
Rh, Pd), 2% малых актинидов (Np, Am, Cm), до 1%
ды), а у третьих имеются оба эти типа элементов
РАДИОХИМИЯ том 63 № 5 2021
406
ЮДИНЦЕВ
Таблица 3. Состав жидких ВАО (кг в 5 м3) переработки т ОЯТ с выгоранием 33 ГВт сут/т после 3 лет хранения [65]
Компонент
Элемент или группа
Содержание
Молярность в 0.5 м3
H+
1.4
1.0
NO
900
2.4
Продукты деления (ПД)
Группа I (Rb, Cs)
2.94
0.046
Группа II (Sr, Ba)
2.37
0.041
Zr
3.54
0.15
Mo
3.32
0.076
Tc
0.77
0.016
Группа VIII (Ru, Rh, Pd)
4.02
0.078
Te
0.48
0.0075
Остальные
0.35
0.004
ПД, всего
28.1
0.487
Продукты коррозии (ПК)
Fe
1.1
0.04
Cr
0.2
0.008
Ni
0.1
0.003
ПК, всего
1.4
0.051
Фосфатыа
0.9
0.02
Актиниды (в скобках - их
U (0.5%)
4.8
0.04
доля в ВАО по сравнению
Np (100%)
0.44
0.0037
с исходным количеством в
Pu (0.2%)
0.018
0.00015
ОЯТ)
Am (100%)
0.28
0.0023
Cm (100%)
0.017
0.00014
Актиниды, всего
5.5
0.047
Поглотители нейтронов (Gd и др.)
12
0.15
а Остаточные количества экстрагента - трибутилфосфата (ТБФ).
с преобладанием радиоактивных (Cs) или стабиль-
ционным нагревом в металлических «горячих» или
ных (РЗЭ, платиноиды) изотопов.
«холодных» тиглях [23, 44, 72, 73]. Альтернатива -
Содержание элементов групп периодической
плавление кальцината в печах джоулева нагрева
системы (актиниды, продукты деления и коррозии)
(двухстадийный процесс) или флюсование жид-
в ВАО показано в табл. 3. Эти отходы включают в
ких ВАО фосфорной кислотой и затем их выпари-
Na-Al-P (Россия) или Na-B-Si (остальные стра-
вание с получением стеклоообразной матрицы [9,
ны) стекла [3, 4, 8-25] для захоронения [4, 13, 15,
43, 72-75]. Преимущества стекломатриц связаны с
66-69]. Его безопасность будут обеспечивать инже-
однородным распределением элементов отходов и
нерные барьеры (матрица, контейнер, буфер) и гео-
хорошо отработанной технологией. Их недостатком
логическая среда [4, 15].
является низкое содержание продуктов деления и
актинидов: от 3-5 (Na-Al-P стекла) до 5-20 мас%
2. Иммобилизация жидких ВАО от переработ-
(Na-B-Si стекла). Этим обусловлен их большой
ки ОЯТ в стеклообразные матрицы. Индустри-
объем в расчете на 1 т переработанного ОЯТ, осо-
альному остекловыванию жидких ВАО от перера-
ботки ОЯТ уже более 50 лет [18, 70]. Впервые оно
бенно у алюмофосфатных матриц, что влечет боль-
осуществлено во Франции в 1968-1973 гг. [71], где
шие затраты на сооружение подземных хранилищ.
25 м3 отходов были включены в 12 т стекла. Круп-
Низкое содержание ВАО в Na-Al-P стекломатрице
номасштабное остекловывание ВАО в Na-B-Si ма-
вызвано ограничением по тепловыделению, опре-
трицу стартовало во Франции в 1978 г., в России
деляемом ее термостойкостью [14]. Матрица долж-
с 1987 г. используется Na-Al-P композиция [4, 11,
на сохранять свойства при разогреве до 550°С из-
18, 20, 21, 23, 25, 72, 73]. В основе технологии ле-
за распада радионуклидов [76]. Температура блока
жит кальцинация жидких ВАО, добавление фритты
остеклованных отходов должна быть не менее чем
(стеклообразующих добавок) и плавление индук-
на 100°C ниже температуры размягчения (стекло-
РАДИОХИМИЯ том 63 № 5 2021
ИЗОЛЯЦИЯ ФР
АКЦИОНИРОВАННЫХ ОТХОДОВ
407
вания) матрицы, чтобы избежать быстрой раскри-
n, g
сталлизации стекла [20]. Температура стеклоблока
зависит от остаточного тепла после разлива рас-
15
плава в контейнер и его разогрева при распаде ра-
Tg
n
g
дионуклидов. Предельная проектная активность
алюмофосфатной стекломатрицы равна 2500 Ки/л,
10
реальные значения гораздо ниже - от 60 до 600 Ки/л
600
700
800
Tg, °С
[3, 14]. Тепловыделение 1 м3 остеклованных ВАО
снижается с 18 (5 лет после фабрикации) до 6 кВт
5
Область кристализации
через 25 лет и 1 кВт спустя 100 лет, первые 150 лет
основным источником тепла служат продукты деле-
250
500
750
1000
1250
1500
ния с доминированием 137Cs и 90Sr, а затем - малые
актиниды [8].
T, °С
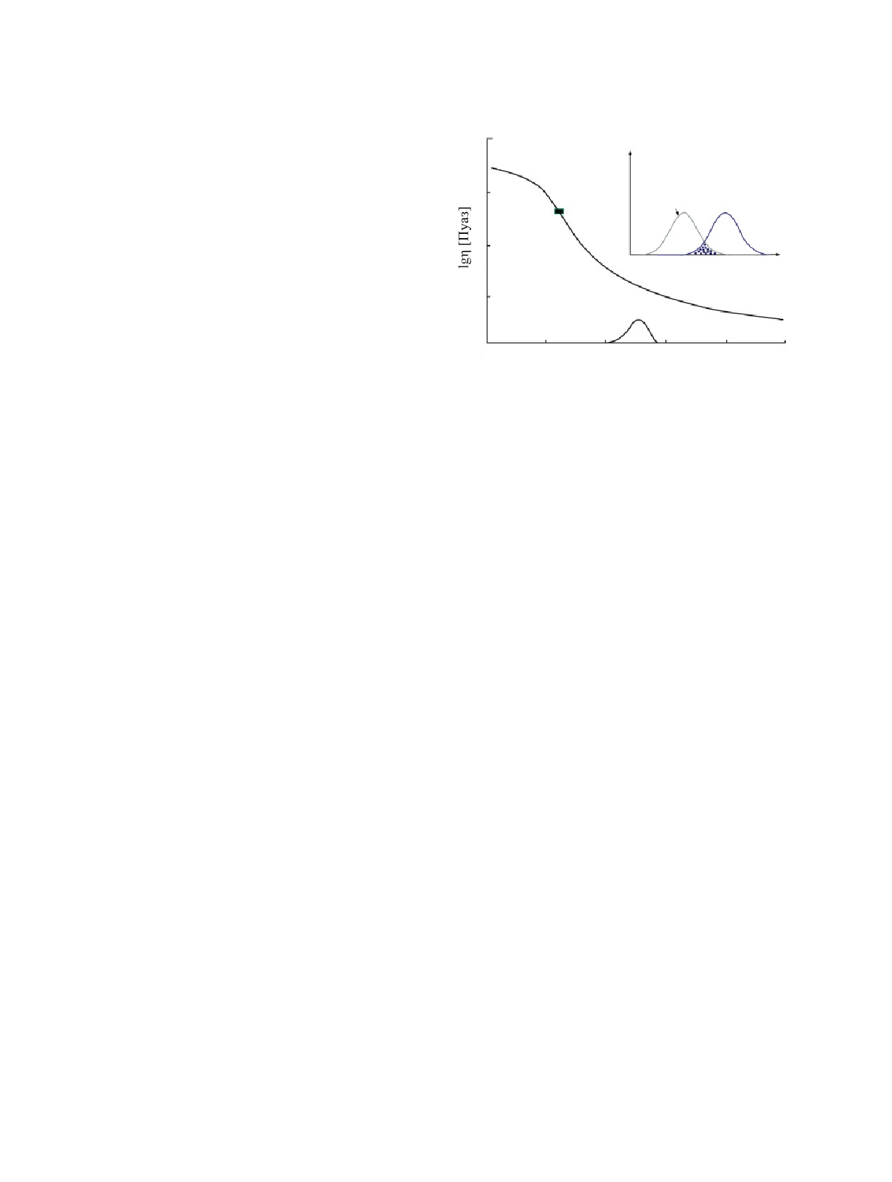
Рис. 1. Изменение вязкости стекла η с температурой, Tg -
Тепловыделение остеклованных ВАО во времен-
переходная температура стеклования (размягчения). На
ном хранилище не должно превышать 5 кВт/м3 [3]
врезке (в произвольных единицах) показаны число цен-
и 2 кВт/м3 при захоронении [77]. Последний до-
тров кристаллизации (n) и скорость роста кристаллов (g),
кумент устанавливает требование к упаковке (ма-
по данным работы [81].
трице) ВАО сохранять свойства, структуру и проч-
скорость кристаллизации максимальна при ~500°С,
ность не менее 1000 лет при температуре до 450°С.
у Na-B-Si (Тg около 550°С) это значение составляет
Стекла метастабильны, и со временем они будут
650°С [9, 19].
кристаллизоваться. Этому способствует разогрев
Повышение Тg на 200°C эквивалентно росту те-
матрицы с ВАО из-за распада радионуклидов до
пловыделения, исключающего быструю кристалли-
50-100°С и выше в течение десятков-сотен лет их
зацию стекла, на 60%, что и определяет в 3-5 раз
хранения и после захоронения [78-80]. При контак-
более высокую загрузку отходами Na-B-Si матри-
те вод со стеклами и продуктами их кристаллиза-
цы по сравнению с Na-Al-P. Процесс кристалли-
ции образуются коллоиды с высокой способностью
зации возможен и при меньших температурах, чем
к миграции. Охлаждение расплава при сливе в ка-
Тg, однако из-за более высокой вязкости он будет
нистры должно быть достаточно быстрым, чтобы
проходить с меньшей скоростью и займет большее
образовалось однородное стекло. Это достигается
время. Кристаллизация увеличивает выщелачива-
при его закалке со скоростью 500°С/ч, при остыва-
ние элементов из остеклованных отходов [9, 33,
нии стекла со скоростью 50°С/ч и менее появляют-
36, 37], при этом нарушается монолитность блока
ся кристаллические фазы [9]. Поэтому, как указыва-
матрицы с увеличением площади контакта с водой.
лось выше, кристаллизация стекломатрицы может
Температура отрицательно влияет на стекломатри-
начаться после слива расплава в канистры за счет
цы, увеличивая их растворимость в воде в исходном
остаточного тепловыделения [28, 33]. Особенно
состоянии и особенно после кристаллизации под
важна скорость остывания в области температуры
действием остаточного тепла расплава и саморазо-
стеклования (Тg), ниже которой возрастает вязкость
грева из-за радиоактивного распада [9].
расплава и он переходит в стекло. За Тg принима-
ется [81] температура, при которой вязкость равна
При охлаждении со скоростью 30-50°С/ч, близ-
1012 Па·с (1013 Пуаз). Ее значение зависит от соста-
кой к остыванию реальных матриц ВАО в контей-
ва стекла и определяется термическим анализом [9].
нере, произошла частичная девитрификация стек-
Тg (в шкале °С) растет с увеличением температуры
ла [28]. После разлива расплава из печи ЭП-500
плавления (Tm), составляя 0.4-0.6 от величины Тm.
температура контейнера с остеклованными ВАО
Нагрев выше Тg ускоряет девитрификацию из-за
снижается за 17 ч с 700 до 500°С [33], т.е. скорость
снижения вязкости стекла и роста скорости в нем
остывания равна 10-15°С/ч. Остается открытым во-
диффузии элементов (рис. 1): при этом растет чис-
прос о состоянии остеклованных ВАО, хранящих-
ло центров кристаллизации и скорость роста кри-
ся на ПО «Маяк» с 1987 г. Это может быть стекло,
сталлов [81]. Для Na-Al-P стекол (Тg около 400°С)
стекло с кристаллическими фазами или полностью
РАДИОХИМИЯ том 63 № 5 2021
408
ЮДИНЦЕВ
закристаллизованная матрица. Нахождение в кон-
же их тепловыделение; тип контейнеров РАО; кон-
тейнерах с ВАО частично закристаллизованного
струкция и вместимость ПГЗРО. Сроки и стоимость
стекла представляется более вероятным. Этот про-
изоляции РАО также зависят от отношения обще-
цесс ускорится при наличии паров воды [36, 37].
ственности к сооружению хранилища. Важный
Небольшое количество воды может попасть в кон-
параметр, определяющий расходы на захоронение
тейнер еще до его герметизации. Взаимодействие
отходов, - это вместимость могильника. По мере ее
паров воды с матрицей будет происходить в храни-
увеличения удельная стоимость захоронения ВАО
лище из-за механического разрушения контейнера
многократно снижается. Оценки стоимости соору-
или его коррозии.
жения подземного хранилища ОЯТ/ВАО различны
Низкая загрузка отходами - причина образова-
[67, 68, 86-89]. Для хранилища на 120 000 т ОЯТ
ния больших объемов (порядка 1-1.8 т) высоко-
даются цифры от 5-35 [87] до 96 млрд. долларов
активного Na-Al-P стекла на 1 т переработанного
США [88]. Стоимость захоронения 12000 м3 ВАО
ОЯТ без учета упаковки [12, 14, 82]. При текущих
(11 тыс. т ОЯТ атомных станций, а также по 2000 м3
темпах накопления остеклованных отходов на ПО
остеклованных ВАО и ОЯТ исследовательских ре-
«Маяк» через несколько лет их количество при-
акторов) в Германии оценивается в 24 млрд. евро в
близится к 11 тыс. т, что отвечает предполагаемой
шахтном исполнении и до 9 млрд. евро для группы
вместимости подземного хранилища [13, 15]. Стек-
скважин [89]. Анализ вариантов топливного цикла,
ла Na-B-Si состава обладают лучшей теплостойко-
отличающихся типом топлива и реактора, подхода-
стью и содержат в несколько раз больше ВАО, чем
ми к переработке ОЯТ и обращению с ВАО [87], по-
Na-Al-P стекло [12, 18, 19, 73, 81]. Переработка 1 т
казал, что захоронение остеклованных ВАО гораздо
ОЯТ генерирует всего 120-150 л такой матрицы
дешевле, чем удаление в недра Земли ОЯТ без пере-
[8, 83]. Поэтому в будущем в нашей стране также
работки, т.е. в открытом цикле.
предлагается заменить алюмофосфатную стекло-
В связи с переходом в нашей стране к двухком-
матрицу на боросиликатную [11, 83, 84]. Однако у
понентной системе ядерной энергетики с реактора-
алюмофосфатных стекол имеется ряд преимуществ
ми на тепловых (РТН) и быстрых нейтронах (РБН)
над боросиликатными, что определило их исполь-
с замкнутым ядерным топливным циклом (ЗЯТЦ)
зование в России: более простая технология од-
объемы ОЯТ и ВАО его переработки возрастут уже
ностадийного перевода жидких ВАО в стекло при
в ближайшие годы [90]. С пуском завода по пере-
меньшей температуре процесса; высокая раствори-
работке ОЯТ в Красноярском крае масса рецикли-
мость проблемных элементов (Na, Al, сульфатная
руемого ОЯТ вырастет со 150-200 до 650 т в год.
сера, оксиды Mo и Cr). Положительным качеством
Это приведет к быстрому росту объема ВАО и
Na-Al-P стекломатриц является образование фос-
остеклованных отходов, особенно при использова-
фата РЗЭ со структурой монацита при кристаллиза-
ции во временном хранилище или в могильнике [9,
нии Na-Al-P матриц. Современное состояние тех-
36, 37]. В эту фазу с низкой растворимостью в под-
нологий завершающей стадии замкнутого ядерного
земных водах изоморфно входят уран, малые акти-
топливного цикла не позволяет обойтись без осте-
ниды и часть стронция, что обеспечит их надежную
кловывания ВАО переработки ОЯТ тепловых реак-
длительную локализацию в подземном хранилище
торов и их размещения в глубоком хранилище [91].
и исключит вынос в окружающую среду.
На 2020 г. тариф захоронения 1 м3 ВАО определен
Выбор участка подземного хранилища ВАО
в 1.48 млн. рублей [92] с дальнейшим ростом при-
мерно по 50 000 рублей в 2021-2022 гг. Увеличение
(ПГЗРО), его сооружение и эксплуатация - это
длительный и дорогостоящий процесс. Он состоит
времени хранения ОЯТ до переработки до 70 лет
[69, 85] из стадий: выбор потенциальных мест для
приведет к росту количества ВАО. Для повышения
ПГЗРО (срок работ 10 лет и более); определение
устойчивости матрицы предлагается добавлять B,
площадки и разработка технологий захоронения
Si или Fe в Na-Al-P стекла, использовать Pb-Fe-P
(15 лет); возведение (10 лет), эксплуатация (40 лет)
и Fe-P стекла, переходить к B-Si композициям [18,
и закрытие ПГЗРО (до 20 лет). На стоимость захо-
19, 21, 28, 33, 72, 73, 82-84, 91]. Фракционирова-
ронения влияют: объем и активность отходов, а так-
ние ВАО сократит количество отходов и позволит
РАДИОХИМИЯ том 63 № 5 2021
ИЗОЛЯЦИЯ ФР
АКЦИОНИРОВАННЫХ ОТХОДОВ
409
увеличить содержание радионуклидов в матрице [4,
пятствует большое число нерешенных проблем.
72, 90, 91].
Зрелость данного процесса пока невелика - уров-
ни технологической готовности (УТГ, technology
Потенциальными матрицами ВАО являются
кристаллические и стеклокерамические компози-
readiness level, TRL) требуемых для него топлива
ции [4, 17, 18-21, 41-55, 62, 63, 72, 73, 96-100], ко-
и реакторных установок имеют значения от 3 до 5
торые изучаются с 1970-х гг. почти одновременно
[118-120]. Готовность технологий разделения жид-
со стеклами. Наиболее известны полифазная кера-
ких ВАО выше, многих из них уже испытаны в ус-
мика Синрок и монофазная матрица NZP. В первой
ловиях радиохимического производства [120-122],
носителями радионуклидов служат искусственные
то есть величины УТГ для них равны 7 и более.
фазы минералов со структурой перовскита, цир-
Известен комбинированный подход
- вклю-
конолита, пирохлора, голландита. Элементы ВАО
чение малых актинидов в безурановое топливо с
распределяются между ними в соответствии с ради-
инертной матрицей [43, 123-126], однократное об-
усом и зарядом катионов. Структура матрицы NZP
лучение в тепловых или быстрых реакторах и за-
состава NaZr2(PO4)3 (природный аналог - минерал
хоронение. В качестве таких матриц предлагаются
коснарит) образована трехмерной сеткой октаэдров
коррозионно-устойчивые оксиды Zr и РЗЭ со струк-
PO3-, связанных вершинами с октаэдрами ZrO6, а
турой флюорита или пирохлора, алюминаты РЗЭ со
пустоты занимают крупные катионы Na+. Компо-
структурой граната и другие.
ненты ВАО могут входить в три позиции структу-
Одним из важных условий выбора матриц для
ры: щелочи, щелочные земли вместо натрия; РЗЭ
иммобилизации актинидов и продуктов деления
и актиниды - в позиции Zr, шестивалентный Мо
является удаленный способ их изготовления. Такие
замещает фосфор и т.д. Обычно имеется дополни-
производства потребуют «горячих» камер с защи-
тельная фаза - фосфат РЗЭ со структурой монаци-
той от γ-радиации продуктов деления и потоков
та. Коснарит KZr2(PO4)3 - это природный аналог
нейтронов от спонтанного деления актинидов. Для
матрицы NZP. Однако в отличие от других фаз (пи-
синтеза матриц актинидов и топлива для трансму-
рохлор, цирконолит, браннерит, монацит и др.) он
тации предлагаются сходные приемы получения,
не содержит радиоактивных элементов, таких как U
например, спеканием из прекурсора типа золь-гель
и Th [18, 96, 99]. Загрузка отходами керамик Синрок
[127, 128].
и NZP равна 20 мас%, для их получения предлага-
Фракционирование ВАО и захоронение наибо-
ется спекание шихты золь-гель под давлением. Ми-
лее опасных долгоживущих актинидов и продуктов
нералы как аналоги кристаллических фаз для им-
деления в компактной и емкой матрице позволит
мобилизации отходов охарактеризованы в большом
улучшить использование подземного пространства.
числе публикаций [18, 45-47, 53, 101-106]. Краткое
Это снизит потребность в сооружении новых хра-
описание некоторых из них (пирохлор, бритолит,
цирконолит) дано в разделе 3.
нилищ и приведет к экономии финансов и времени
на их поиск и сооружение. Внедрение новых опе-
Альтернативный способ снижения экологиче-
раций (и установок) фракционирования отходов в
ской опасности ВАО - это выделение малых ак-
процесс регенерации ОЯТ потребует затрат [86,
тинидов (и долгоживущих продуктов деления) для
90]. Необходим экономический анализ двух спосо-
перевода (трансмутации) в стабильные или корот-
бов: без фракционирования и с разделением ВАО
коживущие изотопы при облучении в реакторах на
на группы. Целью данной работы является рассмо-
тепловых и быстрых нейтронах или в ускорителях
трение возможности изоляции отходов в матрицах.
[4, 107-114 и др.]. Такой подход предложен для про-
Ниже обсуждаются способы фракционирования
екта «Прорыв» [90, 98, 115-117]. На Сибирском хи-
ВАО, перспективные для практической реализации.
мическом комбинате сооружается опытно-демон-
страционный энергетический комплекс с модулем
3. Перспективные технологии переработки
переработки ОЯТ и возможностью выделения и
ОЯТ. Повышение эффективности и безопасности
разделения Am и Cm. Однако практическому вне-
технологий завершающей стадии ядерной энерге-
дрению трансмутации малых актинидов (Am, Cm)
тики связано с модификацией ПУРЕКС и новыми
и долгоживущих продуктов деления (Cs, Tc) пре-
приемами обращения с жидкими ВАО [4, 8, 56, 60,
РАДИОХИМИЯ том 63 № 5 2021
410
ЮДИНЦЕВ
109, 113, 122, 128-130]. При экстракции в органиче-
[139-141]. Он делает возможным выделение групп:
скую фазу переходят: 99.9% изотопов U, 99.5% изо-
актиниды + РЗЭ + Sr и Cs; актиниды + РЗЭ и от-
топов Pu, 98% Np, 90% Th и до 70% 99Тс. Продукты
дельно Cs + Sr; Cs и отдельно Sr, актиниды + РЗЭ.
деления и коррозии, малые актиниды, а также сле-
Экстрагент UNEX-процесса извлекает Ba и Pb пол-
довые количества U и Pu остаются в высокоактив-
ностью, K, Mo, Zr и Fe - частично. При испытаниях
ном растворе. В перспективном ЗЯТЦ предлагается
на ПО «Маяк» с реальными жидкими ВАО удалось
выделять фракции: Cs и Sr; Np; редкоземельных
извлечь более 99% Am, Cs, Sr и РЗЭ [130, 142].
(РЗЭ) и трансплутониевых (ТПЭ) элементов; Тс,
Еще большей вариативностью обладает процесс
продуктов деления (Mo, Zr, платиноиды) и корро-
UREX, включающий несколько стадий экстракции
зии. Ряд технологий (TRUEX, DIAMEX, UREX,
[95, 137]: UREX (U, Tc); CCD-PEG (Cs, Sr); TRUEX
UNEX) уже обладает степенью зрелости [121, 122],
(продукты деления, кроме РЗЭ); TALSPEAK (раз-
необходимой для их внедрения в радиохимическом
деление трансурановых актинидов и РЗЭ). Он был
производстве.
разработан в Аргоннской национальной лаборато-
Выделенные фракции предлагается включать
рии США и также проверен на ВАО от переработки
в матрицы с высоким содержанием ВАО, что по-
ОЯТ реакторов LWR с выгоранием 20-65 ГВт·сут/т
зволит снизить объем отвержденных отходов, по
и выдержкой от 4 до 32 лет. UREX позволяет извлечь
сравнению со стеклами, и улучшить эффективность
~99% U, более 95% Tc и I, 97% Cs и Sr, более 99%
использования хранилища [94, 95]. Матрицы могут
Pu и Np с отделением их от малых актинидов (Am,
размещаться в хранилищах шахтного типа на глуби-
Cm) и продуктов деления. Его варианты различают-
нах 0.5-1 км или в сверхглубоких скважинах [131],
ся по числу и составу фракций (табл. 4) и зависят
интерес к которым сильно возрос в последние годы
от стратегии обращения с ВАО (с трансмутацией
[89, 132-136]. Скважинные хранилища оптималь-
актинидов или без). В Национальной лаборатории
ны для матриц с высоким тепловыделением (Cs и
Айдахо [86] проведены оценки способов иммоби-
Sr), с долгоживущими радионуклидами фракции
лизации без фракционирования (матрица - стекло)
РЗЭ-малых актинидов или продуктов деления (Тс).
или с разделением (табл. 5). Сравнивались объемы
Большое расстояние (3-5 км) до поверхности, низ-
отвержденных ВАО на тонну переработанного ОЯТ,
кая проницаемость пород, увеличение солености и
стоимость фракционирования и отверждения ВАО,
плотности вод с глубиной, восстановительная об-
число упаковок с отходами при переработке 800 т
становка и сорбция породами будут препятствовать
ОЯТ в год и общие затраты на обращение с ВАО.
миграции радионуклидов из хранилища в биосфе-
Главный разработчик методов фракциони-
ру. В мире имеется большой опыт бурения скважин
рования ВАО в России
- Радиевый институт
на глубины 5 км и более. Выбор мест для таких
им. В.Г. Хлопина [129, 143], а их проверка осущест-
хранилищ проще и займет меньшее время, чем для
вляется на ПО «Маяк» [144]. Единственная про-
хранилищ шахтного типа при гораздо меньшей сто-
мышленная установка УЭ-35 проработала с 1996
имости их сооружения и большем числе потенци-
по 2007 год [26, 130, 145, 146]. На ней переработано
альных участков.
свыше 1620 м3 жидких ВАО общей активностью
Методы фракционирования ВАО разработаны
55 млн. кюри: Cs и Sr извлекали хлорированным ди-
для кислых растворов процесса ПУРЕКС с высо-
карболлидом кобальта (ХДК), РЗЭ и ТПЭ осаждали
ким солесодержанием [26, 137, 138]. Цель опреде-
в виде оксалатов с выделением до 90% α-излучате-
лей и 80% РЗЭ. Концентраты 90Sr и 137Cs включали
ляет тип экстрагента: для извлечения Cs и Sr рас-
в стекло активностью 32 Ки/л, что несколько выше
сматриваются процессы CSEX, SREX и DDC; для
фракции РЗЭ + ТПЭ - методы TRUEX, TRPO или
обычных значений 16-20 Ки/л. Стоимость перера-
DIAMEX; метод GANEX обеспечивает группо-
ботки ВАО при этом выросла на 5%, но издержки
по остекловыванию снизились на 60%.
вое извлечение актинидов; а UNEX - экстракцию
фракций Cs + Sr и РЗЭ + ТПЭ с последующим их
Наряду с технологией на основе ХДК специали-
разделением на группы. Процесс UNEX разрабо-
сты ВНИИХТ и ПО «Маяк» изучали фракциониро-
тан совместно в Радиевом институте им. В.Г. Хло-
вание ВАО с использованием краун-эфиров [130,
пина и Национальной лаборатории Айдахо (США)
145]. В конце 1980-х гг. в ходе опытно-промышлен-
РАДИОХИМИЯ том 63 № 5 2021
ИЗОЛЯЦИЯ ФР
АКЦИОНИРОВАННЫХ ОТХОДОВ
411
Таблица 4. Продукты, образующиеся в разных вариантах процесса UREX [95, 137]
Номер фракции
Вариант
1
2
3
4
5
6
7
UREX + 1
U
Tc, I
Cs/Sr
TRUб + Lnв
FPa
-
-
UREX + 1a
U
Tc, I
Cs/Sr
TRU
FP + Ln
-
-
UREX + 2
U
Tc, I
Cs/Sr
Pu + Np
Am + Cm + Ln
FP
-
UREX + 3
U
Tc, I
Cs/Sr
Pu + Np
Am + Cm
FP + Ln
-
UREX + 4
U
Tc, I
Cs/Sr
Pu + Np
Am
Cm
FP + Ln
aFP - продукты деления, в основном переходные металлы (Zr, Mo и платиноиды);
бTRU - трансурановые актиниды (Np, Pu, Am, Cm);
вLn - редкоземельные продукты деления (лантаниды).
Таблица 5. Фракции процесса UREX и матрицы, предлагаемые для их иммобилизации
Фракция ВАО
Состав и происхождение ВАО
Предлагаемая матрица
Нерастворимые
Металлы (платиноиды, Zr, Мо, Тс) и часть
Сплав c Tc и, возможно, с переходными
остатки (UDS)
трансурановых элементов (TRU)
металлами
Tc
Ионообменные операции и восстановление Тс до
Сплав с UDS и переходными металлами
металла
Cs/Sr фракция
Выделение Cs, Sr, Ba и Rb
Стекло или керамика
TMFP - переходные
Fe, Ru, Pd, Rh, Zr, Mo после стадии TRUEX и
Сплав с Tc и UDS, либо Na-B-Si стекло
металлы
выделения Ln и TRU (MA)
с Ln и Cs/Sr
Лантаниды (Ln)
95% (La, Ce, Nd, Sm) и 5% Y после выделения
Na-B-Si стекло с фракциями Cs/Sr и
фракции МА (TALSPEAK)
TMFP или без них
ной проверки этой технологии переработано 106 м3
ческого внедрения технологии фракционирования
ВАО и выделено 1.5 млн. кюри 90Sr. В 1990-х гг.
ВАО и их иммобилизации. Конкретный тип матри-
предложена схема извлечения Sr и Cs, ее испытания
цы отходов выбирают с учетом состава фракции и
на ПО «Маяк» показали возможность перехода в
данных по минералам - аналогам. Для включения
органическую фазу более 98% этих радионуклидов.
актинидов предложены бритолит, пирохлор, цир-
Зрелость технологии выражается уровнем готов-
конолит, муратаит, браннерит, перовскит, монацит,
ности (УТГ или TRL). Значение TRL меняется от 1
а для цезия и стронция - поллуцит, голландит, пе-
(идея) до 9 (технология или материал уже исполь-
ровскит, фосфаты со структурой лангбейнита. При
зуются в реальном производстве). Производствен-
сложном составе ВАО (комбинация нескольких
ная ее готовность (MRL) варьируется от концепции
фракций) перспективны стеклокерамики с теми же
(уровень 1) до полномасштабного применения (уро-
минералоподобными фазами. Технеций, Mo, Zr,
вень 10). Ряд способов фракционирования имеют
платиноиды и не растворившиеся в азотной кисло-
УТГ, равный 7 [121, 122]. Их внедрение позволит
те остатки оболочек твэлов могут быть включены
выделять фракции радионуклидов для отверждения
в сплавы на основе Fe [147]. Общее их содержание
в специальные высокоустойчивые и компактные
равно 43 кг на т ОЯТ (табл. 6), в том числе: 10 кг -
матрицы. В итоге класс оставшейся части отходов
нерастворившиеся остатки (№ 1), 0.9 кг 99Тс (№ 2),
понизится до значения у САО и НАО, что упростит
32.5 кг - переходные 4d-металлы (№ 3). В остатках
и удешевит процесс их захоронения.
переработки MOX топлива БН-600 с выгоранием
Фракционирование ВАО изучается в США, Япо-
73-89 ГВт сут/т U (выдержка 17-21 год) активность
нии, Франции, Германии, Китае и многих других
задают 137Сs, 106Ru и 125Sb [117], основные эле-
странах. Предложены приемы выделения фракций
менты представлены (мас%, без C и SiO2) Fe (27),
малых актинидов, I, Tc, платиноидов, Sr и Cs. Соз-
Cr (12), Ru (20), Rh (9), Pd (8), Mg (7), Al (6), Zr (3),
даны научно-технические предпосылки для практи-
B (3) и Ni (2).
РАДИОХИМИЯ том 63 № 5 2021
412
ЮДИНЦЕВ
Таблица 6. Масса (№№ 1-4, кг/т ОЯТ) и состав фракции (№ 5, мас%) переходных металлов от переработки 1 т ОЯТ,
выгорание 51 ГВт сут/т, после 20 лет хранения, данные работы [147]а
S
Fe
Se
Rb
Zr
Mo
Tc
Ru
Rh
Pd
Ag
Cd
Sn
Sb
Te
1
-
-
0.05
0.11
1.86
4.75
0.27
1.64
0.24
0.68
0.05
0.05
-
-
0.17
2
-
-
-
-
-
-
0.88
-
-
-
-
-
-
-
-
3
13.5
23.5
0.04
-
3.78
0.36
-
1.85
0.37
1.67
0.06
0.15
0.14
0.03
0.58
4
-
23.5
0.09
0.11
5.64
5.11
1.15
3.49
0.61
2.35
0.11
0.20
0.14
0.03
0.75
5
-
54.3
0.2
0.3
13.0
11.8
2.7
8.1
1.4
5.4
0.3
0.5
0.3
0.1
1.7
а1 - шлам; 2 - 99Тс; 3 - все металлы; 4 - общая масса частей 1-3, кг/т ОЯТ; 5 - состав, мас%.
Таким образом, задача обращения с высокоак-
почти 30-летнюю историю исследований в области
тивными отходами ядерной энергетики может ре-
фракционирования и трансмутации радионуклидов,
шаться двояким образом: (1) включение ВАО в об-
все еще не выполнено. Поэтому переход к трансму-
щую матрицу, стекло или керамику; (2) выделение
тации малых актинидов (Am, Cm) отодвигается на
фракций элементов с разными свойствами и раз-
неопределенное время.
дельное отверждение в матрицы, либо облучение
Сказанное выше доказывает возможность сепа-
актинидов и продуктов деления для их превраще-
рации жидких ВАО переработки ОЯТ на группы
ния в короткоживущие и стабильные изотопы. Наи-
элементов для их последующей раздельной иммо-
более важными радионуклидами для трансмутации
билизации. Для этих фракций можно подобрать
считаются малые актиниды (Am) и долгоживущие
оптимальные консервирующие матрицы, в которых
продукты деления (I, Tc, 135Cs), мобильные в геос-
носителями радионуклидов и сопутствующих эле-
фере. РЗЭ являются поглотителями нейтронов, и их
ментов служат различные минералоподобные кри-
присутствие затрудняет трансмутацию актинидов.
сталлические фазы.
Доля РЗЭ в ОЯТ и ВАО в десятки раз выше, чем ма-
Минералоподобные матрицы для иммобили-
лых актинидов. Свойства трехвалентных актинидов
зации радионуклидов. Большое внимание в мире
(Am, Cm) и лантанидов (La, Ce, Nd, Sm, Eu) близки,
уделяется модернизации существующих стеклома-
что осложняет их разделение. Уровень готовности
триц, а также поиску новых типов матриц, напри-
процесса разделения жидких ВАО на группы оце-
мер, для фракций ВАО. Для улучшения свойств
ниваются значением 7 [120-122]. Это означает, что
Al-Р стекол предложено добавлять Fe, B или крем-
данная технология уже испытана в реальных усло-
ний. В качестве альтернативы рассматриваются же-
виях эксплуатации. Подходы к обращению с ВАО
лезо-фосфатные стекла с высокой термической и
и основные факторы, определяющие выбор опти-
коррозионной стойкостью. На замену B-Si стеклам
мальной технологии, показаны на рис. 2.
предлагаются стеклокерамические и кристалличе-
Готовность технологии трансмутации малых
ские матрицы. Наиболее известны из них материа-
актинидов пока еще находится на ранней стадии
лы на основе фазы NZP - NaZr2(PO4)3 - и керамика
разработки, значение TRL равно 3-4 [118-120].
Синрок из минералоподобных титанатов. Резуль-
Ее практическое использование требует проведе-
таты изучения матриц Синрок обобщены в статьях
ния длительных дорогостоящих исследований для
[63, 64, 131, 149, 150 и др.]. В последней работе
создания топлива и сооружения установок. Необ-
показана возможность использования Синрок для
ходимость трансмутации актинидов и продуктов
иммобилизации отходов от переработки ОЯТ с це-
деления признают не все исследователи. Даже во
лью извлечения 99Мо. Такой завод уже сооружается
Франции с развитой радиохимической индустрией
в Австралии, он станет первым в мире крупномас-
штабным производством кристаллических матриц
и многолетним опытом переработки ОЯТ и обраще-
ния с жидкими ВАО предполагалось, что трансму-
РАО.
тация малых актинидов начнется не ранее 2035 г.
Принципы систематизации матричных материа-
при условии, что их станут извлекать из ВАО в
лов сведены в табл. 7. В основе лежат различные
2020 г. [148]. Второе из этих условий, несмотря на
критерии, в том числе предназначение (цель или
РАДИОХИМИЯ том 63 № 5 2021
ИЗОЛЯЦИЯ ФР
АКЦИОНИРОВАННЫХ ОТХОДОВ
413
Исходное ядерное топливо
Тип реактора, энергия нейронов
Глубина выгорания
Облученное ядерное топливо (ОЯТ)
Выдержка ОЯТ от года до 30 лет для
Технология переработки ОЯТ:
снижения тепловыделения и распада
водно-экстракционная, «сухая» или
короткоживущих актинидов и ПД
гибридная (пиро-гидрохимическая)
Высокорадиоактивные отходы (ВАО)
Способы обращения с ВАО переработки ОЯТ, в том числе с фракциями радионуклидов
Кондиционирование (добавка компонентов)
Трансмутация МАа и ПДб
для изготовления стеклообразной, стеклокри-
в реакторах на быстрых
сталической, кристалической матрицы
или тепловых нейронах
Выбор оптимальной технологии (спекание,
плавление) и режимов изготовления матрицы
Захоронение отвержденных ВАО в шахтном
(0.5-1 км)/ скважинном (3-5 км) хранилище
в зависимости от тепловыделения и состава
аМА - малые актиниды (Np, Am);
(с предварительным хранением или без него)
бПД - долгоживущие продукты деления (Tc, I).
Рис. 2. Блок-схема основных факторов, определяющих выбор способов обращения с ВАО.
тип отходов), фазовый и химический состав ма-
рассчитанные на все элементы ВАО (стекло, Син-
трицы и способ ее изготовления. Еще один способ
рок, NZP); специализированные (керамики на ос-
классификации - это разделение на монофазные
нове пирохлора, цирконолита и муратаита, стекло-
и полифазные материалы. К первым относятся
керамики, сплавы) для иммобилизации одной или
стеклообразные матрицы, а также кристаллическая
нескольких фракций ВАО; селективные - только
матрица NZP со структурой коснарита. В полифаз-
для одного элемента, например, поллуцит для це-
ных матрицах, например, керамиках Синрок, име-
зия или циркон для плутония и т.д. Универсальной
ется несколько фаз для включения определенных
кристаллическую матрицу делает наличие несколь-
элементов ВАО или их групп. К полифазным ма-
ких фаз либо, в случае одной фазы, присутствие не-
трицам относятся стеклокерамики, сложенные сте-
скольких позиций в ее структуре, подходящих для
клом и одной или несколькими кристаллическими
заполнения ионами разного заряда и размера. Так,
фазами. Можно выделить универсальные матрицы,
в пирохлор с формулой VIIIА2VIВ2О7 в позиции [А]
РАДИОХИМИЯ том 63 № 5 2021
414
ЮДИНЦЕВ
Таблица 7. Принципы классификации матричных материалов для изоляции ВАО
Фазовое строение
Состав
Тип отходов
Способ получения
Стеклообразные,
Фосфатные,
Жидкие ВАО, фракции: Cs-Sr, РЗЭ,
Спекание, горячее прессование,
стеклокерамики,
силикатные,
актиниды, переходные 4d-металлы
плавление (электрические печи,
кристаллические,
титанатные,
(Tc, Zr, Mo, Ru, Rh, Pd) и др.
ИПХТ), СВЧ, СВС, ВЭИС и др.
керметные, моно- и
цирконатные,
полифазные и др.
смешанные
входят крупные катионы Sr, Ba, РЗЭ и актинидов,
Sr, I и ряда других элементов, имеющихся в ОЯТ и
а места [В] способны занимать четырехзарядные
ВАО (табл. 1-3).
катионы Zr, Mo, Sn, Tc, Ru и Rh. В структуре фазы
Круг возможных матриц не ограничивается
NZP имеются три разные позиции, способные при-
только теми, что имеют минералы-аналоги. При
нять еще большее число элементов отходов.
лабораторных исследованиях выявлены перспек-
Возможность безопасного захоронения радиоак-
тивные для иммобилизации радионуклидов фазы:
фосфат-дифосфат тория (Th4(PO4)4P2O7), титанат
тивных отходов обосновывается рядом аргументов.
К числу наиболее убедительных относится факт
неодима (Nd4Ti9O24), для которых нет аналогов по
составу и структуре в природе. Неодим (Nd3+) -
низкой миграциия актинидов (U) и продуктов деле-
кристаллохимический близнец Am3+ и Cm3+, он
ния в породах вокруг природного ядерного реакто-
используется как имитатор малых актинидов или
ра Окло в Габоне (Африка) с возрастом 2 млрд. лет
РЗЭ-актинидной фракции [166-168]. Наряду с этим
[151, 152]. Другое доказательство - это закрытость
Nd - самый распространенный продукт деления в
изотопных систем (U, Th)-минералов (монацит,
ОЯТ и ВАО [3, 56], на него приходится до 40% всего
цирконолит) в течение сотен миллионов лет [153,
количества РЗЭ (табл. 1). Поэтому разнообразие ма-
154]. Наличие условий для консервации радиоизо-
триц фракции РЗЭ и малых актинидов можно пока-
топов доказывают месторождения урана с возрас-
зать на примере неодима. Наряду с Nd3+ в позиции
том 2 млрд. лет и более [152, 155, 156]. При изме-
решетки таких фаз входят все элементы фракции
нении минералов U, Th и другие элементы (Nb, Ti,
РЗЭ [167] и трехвалентные актиниды, например,
Pb, РЗЭ) осаждаются тут же в виде новообразован-
Am3+ [169]. Можно выделить ряд соединений по их
ных фаз [157, 158]. Наличие устойчивых минералов
близости к минералам: (Ca, Nd)10(SiO4)6O2 (струк-
радионуклидов и их имитаторов облегчает поиск
тура апатита, аналог - бритолит); Nd2Zr2O7 (минера-
матриц отходов [18, 43, 45-51, 63, 131, 149, 153,
лов нет, но структура характерна для бетафита - бо-
159-161], способных удерживать радионуклиды на
гатого ураном минерала супергруппы пирохлора);
все время их экологической опасности.
Nd2Ti2O7 (минерал отсутствует, но в структуре есть
Принципы выбора минералоподобных фаз
блоки перовскитового типа); Nd4Ti9O24 (в природе
для иммобилизации ВАО. Самый первый пример
нет минералов такого состава и структуры). Описа-
применения природных материалов для изоляции
ние этих фаз и предельное содержание в них имита-
жидких ВАО - это сорбция радионуклидов глинами
тора отходов (Nd) дано в табл. 8.
и спекание [162]. За прошедшее время появилось
Случаи полного совпадения состава и струк-
огромное количество данных по этой проблеме. Во
туры фаз матриц и минерала редки (табл. 8-9):
многих работах даются перечни потенциальных ма-
(Ca,Nd,U,Th)10(SiO4)6O2
- бритолит, (Ca,REE)
триц радионуклидов. В основе их классификации
(Zr,U,Th)(Ti,Al,Fe)2O7
- цирконолит, (U,REE)
(табл. 8) лежат данные по составу, типу структуры,
Ti2O6 - браннерит, (Ca,REE,U,Th)PO4 - монацит.
возможности включения конкретной фракции или
Более типична ситуация одинаковой структуры
радиоизотопа [4, 18, 42, 43, 47, 51, 54, 97, 100-106,
при разном составе. В этом случае фаза матриц
163-165 и др.]. Поиску матриц способствует нали-
называется, как и минерал - термин «пирохлор»
чие устойчивых минералов, включая радиоактив-
используется для титанатов и цирконатов РЗЭ и
ные, в различных геологических обстановках. Глав-
актинидов; «лангбейнит» (минерал имеет состав
ный интерес вызывают минералы U, Th, РЗЭ, Cs,
K2Mg2(SO4)3) - для фосфатов элементов групп I-
РАДИОХИМИЯ том 63 № 5 2021
ИЗОЛЯЦИЯ ФР
АКЦИОНИРОВАННЫХ ОТХОДОВ
415
Таблица 8. Потенциальные фазы для иммобилизации РЗЭ-актинидной фракции [167]
Формула соединения
Пространственная группа и число молекул (Z)
Cодержание Nd2O3,
(близкий природный аналог)
в элементарной ячейке
мас%
Ca2Nd8(SiO4)6O2 (бритолит)
P63/m, Z = 2
73
Nd2Zr1.5Ti0.5O7 (пирохлор)
Fd-3m, Z = 8
59
Nd2ZrTiO7 (пирохлор)
Fd-3m, Z = 8
62
Ca0.5Nd0.5ZrTi1.5Al0.5O7 (цирконолит-2М,
C2/c или Cc, Z = 8 (моноклинный, -2М)
22
3О или 3Т)
Acam, Z = 8 (ромбический, -3О)
Nd2Ti2O7 (нет)
P1121, Z = 8
67
Nd4Ti9O24 (нет)
Fddd, Z = 16
48
Таблица 9. Классификация искусственных матричных фаз актинидов по степени близости к составу и структуре
природных минералов [163, 164 с дополнениями]
Существуют минералы - полные аналоги по
Бритолит, цирконолит, браннерит, перовскит, монацит, поллуцит,
составу и структуре
эльбрусит (ферригранат)
Имеются изоструктурные минералы близкого
Тажеранит, NZP (Na-коснарит), пирохлор, кимцеит (гранат),
состава
прайдерит (голландит), керамикрит (K-струвит)
Одинаковая структура минерала и матричной
РЗЭ-алюминатный гранат, цирконатный пирохлор, лангбейнит,
фазы, но состав разный
муратаит 3Са
Природные аналоги неизвестны
Муратаиты 5С и 8Са, Th4(PO4)4P2O7, Nd4Ti9O24
а Структурные разновидности искусственного муратаита с разным параметром элементарной ячейки.
II, РЗЭ и актинидов; «голландит» - для титаната
фаты со структурами струвита, лангбейнита или
Cs, Ba и Sr в Синрок (минерал прайдерит имеет
поллуцита [96, 100]; титанаты муратаитового типа
состав (K,Ba)(Ti,Fe,Mg)8(O,OH)16); «струвит» или
[168, 169]; цирконат РЗЭ со структурой пирохло-
«K-струвит» (минерал состава NH4Mg(PO4)·6H2O),
ра. В этом случае составы минералов и изострук-
применяется для водного Mg-K-фосфата, извест-
турных искусственных фаз различаются, и иногда
ного как керамикрит [170]. В дальнейшем в статье
значительно. Так, если для минералов коснарита
такие минералоподобные матричные фазы для кра-
и струвита отличие от матриц (NZP и керамикрит)
ткости будут называться по минералам - их струк-
проявлено всего по одному элементу, то фосфаты со
турным аналогам.
структурой лангбейнита и поллуцита существенно
отличаются от минералов (сульфат и силикат), по
Существует два способа поиска минералопо-
которым они названы. Для них не выявлено полных
добных матриц радионуклидов. Первый из них ис-
структурно-химических минералов-аналогов и не-
пользуется специалистами в области минералогии
известно, имеются ли они в природе вообще. Ред-
и геохимии, он основан на изучении природных
кий случай, когда сначала получена искусственная
минералов, в первую очередь радиоактивных [45,
фаза - Ca-U-Fe гранат [164, 175] - и лишь затем
46, 102-106, 131]. В результате такого подхода по-
обнаружен ее полный природный аналог - минерал
явилась группа материалов Синрок. В этом случае
эльбрусит [176].
наблюдается наибольшее сходство состава меж-
ду минералами и искусственными фазами матриц.
В литературе допускаются неточные названия
Второй прием - обратный первому, его применяют
искусственных фаз по имени природного минерала.
радиохимики: сначала синтезируют и исследуют
Оксиды Zr, РЗЭ и актинидов (U, Th, Pu) иногда на-
матричные фазы, а затем ищут минералы с ана-
зывают флюоритом (минерал CaF2), «лангбейнит»
логичной структурой [47, 171-173]. Примерами
используется для фосфатов при том, что минерал -
служат керамика NZP (Na-коснарит), созданная в
сульфат K2Mg2(SO4), апатитом (оксиапатитом) на-
начале 1970-х гг., ее природный аналог - минерал
зывают силикатную фазу, которая является анало-
коснарит, найден почти на 20 лет позднее; фос-
гом минерала бритолита и т.д. Таким образом, речь
РАДИОХИМИЯ том 63 № 5 2021
416
ЮДИНЦЕВ
идет о структурной аналогии природных и искус-
ции (КЧ = 6), а X и Y - анионы O2-, F-, OH-. Клас-
ственных фаз при различной степени сходства их
сификация минералов супергруппы основана на
состава, которого может и не быть вовсе. Далее для
составе катионов в позиции VI[B]: Nb5+, Ta5+, Sb5+,
фаз матриц будем использовать название минерала,
Ti4+ или W6+, в меньших количествах содержатся
имея в виду только структурную аналогию.
V5+, Sn4+, Zr4+, Hf 4+. Октаэдры ВX6, соединяясь ре-
При поиске матричных фаз отходов используют-
брами, формируют трехмерный каркас, его полости
ся данные о наличии в минералах высоких концен-
занимают катионы [А] (КЧ = 8), либо они остаются
траций элементов, как радиоактивных (U, Th), так
вакантными. В позиции [A] входят Na, Ca, Sr, Mn,
и стабильных (Cs, Sr, РЗЭ, Mo, Zr и т.д.). Известно
Ba, Fe2+, Pb2+, Sn2+, Sb3+, РЗЭ, Sc, Bi3+, U, Th и другие
22 минерала для Th, столько же для Cs, 23 для Nd,
крупные катионы. Пирохлор обладает кубической
24 для I, 135 для Ce и 242 для U [177]. На число ми-
симметрией (пространственная группа Fd3m, Z = 8,
нералов элемента влияет распространенность, хотя
размер ячейки 0.9-1.2 нм). Его решетка представля-
и нелинейно. Так, значительное увеличение числа
ет анионно-дефицитную производную от структу-
минералов для гетеровалентных катионовU и Ce по
ры флюорита и характерна для фаз состава АХ2, у
сравнению с гомовалентными Th и РЗЭ, например
которых удалена восьмая часть анионов (Х) и име-
Nd3+, обусловлено несколькими степенями окисле-
ется две позиции катионов с КЧ = VIII (А) и VI (В).
ния: U(IV, V, VI) и Ce(III, IV).
Число фаз со структурой пирохлора в зависимости
Минералоподобные фазы для иммобилиза-
от типа катионов в позициях A и B приближается к
ции актинидов и РЗЭ-актинидной фракции. Для
500. Среди них имеются матрицы актинидов, твер-
поиска матриц радионуклидов интересны минера-
дотельные электролиты, жаростойкие покрытия и
лы переменного состава одного структурного типа.
другие материалы. Для сохранности структуры со-
Гибкость (толерантность) структуры обеспечивает
отношение радиусов катионов (r[A]/r[B]) должно на-
изоморфное вхождение более широкого круга эле-
ходиться в диапазоне от 1.46 до 1.78 [55, 184]. При
ментов. Иерархия минералов основана на их объе-
меньших значениях стабильна решетка флюорито-
динении в группы и супергруппы с учетом особен-
вого типа, а при больших - моноклинная структура
ностей структуры и состава [177, 178]. Основным
перовскита (пространственная группа P21), как у
таксоном служит супергруппа, которую составляют
титанатов крупных РЗЭ (La, Ce, Nd) гомологиче-
минералы разного состава с аналогичной структу-
ской серии AnBnO3n+2, n = 4.
рой. В свою очередь супергруппа состоит из групп
Другим примером связи состава и структуры
минералов сходного состава. Так, в супергруппе
являются фазы состава AXO4 [185]. Так, фосфаты
пирохлора имеется 7 групп, апатита - 5, голланди-
крупных цериевых РЗЭ (A = REE3+, X = P5+) имеют
та - 2 и так далее. Группы могут включать подгруп-
моноклинную структуру монацита, а фазы мелких
пы (группа перовскита) или состоять из отдельных
катионов группы иттрия - тетрагональную структу-
минеральных видов (минералов). Муратаит и цир-
ру, как у циркона. Кристаллохимические требова-
конолит не входят ни в одну из групп, это самосто-
ятельные минералы. С учетом составов фракций
ния сохранности структуры (отношение радиусов
ВАО для изоляции актинидов перспективны мине-
катионов в разных позициях) имеются и для других
ралы супергрупп пирохлора, апатита, перовскита,
фаз. Изменение состава граната ведет к искажению
граната [179-182], а также монацит, цирконолит,
и снижению симметрии структуры с кубической до
браннерит, подробные сведения о которых содер-
тетрагональной, а также с кубической (SrTiO3) до
жатся в базе www.mindat.org Института минерало-
тетрагональной (PbTiO3) и ромбической (CaTiO3,
гии Хадсона [183].
CaSnO3) у минералов супергруппы перовскита с
В качестве примера приведем супергруппу пи-
формулой XIIАVIВО3. Эта структура стабильна при
рохлора, состоящей из 7 групп, в том числе 5 групп
0.89 ≤ rA/rО ≤ 1.06, причем в случае близких ради-
оксидов: пирохлора, микролита, бетафита, роме-
усах О2- и катиона в позиции [А] наблюдается ку-
ита и эльсмореита стехиометрии A2-mB2X6-wY1-n,
бическая решетка фаз, в случае rA/rО2- <1 устойчи-
VIII[A] - катионы с координационным числом (КЧ),
вы соединения с тетрагональной или ромбической
равным 8, VI[B] - катионы в октаэдрической пози-
симметрией.
РАДИОХИМИЯ том 63 № 5 2021
ИЗОЛЯЦИЯ ФР
АКЦИОНИРОВАННЫХ ОТХОДОВ
417
Изменение состава при изоморфизме иногда со-
Cl- [180]. Из них для иммобилизации радионукли-
храняет симметрию фазы, но при этом появляются
дов главный интерес представляют фосфаты и си-
политипы с разным размером ячейки, например, му-
ликаты. Хорошо изучены в качестве потенциальных
ратаиты 3С, 5С и 8С, где число указывает на крат-
фаз радионуклидов такие минералы, как: цирконо-
ность параметра ячейки, а буква - на кубическую
лит, пирохлор, бритолит, браннерит, перовскит, мо-
симметрию решетки. В отличие от муратаита фазы
нацит, голландит [46, 75, 101-106]. Их аналоги в
(политипы) цирконолита с формулой CaZrTi2O7
матрицах радионуклидов уже через сотни-первые
обладают разной симметрией [186]: моноклинной
тысячи лет будут аморфизованы из-за распада акти-
(2М) и (4М), ромбической (3О) или тригональной
нидов [53]. Одно из исключений - монацит, сохра-
(3Т). Цирконолит, муратаит, а также пирохлор об-
няющий структуру даже при очень высоких дозах
ладают структурами, производными от решетки
облучения из-за распада урана и тория [101, 185].
флюоритового типа. Это объясняет частое обраста-
Тем не менее, данные лабораторных тестов и изу-
ние зерен цирконолита (рис. 3) и пирохлора мурата-
чение природных минералов показывают, что и по-
итом при их совместном нахождении в одном и том
сле аморфизации эти материалы более устойчивы к
же образце плавленой матрицы.
выщелачиванию, чем стекломатрицы. Повышение
С ростом концентрации РЗЭ3+ (имитаторы Am3+
температуры гораздо слабее влияет на их свойства
и Cm3+) и четырехвалентных Се, U, Pu происходит
по сравнению со стеклами, в частности на раство-
усложнение структуры цирконолита и муратаита с
римость в нагретых водах [18, 131]. Нагревание
переходом от цирконолита 2М к фазам 3О, 3Т и 4М
замедляет аморфизацию [53, 55, 101, 160], и выше
[186-190] и смена муратаита 3С на разновидности
некоторой температуры начинается восстановление
8С и 5С [159, 163, 164, 191]. Содержание актинидов
радиационных дефектов. Это позволяет включать
и РЗЭ - один из критериев выбора матриц, и такие
в них большее количество радионуклидов. Срав-
модификации фаз для этого наиболее интересны.
нение свойств кристаллических и стеклообразных
Цирконолит [192] и муратаит [174] не образуют
матриц актинидов позволило сделать однозначный
групп, а представлены собственно минералами.
выбор в пользу первых [52, 54, 131]. Как уже отме-
Это, вероятно, связано с узкими вариациями их со-
чалось, потенциальные фазы для иммобилизации
става, что ограничивает число таких фаз в природе.
актинидов не ограничиваются теми, у которых име-
При обнаружении новых минералов со структурой
ются природные аналоги. Это могут быть искус-
цирконолита [193, 194] или муратаита могут также
ственные фазы, у которых нет минералов-аналогов,
появиться группы цирконолита и муратаита.
например, цирконат РЗЭ со стуктурой пирохлора,
разновидности муратаита 5С и 8С (рис. 4), фос-
В качестве пирохлоровых матриц актинидов
фат-дифосфат тория и т.д.
предпочтительны минералы группы бетафита с
наиболее высокими содержаниями урана и титана
Минералоподобные матрицы продуктов де-
[46, 104, 175, 179]. В позиции В структуры вместо
ления (Cs, Sr, Tc, I). Выше упоминались фазы Cs
Nb и Ta входят катионы Ti, а для электронейтраль-
и Sr со структурами голландита, перовскита, пол-
ности катионы Na и Ca в позициях А замещаются
луцита и коснарита. Эти искусственные соедине-
на РЗЭ и актиниды (U, Th). Свойства пирохлоро-
ния аналогичны минералам по структуре и близки
вых матриц ВАО рассмотрены в обзорах [55, 161,
к ним по составу. Примером фаз для изоляции ще-
163, 175]. Они устойчивы к выщелачиванию, что
лочных и щелочноземельных металлов (Cs, Sr, Ba)
делает их кандидатами для изоляции актинидов.
служат члены супергруппы голландита с формулой:
Потенциальными матрицами актинидов служат
A+/2+[M4+6M3+2]O16, где A2+ = Pb, Ba, Sr; A+ = K, Na;
искусственные аналоги минерала бритолит супер-
M4+ = Mn, Ti; M3+ = Mn, Fe, Cr, V. В нее входят
группы апатита. Она состоит из 5 групп: фосфаты,
оксиды Mn (минералы группы коронадита) и Ti
силикаты, арсенаты, ванадаты, сульфаты с форму-
(прайдерита) тетрагональной и псевдотетрагональ-
лой IXM12VIIM23(IVTO4)3X (Z = 2, пространственная
ной сингонии [195]. Только последние рассматри-
группа P63/m), где [M1] и [M2] = Ca2+, Pb2+, Ba2+,
ваются как фазы для включения Cs и Sr [131, 149].
Sr2+, Mn2+, Na+, Ce3+, La3+, Y3+, Bi3+, Ce4+, Th4+, U4+;
Для иммобилизации Cs и Sr изучаются искусствен-
[T] = P5+, As5+, V5+, Si4+, S6+, B3+; [X] = О2-, F-, OH-,
ные силикотитанаты состава Na2Ti2O3SiO4·H2O,
РАДИОХИМИЯ том 63 № 5 2021
418
ЮДИНЦЕВ
2
1
1
4
3
2
2
3
4
4
Рис. 3. СЭМ-ЭДС-изображение керамики Синрок с модельными отходами ПО «Маяк». 1 - голландит, 2 - цирконолит, 3 -
рутил или стекло, 4 - зональные кристаллы муратаита, нарастающие на цирконолит. Образец получен методом ИПХТ в
МосНПО «Радон» [159]. Масштабные метки равны 20 и 10 микрон.
их структуру образуют октаэдры TiO6 и тетраэдры
иммобилизации радионуклидов с высокой летуче-
SiO4, а крупные пустоты заняты ионами Na+, Cs+,
стью, например, Cs. Для их получения подбирают
Sr2+, ОН- и молекулами воды [196]. Это особый
оптимальный режим нагревания однородного стек-
класс каркасных цеолитоподобных соединений с
ла до температур максимальной скорости нуклеа-
меньшей близостью к минералам. Поиск матриц
ции с последующей обработкой для роста зерен. На-
щелочных и щелочноземельных элементов продол-
грев способствует кристаллизации из-за снижения
жается, в частности, для цезия предложено соеди-
вязкости стекла и увеличения скорости диффузии
нение Cs2TiNb6O18 со структурой пирохлора [197].
элементов [9, 204]. По данным термического ана-
лиза [212], это происходит при нагреве 5°С/мин до
В качестве матриц 99Tc и 129I предложены фазы
значений на 100–150°С выше значения Tg. С учетом
со структурами канкринита и содалита [198, 199].
величины Tg у Al-P (400°С) и B-Si (550°С) стекол
Канкринит, (Na,Ca)8(Al6Si6O24)(CO3,SO4)2·2H2O и
оптимальные параметры термообработки для по-
содалит, Na4(Si3Al3)O12Cl - это минералы группы
лучения таких стеклокерамик составляют 500-550
фельдшпатоидов, в их структуре имеются полости,
и 650-700°С. Преимущества стеклокерамик перед
в которые входят анионы технеция и иода. Для 129I
стеклами заключаются в более высоком содержании
рассматриваются фазы со структурой апатита и ряд
элементов ВАО и теплостойкости. Наиболее опас-
других [200], а для технеция в силу сходных ион-
ные радионуклиды (актиниды) входят в устойчивые
ных радиусов Тс4+ и Ti4+ пригодны также титанаты
к коррозии фазы, а короткоживущие радионуклиды
со структурой цирконолита, ульвошпинели, перов-
(Cs, Sr) и другие элементы отходов (Rb, Ba, Mo, Zr,
скита, рутила и пирохлора [201-203].
Fe, Mn) - в стекло. Для их получения используют
Стеклокерамические матрицы фракций ВАО
те же плавильные технологии, как и для стекла, с
с минералоподобными фазами. Для отходов более
последующим контролируемым охлаждением осте-
сложного состава (комбинация нескольких фрак-
клованных ВАО. В итоге образуются матрицы, в
ций) перспективны стеклокерамики, содержащие
которых радионуклиды заключены в кристалличе-
минералоподобные фазы и стекло [18-21, 204].
ских фазах с очень низкой скоростью выщелачива-
Обычные для них кристаллические фазы - это цир-
ния при контакте с подземными водами. Еще одно
конолит, пирохлор, браннерит, бритолит в боросили-
их преимущество над стеклами - более высокая те-
катных матрицах [167, 205-209], монацит [210, 211]
плопроводность, что способствует отводу тепла из
или фосфат со структурой коснарита (NZP фаза) - в
блока матрицы и рассеиванию в окружающей сре-
фосфатных стеклокерамиках. Стеклокерамики по-
де. В интервале 100-500°C теплопроводность раз-
лучают (рис. 1) закалкой и контролируемым охлаж-
личных матриц составляет, Вт/(м·K): 0.8-1.2 у алю-
дением стекла или спеканием смеси стеклообразу-
мофосфатного стекла, 0.9-1.3 для боросиликатного
ющих добавок и кальцината ВАО в субсолидусных
стекла, 1.5-2.0 у боросиликатных стеклокерамик и
условиях. Второй процесс протекает при меньших
от 2.0 до 4.5 для титанатных фаз и кристаллических
температурах и представляет большой интерес для
матриц Синрок в целом.
РАДИОХИМИЯ том 63 № 5 2021
ИЗОЛЯЦИЯ ФР
АКЦИОНИРОВАННЫХ ОТХОДОВ
419
10мкм
2
1
1
(а)
(б)
50мкм
50мкм
С
5
Т
8
5
3
50мкм
(в)
(г)
Рис. 4. СЭМ-изображение пирохлоровых (а, б) и муратаитовых (в, г) матриц, полученных спеканием (а, в) или плавле-
нием (б, г). 1 - пирохлор; 2 - титанат РЗЭ; 3, 5, 8 - муратаит 3C, 5C, 8C; C - кричтонит, Т - титанат Mn и Fe. На врезках
(а) - электронограммы пирохлора.
Предельная загрузка отходами определяется
жидкости (ликвация) в случае высокого содержания
изоморфной емкостью кристаллических фаз и тем-
молибдена [207].
пературами стеклования (Тg) для стекол и стеклоке-
По составу, как и для остеклованных ВАО, име-
рамик. Так как у стеклокерамик она на 150-200°С
ется две группы стеклокерамических матриц: на си-
выше, чем у стекол, то и содержание в них отходов
ликатной (боросиликатной) или фосфатной основе.
выше. Еще одна важная характеристика матриц -
Кристаллические фазы в первой группе представ-
это тепловыделение при захоронении. Оно зависит
лены бритолитом, цирконолитом, пирохлором, по-
веллитом. Во второй группе это фазы со структурой
от предельной температуры, задавемой при проек-
монацита или коснарита (NZP). Стеклокерамики
тировании хранилища. Тепловыделение остекло-
с бритолитом изучались в работах [167, 205-209,
ванных ВАО ограничено 15 кВт/м3 у B-Si матриц
213-217]. Поведение трехвалентных РЗЭ (La, Nd)
и 5 кВт/м3 для Na-Al-P стекол, что связано с луч-
и актинидов (Am) сходно [169, 215], они обогаща-
шей термостойкостью боросиликатных стекол.
ют фазу бритолита относительно стекла (рис. 5,
Значения предельнодопустимого тепловыделения
табл. 10). Кристаллизация Na-B-Si стекол при на-
определяют активность матрицы (содержание от-
греве, облучении, добавках Nd2O3, MoO3, RuO2
ходов) и температуру нагрева при распаде ради-
изучалась в работе [207]. Установлено, что Nd2O3
онуклидов. Доля ВАО в Na-B-Si стекломатрице
подавляет ликвацию расплава и кристаллизацию
в 3-5 раз выше, чем в Na-Al-P, а значит и масса
CaMoO4 (повелит) и Na2MoO4, а RuO2 вызывает по-
(объем) отвержденных ВАО от переработки 1 т ОЯТ
явление бритолита, Ca2Nd8(SiO4)6O2, и молибдатов.
в то же число раз ниже. Еще выше предельные те-
Увеличение объема зерен бритолита при аморфиза-
пловыделение (32 кВт/м3) и температура нагрева
ции в ходе облучения стеклокерамики ионами Xe
стеклокерамической матрицы, ее загрузка отхода-
с энергией 995 МэВ не вызывает растрескивания
ми оценивается в 42 мас% против 18-20 мас% у
стекла из-за пластической релаксации [207].
Na-B-Si стекла [213] и 3-5 мас% у Na-Al-P стекол.
Большое число работ посвящено стеклокерами-
При получении стеклокерамики из расплава может
кам с цирконолитом [20, 188, 217]. При доле цирко-
происходить расслоение на две несмешивающиеся
нолита в матрице в 30 мас% он содержит 85% всего
РАДИОХИМИЯ том 63 № 5 2021
420
ЮДИНЦЕВ
Таблица 10. Составы фаз в стеклокерамике с бритолитом (рис. 5а), по данным работы [205]
Оксиды, мас%
CaO
Fe2O3
SiO2
CeO2
La2O3
EuO
Nd2O3
ZrO2
Образец в целом
29.2
15.4
31.4
5.0
3.0
2.0
8.0
6.0
Стеклоа
1
23.0
18.1
33.5
4.8
3.1
2.8
9.0
5.5
2
28.9
22.6
38.4
1.2
0.7
0.6
1.8
5.8
Бритолит
14.3
0.7
21.7
17.2
10.5
6.8
23.9
4.7
аПриведены составы стекла на удалении (1) и вблизи (2) кристаллов бритолита.
Ce (имитатор Pu), и лишь 15% Се растворено в сте-
или золь-гель-прекурсор. Для промышленности
кле, на которое приходится 70 мас%. Скорость вы-
годятся только такие способы, которые могут быть
щелачивания водой имитаторов радионуклидов из
реализованы в дистанционном режиме.
стеклокерамик на 3 порядка ниже, чем из Na-Al-P
Технологии изготовления матриц фракцио-
стекол. Иногда бритолит и цирконолит в стекло-
нированных отходов. Важнейшей частью эффек-
керамиках присутствуют вместе. В силикатных
тивных приемов обращения с ВАО является выбор
стеклокерамиках радионуклиды входят как в фазы
матрицы и технологии изготовления. Синтез ма-
силикатов (бритолит), так и титанатов и цирконатов
триц ВАО в лабораторных условиях и промышлен-
(пирохлор, цирконолит), а также молибдатов (по-
ных масштабах рассматривался во многих работах
веллит), а в фосфатных стеклокерамиках - только
[4, 18, 19, 21, 44, 48, 72, 73, 75, 221, 222]. Для этого
в фосфаты со структурой монацита, коснарита или
используют методы спекания, горячего прессова-
лангбейнита [211, 218-220].
ния, кристаллизации расплава, нагрев токами высо-
При выборе матрицы ключевую роль играет ее
кой частоты, высокоскоростное электроимпульсное
устойчивость в растворах, емкость в отношении
спекание и др. Плавители джоулева нагрева рабо-
радионуклидов, способность включать другие эле-
тают до 1200°С. Это отвечает условиям получения
менты отходов, а также наличие технологии про-
стеклообразных и ряда стеклокристаллических ма-
мышленного производства. В лабораториях образ-
триц. Для изготовления кристаллических матриц
цы получают [21, 43, 44, 72, 73, 221] твердофазным
ВАО предлагается индукционное плавление в «хо-
спеканием при обычном и повышенном (горячее
лодном» тигле (ИПХТ) с рабочими температурами
прессование) давлении; высокоскоростным элек-
до 2000°С [44, 48, 159, 205, 223-229]. Спекание при
троимпульсным спеканием (ВЭИС); СВЧ нагре-
обычном или повышенном давлении используется
вом или методом СВС (самораспространяющийся
для получения керамик и стеклокерамик. Способ
высокотемпературный синтез); плавлением в печи
изготовления влияет на размер, состав зерен и по-
сопротивления или в «холодном» тигле индукцион-
следовательность их формирования (рис. 6). Спе-
ного нагрева (ИПХТ). В качестве шихты применя-
ченые керамики характеризуются малым размером
ются смеси порошков оксидов (кальцинат) и солей
зерен (несколько мкм), в них встречаются остатки
100 мкм
20 мкм
(а)
(б)
Рис.
5. СЭМ/ЭДС изображение стеклокерамик с имитаторами РЗЭ-актинидов, содержащих кристаллы (светлое)
бритолита (а) или монацита (б), образцы получены во ВНИИНМ [205].
РАДИОХИМИЯ том 63 № 5 2021
ИЗОЛЯЦИЯ ФР
АКЦИОНИРОВАННЫХ ОТХОДОВ
421
1
4
2
3
(а)
(б)
20мкм
50мкм
Рис. 6. СЭМ-изображение керамик, полученных спеканием (а, состав, мас%: 55 TiO2, 10 MnO, 10 CaO, 5 Al2O3, 5 Fe2O3,
5 ZrO2, 10 Gd2О3 - имитатор ВАО; 1 - муратаит 5С, 2 - муратаит 8С, 3 - кричтонит, черное - поры) и методом ИПХТ (б,
состав, мас%: 5 Al2O3, 10 CaO, 50 TiO2, 10 MnO, 5 Fe2O3, 10 ZrO2, 10 CeO2). Зональные кристаллы муратаита (1, 2) находятся
в массе из титаната РЗЭ со структурой кричтонита (3) и стекла (черное).
шихты и промежуточные продукты, что связано с
К лету 2020 г. степень его готовности оценивалась в
незавершенностью реакций синтеза. Плавленые ке-
50% [233], в настоящее время сооружение данного
рамики обладают большим размером зерен (десят-
объекта продолжается.
ки и сотни микрон), иногда зонального строения.
Технологические приемы получения матриц
При спекании все фазы матриц формируются од-
спеканием сходны с фабрикацией ядерного топлива
новременно, а в плавленых образцах - последова-
с трансурановыми актинидами - Pu и малыми акти-
тельно, вместе они образуются только из расплава
нидами (Np, Am) [234]. Метод спекания применя-
эвтектического состава.
ется для изготовления оксидного уранового и U-Pu
В качестве шихты используют твердые смеси
(MOX) топлива. Он же рассматривался в США для
оксидов и солей; а также насыщенные радионукли-
производства пирохлор-цирконолитовых матриц
дами глины, цеолиты или титаносиликаты, слоис-
плутония. Изготовлено уже более тысячи образцов
тые титанаты [162, 196, 230, 231], силикагель [72],
таких матриц с размерами, как у хоккейной шайбы,
золь-гель. Последний тип шихты применяется для
и массой по 0.5 кг. Хотя основная их часть получена
синтеза Синрок горячим прессованием [18, 47, 63,
с имитаторами (Ce, Th, U), значительное число об-
131]. Этот метод предложен для получения стекло-
разцов содержит от 10 до 12 мас% PuO2, в том числе
керамических матриц ВАО с целью иммобилизации
238Pu или 239Pu [52, 235, 236].
актинидов в матрицы на основе пирохлора, бранне-
Если рассматривать возможность практического
рита или цирконолита и включения Cs-Sr фракции
получения матрицы ВАО или топлива для транс-
в голландит [47, 152, 189, 232]. При доле отходов
мутации, то УТГ выше для первого продукта. Так,
12 мас% скорость выщелачивания имитаторов ра-
изготовление матрицы спеканием сходно (и проще)
дионуклидов (тест МСС-1, 90°C, вода) на 28-е сут-
с приемом фабрикации уранового и уран-плутони-
ки составила 0.003 (Cs) и 0.004 (Sr) г/(м2 ∙ сут). За
евого топлива [26, 237, 238]. В промышленном мас-
несколько лет (1987-1994 гг.) в Австралии изготов-
штабе для изготовления B-Si стекломатриц ВАО и
лено 6400 кг керамики Синрок с имитаторами высо-
САО во Франции и в России используется индук-
коактивных отходов [52]. С 2012 г. такая технология
тивное плавление в «горячем» или «холодном»
испытывается на реальных отходах производства
тигле. Значение УТГ (TRL) процесса получения
99Мо. Сооружение завода по изготовлению матри-
высокорадиоактивных материалов массой от 10
цы Синрок горячим прессованием в комплексе с
до 100 кг отвечает 7, а при производстве более 1 т
реактором и заводом по переработке ОЯТ в Австра-
оно составляет 8 или 9 [238]. Готовность изготов-
лии предполагалось в 2014 г. Этот срок несколько
ления матриц РАО методами плавления или спека-
раз переносился и в итоге строительство предпри-
ния оценивается значениями УТГ от 7 до 9, так как
ятия по иммобилизации отходов в Синрок (Synroc
эти приемы уже используются в реальном произ-
waste treatment facility) началось в августе 2017 г.
водстве либо на полупромышленных и пилотных
РАДИОХИМИЯ том 63 № 5 2021
422
ЮДИНЦЕВ
Таблица 11. Возможные способы обращения с фракциями ВАО от переработки ОЯТа
Фракция ВАО
U + Pu
Np
Am
Cm
PЗЭ
Cs / Sr
ПМ/НО
Способы обращения
Новое ядерное топливо
Керамика
Стекло,
Сплав
с фракциями отходов
Топливо
Керамика
керамика
или с отдельными
Топливо
Керамика
или стекло-
нуклидами
Топливо
Керамика
керамика
Стеклокерамика (An/Ln/ПM)
Сплав (НО)
Топливо
Керамика
Стеклокерамика
Стеклокерамика
аПМ - переходные 4d-металлы (продукты деления - Mo, Zr, Ru, Rh, Pd и коррозии - Zr, Fe, Cr, Ni); НО - нерастворившиеся
остатки ОЯТ, - (сплав Mo-Tc-Ru-Rh-Pd или έ-фаза). Оптимальный вариант выделен курсивом.
установках. Возможности ИПХТ продемонстриро-
го топливного цикла. Ключевая задача состоит в
ваны в лабораторных условиях для получения бло-
разделении отходов на фракции. К практическому
ков неактивных кристаллических матриц массой от
применению наиболее близки UNEX-процесс из-
6 [167] до 18 кг [229]. Стеклокерамики, в зависи-
влечения из жидких ВАО фракций Cs и Sr, трехва-
мости от температур их плавления / стеклования и
лентных ТПЭ и РЗЭ, а также процесс UREX и ряд
скоростей роста зерен фаз, получают кристаллиза-
других. Возможно выделение следующих групп:
цией расплава или нагревом стекла по заданному
актиниды + РЗЭ + стронций и отдельно цезий; ак-
режиму. Один из вариантов (рис. 7 (i), нижняя кри-
тиниды + РЗЭ и цезий + стронций; цезий и отдель-
вая) рассмотрен в работе [222] на примере бранне-
но стронций, актиниды + РЗЭ, переходные металлы
ритовой стеклокерамики. Порошки UO2 (имитатор
(Mo, Zr, платиноиды). Для их изоляции перспек-
PuO2) и TiO2 смешивали с Na-Al-B-Si стеклом, го-
тивны матрицы с минералоподобными фазами, ко-
могенизировали и спекали при атмосферном или
торые затем помещаются в глубокие хранилища.
повышенном (100 МПа) давлении при 1200°С в
Для фракции Cs-Sr, актинидов, РЗЭ-актинидов
среде аргона в течение 12 ч.
пригодны керамики, при сложном составе отходов
Еще один класс матриц для изоляции радио-
(комбинация нескольких фракций) предпочтитель-
ны стеклокерамики. Радионуклиды в них входят
активных отходов представлен геополимерами
(геоцементами)
- искусственными материалами
в состав искусственных аналогов минералов со
на основе алюмосиликатов щелочей [73]. Их по-
структурами пирохлора, бритолита, перовскита,
лучают взаимодействием щелочных растворов с
цирконолита, поллуцита, монацита и стекла. При
алюмосиликатами при обычных или слегка повы-
объединении фракций степень загрузки матрицы
шенных температурах. Они аморфны или имеют
отходами ниже, чем в случае раздельной иммоби-
частично кристаллическую трехмерную структуру
лизации. Нерастворившиеся остатки, состоящие из
(каркас) из тетраэдров Si4+ и Al3+, связанных между
Zr, Тс, Мо, Ru, Rh и Pd можно включать в сплавы.
собой анионами О2-. Их состав отвечает формуле
Так как при распаде радионуклидов обра-
Mn[(SiO2)zAlO2]n, где M = Na+, K+, n - степень поли-
зуются стабильные или радиоактивные эле-
меризации, z - отношение Si/Al, равное 1-3. Свой-
менты с иным зарядом и размером катиона
ства геополимеров рассмотрены во многих работах
(
137Cs+
→ Ba2+,
90Sr2+ → Zr4+,
244,245Cm3+
[239-241 и др.]. Из-за наличия воды их можно при-
240,241Pu3+/4+,
241Am3+/4+237Np4+/5+ и др.), опти-
менять лишь для отходов с относительно низким
мально, чтобы матричные фазы аккумулировали
тепловыделением и радиоактивностью.
также и эти дочерние изотопы в своей кристалли-
ческой структуре.
ЗАКЛЮЧЕНИЕ
В настоящее время ВАО включают в Na-Al-P
и Na-B-Si стекла в электропечах или плавлением
Улучшение технологий переработки ОЯТ и об-
в «горячем»/«холодном» тигле индукционного на-
ращения с радиоактивными отходами позволит
грева. Для изготовления минералоподобных ма-
повысить эффективность и безопасность ядерно-
триц фракционированных ВАО предпочтительны
РАДИОХИМИЯ том 63 № 5 2021
ИЗОЛЯЦИЯ ФР
АКЦИОНИРОВАННЫХ ОТХОДОВ
423
(а)
(i)
Тlig
расплав
Umax
рост
или
охлаждение
нуклеация
стекло
Imax
Время, t
(ii)
Тg
Скорость
изотермическая
нуклеация и рост
(б)
Тlig
Время, t
Umax
(iii)
расплав
Imax
нуклеация и рост
Тg
при охлаждении
Скорость
Время, t
Рис. 7. Получение стеклокерамик с разделенными (а) или перекрывающимися (б) по температуре максимальными скоростя-
ми нуклеации зерен (Imax) и их роста (Umax). Для систем типа (а) возможно раздельное зарождение и рост кристаллов (i), а в
системах типа (б) это происходит одновременно в изотермических условиях (ii) или (iii) при контролируемом охлаждении.
Tliq - температура ликвидуса, Тg - температура стеклования.
методы спекания при обычном или повышенном
ходов. Преимущества стеклокерамик состоят также
давлении, а также индукционное плавление в «хо-
в их теплостойкости и коррозионной устойчивости.
лодном» тигле. Среди матричных фаз радионукли-
Они могут быть получены контролируемым охлаж-
дов имеются универсальные и селективные фазы.
дением контейнера с остеклованными ВАО.
Первые характеризуются более сложным строени-
Текущее состояние приемов сепарации ВАО
ем кристаллической решетки и наличием несколь-
и способов получения матриц позволяет ожидать
ких позиций для ионов разного заряда и размера.
сравнительно быстрого достижения уровня техно-
В процессе изготовления стеклокерамик и керамик
логической готовности, равного 9 для процесса им-
часть летучих элементов (Мо, Cs, Tc, Te) будет уне-
мобилизации фракционированных отходов, то есть
сена из расплава, что уменьшит их концентрацию
его промышленного применения [242]. Другой спо-
в конечном продукте. В первую очередь это отно-
соб - выделение долгоживущих радионуклидов для
сится к ИПХТ. Для иммобилизации таких отходов
сжигания в реакторах на медленных или быстрых
предпочтительны стеклокерамики из-за меньших
нейтронах, находится на ранней стадии техноло-
температур синтеза, что снижает улетучивание ра-
гического развития (TRL = 3-4) и его внедрение
дионуклидов. Загрузка матрицы определяется изо-
потребует дорогостоящих и длительных исследова-
морфной емкостью у кристаллических фаз и тем-
ний. Имеется подход, совмещающий оба варианта,
пературой стеклования для стекол и стеклокерамик.
а именно использование цирконатного пирохлора
Для стеклокерамик она на 150-200°С выше, чем у
или алюминатного граната в качестве матрицы ак-
стекол, поэтому в них можно включить больше от-
тинидов (Np, Am) для их однократного «сжигания»
РАДИОХИМИЯ том 63 № 5 2021
424
ЮДИНЦЕВ
в реакторе и захоронения без переработки. Спосо-
отработавших ядерных материалов: геолого-геохи-
бы обращения с ВАО суммированы в табл. 11.
мические основы. М.: ИФЗ РАН, 2008. 280 с.
5.
Myasoedov B.F., Kalmykov S.N. // Mendeleev Commun.
Рассмотрены вопросы, связанные с проблемой
2015. Vol. 25. P. 319-328.
обращения с радиоактивными отходами ЗЯТЦ [90,
6.
Status and Trends in Spent Fuel and Radioactive Waste
91, 115-117]. В этой области имеется отставание:
Management. Vienna: IAEA, 2018. 59 p.
реакторы представлены установками генераций
7.
The Power Reactor Information System IAEA
3/3+ (ВВЭР-1000/1200) и 4 (БН-600/800), заводы по
(https://pris.iaea.org/PRIS, дата обращения 01.06.2020).
переработке ОЯТ уже отвечают поколениям 2 и 3,
8.
Fedorov Yu.S., Zil’berman B.Ya., Aloi A.S., Puzikov E.A.,
а для изоляции ВАО все еще используются стекло-
Shadrin A.Yu., Alyapyshev M.Yu. // Russ. J. Gen. Chem.
матрицы поколения 1. В мире созданы научные и
2011. Vol. 81, N 9. Р. 1932-1948.
технические предпосылки для внедрения минера-
9.
Вашман А.А., Демин А.В., Крылова Н.В., Кушни-
лоподобных матриц следующего поколения. Так,
ков В.В., Матюнин Ю.И., Полуэктов П.П., Поля-
изучение полифазной керамики Синрок, начавшее-
ков А.С., Тетерин Э.Г. Фосфатные стекла с радио-
ся 40 лет назад, привело к созданию технологиче-
активными отходами. М.: ЦНИИатоминформ, 1997.
ской платформы [233] для иммобилизации ядерных
172 с.
отходов в минералоподобные матрицы. Переход
10. Баторшин Г.Ш., Иванов И.А., Козлов П.В., Мо-
к новым технологиям обращения с ВАО в нашей
кров Ю.Г. // Вопр. радиац. безопасности. 2013. № 3.
стране ускорится в результате реализации програм-
С. 3-11.
мы «Развитие техники, технологий и научных ис-
11. Ремизов М.Б., Козлов П.В., Логунов М.В., Колты-
следований в области атомной энергии в Россий-
шев В.К., Корченкин К.К. // Вопр. радиац. безопасно-
ской Федерации на период до 2024 года» [243].
сти. 2014. № 3. С. 17-25.
12. Remizov M.B., Kozlov P.V., Borisenko V.P.,
БЛАГОДАРНОСТИ
Dementeva I.I., Blokhin P.A., Samoylov A.A. // Rad.
Waste. 2018. N 3 (4). P. 87-94.
Автор благодарен Б.И. Омельяненко, Б.С. Нико-
13. Laverov N.P., Yudintsev S.V., Kochkin B.T.,
нову, М.С. Никольскому, С.В. Стефановскому, О.И.
Malkovsky V.I. // Elements. 2016. Vol. 12, N 4. P. 253-
Стефановской за помощь в проведении исследова-
256.
ний.
14. Власова Н.В., Ремизов М.Б., Козлов П.В., Белано-
ФОНДОВАЯ ПОДДЕРЖКА
ва Е.А. // Вопр. радиац. безопасности. 2017. № 3.
С. 32-37.
Работа выполнена при финансовой поддержке
15. Кочкин Б.Т., Мальковский В.И., Юдинцев С.В. На-
РФФИ, проект № 19-15-50023.
учные основы оценки безопасности геологической
изоляции долгоживущих радиоактивных отходов
КОНФЛИКТ ИНТЕРЕСОВ
(Енисейский проект). М.: ИГЕМ РАН, 2017. 384 с.
16. Luzhetsky A.V., Petrov V.A., Yudintsev S.V., Mal-
Автор заявляет об отсутствии конфликта инте-
kovsky V.I., Ojovan M.I., Nickolsky M.S., Shiryaev A.A.,
ресов.
Danilov S.S., Ostashkina E.E. // Sustainability. 2020.
Vol. 12. Article ID 4137.
СПИСОК ЛИТЕРАТУРЫ
17. Hench L.L., Clark D.E., Campbell J. // Nucl. Chem.
Waste Manag. 1984. Vol. 5. P. 149-173.
1.
Energy, Electricity and Nuclear Power Estimates for the
18. Radioactive Waste Forms for the Future / Eds. W. Lutze,
Period up to 2050. 2019 edition. Vienna: IAEA, IAEA-
R.C. Ewing. New York: Elsevier, 1988. 778 p.
RDS-1/39. 2019. 139 p.
19. Donald I.W., Metcalfe B.F., Taylor R.N. // J. Mater. Sci.
2.
Nuclear Energy Data. Paris: OECD, NEA no. 7474.
1997. Vol. 32. P. 5851-5897.
2019. 117 p.
20. Caurant D., Loiseau P., Majérus O., Aubin-Cheval-
3.
Баторшин Г.Ш., Кириллов С.Н., Смирнов И.В., Са-
Donnet V., Bardez I., Quintas A. Glasses, Glass-Ceramics
рычев Г.А., Тананаев И.Г., Фёдорова О.В., Мясое-
and Ceramics for Immobilization of Highly Radioactive
дов Б.Ф. // Вопр. радиац. безопасности. 2015. № 3.
Nuclear Wastes. New York: Nova Science, 2009. 445 p.
С. 30-36.
21. Donald I.W. Waste Immobilization in Glass and
4.
Лаверов Н.П., Величкин В.И., Омельяненко Б.И.,
Ceramic-Based Hosts: Radioactive, Toxic, and
Юдинцев С.В., Петров В.А., Бычков А.В. Изоляция
Hazardous Wastes. UK: Wiley, 2010. 507 p.
РАДИОХИМИЯ том 63 № 5 2021
ИЗОЛЯЦИЯ ФР
АКЦИОНИРОВАННЫХ ОТХОДОВ
425
22. Gin S., Abdelouas A., Criscenti L.J., Ebert W.L.,
39. Geckeis H. // Energy, Waste, and the Environment:
Ferrand K., Geisler T., Harrison M.T., Inagaki Y.,
a Geochemical Perspective / Ed. R. Giere. London:
Mitsui S., Mueller K.T., Marra J.C., Pantano C.G.,
Geological Soc., 2004. Vol. 236. P. 529-543.
Pierce E.M., Ryan J.V., Schofield J.M., Steefel C.I.,
40. Yudintsev S.V., Mal’kovsky V.I., Aleksandrova E.V. //
Vienna J.D. // Mater. Today. 2013. Vol. 16, N 6. P. 243-
Radiochemistry. 2020. Vol. 62, N 3. P. 411-423.
248.
41. Стефановский С.В., Лащенова Т.Н., Князев О.А.,
23. Gin S., Jollivet P., Tribet M., Peuget S., Schuller S. //
Юдинцев С.В., Никонов Б.С. // Вопр. радиац. безо-
Radiochim. Acta. 2017. Vol 105, N 11. P. 927-959.
пасности. 2003. № 3. С. 1-13.
24. Jantzen C.M., Ojovan M.I. // Russ. J. Inorg. Chem. 2019.
42. Yudintsev S.V. // Geol. Ore Deposits. 2003. Vol. 45, N 2.
Vol. 64, N 13. P. 1611-1624.
P. 151-165.
25. Ojovan M.I. // Mat. Res. Soc. Adv. 2020. Vol. 5, N 3-4.
43. Burakov B.E., Ojovan M.I., Lee W.E. Crystalline
Р. 111-120.
Materials for Actinide Immobilization. London: Imperial
26. Копырин А.А., Карелин А.И., Карелин В.А. Техноло-
College Press, 2011. 197 p.
гия производства и радиохимической переработки
44. Stefanovsky S.V., Yudintsev S.V., Vinokurov S.E.,
ядерного топлива. М.: Атомиздат, 2006. 576 с.
Myasoedov B.F. // Geochem. Int. 2016. Vol. 54, N 13.
27. Пятый национальный доклад Российской Федера-
P. 1136-1156.
ции о выполнении обязательств, вытекающих из
45. Ewing R.C. // Can. Mineral. 2001. Vol. 39. P. 697-715.
Объединенной конвенции о безопасности обраще-
46. Omel’yanenko B.I., Livshits T.S., Yudintsev S.V.,
ния с отработавшим топливом и о безопасности
Nikonov B.S. // Geol. Ore Deposits. 2007. Vol. 49, N 3.
обращения с радиоактивными отходами. М., 2017
P. 173-193.
(http://www.gosnadzor.ru/activity/international/
47. Vance E.R. // Comprehensive Nuclear Materials / Eds.
national%20reports/Russian_Federation_rus.pdf, дата
R. Konings, T. Allen, R. Stoller, S. Yamanaka. Elsevier,
обращения 01.06.2020).
2012. Vol. 5, Ch. 5.19. P. 485-503.
28. Козлов П.В., Ремизов М.Б., Беланова Е.А., Власо-
48. Stefanovsky S.V., Yudintsev S.V. // Russ. Chem. Rev.
ва Н.В., Орлова В.А., Мартынов К.В. // Вопр. радиац.
2016. Vol. 85, N 9. P. 962-994.
безопасности. 2019. № 1. С. 3-15.
49. Orlova A.I., Koryttseva A.K., Loginova E.E.
//
29. Dorogov V. I., Ponizov A. V., Haperskaya A.V. // Rad.
Radiochemistry. 2011. Vol. 53. P. 51-62.
Waste. 2017. N 1. P. 66-71.
50. Orlova A.I., Lizin A.A., Tomilin S.V., Lukinykh A.N. //
30. Kryukov O.V., Khaperkaya A.V., Dorofeev A.N.,
Radiochemistry. 2011. Vol. 53. P. 63-68.
Ferapontov A.V., Kudryavtsev E.G., Linge I.I., Utkin S.S.,
51. Orlova A.I., Ojovan M.I. // Materials. 2019. Vol. 12.
Dorogov V.I., Sharafutdinov R.B., Ponizov A.V.,
Article ID 2638.
Vasilishin A.L. // Rad. Waste. 2019. N 1. P. 25-36.
52. MacFarlane A. // Sci. Global Secur. 1998. Vol 7. P. 271-
31. Lopez C., Deschanels X., Bart J.M., Boubals J.M.,
309.
Den Auwer C., Simoni E. // J. Nucl. Mater.
2003.
53. Weber W.J., Ewing R.C., Catlow C.R.A.,
Vol. 312. P. 76-80.
Diaz de la Rubia T., Hobbs L.W., Kinoshita C.,
32. Nuclear Waste Conditioning. Paris: CEA, 2009. 150 p.
Matzke Hj., Motta A.T., Nastasi M., Salje E.K.H.,
33. Stefanovsky S.V., Stefanovsky O.I., Remizov M.B.,
Vance E.R., Zinkle S.J. // J. Mater. Res. 1998. Vol. 13,
Kozlov P.V., Belanova E.A., Makarovsky R.A.,
N 6. P. 1434-1484.
Myasoedov B.F. // Progr. Nucl. Energy. 2017. Vol. 94.
54. Muller I., Weber W.J. // Mat. Res. Soc. Bull. 2001.
P. 229-234.
Vol. 26, N 9. P. 698-706.
34. Martynov K.V., Nekrasov A.N., Kotelnikov A.R.,
55. Ewing R.C., Weber W.J., Lian J. // J. Appl. Phys. 2004.
Shiryaev A.A., Stefanovsky S.V. // Glass Phys. Chem.
Vol. 95. Article ID 5949.
2018. Vol. 44, N 6. P. 591-600.
56. Зильберман Б.Я. // Радиохимия. 2000. Т. 42. № 1.
35. Orlova V.A., Kozlov P.V., Dzhevello K.A., Balakina V.A.,
С. 3-15.
Belanova E.A., Galuzin D.D., Remizov M.B. // Inorg.
57. Spent Nuclear Fuel Reprocessing Flowsheet. Paris:
Mater. 2019. Vol. 55, N 8. P. 838-845.
OECD NEA, 2012. 120 p.
36. Yudintsev S.V., Pervukhina A.M., Mokhov A.V.,
58. Физика деления атомных ядер. М.: Атомиздат, 1957.
Malkovsky V.I., Stefanovsky S.V. // Dokl. Earth Sci. 2017.
214 с.
Vol. 473, Pt. 2. P. 427-432.
59. Zilberman B.Ya., Puzikov E.A., Ryabkov D.V.,
37. Malkovsky V.I., Yudintsev S.V., Aleksandrova E.V. // J.
Makarychev-Mikhailov
M.N.,
Shadrin
A.Yu.,
Nucl. Mater. 2018. Vol. 508. P. 212-218.
Fedorov Yu.S., Simonenko V.A.// Atomic Enerdgy. 2009.
38. Pirlet V. // J. Nucl. Mater. 2001. Vol. 298. P. 47-54.
Vol. 107, N. 5. P. 333-347
РАДИОХИМИЯ том 63 № 5 2021
426
ЮДИНЦЕВ
60. Advanced Separation Techniques for Nuclear Fuel
80. Drobyshevsky N.I., Moiseenko E.V., Butov R.A.,
Reprocessing and Radioactive Waste Treatment / Eds.
Tokarev Yu.N. // Rad. Waste. 2017. N 1. P. 44-51.
K.L. Nash, G.J. Lumetta. UK: Woodhead, 2011. 492 p.
81. Vernaz E., Gin S., Veyer C. // Comprehensive Nuclear
61. Caurant D. // Opt. Spectrosc. 2014. Vol. 116. P. 667-
Materials / Eds. R. Konings, T. Allen, R. Stoller, S.
676.
Yamanaka. Elsevier, 2012. Vol. 5, Ch. 5.18. P. 451-483.
62. McCarthy G.J. // Nucl. Technol. 1977. Vol. 32. P. 92-
82. Blokhin A.I., Blokhin P.A., Sipachev I.V. // Rad. Waste.
105.
2018. N 2 (3). P. 77-84.
63. Ringwood A.E., Kesson S.E., Ware N.G., Hibberson W.,
83. Блохин П.А., Дорофеев А.Н., Линге И.И., Мерку-
Major A. // Nature. 1979. Vol. 278. P. 219-223.
лов И.А., Сеелев И.Н., Тихомиров Д.В., Уткин С.С.,
64. Stewart M.W.A., Vance E.R., Moricca S.A., Brew D.R.,
Хаперская А.В. // Радиоакт. отходы. 2019. № 2. С. 49-
Cheung C., Eddowes T., Bermudez W. // Sci. Technol.
57.
84. Алой А.С., Трофименко А.В., Кольцова Т.И., Никан-
Nucl. Install. 2013. Vol. 2013. Article ID 926026.
дрова М.В. // Радиоакт. отходы. 2018. № 4. С. 67-75.
65. Choppin G., Liljenzin J-O., Rydberg J., Ekberg C.
85. Sorokin V.T., Pavlov D.I. // Rad. Waste. 2019. N 1 (6).
Radiochemistry and Nuclear Chemistry. Elsevier, 2013.
P. 39-46.
4th ed. 801 p.
86. Gombert D., Piet S., Trickel T., Carter J., Vienna J.,
66. Geological
Disposal
of
Radioactive
Waste:
Ebert B. Combined Waste Form Cost Trade Study. INL/
Technological Implications for Retrievability. Vienna:
EXT-08-14993. Idaho: INL, 2008. 27 p.
IAEA, 2009. 64 p.
87. Advanced Fuel Cycle Cost Basis. 2017 Edition. 2017.
67. Обзор зарубежных практик захоронения ОЯТ и
940 p.
РАО / Под ред. И.И. Линге, Ю.Д. Полякова. М.: Ком-
88. Analysis of the Total System Life Cycle Cost of the
техпринт, 2015. 208 с.
Civilian Radioactive Waste Management Program.
68. The Economics of the Back End of the Nuclear Fuel
Washington, DC: US DOE, 2008. 68 p.
Cycle. Paris: NEA OECD, 2013. 188 p.
89. Bracke G., Kudla W., Rosenzweig T. // Energies. 2019.
69. Geological Repository Systems for Safe Disposal of
Vol. 12. Article ID 2580.
Spent Nuclear Fuels and Radioactive Waste: Woodhead
90. Zherebtsov A.A., Mochalov Yu.S., Shadrin A.Yu.,
Publ. Ser. in Energy / Eds. M.J. Apted, J. Ahn. Woodhead,
Zaikov Yu.P., Gorbachev M.K., Sokolov K.A., Kisly V.A.,
2017. 2nd ed. 778 p.
Goncharov D.A. // IOP Conf. Series: J. Phys. 2020.
70. Schneider M., Marignac Y. Spent Nuclear Fuel
Vol. 1475. Article ID 012007.
Reprocessing in France. International Panel on Fissile
91. Kashcheev V.A., Shadrin A.Yu., Rykovanov G.N.,
Materials: Research Report No. 4. Princeton: Princeton
Dyrda N.D., Makeeva I.R., Khmel’nitskii D.V.,
Univ., 2008. 60 p.
Alekseev P.N. // At. Energy. 2019. Vol. 127, N 2. P. 93-
71. Vernaz É., Bruezière J. // Proc. Mater. Sci. 2014. Vol. 7.
98.
P. 3-9.
92. Об установлении тарифов на захоронение радиоак-
72. Полуэктов П.П., Суханов Л.П., Матюнин Ю.И. //
тивных отходов классов 1, 2, 3, 4, 6 на период с 2018
Росс. хим. журн. 2005. Т. XLIX. № 4. С. 29-41.
по 2022 годы и тарифов на захоронение радиоактив-
73. Handbook of Advanced Radioactive Waste Conditioning
ных отходов класса 5 на 2018 год: Приказ ФАС Рос-
Technologies: Woodhead Publ. Ser. in Energy, N12 / Ed.
сии от 28.12.2017 № 1812/17 (ред. от 15.11.2018).
M.I. Ojovan. Cambridge, UK: Woodhead, 2011. 487 p.
93. Marasinghe G.K., Karabulut M., Ray C.S., Day D.E.,
74. Goel A., McCloy J.S., Pokorny R., Kruger A.A. // J.
Shuh D.K., Allen P.G., Saboungi M.L., Grimsditch M.,
Non-Cryst. Solids: X. 2019. Vol. 4. Article ID 100033.
Heaffner D. // J. Non-Cryst. Solids. 2000. Vol. 263/264.
75. Selvakumar J., Rajasekaran S., Chitra S., Paula B. //
P. 146-154.
Progr. Nucl. Energy. 2020. Vol. 118. Article ID 103135.
94. Wigeland R., Bauer T.H, Fanning T.H., Morris E.E. //
76. ГОСТ Р 50926: Отходы высокоактивные отвержден-
Nucl. Technol. 2006. Vol. 154. P. 95-106.
ные. Общие технические требования. М.: Госстан-
95. Olander D. // J. Nucl. Mater. 2009. Vol. 389. P. 1-22.
дарт России, 1996.
96. Roy R., Yang L.J., Alamo J., Vance E.R. // Scientific Basis
77. Критерии приемлемости радиоактивных отходов
for Nuclear Waste Management VI / Ed. D.G. Brookins.
для захоронения (НП-093-14) // Ядерн. радиац. без-
Amsterdam: North-Holland, 1983. P. 15-21.
опасность. 2015. № 3 (77). С. 59-82.
97. Fielding P.E., White T.J. // J. Mater. Res. 1987. Vol. 2,
78. Johnson L., King F. // J. Nucl. Mater. 2008. Vol. 379.
N 3. P. 387-414.
P. 9-15.
98. Стефановский С.В., Жеребцов А.А., Дмитри-
79. Diomidis N., Johnson L.H. // JOM. 2014. Vol. 66. N 3.
ев С.А. // Физика и химия обработки материалов.
P. 461–470.
2014. № 3. С. 44-85.
РАДИОХИМИЯ том 63 № 5 2021
ИЗОЛЯЦИЯ ФР
АКЦИОНИРОВАННЫХ ОТХОДОВ
427
99. Scheetz B.E., Agrawal D.K., Breval E., Roy R. // Waste
117. Shadrin A.Yu., Dvoeglazov K.N., Mochalov Yu.S.,
Manag. 1994. Vol. 14. P. 489-505.
Vidanov V.V., Kashcheev V.A., Terentiev A.G.,
100. Orlova A.I. // Radiochemistry. 2002. Vol. 44. P. 423-
Gerasimenko M.N., Cheshuyakov S.A. // IOP Conf.
445.
Series: J. Phys. 2020. Vol. 1475. Article ID 012021.
101. Ewing R.C., Meldrum A., Wang L-M., Wang S-X. // Rev.
118. Gougar H.D., Bari R.A., Kim T.K., Sowinski T.E.,
Mineral. Geochem. 2000. Vol. 39. P. 319-361.
Worrall A. Assessment of the Technical Maturity of
102. Lumpkin G.R. // J. Nucl. Mater. 2001. Vol. 289. P. 136-
Generation IV Concepts for Test or Demonstration
166.
Reactor Applications: Report INL/EXT-15-36427.
103. Lumpkin G.R., Smith K.L., Giere R., Williams C.T. //
Idaho National Laboratory, 2015. 21 p.
Energy, Waste, and the Environment: a Geochemical
119. Shepherd D.J., Rossiter G.D., Palmer I.D., Marsh G.,
Perspective. Spec. Publ. Vol. 236. London: Geological
Fountain M. // Proc. TopFuel Conf. Zurich. 13-
Soc., 2004. P. 89-111.
17.09.2015. Vol.
6 (https://www.researchgate.net/
publication/324361152, дата обращения 01.06.2020).
104. Lumpkin G.R. Geisler-Wierwille T. // Comprehensive
120. Minato K., Morita Y., Tsujimoto K., Koyama S.,
Nuclear Materials
/ Eds. R. Konings, T. Allen,
Kurata M., Inoue T., Ikeda K. // Actinide and Fission
R. Stoller, S. Yamanaka. Elsevier, 2012. Vol. 5, Ch.
Product Partitioning and Transmutation: Proc. 11th
5.22. P. 563-600.
Information Exchange Meet. San Francisco, California,
105. Lumpkin G.R., Gao Y., Giere R. // Mineral. Magaz.
USA, 1-4 November 2010. Paris: OECD, 2012. NEA
2014. Vol. 78. P. 1071-1095.
N 6996. P. 341-349.
106. Lumpkin G.R.
// Experimental and Theoretical
121. State-of-the-Art Report on the Progress of Nuclear
Approaches to Actinide Chemistry / Eds. J.K. Gibson,
Fuel Cycle Chemistry. Paris: NEA OECD, 2018. 299 p.
W.A. de Jong. Wiley, 2018. P. 333-377.
122. Baron P., Cornet S.M., Collins E.D., DeAngelis G.,
107. Accelerator-driven Systems (ADS) and Fast Reactors
Del Cul G., Fedorov Yu., Glatz J.P., Ignatiev V.,
(FR) in Advanced Nuclear Fuel Cycles. A Comparative
Inoue T., Khaperskaya A., Kim I.T., Kormilitsyn M.,
Study. Paris: NEA OECD, 2002. 350 p.
Koyama T., Law J.D., Lee H.S., Minato K., Morita Y.,
108. Magill J., Berthou V., Haas D., Galy J., Schenkel R.,
Uhlíř J., Warin D., Taylor R.J. // Prog. Nucl. Energy.
Wiese H.-W., Heusener G., Tommasi J., Youinou G. //
2019. Vol. 117. Article ID 103091.
Nucl. Energy. 2003. Vol. 42, N 5. P. 263-277.
123. Degueldre C., Paratte J.M. // J. Nucl. Mater. 1999.
109. Implications of Partitioning and Transmutation in
Vol. 274. P. 1-6.
Radioactive Waste Management. Vienna: IAEA,
124. Chauvin N., Konings R.J.M., Matzke H. // J. Nucl.
Report 435. 2004. 126 p.
Mater. 1999. Vol. 274. P. 105-111.
110. An International Spent Nuclear Fuel Storage Facility:
125. Fernandez A., Konings R.J.M., Somers J. // J. Nucl.
Exploring a Russian Site as a Prototype. Proc. Int.
Mater. 2003. Vol. 319. P. 44-50.
Workshop. Washington, DC: National Acad., 2005.
126. Viability of Inert Matrix Fuel in Reducing Plutonium
302 p.
Amounts in Reactors: IAEA-TECDOC-1516. Vienna:
111. Fuels and Materials for Transmutation. A Status Report.
IAEA, 2006.
Paris: NEA OECD, 2005. 239 p.
127. Ye B., Miao J.-L., Li J.-L., Zhao Z.-C., Chang Z.,
112. Physics and Safety of Transmutation Systems. Paris:
Serra C.A. // J. Nucl. Sci.Technol. 2013. Vol.
50.
NEA OECD, 2006. 120 p.
P. 774-780.
113. Potential Benefits and Impacts of Advanced
128. Reprocessing and Recycling of Spent Nuclear Fuel /
Nuclear Fuel Cycles with Actinide Partitioning and
Ed. R. Taylor. UK: Woodhead, 2015. 684 p.
Transmutation. Paris: NEA OECD, 2011. 73 p.
129. Zilberman B.Ya., Romanovskii V.N. // Radiochem.
114. Minor Actinide Burning in Thermal Reactors. Paris:
2003. Vol. 45, N 3. P. 211-218.
NEA OECD, 2013. 78 p.
130. Логунов М.В., Тананаев И.Г., Мясоедов Б.Ф. // Тр.
115. Khomyakov Yu.S., Zherebtsov A.A., Shadrin A.Yu.,
конф. «Фундаментальные аспекты безопасного за-
Khaperskaya A.V., Vasiliev B.А., Farashkin M.R.
//
хоронения РАО в геологических формациях». М.,
IOP Conf. Series: J. Phys. 2020. Vol. 1475. Article ID
15-16 октября 2013. М.: Граница, 2013. С. 94-96.
012020.
131. Ringwood A.E. // Mineral. Magaz. 1985. Vol. 49 (351).
116. Shadrin A.Yu., Dvoeglazov K.N., Maslennikov A.G.,
P. 159-176.
Kashcheev V.A., Tret’yakova S.G., Shmidt O.V.,
132. Gibb F.G.F., Travis K.P., Hesketh K.W. // Mineral.
Vidanov V.L., Ustinov O.A., Volk V.I., Veselov S.N.,
Magaz. 2012. V. 76. P. 3003-3017.
Ishunin V.S. // Radiochemistry. 2016. Vol. 58, N 3.
133. Brady P.V., Freeze G.A., Kuhlman K.L., Hardin E.L.,
P. 271-279.
Sassani D.C., MacKinnon R.J. // Geological Repository
РАДИОХИМИЯ том 63 № 5 2021
428
ЮДИНЦЕВ
Systems for Safe Disposal of Spent Nuclear Fuels and
152. Hazen R.M., Ewing R.C. Sverjensky D.A. // Am.
Radioactive Waste: Woodhead Publishing Series in
Mineral. 2009. Vol. 94. P. 1293-1311.
Energy London: Elsevier, 2017, 2nd ed. P. 89-112.
153. Seydoux-Guillaume A-M., Wirth R., Deutsch A.,
134. Yudintsev S.V., Malkovsky V.I., Nikolsky M.S.,
Sscharer U. // Geochim. Cosmochim. Acta.
2004.
Nikonov B.S. // Dokl. Earth Sci. 2019. Vol. 485, Pt. 1.
Vol. 68, N 11. Р. 2517-2527.
P. 303-307.
154. Wu F-Y., Yang Y-H., Mitchell R.H., Bella-
135. Chapman N.A. // Energies. 2019. Vol. 12. Article
treccia F., Li Q-L., Zhao Z-F. // Chem. Geol. 2010.
ID 1542.
Vol. 277. P. 178-195.
136. Freeze G.A., Stein E., Brady P.V. // Energies. 2019.
155. Fisher L.A., Cleverley J.S., Pownceby M., MacRae C. //
Vol. 12. Article ID 1980.
Mineral. Depos. 2013. Vol. 48. P. 947-966.
137. Spent
Fuel
Reprocessing
Options:
IAEA-
156. Corcoran L., Simonetti A. // Minerals. 2020. Vol. 10.
Article ID 205.
TECDOC-1587. Vienna: IAEA, 2008. 151 p.
157. Deditius A.P., Smith F.N., Utsunomiya S., Ewing R.C. //
138. Ansari S.A., Pathak P., Mohapatra P.K.,
Geochim. Cosmochim. Acta. 2015. Vol. 150. P. 226-
Manchanda V.K. // Sep. Purif. Rev. 2011. Vol.
40.
252.
P. 43-76.
158. Richard A., Montel J-M., Leborgne R., Peiffert C.,
139. Romanovskiy V.N., Smirnov I.V., Babain V.A. // Solvent
Cuney M., Cathelineau M. // Minerals. 2015. Vol. 5.
Extr. Ion Exch. 2001. Vol. 19, N 1. P. 1-21.
P. 693-706.
140. Herbst R.S., Law J.D., Todd T.A., Romanovskiy V.N.,
159. Лаверов Н.П., Омельяненко Б.И., Юдинцев С.В.,
Smirnov I.V., Babain V.A., Esimantovskiy V.N.,
Никонов Б.И., Соболев И.А., Стефановский С.В. //
Zaitsev B.N. // Sep. Sci. Technol. 2003. Vol.
38.
Геология рудн. месторождений. 1997. Т. 39, № 3.
P. 2685-2708.
С. 211-228.
141. Романовский В.Н., Смирнов И.В., Бабаин В.А., Еси-
160. Yudintsev S.V., Stefanovsky S.V., Kir’ynova O.I.,
мантовский В.М., Тодд Т.А., Хербст Р.С. // Вопр.
Lian J., Ewing R. //Atomic Energy. 2001. Vol. 90, N.6
радиац. безопасности. 2006. № 2. С. 3-9.
P. 487-494.
142. Бабаин В.А., Смирнов И.В., Аляпышев М.Ю. Ло-
161. McMaster S.A., Ram R., Faris N., Pownceby M.I. // J.
гунов М.В., Скобцов А.С., Мезенцев В.А., Маш-
Hazard. Mater. 2018. Vol. 360. P. 257-269.
кин А.Н. // Вопр. радиац. безопасности. 2006. № 3.
162. Hatch L.P. // Am. Sci. 1953. Vol. 41. P. 410-421.
С. 3-12.
163. Юдинцев С.В. Сложные оксиды структурных типов
143. Зильберман Б.Я., Романовский В.Н. // Тр. Радиевого
пирохлора, граната и муратаита - матрицы для им-
инст. им. В.Г. Хлопина. 2003. Т. X. С. 22-32.
мобилизации актинидных отходов ядерной энерге-
144. Колупаев Д.Н., Макаров Е.П. // Вопр. радиац. безо-
тики: Дисс. д.г.-м.н. М.: ИГЕМ РАН, 2009. 214 с.
пасности. 2012. № 3. С. 64-73.
164. Laverov N.P., Yudintsev S.V., Yudintseva T.S.,
145. Myasoedov B.F.
//
Proc. Int. Workshop
«An
Stefanovsky S.V., Ewing R.C., Lian J., Utsunomiya S.,
International Spent Nuclear Fuel Storage Facility:
Wang L.M. // Geol. Ore Deposits. 2003. Vol. 45, N 6.
Exploring a Russian Site as a Prototype-.» Washington,
P. 423-451.
DC: National Acad., 2005. P. 199-207.
165. Wang L., Liang T. // J. Adv. Ceram. 2012. Vol. 1, N 3.
146. Solonin M.I. // Proc. Int. Workshop «An International
P. 194-203.
Spent Nuclear Fuel Storage Facility: Exploring a
166. Yudintsev S.V. // Dokl. Earth Sci. 2015. Vol. 460, Pt. 2.
Russian Site as a Prototype-.» Washington, DC: The
P. 130-136.
National Acad., 2005. P. 20-29.
167. Yudintsev S.V., Stefanovsky S.V., Kalenova M.Yu.,
147. Ebert W.L. // Comprehensive Nuclear Materials / Eds.
Nikonov B.S., Nikol’skii M.S., Koshcheev A.M.,
R. Konings, T. Allen, R. Stoller, S. Yamanaka. Elsevier,
Shchepin A.S. // Radiochemistry. 2015. Vol. 57, N 3.
2012. Vol. 5, Ch. 5.20. P. 505-538.
P. 321-333.
148. French R&D on the Partitioning and Transmutation of
168. Yudintsev S.V. // Radiochemistry. 2018. Vol. 60, N 3.
Long-Lived Radionuclides. NEA, 2006. 87 p.
P. 315-321.
149. Ringwood A.E., Oversby V.M., Kesson S.E., Sinclair W.,
169. Bardez-Giboire I., Kidari A., Magnin M.,
Ware N., Hibberson W., Major A. // Nucl. Chem. Waste
Dussossoy J-L., Peuget S., Caraballo R., Tribet M.,
Manag. 1981. Vol. 2, N 4. P. 287-305.
Doreau F., Jégou C. // J. Nucl. Mater. 2017. Vol. 492.
150. Vance E.R., Chavara D.T., Gregg D.J. // MRS Energy
P. 231-238.
Sustain.: Rev. J. 2017. Р. 1-8.
170. Vinokurov S.E., Kulikova S.A., Krupskaya V.V.,
151. Bros R., Hidaka H., Kamei G., Ohnuki T. // Appl.
Myasoedov B.F. // Radiochemistry. 2018. Vol. 60, N 1.
Geochem. 2003. Vol. 18. P. 1807-1824.
P. 70-78.
РАДИОХИМИЯ том 63 № 5 2021
ИЗОЛЯЦИЯ ФР
АКЦИОНИРОВАННЫХ ОТХОДОВ
429
Ting-Shan C., Yuhong L. // J. Am. Ceram. Soc. 2020.
171. Roy R. // J. Am. Ceram. Soc. 1977. Vol. 60. P. 350-363.
Vol. 103. P. 1463-1475.
172. Orlova A.I., Orlova V.A., Orlova M.P., Bykov D.M.,
191. Krivovichev S.V., Yudintsev S.V., Pakhomova A.S.,
Stefanovskii S.V., Stefanovskaya O.I., Nikonov B.S. //
Stefanovsky S.V.
//
14th Int. Congr. for Applied
Radiochemistry. 2006. Vol. 48, N. 4. P. 330-339.
Mineralogy (ICAM2019). Elsevier, 2019. P. 447-450.
173. Morgan P.E.D., Ryerson F.J. // J. Mater. Sci. Lett. 1982.
192. Bayliss P., Munno R., White T.J. // Mineral. Magaz.
Vol. 1. P. 351-352.
1989. Vol. 53. P. 565-569.
174. Adams J.W., Botinelly T., Sharp W.N., Robinson K. //
193. Bellatreccia F., Della Ventura G., Williams C.T.,
Am. Miner. 1974. Vol. 59. P. 172-176.
Lumpkin G.R., Smith K.L., Colella M. // Eur. J. Mineral.
175. Laverov N.P., Yudintsev S.V., Livshits T.S.,
2002. Vol. 14. P. 809-820.
Stefanovsky S.V., Lukinykh A.N., Ewing R.C.
//
194. Chukanov N.V., Zubkova N.V., Britvin S.N.,
Geochem. Intn. 2010. Vol. 48, N 1. P. 1-14.
Pekov I.V., Vigasina M.F., Schäfer C., Ternes B.,
176. Galuskina I.O., Galuskin E.V., Armbruster T., Lazic B.,
Schüller W., Polekhovsky Y.S., Ermolaeva V.N.,
Kusz J., Dzierżanowski P., Gazeev V.M., Pertsev N.N.,
Pushcharovsky D. Yu. // Minerals. 2018. Vol. 8. P. 449.
Prusik K., Zadov A.E., Winiarski A., Wrzalik R.,
195. Biagioni C., Capalbo C., Pasero M // Eur. J. Mineral.
Gurbanov A.G. // Am. Mineral. 2010. Vol. 95, N 8-9.
2013. Vol. 25 (1). P. 85-90.
P. 1172-1181.
196. Wang L.M., Chen J., Ewing R.C. // Curr. Opin. Solid St.
177. Krivovichev V.G., Charykova M.V., Krivovichev S.V. //
Mater. Sci. 2004. Vol. 8. P. 405-418.
Eur. J. Mineral. 2018. Vol. 30. P. 219-230.
197. Chen T.Y., Maddrell E.R., Hyatt N.C., Hriljac J.A. //
178. Mill S.J., Hatert F., Nickel E.H., Ferraris G. // Eur. J.
Inorg. Chem. 2016. Vol. 55. P. 12686-12695.
Mineral. 2009. Vol. 21. P. 1073-1080.
198. Dickson J.O., Harsh J.B., Flury M., Pierce E.M. //
179. Atencio D., Andrade M.B., Christy A.G., Giere R.,
Micropor. Mesopor. Mater. 2015. Vol. 214. P. 115-120.
Kartashov P.M. // Can. Mineral. 2010. Vol. 48. P. 569-
199. Neeway J.J., Qafoku N.P., Williams B.D.,
594.
Snyder M.M.V., Brown C.F., Pierce E.M. // Appl.
180. Pasero M., Kampf A.R., Ferraris C., Pekov I.V.,
Geochem. 2016. Vol. 66. P. 210-218.
Rakovan J., White T.J. // Eur. J. Mineral. 2010. Vol. 22.
200. Riley B.J., Vienna J.D., Strachan D.M., McCloy J.S.,
P. 163-179.
Jerden J.L., Jr. // J. Nucl. Mater. 2016. Vol. 470. P. 307-
181. Grew E.S., Locock A.J., Mills SJ., Galuskina I.O.,
326.
Galuskin E.V., Hålenius U. // Am. Mineral.
2013.
201. Laverov N.P., Yudintsev S.V., Omel’yanenko B.I. //
Vol. 98. P. 785-811.
Geol. Ore Deposits. 2009. Vol. 51, N 4. P. 259-274.
182. Mitchell R.H., Welch M.D., Chakhmouradian A.R. //
202. Hartmann T., Alaniz A.J., Antonio D.J. // Proc. WM-
Mineral. Magaz. 2017. Vol. 81. P. 411-461.
2013 Conf. Phoenix, Arizona, USA, February 24-28,
183. The Hudson Institute of Mineralogy (www.mindat.org,
2013. Article ID 13222.
дата обращения 01.06.2020).
203. Westsik J.H., Cantrell K.J. Jr., Serne R.J., Qafoku N.P.
184. Subramanian A., Aravamudan G., Subba Rao G.V. //
Technetium Immobilization Forms Literature Survey:
Prog. Solid State Chem. 1983. Vol. 15. P. 55-143.
PNNL-23329 EMSP-RPT-023. 2014. 64 p.
185. Clavier N., Podor R., Dacheux N. // J. Eur. Ceram. Soc.
204. McCloy J.S., Goel A. // Mater. Res. Soc. Bull. 2017.
2011. Vol. 31. P. 941-976.
Vol. 42. P. 233-238.
186. Smith K.L., Lumpkin G.R. // Defects and Processes
205. Smelova T.V., Krylova N.V., Yudintsev S.V.,
in the Solid State: Geoscience Applications / Eds.
Nikonov B.S. // Dokl. Earth Sci. 2000. Vol. 374, N 7.
J.N. Boland J.N., J.D. Fitz Gerald. Amsterdam:
P. 1149-1152.
Elsevier, 1993. P. 401-422.
206. Caurant D., Majerus O., Loiseau P., Bardez I.,
187. Vance E.R., Lumpkin G.R., Carter M.L., Cassidy D.J.,
Baffier N., Dussossoy J.L. // J. Nucl. Mater.
2006.
Ball C.J., Day R.A., Begg B.D. // J. Am. Ceram. Soc.
Vol. 354. P. 143-162.
2002. Vol. 85, N 7. P. 1853-1859.
207. Chouard N., Caurant D., Majeerus O., Dussossoy J.-L.,
188. Maddrell E.R., Paterson H.C., May S.E., Burns K.M. //
Loiseau P., Grygiel C., Peuget S. // J. Nucl. Mater.
J. Nucl. Mater. 2017. Vol. 423. P. 380-387.
2019. Vol. 516. P. 11-29.
189. Blackburn L.R., Gardner L.J., Sun S.K., Maddrell E.R.,
208. Kong L., Karatchevtseva I., Chironi I., Wei T.,
Stennett M.C., Corkhill C.L., Hyatt N.C. // IOP Conf.
Zhang Y. // Int. J. Appl. Ceram. Technol. 2019. Vol. 16,
Ser.: Mater. Sci. Eng. 2020. Vol. 818. Article ID
N 4. P. 1460-1470.
012010.
209. Zhang Y., Zhang Z., Wei T., Kong L., Kim Y.J.,
190. Shiyin J., Minhua S., Changzhong L., Shengshou M.,
Gregg D.J. // J. Am. Ceram. Soc. 2020.
Zhiguang W., Kaimin S., Chung-Kai C., Jyh-Fu L.,
https://doi.org/10.1111/jace.17119
РАДИОХИМИЯ том 63 № 5 2021
430
ЮДИНЦЕВ
210. Stefanovsky S.V., Stefanovsky O.I., Kadyko M.I.,
Medvedev G.M. // Mater. Res. Soc. Symp. Proc. 2001.
Nikonov B.S. // J. Nucl. Mater. 2018. Vol. 500. P. 153-
Vol. 663. P. 27-34.
165.
228. Amoroso J., Marra J.C., Tang M., Lin Y., Chen F.,
211. Stefanovsky S.V., Stefanovsky O.I., Danilov S.S.,
Su D., Brinkman K.S. // J. Nucl. Mater. 2014. Vol. 454.
Kadyko M.I. // Ceram. Int. 2019. Vol. 45. P. 9331-9338.
212. Lee S., Uehara H., Maçon A.L.B., Maeda H., Obata A.,
P. 12-21.
Ueda K., Narushima T., Kasuga T. // Mater. Trans.
229. Amoroso J.W., Marra J., Dandeneau Ch.S. // J. Nucl.
2016. Vol. 57, N 12. P. 2072-2076.
Mater. 2017. Vol. 486. P. 283-297.
213. Vienna J.D., Collins E.D., Crum J.V., Ebert W.L.,
230. Britvin S.N., Lotnyk A., Kienle L., Krivovichev S.V.,
Frank S.M., Garn T.G., Gombert D., Jones R.,
Depmeier W. // J. Am. Chem. Society. 2011. Vol. 133.
Jubin R.T., Maio V.C., Marra J.C., Matyas J.,
P. 9516-9525.
Nenoff T.M., Riley B.J., Sevigny G.J., Soelberg N.R.,
231. Zubekhina B.Yu., Burakov B.E., Petrov Yu.Yu.,
Strachan D.M., Thallapally P.K., Westsik J.H. Closed
Britvin S.N. // Mater. Res. Soc. Advan. 2018. Vol. 3.
Fuel Cycle Waste Treatment Strategy. Idaho Falls:
INL, 2015. 146 p.
P. 1111-1116.
214. Crum J., Maio V., McCloy J., Scott C., Riley B.,
232. Carter M.L., Vance E.R. // Mater. Res. Soc. Symp.
Benefiel B., Vienna J., Archibald K., Rodriguez C.,
Proc. 2008. Vol. 1107. P. 323.
Rutledge V., Zhu Z., Ryan J., Olszta M. // J. Nucl. Mater.
233. Gregg D.J., Farzana R., Dayal P., Holmes R. // J. Am.
2014. Vol. 444. P. 481-492.
Ceram. Society. 2020. Vol. 103, Iss. 10. P. 5424-5441.
215. Kidari A., Magnin M., Caraballo R. Tribet M.,
234. Experiences and Trends of Manufacturing Technology
Doreau F., Peuget S., Dussossoy J-L., Bardez-
of Advanced Nuclear Fuels: IAEA-TECDOC-1686.
Giboire I., Jégoub C. // Proc. Chem. 2012. Vol. 7.
Vienna: IAEA, 2012. 113 p.
P. 554-558.
216. Chouard N., Caurant D., Majérus O., Dussossoy J.L.,
235. Strachan D.M., Scheele R.D., Buck E.C.,
Klimin S., Pytalev D., Baddour-Hadjean R., Pereira-
Icenhower J.P., Kozelisky A.E., Sell R.L., Elovich R.J.,
Ramos J.P. // J. Mater. Sci. 2015. Vol. 50. P. 219-241.
Buchmiller W.C. // J. Nucl. Mater. 2005. Vol.
345.
217. Zhu H., Wang F., Liao Q., Zhu Y. // J. Nucl. Mater.
P. 109-135.
2020. Vol. 532. Article ID 152026.
236. Gieré R, Lumpkin G.R., Smith K. // In: Highlights
218. He Y., Lu Y., Zhang Q. // J. Nucl. Mater. 2008. Vol. 376,
in Applied Mineralogy / Eds. S. Heuss-Aßbichler,
N. 2. P. 201-206.
G. Amthauer. 2017. 344 p.
219. Asuvathraman R., Kitheri J., Madhavan R.R., Sudha R.,
237. Carmack, W.J., Braase L.A., Wigeland R.A.,
Prabhu K.R., Govindan Kutty K.V. // J. Eur. Ceram.
Soc. 2015. Vol. 35. P. 4233-4239.
Todosow M. // Nucl. Eng. Des. 2017. Vol. 313. P. 177-
220. Liu J., Wang F., Liao Q., Zhu H., Liu D., Zhu Y. // J.
184.
Nucl. Mater. 2019. Vol. 513. P. 251-259.
238. State-of-the-Art Report on Light Water Reactor
221. Tumurugoti P., Betal S., Sundaram S.K. // Int. Mat. Rev.
Accident-Tolerant Fuels. Paris: NEA, 2018. 367p.
2020.
239. Komnitsas K., Zaharaki D. // Miner. Eng. 2007. Vol. 20,
https://doi.org/10.1080/09506608.2020.1743592
N 14. P. 1261-1277.
222. Wilkins M.C.D., Maddrell E.R., Stennett M.C.,
240. Pierce E.M., Serne R.J., Um W., Mattigod S.V.,
Hyatt N.C. // IOP Conf. Series: Mater. Sci. Eng. 2020.
Icenhower J.P., Qafoku N.P., Westsik J.H., Scheele R.D.
Vol. 818. Article ID 012018.
223. Sobolev I.A., Stefanovskii S.V., Lifanov F.A.
//
Review of Potential Candidate Stabilization
Radiochemistry. 1993. Vol. 35. P. 330-336.
Technologies for Liquid and Solid Secondary Waste
224. Матюнин Ю.И., Демин А.В., Смелова Т.В. // Атом.
Streams: PNNL-19122. 2010. 105 p.
энергия. 1997. Т. 83, № 5. C. 330-336.
241. Davidovitz J. Geopolymer Chemistry and Applications.
225. Кушников В.В., Матюнин Ю.И., Смелова Т.В. //
5-th edition. Saint-Quentin, France: Inst. Géopolymère,
Атом. энергия. 1997. Т. 83, №5. C. 336-341.
2020. 674 p.
226. Князев О.А. Получение материала SYNROC мето-
242. Technology Readiness Assessment Guide: Report
дом индукционного плавления в холодном тигле:
G 413.3-4A. Washington, DC: US DOE, 2011.
Дисс. … к.т.н. М.: ВНИИНМ, 2000. 199 с.
227. Demine A.V., Krylova N.V., Polyektov P.P.,
243. Указ Президента Российской Федерации от
Shestoperov I.N.,
Smelova T.V., Gorn V.F.,
16.04.2020 года № 270.
РАДИОХИМИЯ том 63 № 5 2021