РАДИОХИМИЯ, 2020, том 62, № 6, с. 526-535
УДК 621.039.7
ОПРЕДЕЛЕНИЕ ПАРАМЕТРОВ ПОРИСТОЙ
СТРУКТУРЫ ОБЛУЧЕННОГО ГРАФИТА, ВЛИЯЮЩИХ
НА МЕХАНИЗМЫ ВЫХОДА ДОЛГОЖИВУЩИХ
РАДИОНУКЛИДОВ ПРИ КОНТАКТЕ С ЖИДКИМИ
СРЕДАМИ
© 2020 г. А. О. Павлюка, С. Г. Котляревскийа, Р. И. Кана, А. Г. Волковаb, Д. А. Золотовc,
А. В. Пахневичd,e, Е. В. Захароваb, А. А. Ширяевb,*
а Опытно-демонстрационный центр вывода из эксплуатации уран-графитовых реакторов,
636000, Северск Томской обл., Автодорога 13, зд. 179А
b Институт физической химии и электрохимии им. А. Н. Фрумкина РАН,
119071, Москва, Ленинский пр., д. 31, корп. 4
c Институт кристаллографии им. А.В. Шубникова ФНИЦ «Кристаллография и фотоника» РАН,
119333, Москва, Ленинский пр., д. 59
d Палеонтологический институт им. А.А. Борисяка РАН, 117997, Москва, ул. Профсоюзная, д. 123
e Лаборатория нейтронной физики им. И. М. Франка Объединенного института ядерных исследований,
141980, Дубна Московской обл., ул. Жолио-Кюри, д. 6
*e-mail: a_shiryaev@mail.ru; shiryaev@phyche.ac.ru
Получена 05.11.2019, после доработки 21.12.2019, принята к публикации 28.12.2019
Проанализированы особенности пористой структуры облученного и необлученного реакторного гра-
фита отечественных марок. Определены параметры пористости, влияющие на процесс выщелачивания
радионуклидов из графитовых РАО: доля открытой пористости, функция распределения пор по радиусу
проходного сечения, площадь поверхности открытых пор. Оценен объем открытых пор в облученном
графите, доступных для насыщения выщелачивающими водными средами. С учетом влияния пористо-
сти предложена модель процесса выщелачивания радионуклидов из облученного графита. Определены
параметры, численно характеризующие графитовые РАО по стойкости к выщелачиванию и не зависящие
от геометрических форм отдельных фрагментов (образцов).
Ключевые слова: облученный графит, пористая структура, распределение пор, открытая пористость,
выщелачивание радионуклидов
DOI: 10.31857/S003383112006009X
ВВЕДЕНИЕ
промышленных (ПУГР) и энергетических УГР,
составляет около 60 тыс. тонн. В настоящее вре-
В настоящее время в мире насчитывается более
мя активно обсуждаются вопросы его захоронения
100 энергетических и промышленных уран-графи-
[1]. Проблема обращения с облученным графитом
товых реакторов (УГР), преимущественно распо-
остается актуальной не только в России, так как
ложенных на территориях Российской Федерации,
принятые нормативные показатели не позволяют
Франции, Великобритании, США. Большинство
реакторов данного типа остановлено. Остающие-
отправлять графит в существующие приповерх-
ся в эксплуатации энергоблоки с УГР планируется
ностные пункты захоронения радиоактивных от-
остановить в ближайшие 20 лет. Общая масса об-
ходов (РАО) без предварительной дезактивации
лученного графита (блоки, втулки, кольца, крошка
для снижения содержания долгоживущих ради-
и др.), накопившегося в РФ в результате работы
онуклидов (критерии приемлемости действуют
526
ОПРЕДЕЛЕНИЕ ПАР
АМЕТРОВ ПОРИСТОЙ СТРУКТУРЫ ОБЛУЧЕННОГО ГРАФИТА
527
не во всех странах) [2]. В рамках международно-
ственно повлиять на характер выхода радионукли-
го проекта GRAPA, организованного МАГАТЭ,
дов из облученного графита на различных этапах
с участием специалистов из РФ продолжается
обращения с ним, включая хранение [6], захоро-
анализ свойств графита и технологий обращения
нение, жидкостную и/или термическую дезактива-
с ним с целью разработки практических рекомен-
цию [7-9].
даций по решению проблемы [3]. Значительный
РЕЗУЛЬТАТЫ
объем работ по оценке свойств графита, особенно
в части исследования процессов выщелачивания
Особенности формирования объемного со-
из зарубежного графита, был выполнен в рамках
держания основных долгоживущих радиону-
Европейского проекта CAST, основные результа-
клидов в графите в условиях эксплуатации в
ты которого опубликованы в специальном выпуске
УГР. Графитовые кладки отечественных УГР экс-
журнала Radiocarbon [4].
плуатируются (эксплуатировались) либо в атмос-
фере газообразного азота (ПУГР, АМБ, АМ), либо
Степень потенциальной опасности основной
в азотно-гелиевой атмосфере (РБМК). При этом
массы графитовых РАО (~95%) определяется на-
газ заполняет все полости в графитовой кладке,
личием преимущественно долгоживущих радио-
нуклидов 14С и 36Сl. Часть графита (~5%) содержит
включая зазоры между графитовыми деталями, а
также весь объем открытой пористости. Особен-
значительное количество изотопов «топливного»
ности накопления 14С в графите рассмотрены в
происхождения (актиниды и продукты деления),
которые определяют потенциальную опасность
работах [7, 10]. Отмечено, что значительная доля
этой доли графитовых РАО. Изотоп 14С (период
(50-80%) 14С образуется по каналу 14N(n,p)14C из
газообразного азота и фиксируется в приповерх-
полураспада 5.37×103 лет) является доминирую-
щим по удельной активности радионуклидом. Его
ностном слое графитовых деталей, стенок откры-
удельная активность в графите российских УГР
тых для газа пор, поверхностей графитовых кри-
составляет 104-2.5×106 Бк/г. Для 36Cl (период по-
сталлитов, доступных для газообразного азота.
лураспада 3.1×105 лет) значение удельной актив-
По расчетам, глубина имплантации ядер отда-
ности изменяется в диапазоне 101-2×103 Бк/г.
чи 14С (реакция 14N(n,p)14C) в кристаллическую
Одной из отличительных особенностей облу-
решетку монокристалла графита может достигать
ченного графита как типа радиоактивных отходов
150-200 нм при среднем значении 90-130 нм [11].
(РАО) является его развитая пористая структура,
Отметим, однако, что энергия смещения атома
отсутствующая в других типах РАО (остеклован-
углерода в графите уменьшается с 24 до 5 эВ с
ных, керамических и др.). Пористость графита
ростом количества радиационных дефектов [12],
существенно влияет как на пространственное
а также температуры облучения [13]. Таким об-
распределение радионуклидов в процессе эксплу-
разом, глубина имплантации 14C в зерна графита
атации реактора, так и на выход радионуклидов
будет зависеть как от общего времени облучения
из графита при контакте с внешними средами на
материала, так и от температурного режима. В лю-
различных этапах обращения с ним, включая хра-
бом случае глубина проникновения имплантиро-
нение, захоронение или переработку.
ванных ядер существенно превышает характерные
размеры кристаллитов графита. При этом очевид-
Результаты исследований накопления и рас-
но, что полученные значения относятся к случаю
пределения радионуклидов в облученном графите
имплантации ядер отдачи с любой поверхности
показывают, что за время эксплуатации реактора
(внешняя поверхность облучаемого изделия, по-
в графите формируется сложная картина загрязне-
верхность стенок пор и т.п.)
ния радионуклидами [5]. На ее формирование ока-
зывают влияние как эксплуатационные факторы,
Данный эффект подтверждается эксперимен-
так и структурные особенности самого графита,
тально по изменению содержания 14C в припо-
в частности характеристики пористой структуры
верхностном слое графитового блока реактора
(объем открытой пористости, совокупность сооб-
РБМК-1000 энергоблока
№ 2 Ленинградской
щающихся между собой каналов пор, распределе-
АЭС. Содержание 14С определяли в механически
ние пор по радиусам максимального проходного
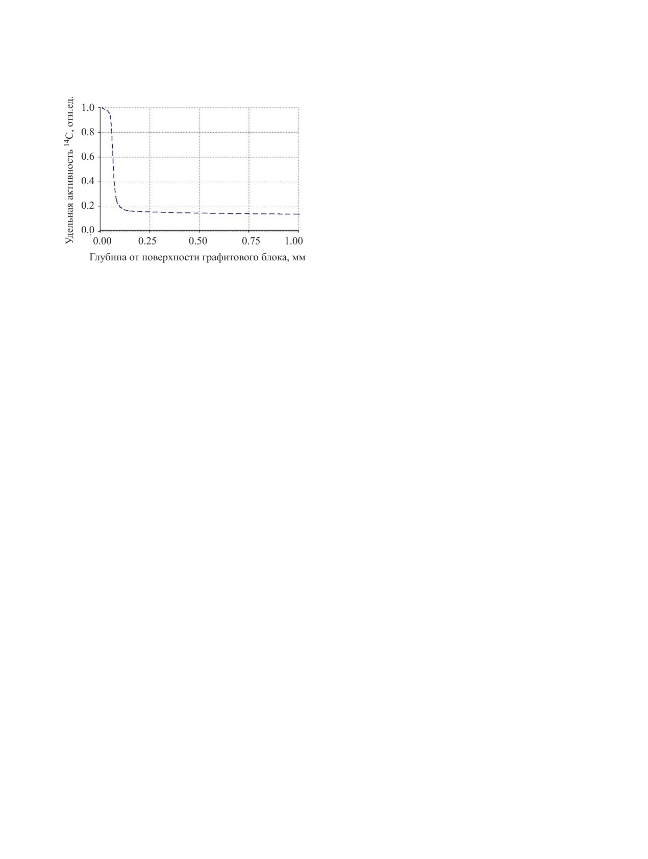
удаленных с поверхности блока слоях (рис. 1).
сечения и др.). Следует отметить, что развитая
Обнаруженный эффект объясняется тем, что
пористая структура графитовых РАО может суще-
для тонкого приповерхностного слоя (толщиной
РАДИОХИМИЯ том 62 № 6 2020
528
ПАВЛЮК и др.
акторного графита вследствие его высокой пори-
стости. Пористость оказывает существенное вли-
яние на процессы объемной миграции 36Cl (или
материнских атомов 35Cl) в графите и их удержа-
ние в особенностях структуры материала при из-
готовлении и/или в условиях эксплуатации в УГР.
Таким образом, можно констатировать, что
пористая структура графита в значительной сте-
пени определяет особенности пространственного
распределения, механизмы (прочность) фиксации
основных долгоживущих радионуклидов (и/или
их физико-химических форм) в структуре графи-
товых деталей кладок УГР.
Рис. 1. Характерное распределение активности 14C в
Особенности пористой структуры облу-
приповерхностном слое графитового блока реактора
РБМК-1000 Ленинградской АЭС.
ченного графита и ее влияние на процесс вы-
щелачивания основных долгоживущих ради-
<0.05 мм) площадь поверхности графитового бло-
онуклидов. Важная особенность облученного
ка преобладает по отношению к площади поверх-
реакторного графита, отличающая его от многих
ности открытых пор, находящихся в этом тонком
типов твердых РАО, является его сравнительно
слое, и эффект повышенного удельного (на еди-
высокая пористость. Характеристики пористой
ницу массы) содержания изотопа на поверхности
структуры облученного графита зависят от его
облученного блока заметен. При увеличении тол-
марки, а также от условий, длительности и осо-
щины стачиваемого слоя удельное содержание 14С
бенностей истории облучения конкретных гра-
в нем будет уже в бóльшей степени определяться
фитовых деталей в кладках УГР. Марки графита
активностью изотопа, локализованного в припо-
отличаются исходным сырьем, видами и после-
верхностном слое стенок пор, и эффект повышен-
довательностью технологических операций при
ного содержания на поверхности графитового бло-
его производстве (с пропиткой или без пропитки
ка будет уже менее заметен.
пеком), параметрами отдельных технологических
Существует два основных источника хлора в
операций и т.п. [15]. На основании данных мало-
необлученном графите. Во-первых, хлор присут-
углового рентгеновского рассеяния (МУР), диф-
ствует в исходных компонентах для получения
ракции и измерений проницаемости было пока-
графита - нефтяном коксе и пековом связующем -
зано, что общей тенденцией изменения пористой
и частично остается в конечном продукте после
структуры графита в процессе облучения является
отжига при 1000-1300°С. Помимо этого при га-
снижение доли объема открытой пористости за
зовой очистке графита на последней стадии про-
счет частичного закрытия пор и соответственно
изводственного цикла используются хлорсодер-
увеличение доли закрытой пористости [5, 15, 16].
жащие реагенты. Вторым источником является
Отметим, однако, что интерпретация данных МУР
нейтронная активация преимущественно по кана-
в упомянутых выше работах не является однознач-
лу 35Cl(n,γ)36Cl. Остаточное содержание хлора об-
ной. Исследования пористой структуры реактор-
условлено его локализацией в наиболее труднодо-
ного графита методом рентгеновской томографии
ступных для контакта с окружающей средой (в том
показывают, что открытые поры в объеме графита
числе и с контактной жидкостью при испытаниях
представляет собой развитую трехмерную сеть,
на выщелачивание) структурных образованиях
связанную сообщающимися каналами с попереч-
графита (закрытые поры, границы кристаллитов).
ным сечением неправильной формы [17, 18]. На
основании данных выводов можно предположить,
Экспериментальные и теоретические исследо-
что сквозная пропитка (заполнение объема откры-
вания распределения и содержания 36Cl в графи-
те [14] выявили значительный разброс величины
тых пор) объемных фрагментов графита выщела-
удельной активности 36Cl по объему графитовой
чивающими жидкими средами принципиально
возможна.
кладки (эффект «самородка»). Можно предполо-
жить, что в значительной степени неоднородность
Ряд факторов, связанных с развитой пористой
пространственного распределения хлора связана с
структурой, может влиять на процесс выщелачива-
неоднородностью микроструктуры исходного ре-
ния 14С и 36Сl из графитовых РАО, а именно:
РАДИОХИМИЯ том 62 № 6 2020
ОПРЕДЕЛЕНИЕ ПАР
АМЕТРОВ ПОРИСТОЙ СТРУКТУРЫ ОБЛУЧЕННОГО ГРАФИТА
529
– следует учитывать особенности простран-
Анализируя выражение (1), отметим, что хотя
ственного распределения и механизмов фиксации
параметр Rin будет характеризовать устойчивость
14С и 36Сl и соответственно наличие различных
облученного графита к выщелачиванию радиону-
форм их нахождения в облученном графите;
клидов, он зависит от геометрической формы об-
- процесс выщелачивания 14С и 36Сl в большей
разца, поскольку в данном выражении пористость
степени может носить объемный характер, а не
не учитывается. Однако данный ГОСТ разработан
поверхностный (как в случае монолитного мате-
для отвержденных РАО (фактически монолитных
риала), так как доступная для выщелачивающих
образцов), и при расчетах скорости выщелачива-
агентов площадь пор может существенно превы-
ния учитывается только площадь открытой по-
шать геометрическую поверхность фрагментов
верхности. В случае пористого материала, каким
реальных графитовых РАО;
является облученный графит, необходимо учиты-
- при анализе выщелачивания помимо учета
вать также площадь внутренних поверхностей, до-
площади внешней поверхности графитовых об-
ступных для контакта с выщелачивающей средой.
разцов (изделий и их фрагментов) необходимо
Наиболее вероятно, что по окончании заполне-
учитывать площадь поверхности каналов пор. Та-
ния раствором всех доступных полостей в струк-
ким образом, площадь контакта с выщелачиваю-
туре графита (поры, межкристаллитные простран-
щим раствором зависит от объемной доли откры-
ства и т.п.) площадь эффективной поверхности
той пористости графита и функции распределения
выщелачивания и интенсивность массообмена
пор по величине проходного сечения (эффектив-
выщелачивающего раствора стабилизируются.
ного радиуса).
Также приходит в равновесие интенсивность сор-
Время стабилизации процесса выщелачивания
бции/десорбции радионуклидов в процессе пере-
радионуклидов из образцов графита может быть
мещения по порам к поверхности образца. Далее
существенно больше, чем для образцов РАО с
динамика выщелачивания начинает носить моно-
монолитной структурой, из-за замедленного про-
тонный характер с тенденцией медленного сниже-
никновения и распространения раствора по пори-
ния.
стой структуре графита и ограниченной скорости
После установления стабильного характера вы-
массообмена раствора. Также возможны процессы
щелачивания площадь эффективной поверхности
сорбции/десорбции радионуклидов из раствора в
выщелачивания определяется выражением
процессе перемещения по порам к поверхности
(2)
образца.
где Feff - площадь эффективной поверхности вы-
В соответствии с традиционно применяемы-
щелачивания образца, см2; F0 - геометрическая
ми для определения скорости выщелачивания в
площадь поверхности образца, см2; FS - доступ-
РФ стандартами [19, 20] основным параметром,
ная для раствора площадь поверхности (открытые
характеризующим устойчивость материала к вы-
поры, межкристаллитные пространства и т.п.),
щелачиванию радионуклидов и не зависящим от
см2.
геометрической формы образца (фрагмента), яв-
ляется скорость выщелачивания, отнесенная к ге-
При этом параметром, характеризующим
ометрической площади поверхности образца или
устойчивость графитовых РАО, будет являться
фрагмента [выражение (1)]:
скорость выщелачивания радионуклида, отнесен-
ная к эффективной поверхности выщелачивания
(1)
(эффективная скорость выщелачивания - Reff). Ве-
личина Reff определяется выражением
где Rin - скорость выщелачивания i-го радионукли-
да в течение n-го периода выщелачивания, отне-
(3)
сенная к геометрической площади поверхности
где Rieff n - скорость выщелачивания i-го радиону-
образца или фрагмента, г/(см2∙сут); ain - активность
клида в течение n-го периода выщелачивания, от-
i-го радионуклида, вышедшего в раствор в течение
n-го периода выщелачивания, Бк; Ai - удельная ак-
несенная к эффективной поверхности выщелачи-
вания, г/(см2∙сут).
тивность i-го радионуклида в графите, Бк/г; F0 -
геометрическая площадь поверхности образца или
В случае если весь объем открытых пор до-
фрагмента, см2; tn - продолжительность n-го пери-
ступен для заполнения контактным раствором,
ода выщелачивания, сут.
FS принимается равной суммарной геометриче-
РАДИОХИМИЯ том 62 № 6 2020
530
ПАВЛЮК и др.
Рис. 2. Результат сегментации томографического изображения сечения образца облученного графита марки ГР-220. а -
пример восстановленного томографического среза; б - результат сегментации: 1 - основной объем, 2 - объем, содержащий
поры/включения.
ской площади поверхности открытых пор образ-
ченных на приборе SkyScan 1172. Для получения
ца/фрагмента. Параметр Reff не будет зависеть от
представительной картины исследованы образцы
геометрических характеристик образца/фрагмен-
размером до 4 × 8 мм с пространственным разре-
та, а будет определять устойчивость испытуемого
шением 7.4 мкм/пиксель. Пористость оценивали
материала к выщелачиванию радионуклидов в за-
по общему алгоритму, состоящему из следующих
висимости от особенностей их пространственно-
основных этапов: выделение границ образца, рас-
го распределения в структуре графита, прочности
чет по томографическим сечениям полного объема
удержания радионуклидов (их соединений) в гра-
образца, проведение сегментации отдельных пор,
фите и их способности образовывать водораство-
затем расчет для каждого сечения соотношения
римые формы.
полученных объемов. Данный подход детально
описан в работе [21]. Характерные примеры ана-
Таким образом, как следует из выражений (2) и
лиза и обработки восстановленных томографи-
(3), необходим анализ структурных особенностей
ческих изображений образцов представлены на
пористой структуры облученного и необлученно-
рис. 2, 3. Результаты определения объемной доли
го реакторного графита отечественных марок, что
пор для исследованных образцов сведены в табл. 1.
позволит определить ряд параметров, влияющих
на выщелачивание радионуклидов из графитовых
Для ряда образцов определена доля объема от-
РАО: долю открытой пористости, функцию рас-
крытых пор, доступных для насыщения в водной
пределения пор по радиусу проходного сечения,
среде. Эксперименты проводили путем водной
пропитки с использованием методики [22]. Образ-
площадь поверхности открытых пор, а также оце-
нить доступность открытых пор в облученном гра-
цы выдерживали в водной среде при нормальных
фите для выщелачивающих растворов. Исследова-
условиях в течение 30 сут. Результаты сведены в
табл. 2.
нию пористости образцов реального облученного
графита УГР и посвящена настоящая работа.
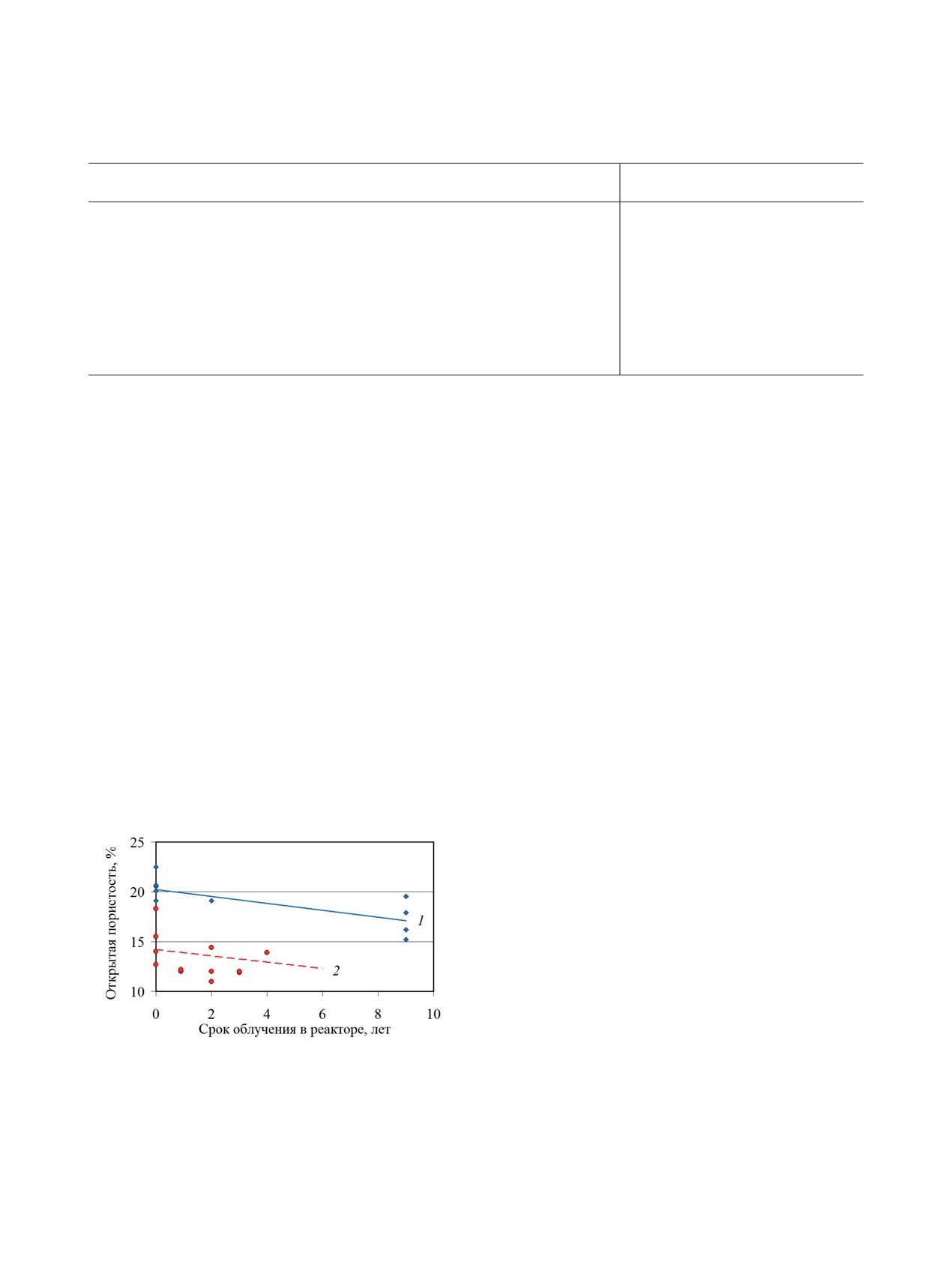
На рис. 4 представлена динамика изменения
доли открытой пористости в условиях облучения
Результаты исследований пористой структу-
в ПУГР втулочного графита марок ГР-76 и экспе-
ры облученного и необлученного реакторного
риментального графита, близкого по технологии
графита отечественных марок и определение
получения графиту ГР-76, но с пропиткой пеком.
ее параметров, влияющих на процесс выщела-
Использованы результаты экспериментов и дан-
чивания радионуклидов из графитовых РАО. В
ные по истории облучения втулок.
ходе настоящей работы проведены исследования
пористой структуры необлученного и облучен-
Сопоставление результатов определения сум-
ного графита некоторых отечественных марок:
марной и открытой пористости двумя независи-
блочный графит марки ГР-220 (используется на
мыми методами (рентгеновская томография и во-
ПУГР); втулочный графит марки ГР-76 (исполь-
дная пропитка, табл. 1 и 2), показывает, что для
зуется на ПУГР); графит колец КТК марки ГР-93
облученного и необлученного графита марок ГР-
(используется на РБМК).
220 и ГР-76 эти характеристики существенно не
Суммарную объемную долю пор (ν) определя-
различаются, что указывает на незначительность
ли путем анализа и обработки восстановленных
доли закрытых пор. Некоторые расхождения в по-
томографических изображений образцов, полу-
лученных значениях между этими аналитически-
РАДИОХИМИЯ том 62 № 6 2020
ОПРЕДЕЛЕНИЕ ПАР
АМЕТРОВ ПОРИСТОЙ СТРУКТУРЫ ОБЛУЧЕННОГО ГРАФИТА
531
Рис. 3. Результат обработки томографических изображений сечений по толщине образца облученного графита марки ГР-220
и определение доли объема открытой пористости. а - зависимость объема материала (1) и пор (2) от номера томографиче-
ского сечения; б - пористость в разных томографических срезах.
ми методами, вероятно, объясняются как разбро-
из следующих основных шагов: 1) бинаризация
сом свойств индивидуальных образцов, так и тем,
объема пор/включений; 2) поиск отдельных пор/
что в использованной схеме томографического
включений (среднее количество пор в одном сече-
эксперимента теряется информация о порах диа-
нии составило 5 × 103); 3) определение координат
метром менее 4-5 мкм. Следовательно, практиче-
положения для каждой поры/включения и макси-
ски весь объем пор во всем объеме образцов гра-
мального радиуса вписанной в нее окружности.
фита, включая глубинные области, доступен для
Результаты поиска пор и определения их мак-
насыщения водными растворами. Таким образом,
симальных проходных сечений в одном из сечений
экспериментальные результаты настоящей работы
образца представлены на рис. 5.
подтверждают сформулированный в работе [17]
По результатам подобной обработки для всех
вывод о том, что открытые поры в объеме графита
сечений были получены гистограммы распределе-
представляет собой единый объем в виде развитой
ния пор по максимальным радиусам, а также их
трехмерной сети каналов, сообщающихся между
средние значения для всех четырех образцов (рис. 6).
собой. Пропитка водой пористой структуры гра-
После томографических исследований образ-
фитовых образцов по сути представляет собой
цы изучали методом малоуглового рентгенов-
процесс вытеснения воздуха и заполнения водой
ского рассеяния (МУРР) на специализированном
системы сообщающихся сосудов.
дифрактометре SAXSess. Измерения проведены
Облучение в реакторе (на примере образцов
в вакууме в квазиточечной геометрии с исполь-
блочного и втулочного графита марок ГР-220 и ГР-
зованием монохроматического CuKα-излучения,
76) в течение всего срока эксплуатации приводит
диапазон векторов рассеяния q от 0.25 до 27 нм-1.
к незначительному снижению объема пористости
Известно несколько работ по изучению отече-
(табл. 1, 2, рис. 4). С учетом исходного разброса
ственных ядерных графитов методом МУРР [23,
доли открытой пористости между индивидуальны-
ми образцами показано, что для блочного графита
Таблица 1. Результаты определения объемной доли пор
ГР-220 объем открытой пористости снижается на
графита различных марок методом анализа и обработки
15--25 отн% за весь период эксплуатации реакто-
восстановленных томографических изображений
ра, а для графита втулок (срок облучения ~9 лет)
Характеристики образцов
марки ГР-76 уменьшение составляет 5-15 отн%.
Объемная доля пор ν, %
(марка, облучение)
Расчет распределения открытых пор в зависи-
ГР-220 (облученный)
15.338
мости от радиуса максимального проходного се-
ГР-220 (необлученный)
18.367
чения из томографических данных более сложен
ГР-76 (облученный)
16.746
и может быть проведен различными методами. В
ГР-93 (необлученный)
16.102
нашей работе использован алгоритм, состоящий
РАДИОХИМИЯ том 62 № 6 2020
532
ПАВЛЮК и др.
Таблица 2. Результаты определения доли открытых пор графита различных марок методом водной пропитки
Доля открытых пор, доступных
Характеристики образцов (марка, облучение, количество)
для водного насыщения, %
ГР-220 (необлученный), 10 образцов
18-22
ГР-220 (облученный), 1 образец
17.1a
ГР-76 (необлученный), 25 образцов
17--23
ГР-76 (облученный), 5 образцов
15-20
Экспериментальный втулочный графит с пропиткой пеком (необлученный),
12-18
25 образцов
Экспериментальный втулочный графит с пропиткой пеком (облученный),
11-14
7 образцов
a Объемное содержание воды в объеме графитового керна (диаметр ~8 мм, длина ~57 мм), измерено после выдержки в воде при
комнатной температуре в течение ~1,5 лет.
24]. В этих исследованиях весь сигнал МУРР был
эти дефекты дают значительный вклад в интенсив-
отнесен к рассеянию на порах, хотя существен-
ность МУРР.
ный вклад могут давать и другие неоднородности
В случае блочного графита с осторожностью
структуры на наноуровне, например, дислокаци-
можно предположить существование так называ-
онные петли и кластеры точечных дефектов. На
емой иерархической системы рассеивателей, т.е.
рис. 7 приведены кривые, полученные методом
двух независимых типов неоднородностей. На
МУРР для изученных образцов. Для втулочного
это указывают слабые перегибы около q = 0.4 и
графита наблюдается довольно равномерный спад
0.75 нм-1. Если соотнести одну из этих подсистем с
интенсивности рассеяния [11], при этом отсутству-
нанопорами (типичный случай для углеродных ад-
ет четко выраженный прямолинейный участок на
сорбентов), то радиус гирации (инерции) этих пор
графике Гинье (lgI-q2), что свидетельствует о по-
составляет ~1.3 нм для блочного графита, 1.4 нм
лидисперсности рассеивателей. Расчет распреде-
для исходного и 1.5 нм для облученного втулоч-
ления неоднородностей по размерам дает весьма
ного графита. Однако расчет объемной доли пор
широкий диапазон значений от ~10 до 40-60 нм,
по данным малоуглового рассеяния является весь-
ма неоднозначным [25]. Сравнение данных рент-
что близко к выводам работы [23]. Отметим, од-
геновской томографии и малоуглового рассеяния
нако, что такой же интервал размеров характерен
показывает, что изменения пористой структуры в
для вакансионных скоплений в различных видах
процессе облучения изученных образцов доста-
облученного графита [24], и вполне вероятно, что
точно малы.
ОБСУЖДЕНИЕ
Результаты исследований показывают, что та-
кие показатели характеристик пористой структу-
ры, как функция распределения пор по радиусам
максимального проходного сечения и средний
радиус максимального проходного сечения, не
имеют существенных различий между образцами
графита изученных марок. При этом облучение в
реакторе (для ГР-220 - даже в течение всего срока
эксплуатации) не приводит к статистически значи-
мым изменениям данных параметров.
Рис. 4. Динамика изменения доли открытой пористости
втулочного графита марки ГР-76 (1) и эксперимен-
Если рассматривать пористую структуру гра-
тального втулочного графита (близкого по технологии
фита как сеть сообщающихся между собой кана-
получения графиту ГР-76, но с пропиткой пеком) (2)
лов с круглым поперечным сечением, то площадь
при облучении в ПУГР.
их поверхности можно оценить по формуле
РАДИОХИМИЯ том 62 № 6 2020
ОПРЕДЕЛЕНИЕ ПАР
АМЕТРОВ ПОРИСТОЙ СТРУКТУРЫ ОБЛУЧЕННОГО ГРАФИТА
533
Рис. 5. Изображение одного из сечений образца облученного графита марки ГР-220 и максимальные проходные сечения
пор: а - полное сечение образца, б - увеличенный фрагмент сечения образца.
Рис. 6. Гистограммы распределения пор по радиусам максимального проходного сечения и результаты расчета среднего
радиуса максимального проходного сечения. а - ГР-220 (блок) исходный, Rср = 8.90 мкм, б - ГР-220 облученный, Rср = 8.78
мкм, в - ГР-76 (втулка) исходный, Rср = 9.10 мкм, г - ГР-76 облученный, Rср = 8.91 мкм.
поперечное сечение пор имеет неправильную фор-
(4)
му, а величина r является радиусом максимального
где ν - объемная доля открытых пор в графите;
проходного сечения круглой формы, вписанного в
V - объем образца, см3; r - средний радиус попе-
границы сечения реальной формы (рис. 5), поэто-
речного сечения открытых пор, см.
му реальная величина будет несколько больше. В
Согласно выражению (4), для исследованных
занижение расчетной величины FS также вносят
марок графита при среднем радиусе пор r ~ 9 мкм
вклад мелкие поры с размерами меньше разреше-
(рис. 6), средней доле объема открытой пористости
ния томографического эксперимента. Для образ-
ν ~ 0.17 и плотности ~1.7 г/см3 удельная (на едини-
цов с объемом ~1 см3 (такие образцы облученного
цу массы) площадь поверхности открытых пор FS
графита наиболее часто используются при испыта-
составит ~225 см2/г. Следует также отметить, что
ниях на выщелачивание) согласно выражению (4),
РАДИОХИМИЯ том 62 № 6 2020
534
ПАВЛЮК и др.
нием является распухание решетки графита из-за
накопления радиационных дефектов. Площадь
поверхности открытых пор для графита исследо-
ванных марок даже в случае малых (~1 см3) объ-
емов графита существенно (более чем на 2 поряд-
ка) превышает площадь поверхности графитовых
фрагментов. Данный факт определяет характер
процесса выщелачивания основных объемно рас-
пределенных долгоживущих радионуклидов, как
приближенный к «объемному». При этом вклад
поверхности открытых пор в интенсивность про-
цесса выщелачивания будет доминировать по
сравнению с вкладом открытой поверхности фраг-
Рис. 7. Кривые малоуглового рассеяния изученных
ментов.
образцов. (а) ГР-220, (б) ГР-76. (1) Исходный, (2) об-
При определении параметров, характеризую-
лученный.
щих стойкость к выщелачиванию радионуклидов,
площадь поверхности открытых пор FS составит
необходимо учитывать развитую структурную по-
~380 см2. При этом площадь поверхности образца
ристость графита и объемный характер распреде-
составит (в зависимости от формы) F0 ≈ 4.5-6 см2.
ления радионуклидов, для чего введено понятие
Таким образом, площадь поверхности открытых
эффективной поверхности выщелачивания Feff и
пор FS существенно (почти на 2 порядка) превы-
эффективной скорости выщелачивания Reff. Па-
шает площадь внешней поверхности образцов F0.
раметр Reff в соответствии с предложенной моде-
При увеличении объема образца (фрагмента гра-
лью процесса определяет устойчивость материала
фитовых РАО) отношение FS/F0 будет только ра-
(облученного графита) к выщелачиванию и не за-
сти.
висит от геометрических характеристик образца/
В предположении, что весь объем открытых
фрагмента.
пор (или значительная его часть) в образце запол-
Следует отметить, что предложенная модель
нен выщелачивающим раствором и FS >> F0, вы-
процесса выщелачивания радионуклидов из облу-
ражение (3) можно записать в виде:
ченного графита справедлива после:
(5)
- окончания периода процесса заполнения кон-
тактным раствором всех доступных полостей в
Таким образом, эффективная скорость выще-
структуре графита (поры, межкристаллитные про-
лачивания Rieff n будет определяться характеристи-
странства и т.п.) и, соответственно, стабилизации
ками пористой структуры (площадь поверхности
площади эффективной поверхности выщелачива-
открытых пор FS), удельной активностью графита
ния;
Ai и активностью ain радионуклидов, вышедших в
- стабилизации интенсивности массообмена
раствор в течение n-го периода выщелачивания tn.
выщелачивающего раствора в объеме пор с объ-
ЗАКЛЮЧЕНИЕ
емом над открытой поверхностью графитового
Исследование показало, что практически весь
фрагмента;
объем пор (включая глубинные области) как в
- наступления равновесия по интенсивности
исходном, так и в облученном графите исследо-
процессов сорбции/десорбции радионуклидов в
ванных марок является открытым и доступен для
процессе их распространения по каналам пор к
насыщения водой при водной выдержке. Просле-
поверхности фрагмента.
живается тенденция к незначительному сниже-
Для проверки адекватности предложенной мо-
нию доли открытой пористости при эксплуатации
в реакторе. С учетом исходной вариации данной
дели авторами проводятся серии экспериментов
величины снижение наблюдается не более чем на
по длительному выщелачиванию радионуклидов
25% для блочного графита ГР-220 и на 15% для
на реальных образцах графитовых РАО различ-
втулочного графита ГР-76. Вероятным объясне-
ных марок и геометрии. Полученные результаты
РАДИОХИМИЯ том 62 № 6 2020
ОПРЕДЕЛЕНИЕ ПАР
АМЕТРОВ ПОРИСТОЙ СТРУКТУРЫ ОБЛУЧЕННОГО ГРАФИТА
535
будут предложены для использования в расчетах
8. Волкова А.Г., Захарова Е.В., Павлюк А.О., Ширя-
по оценке длительной динамики скорости выхо-
ев А.А. // Радиохимия. 2018. T. 60, № 5. C. 477. doi
10.1134/S0033831118050143
да радионуклидов в процессе выщелачивания из
9. Волкова А.Г., Захарова Е.В., Родыгина Н.И., Пав-
графитовых РАО различных типов при возможных
люк А.О., Ширяев А.А. // Радиохимия. 2018. T. 60,
вариантах захоронения.
№ 6. C. 558. doi 10.1134/S0134347518060141
БЛАГОДАРНОСТИ
10. Беспала Е.В., Павлюк А.О., Загуменнов В.С., Котля-
ревский С.Г. // Изв. вузов. Ядерн. энергетика. 2017.
В работе использовано оборудование Центра
№ 4. С. 116. doi 10.26583/npe.2017.4.11
коллективного пользования физическими метода-
11. Ширяев А.А., Волкова А.Г., Захарова Е.В., Николь-
ми исследования ИФХЭ РАН. Авторы признатель-
ский М.С., Аверин А.А., Долгополова Е.А., Япа-
ны А.В. Бузмакову за помощь в обработке томо-
скурт В.О. // Радиохимия. 2018. Т. 60, № 6. С. 564.
графических данных.
doi 10.1134/S0033831118060151
12. Vukovic F., Leyssale J.-M., Aurel P., Marks N.A. // Phys.
ФОНДОВАЯ ПОДДЕРЖКА
Rev. Appl. 2018. Vol. 10, N 6. P. 064040. doi 10.1103/
Исследования по выщелачиванию частич-
PhysRevApplied.10.064040
но поддержаны Программой Президиума РАН
13. Gurovich B.A., Prikhodko K.E. // Radiat. Effects
№ 14П. В части обработки томографических дан-
Defects Solids. 2001. Vol. 154, N 1. P. 39. doi
ных работа выполнена при поддержке Министер-
10.1080/10420150108214042
14. Nicaise G.O., Poncet B. // Kerntechnik. 2016. Bd 81,
ства науки и высшего образования в рамках Госу-
Hf. 5. S. 565. doi 10.3139/124.110732
дарственного задания ФНИЦ «Кристаллография и
15. Виргильев Ю.С. // ХТТ. 2000. № 2. С. 67.
фотоника» РАН.
16. Виргильев Ю.С. // ХТТ. 1973. № 5. С. 102.
КОНФЛИКТ ИНТЕРЕСОВ
17. Kane J.J., Carroll M., Windes W.E. // Int. Nuclear
Graphite Specialists’ Meeting INGSM-17. IAEA, Sept.
Авторы заявляют об отсутствии конфликта
4-8, 2016.
интересов.
18. Laudone G.M., Gribble C.M., Matthews G.P. // Carbon.
СПИСОК ЛИТЕРАТУРЫ
2014. Vol. 73. P. 61.
19. ГОСТ 29114-91: Отходы радиоактивные. Метод из-
1. Дорофеев А.Н., Комаров Е.А., Захарова Е.В., Волко-
мерения химической устойчивости отвержденных
ва А.Г., Мартынов К.В., Линге И.И., Иванов А.Ю.,
радиоактивных отходов посредством длительного
Уткин С.С., Павлюк А.О., Котляревский С.Г. //
выщелачивания.
Радиоактивные отходы. 2019. № 2(7). С. 18. doi
20. ГОСТ 52126-2003: Определение химической устой-
10.25283/2587-9707-2019-2-18-30
чивости отвержденных высокоактивных отходов
2. IAEA TECDOC No. 1790 “Processing of Irradiated
методом длительного выщелачивания.
Graphite to Meet Acceptance Criteria for Waste
21. Shiryaev A.A., Kaminsky F.V., Ludwig W., Zolotov D.A.,
Disposal. Results of a Coordinated Research Project.”
Buzmakov A.V., Titkov S.V. // Геохимия (Geochem.
Vienna: IAEA, 2016.
Int.). 2019. Т. 57(9). Р. 1015. doi 10.1134/
3. Wickham A., Steinmetz H.-J., O’Sullivan P., Ojo-
S0016702919090106
van M.I. // J. Environ. Radioact. 2017. Vol. 171. P. 34.
22. ГОСТ 18898-89: Изделия порошковые. Методы
doi 10.1016/j.jenvrad.2017.01.022
определения плотности, содержания масла и пори-
4. https://www.cambridge.org/core/journals/radiocarbon/
стости.
issue/B16E687954999C131670CC8705D8A2B0
23. Виргильев Ю.С., Куроленкин Е.И., Шуршакова Т.Н. //
5. Бушуев А.В., Кожин А.Ф., Петрова Е.В., Зуба-
Изв. АН СССР. Неорган. материалы. 1977. T. 13,
рев В.Н., Алеева Т.Б., Гирке Н.А. Радиоактивный
№ 4. C. 752.
реакторный графит. М.: МИФИ, 2015.
24. Shtrombakh Ya.I., Gurovic B.A., Platonov P.A., Alekse-
6. Павлюк А.О., Котляревский С.Г., Марков С.А., Ша-
ev V.M. // J. Nucl. Mater. 1995. Vol. 225. P. 273. doi
тров М.В. // Радиоактивные отходы. 2018. № 3(4).
10.1016/0022-3115(95)00060-7
C. 69.
25. Shiryaev А.А., Voloshchuk А.М., Volkov В.В.,
7. Павлюк, А.О., Котляревский С.Г., Беспала Е.В., Вол-
Averin A.A., Artamonova S.D. // J. Phys.: Conf.
кова А.Г., Захарова Е.В. // Изв. Томск. политехн.
Ser. 2017. Vol. 848. P. 012009. doi 10.1088/1742-
ун-та. Инжиниринг георесурсов. 2017. № 8. C. 328.
6596/848/1/012009.
РАДИОХИМИЯ том 62 № 6 2020