РАДИОХИМИЯ, 2020, том 62, № 6, с. 536-540
УДК 546.42.02.90
РЕКОНСТРУКЦИЯ ЗАГРЯЗНЕНИЯ И ОЧИЩЕНИЯ ВОД
БЕЛОГО МОРЯ ОТ ГЛОБАЛЬНОГО 90Sr
© 2020 г. Н. А. Бакунов, Д. Ю. Большиянов, С. А. Правкин*, А. С. Макаров
Арктический и Антарктический научно-исследовательский институт, 199397, Санкт-Петербург, ул. Беринга, 38
*e-mail: s.pravkin@aari.ru
Получена 05.06.2019, после доработки 08.07.2019, принята к публикации 09.07.2019
Реконструировано с использованием трехкомпонентной экспоненциальной модели загрязнение глобаль-
ным 90Sr вод Белого моря на время миграции 50 лет. Т1, Т2 и Т3 - периоды полуочищения беломорских вод
от 90Sr - составили 0.8, 15.4 и 29 лет соответственно. За 50 лет миграции уровни 90Sr в воде снизились с
41 до 2-3 Бк/м3. Максимальное снижение 90Sr пришлось на 1965-1968 гг. Вынос 90Sr в 1970 г. из Белого
моря составил 37.5, а привнос с баренцевоморскими водами - 25.5 ТБк. Вынос частично компенсиро-
вался поступлением 4 ТБк 90Sr с водами рек Сев. Двина, Онега, Мезень. Беломорские воды являются
для Баренцева моря слабым источником 90Sr. Влияние этого источника на загрязнение номинально, так
как объем вод Белого моря в 40 раз меньше Баренцева моря. Привнос глобального 90Sr со стоком рек
замедляет процесс замены более загрязненных беломорских вод на более «чистые» воды Баренцева
моря. Определения 90Sr в воде Белого моря (1965-2015 гг.) по экспоненциальной модели подтверждены
данными экспериментальных наблюдений за 90Sr в заливах моря. В течение 50 лет в полузамкнутом
Белом море сохранялись в 1.5-2 раза более высокие уровни 90Sr, чем в Баренцевом море.
Ключевые слова: 90Sr, море, сток рек, полупериод очищения, реконструкция
DOI: 10.31857/S0033831120060106
90Sr является одним из основных компонентов
что в толще вод (0-250 м) Северного Ледовитого
загрязнения вод Мирового океана искусствен-
океана около 40% радионуклида имеет промыш-
ными радионуклидами (ИРН) [1-5]. В геохимии
ленное происхождение [13]. Наиболее отчетливо
океана элемент Sr относится к консервативным.
загрязнение гидросферы ИРН проявилась в морях
Его содержание в океане 8 мг/л, концентрации
средиземноморского типа из-за ограниченного об-
элемента в море согласуются с изменением соле-
мена вод с океаном [1, 2, 5] и небольших глубин. В
ности вод. Время миграции 90Sr (Т1/2 = 29 лет) в
них небольшого запаса глубинных чистых от ИРН
гидросфере Земли превысило 60 лет. Эта величина
вод было недостаточно для разбавления радиоак-
несоизмерима с временем жизни 105 лет в океане
тивного загрязнения моря водами глубин.
стабильных нуклидов элемента Sr [6]. В геохимии
Поэтому в Балтийском и Каспийском морях
суши 90Sr относят к водным мигрантам. Сток 90Sr
[4, 14-16] наблюдались более высокие уровни
глобальных выпадений достигал 0.5% его запаса
ИРН, чем в океане. Априорно можно принять, что
на водосборах рек [7, 8].
Белое море как полузамкнутый водоем [17] харак-
Загрязнение северных морей России обуслов-
теризовался в 1961-1966 гг. повышенным загряз-
лено выпадениями ИРН из атмосферы после экс-
нением ИРН вод и накоплением их в отложениях
периментальных ядерных взрывов, дампинга ИРН
дна. Этому способствовали небольшие глубины
в воды Северного моря и стока 90Sr с водами рек
моря и значительный речной сток.
европейского Севера и Сибири [2, 3, 9-12]. Гло-
Актуальность изучения миграции ИРН в морях
бальные выпадения 90Sr до настоящего времени
средиземноморского типа связана с использовани-
[4, 11, 13] доминируют среди источников загряз-
ем вод в системах охлаждения АЭС и низкой устой-
нения морей 90Sr. В тоже время для другого ком-
чивости к загрязнениям из-за небольших глубин и
понента загрязнения морей 137Cs допускается,
замедленного обмена вод с океаном. Результаты
536
РЕКОНСТРУКЦИЯ ЗАГРЯЗНЕНИЯ И ОЧИЩЕНИЯ ВОД БЕЛОГО МОРЯ
537
исследований миграции ИРН в таких морях необ-
те моря [9], уровни 90Sr в стоке его рек [8, 10] и
ходимы для прогноза на случаи аварийных ситуа-
морфогидрологические характеристики водоема
ций на АЭС и для мониторинга регламентируемых
[6, 17]. В реконструкции использовали сложивши-
сбросов ИРН в морскую среду.
еся представления об очищении атмосферы от гло-
В сводке уровней 90Sr в водах морей Северно-
бального 90Sr и динамике его уровней в морских и
го Ледовитого океана [18, 19] загрязнению Белого
пресных водах [5, 7, 8, 10-14]. Результаты рекон-
моря уделено значительное внимание. Монито-
струкции уровней глобального 90Sr в водах Белого
ринг вод Белого моря не включал одновременного
моря сравнивались с данными загрязнения вод Ба-
определения 90Sr в водах четырех заливов (Кан-
ренцева и Балтийского морей [11, 14, 15].
далакшский, Онежский, Двинский, Мезенский),
Конспективно остановимся на отдельных ха-
принимающих сток рек от ~5 до 105 км3 в год.
рактеристиках Белого моря и данных поступления
Поэтому на оценки средних уровней 90Sr в водах
90Sr в море с водами рек. Площадь моря состав-
моря [18] могли повлиять такая особенность ги-
ляет 90 тыс. км2, объем вод 4.4 тыс. км3. Средняя
дрологии водоема и обмен его вод с Баренцевым
глубина моря равна 49 м. Белое море ежегодно
морем. Предстояло выяснить, будут ли результаты
принимает 2020 км3 баренцевоморских вод и воз-
мониторинга глобального 90Sr в воде Белого моря
вращает ему 2200 км3 распресненных беломор-
согласовываться с результатом реконструкции за-
ских вод. Сток рек составляет 4% от объема вод
грязнения его вод 90Sr, выполненной с учетом сло-
моря. Наблюдения за 90Sr в 1996-2015 гг. отно-
жившегося знания миграции глобального 90Sr в
сятся к поверхностным водам Двинского залива
пресных и морских водах.
[20]. Плотность выпадений 90Sr на широте Белого
Задача исследования состояла в реконструкции
моря составила 2.0 кБк/м2 [9]. При площади моря
уровней глобального 90Sr в водах Белого моря,
90 тыс. км2 на его поверхность выпало 180 ТБк
проводимой в целях изучения особенностей фор-
глобального 90Sr. При таком запасе 90Sr в море и
мирования загрязнения и очищения вод моря от
допущении его моментального осреднения в объ-
90Sr. Объектом исследования стали уровни 90Sr в
еме вод уровень 90Sr 41 Бк/м3 .Этот уровень90Sr в
воде Белого, Баренцева морей и реках (Сев. Двина,
воде Белого моря на 1964 год в ~1.6 раза больше
Онега, Мезень), обеспечивающих основной сток
экспериментально определенного уровня 90Sr в
90Sr с водосбора в Белое море. Предполагалось
воде Баренцева моря [19]. Более высокий уровень
на основе реконструкции содержания 90Sr в воде
90Sr в Белом море обусловлен небольшой глубиной
Белого моря выявить особенности загрязнения и
водоема и задержкой в обмене вод с Баренцевым
естественного очищения вод этого полузамкнуто-
морем. В Белом море воды сменяются за ~1 год.
го водоема от 90Sr за 50-летний период миграции.
Уровень 90Sr 41 Бк/м3 принят за начальную кон-
В отличие от работ, посвященных вопросам мони-
центрацию С0 в море на 1964 г. То, насколько пра-
торинга 90Sr в водах Белого моря [5, 18-20], нами
вомерным является привлечение к расчетам С0 =
изучалось формирование загрязнения его вод, вы-
41 Бк/м3, проверяли путем сравнения с данными
яснялась роль речного стока и обмена водных масс
загрязнения 90Sr вод Финского залива.
между морями на миграцию 90Sr.
Белое море и Финский залив имеют близкие
ЭКСПЕРИМЕНТАЛЬНАЯ ЧАСТЬ
средние глубины, оба водоема замерзают и прини-
Мониторинг 90Sr в атмосфере, водах морей и
мают значительный речной сток. В 1964 и 1965 гг.
рек России проводили с использованием аппара-
концентрация 90Sr в Финском заливе [15] соста-
турно-методического комплекса, обеспечившего
вила 59.2 и 43.8 Бк/м3 соответственно. Последнее
определение низких уровней 90Sr в контролиру-
значение уровня согласуется с нашей оценкой 90Sr
емых средах. Из пресных и морских вод 90Sr вы-
в Белом море. При реконструкции уровней 90Sr в
деляли радиохимическим методом с последую-
воде Белого моря учитывалось относительно бы-
щим измерением препаратов на низкофоновом
строе снижение выпадений 90Sr из атмосферы на
бета-спектрометре [21]. В основе реконструкции
поверхность земли и уменьшение вклада аэраль-
загрязнения 90Sr вод Белого моря - данные куму-
ного канала в загрязнение поверхностных вод
лятивного выпадения глобального 90Sr на широ-
[4, 5, 7-9].
РАДИОХИМИЯ том 62 № 6 2020
538
БАКУНОВ и др.
двухкомпонентная модель. Сложный гидрологи-
ческий режим Белого моря [6, 17] затрудняет опре-
деление загрязнения вод 90Sr. При мониторинге не
проводилось одновременных наблюдений за 90Sr в
центральном районе моря и его четырех заливах.
Поэтому в сводке уровней 90Sr в Белом море [18] его
концентрация представлена не средним значени-
ем, а экстремумом, относящимся к ~5 и 10-летним
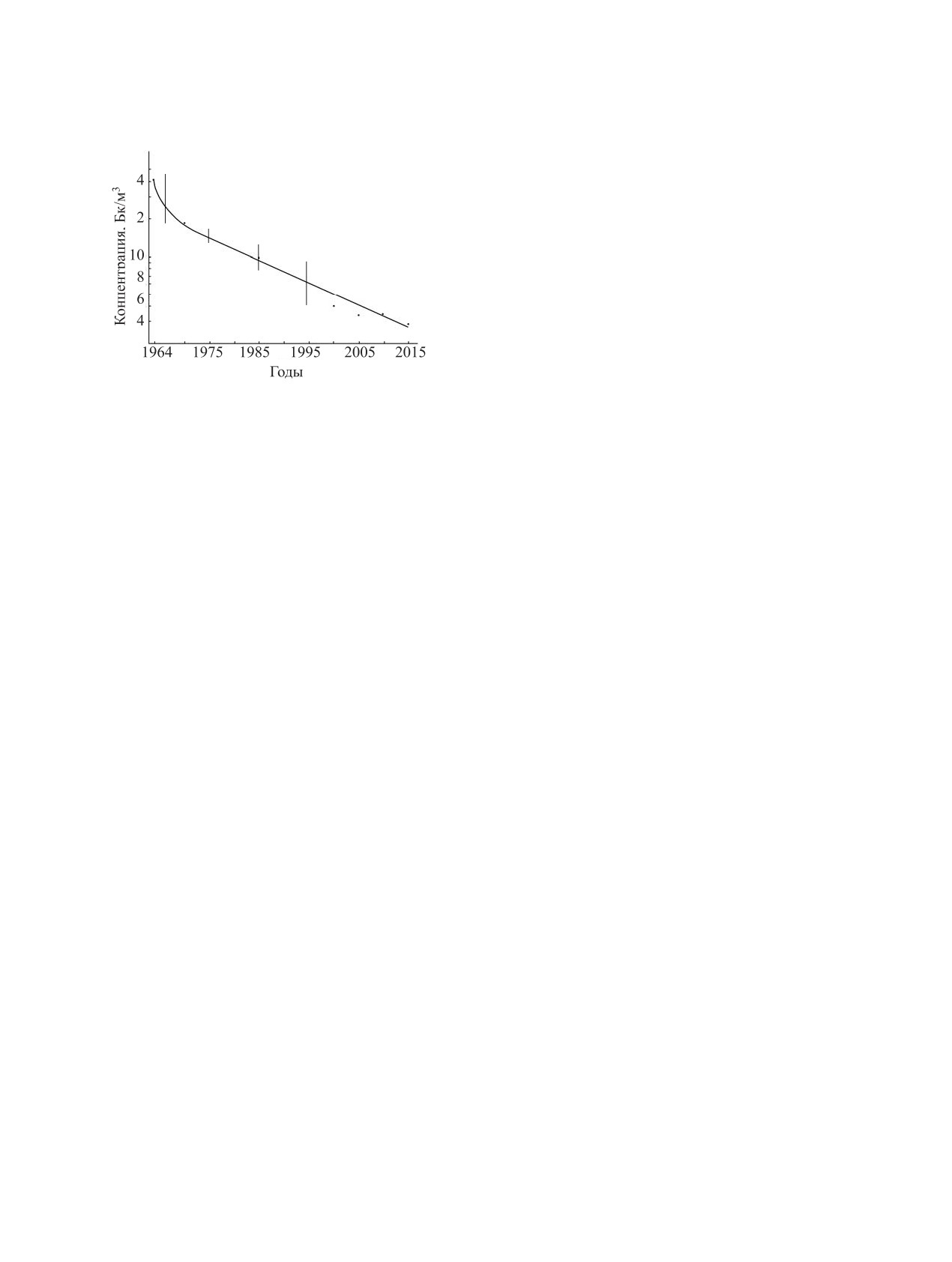
интервалам наблюдений за 90Sr. На рисунке при-
ведены результаты расчета динамики 90Sr в Белом
море. Рисунок дополнен значениями экстремумов
90Sr в воде [18] по наблюдениям 1963-1996 гг. в це-
лях проверки направленности тренда уровней 90Sr
90Sr в водах Белого моря в 1964-2015 гг., Бк/м3, резуль-
в море за ~30 лет миграции в водоеме.
тат реконструкции. Вертикальные линии - экстремумы
[18] 90Sr в воде, Бк/м3. Точки на графике - 90Sr в воде
В тренде уровней 90Sr в водах моря интеграль-
Двинского залива [19, 20].
но отразился результат воздействия разнообраз-
ных по своей природе факторов на поступление
Снижение содержания 90Sr в водах Белого моря
глобального 90Sr в водоем и на его длительную
с 1965 по 2015 гг. аппроксимировано суммой трех
миграцию. Концентрация 90Sr в море снизилась с
экспонент с быстрой и медленной компонентой
41 до 2-3 Бк/м3. Наибольшее снижение 90Sr при-
Ct = C0{(K1ехр(-0.693t/Т1) + K2ехр(-0.693t/Т2)
шлось на 1965-1968 гг. Здесь на фоне уменьшения
+ K3ехр (-0.693t/Т3)},
выпадений 90Sr из атмосферы возросла роль об-
мена вод Белого моря на баренцевоморские воды
где Ct - концентрация 90Sr в воде на время t, Бк/м3;
с меньшим уровнем загрязнения. В модели этот
C0 - начальная концентрация 90Sr в воде, Бк/м3; K1,
период изменений содержания 90Sr в воде моря
K2, K3 - вклады (в долях) компонент, равные 0.4,
связан с «быстрой» компонентой экспоненты и по-
0.55, 0.05 соответственно; Т1, Т2, Т3 - период полу-
лупериодом Т1. Дальнейшее снижение 90Sr в воде
очищения вод 0.8, 15.4, 29 лет. Выбор значения Т1
моря было постепенным, тогда как на Балтике
определялся фактом быстрого очищения атмосфе-
до 1975 г. сохранялся уровень 23-25 Бк/м3 [4, 14,
ры от глобального 90Sr в первые годы после прекра-
15]. Отдельные наблюдения за 90Sr в Белом море в
щения испытаний. На начальном этапе очищение
1970 и 1985 гг. [5, 19] и в водах Двинского залива
атмосферы от ИРН оценивалось полупериодом Т
(1995-2015 гг.) привлечены к обсуждению резуль-
около года [1, 7, 9]. Полуобмен вод с Баренцевым
татов реконструкции 90Sr в водах моря.
морем 0.5 года. В отличие от морей юга страны и
Баренцева моря, выпадения глобального 90Sr в те-
В 1970 и 1985 гг. [5, 19] в водах Белого моря
чение 6-7 месяцев приходились на снежно-ледя-
90Sr содержалось 17-19 и 10.3, а по данным ре-
ной покров Белого моря. Поэтому часть 90Sr вклю-
конструкции - 17.5 и 9.2 Бк/м3 соответственно. В
чалась в водную миграцию с запаздыванием после
конце временного ряда (см. рисунок) уровни 90Sr
таяния льда. С учетом влияния упомянутых факто-
в воде моря близки к наблюдаемым в Двинском
ров на миграцию 90Sr полупериод Т1 очищения вод
заливе 2.8-4.3 Бк/м3. При сравнении результатов
принят равным 0.8 года. Полупериод Т2 выбирали
расчета уровней 90Sr по модели с опытными дан-
с учетом динамики очищения от глобального 90Sr
ными следует иметь в виду, что данные расчета
вод рек бассейна Белого моря [8, 10, 22]. Полупе-
90Sr (см. рисунок) характеризуют среднее значение
риод Т очищения вод рек Онеги и Сев. Двины от
для вод моря, а опыта - уровни в поверхностном
90Sr с 1964 по 1994 гг. составил 15.0 и 15 4 лет [22].
слое вод в районе наблюдений [5, 19, 20].
Т2 принят равным 15.4 лет. Полупериод Т3 равен
Белое море сопряжено по стоку с Баренцевым.
Тфиз 90Sr 29 лет.
Поэтому обмен вод между морями влиял на фор-
Трехкомпонентная экспоненциальная модель
мирование уровней 90Sr в воде Белого моря. В Ба-
применялась в оценках уровней 90Sr в озерах Ура-
ренцевом море [11, 19] концентрация 90Sr в 1970 г.
ла [23], но она не показала лучшего прогноза, чем
(8.0 Бк/м3) была в два раза меньше, чем в Белом -
РАДИОХИМИЯ том 62 № 6 2020
РЕКОНСТРУКЦИЯ ЗАГРЯЗНЕНИЯ И ОЧИЩЕНИЯ ВОД БЕЛОГО МОРЯ
539
Таблица 1. Вынос 90Sr из Белого моря и поступление в море со стоком рек (1966-2015 гг.)
Потоки 90Sr
1966-1970
1971-1975
1976-1980
2001-2005
2011-2015
Вынос из моря, ТБк
221.5
167.8
135.9
47.9
31.8
Привнос в море со стоком рек, ТБк
102.5
79.2
67.4
5.3
4.2
Таблица 2. Поступление 90Sr в 1970 г. в Белое море с водами Баренцева моря и возврат ему беломорских вод
90Sr в воде моря, Бк/м3 [19, 24]
Поступление 90Sr, ТБк (расчет)
Белое
Баренцево
в Белое море из Баренцева
в Баренцево море из Белого
17.0
12.6
25.5
37.5
17 Бк/м3 [5, 19]. По другим данным (7 проб), в
Для выяснения привноса 90Sr в Белое море с
1970 г. в Баренцевом море уровень 90Sr составил
водами Баренцева моря (2020 км3/год) и возврата
12.6 Бк/м3 [24]. В баренцевоморских водах с 1963
ему распресненных (2200 км3/год) беломорских
по 1970 гг. уровни 90Sr снижались с 24 до 8 [19], а
вод выбраны данные наблюдений за 1970 год. Этот
в беломорских - с ~41 до 20 Бк/м3 (см. рисунок). В
год предшествует максимальному сбросу 90Sr в
конце временного ряда уровни 90Sr в Двинском за-
Северное море (1972-1975 гг.). На этот год имеют-
ливе удовлетворительно согласуются с расчетной
ся экспериментальные определения 90Sr в обоих
линией тренда 90Sr. В 2000, 2005, 2010 и 2015 гг.,
морях [11, 19, 24]. Предполагалось, что при таких
по данным опыта [20], уровни 90Sr в воде Двинско-
условиях можно корректней оценить обмен между
го залива составили 4.0, 3.4, 3.5 и 2.8, а расчету -
морями 90Sr (табл. 2). Вынос 90Sr из Белого моря
4.9, 4.0, 3.3 и 2.7 Бк/м3 соответственно. С увели-
в 1.5 раза выше поступления в него 90Sr с водами
чением времени миграции 90Sr его уровни в воде
Баренцева моря. Часть этого превышения обуслов-
становятся ближе к уровням в Баренцевом море
лена разницей (1.1 раза) в объемах поступающих и
[20]. Коэффициент корреляции (R) между уровня-
выносимых вод, тогда как другая - более высоким
ми 90Sr в водах Белого и Баренцева морей для ин-
содержанием 90Sr в водах Белого моря. Из балан-
тервала 1996-2015 гг. составил 0.57.
совой оценки следует, что Белое море для Барен-
цева является дополнительным источником 90Sr.
Результаты реконструкции 90Sr в водах Белого
Роль Белого моря в загрязнении Баренцева моря
моря использованы в определениях выноса 90Sr в
номинальна, объем вод Белого моря в 40 раз мень-
баренцевоморский бассейн (табл. 1). Вынос 90Sr
ше Баренцева моря. Вынос 90Sr из Белого моря в
из Белого моря в Баренцево сравнивался с посту-
1970 г. превысил поступление на 12.0 ТБк.
плением в море 90Sr с водами рек, что позволило
оценить роль речного стока в загрязнении моря. За
Потери 90Sr из Белого моря частично восполня-
1966-2015 гг. привнос 90Sr в Белое море с речным
ются привносом 90Sr со стоком рек. В 1971-1975 гг.
стоком уменьшился в ~25, а вынос 90Sr из моря -
средние концентрации 90Sr в водах Сев. Двины,
в 7 раз. Во времени (1966-2015 гг.) изменялось
Онеги и Мезени изменялись от 29.1 до 23.6 Бк/м3
отношение между потоками
90Sr. Если в первое
[8, 10]. Осредненная величина равна 26.4 Бк/м3. В
десятилетие после выпадения 90Sr на поверхность
Белое море с водами трех рек (154 км3) в 1970 г.
земли отношение между потоками 90Sr вынос из
поступило 4.0 ТБк 90Sr. Сток рек на одну треть
моря-привнос стоком рек составило ~2 : 1, то в
компенсировал потери (12 ТБк) 90Sr из Белого
дальнейшем отношение увеличилась до ~10 : 1.
моря. В 1970 году в Белое море с баренцевомор-
Истощение запасов 90Sr в водах и донных отложе-
скими водами поступило 90Sr в 6 раз больше, чем с
ниях Белого моря в совокупности с уменьшением
речным стоком. Воды рек служат для Белого моря
поступления с водами рек обусловили наблюдае-
долговременным источником глобального 90Sr, а
мые изменения в миграции 90Sr. Если в интервале
обмен вод с Баренцевым морем - каналом есте-
1966-1975 гг. вынос 90Sr из Белого моря на поло-
ственного очищения вод. Обмен более «чистых»
вину восполнялся притоком 90Sr с водами рек, то к
от 90Sr баренцевоморских вод на более «грязные»
2011-2015 гг. речной сток компенсировал не более
воды Белого моря приводит к постепенному очи-
13% потерь, обусловленных выносом 90Sr в Барен-
щению беломорских вод. Сток рек поддерживает
цево море.
уровни 90Sr в водах Белого моря. Однако не сток,
РАДИОХИМИЯ том 62 № 6 2020
540
БАКУНОВ и др.
а обмен загрязненными 90Sr водными массами
10. Chumichev V.B. Sr-90 Discharge with Main Rivers of
между Белым и Баренцевым морями формирует
Russia into Arctic Ocean during 1961-1990. Osteras,
Norway: Scienfic Commitee of the Environmental
современные уровни 90Sr в водах Белого моря. 90Sr
Radioactivity in the Arctic and Antarctic, 1995. Р.79-83.
является водным мигрантом. Поэтому наблюдае-
11. Вакуловский С.М. // Атом. энергия. 2013. Т. 114,
мый перенос 90Sr из Белого моря в Баренцево со-
№ 5. С. 296.
гласуется с аналогичной миграцией и очищением
12. Kershaw P, Baxter A. // Deep-Sea Res., 1995. Vol. 42,
беломорских вод от трития [25].
N 6. P. 1413.
В Белом море уровни 90Sr в воде удовлетвори-
13. Никитин А.И., Катрич И.Ю., Кабанов А.И., Чуми-
тельно прогнозировались на срок 50 лет с помо-
чев В.Б., Смагин В.М. // Атом. энергия. 1991. Т. 71,
№ 2. С. 169.
щью трехкомпонентной экспоненциальной мо-
14. Гедеонов Л.И., Блинов В.А., Иванова Л.И.,
дели. Сравнение расчетных уровней 90Sr в воде с
Цариковская И.М. // Атомные электриче-
данными опыта подтвердили адекватность модели
ские станции. М.: Энергоатомиздат,
1981.
и возможность ее применения в оценках миграции
С. 159.
90Sr. Анализ 50-летней миграции 90Sr в сопряжен-
15. Чумичев В.Б. // Тр. ИЭМ. 1974. № 3(42). С. 63.
ной по стоку системе Белое море-Баренцево пока-
16. Бакунов Н.А. // Метеорология и гидрология. 2003.
зал, что обмен водных масс между морями опреде-
№ 7. С. 69.
ляет процесса постепенного очищения вод Белого
17. Добровольский А.Д., Залогин Б.С. Моря СССР. М.:
моря от глобального 90Sr.
Изд-во МГУ, 1982. 191 с.
18. Сhumichev V. // Third Int. Conf. on Environmental
КОНФЛИКТ ИНТЕРЕСОВ
Radioactivity in the Arctic. Tromse, Norway, June 1-5,
1997. Vol. 2. P. 189.
Авторы заявляют об отсутствии конфликта
19. Сивинцев Ю.В., Вакуловский С.М., Васильев А.П.,
интересов.
Высоцкий В.Л., Губин А.Т., Данилян В.А., Кобзев В.И.,
СПИСОК ЛИТЕРАТУРЫ
Крышев И.И., Лавковский С.А., Мазокин В.А., Ники-
тин А.И., Петров О.И., Пологих Б.Г., Скорик Ю.И.
1. Шведов В.П., Патин С.А. Радиоактивность океанов
Техногенные радионуклиды в морях, омывающих
и морей. М.: Атомиздат, 1966. 272 с.
Россию: Белая книга 2000. М.: ИздАт, 2005. Р. 214.
2. Громов В.В., Москвин А.И., Сапожников Ю.А. Тех-
20. Радиационная обстановка на территории России и
ногенная радиоактивность Мирового океана. М.:
сопредельных государств: Ежегодник. Гидрометео-
Атомэнергоиздат, 1985. 272 с.
издат, 1996-2015.
3. Матишов Г.Г., Матишов Д.Г. Радионуклиды в си-
21. Методические рекомендации по определению ради-
стеме региона Баренцева и Карского морей. Апати-
оактивного загрязнения водных объектов / Под ред.
ты, 1994. 237 с.
С.М. Вакуловского. М.: Гидрометеоиздат, 1986. 78 с.
4. Voipio A., Salo A. // Nordic Hydrol. 1971. Vol. 2. P. 57.
22. Бакунов Н.А., Большиянов Д.Ю., Макаров А.С. //
5. Вакуловский С.М. , Никитин А.И., Чумичев В.Б. //
Радиохимия. 2012. Т. 54, № 2. С. 188.
Атом. энергия.1988. Т. 65, № 1. С. 66.
23. Левина С.Г., Шагина Н.Б., Аклеев А.В., Захаров С.Г.,
6. Алекин О.А., Ляхин Ю.И. Химия океана. Л.: Гидро-
Шибкова Д.З., Дерягин В.В., Удачин В.Н., Попо-
метеоиздат, 1984. 343 с.
ва И.Я., Земерова З.П. // Радиационная биология.
7. Махонько А.П., Авраменко А.С., Бобовникова Ц.И.,
Радиоэкология. 2008. Т. 48, № 5. С. 616.
Чумичев В.Б. // Метеорология и гидрология.1977.
24. Буянов Н.П., Лаптев М.И. Прудников Л.В., Оскол-
№ 10. С. 62.
кова Н.М. // V Всесоюз. науч. симпоз. «Вопросы
8. Бакунов Н.А. // Вод. ресурсы. 1999. Т. 26, № 2.
смешения сточных вод и самоочищения водоемов».
С. 198.
M.: 18-21 ноября 1975. С. 36.
9. Болтнева Л.И., Израэль Ю.А., Ионов В.А., На-
25. Сойфер В.Н., Горячев В.А., Вакуловский С.М., Ка-
заров И.М. // Атом. энергия. 1977. Т. 42, № 5.
трич И.Ю. Тритиевые исследования природных вод
С. 355.
России. М.: ГЕОС, 2008. 286 с.
РАДИОХИМИЯ том 62 № 6 2020