РАДИОХИМИЯ, 2020, том 62, № 6, с. 512-518
УДК 621.039.73
ИММОБИЛИЗАЦИЯ РЕНИЯ КАК ИМИТАТОРА
ТЕХНЕЦИЯ В АЛЮМОЖЕЛЕЗОФОСФАТНОЕ СТЕКЛО
© 2020 г. С. С. Данилова,*, А. В. Фроловаа, С. А. Куликоваа, С. Е. Винокурова,
К. И. Маслаковb, А. Ю. Тетеринc, Ю. А. Тетеринb,c, Б. Ф. Мясоедова,d
а Институт геохимии и аналитической химии им. В. И. Вернадского РАН, 119991, Москва, ул. Косыгина, д. 19
b Московский государственный университет им. М.В. Ломоносова, 119991, Москва, Воробьевы горы, д. 1
c НИЦ «Курчатовский институт», 123182, Москва, пл. Академика Курчатова, д. 1
d Межведомственный центр аналитических исследований по проблемам в области физики, химии и биологии
при Президиуме РАН, 117342, Москва, Профсоюзная ул., д. 65, стр. 6
*e-mail: danilov070992@gmail.com
Получена 08.04.2020, после доработки 30.08.2020, принята к публикации 06.09.2020
Синтезированы образцы натрийалюможелезофосфатного стекла, содержащего рений в качестве ими-
татора технеция радиоактивных отходов. Исследованы фазовый состав, структура и водоустойчивость
полученных стекол. Показано, что образцы с включением оксида рения до 2.88 мас% рентгеноаморфны
и однородны, а их анионный мотив соответствует стеклообразному. Установлено, что степень окисле-
ния рения в полученных стеклах - Re(VII), а 97% железа находится в виде Fe(III) и 3% в виде Fe(II).
Установлена высокая устойчивость стекла к выщелачиванию при 90°С. Скорость выщелачивания Re
из стекол в соответствии со статическим тестом PCT и полудинамическим тестом ГОСТ Р 52126-2003
составляет не более 6×10-6 и 3×10-6 г/(см2·сут) соответственно.
Ключевые слова: иммобилизация, остекловывание, алюможелезофосфатное стекло, рений, технеций
DOI: 10.31857/S0033831120060076
ВВЕДЕНИЕ
ной структуры с высокой кристаллизационной
и гидролитической устойчивостью следующего
В настоящее время актуальной задачей разви-
состава, мол%: 40Na2O-10Al2O3-10Fe2O3-40P2O5
вающейся атомной энергетики является решение
вопроса безопасного захоронения отвержденных
[3-8]. Кроме того, НАЖФ стекло имеет более низ-
высокоактивных отходов (ВАО). Единственной
кую температуру синтеза - около 900-1000°C, что
промышленной формой для иммобилизации ВАО
может сократить потери при включении технеция.
является алюмофосфатное и боросиликатное стекло.
Настоящая работа посвящена исследованию
Радионуклид 99Тс - один из продуктов деле-
образцов НАЖФ стекла, содержащего рений как
ния, содержащийся в существенном количестве в
имитатор технеция из ВАО, в том числе изучению
образующихся ВАО, - имеет период полураспада
их фазового состава, структуры и устойчивости к
213 тысяч лет и представляет высокую опасность
выщелачиванию при повышенной температуре.
для окружающей среды. При этом летучесть боль-
шинства соединений Тс(VII) значительно ослож-
ЭКСПЕРИМЕНТАЛЬНАЯ ЧАСТЬ
няет его эффективную иммобилизацию в стекло и
Синтез НАЖФ стекол проводили путем плав-
другие высокотемпературные матрицы [1]. Напри-
ления шихты из смеси порошков NaPO3, Al2O3 и
мер, согласно данным работы [2], более 90% 99Tc
улетучивается в течение синтеза боросиликатного
Fe2O3 в количестве, соответствующем вышеука-
стекла при 1150-1250°С. В этой связи количество
занному оптимальному составу НАЖФ стекла, а
литературных данных исследований по иммоби-
также добавок KReO4 при 950°С в течение 60 мин
лизации технеция крайне ограничено.
в высокотемпературной лабораторной электропе-
Ранее нами было разработано натрийалюмо-
чи SNOL 30/1300 (АВ UMEGA, Литва). Для ис-
железофосфатное (НАЖФ) стекло пирофосфат-
следования влияния содержания рения на состав и
512
ИММОБИЛИЗАЦИЯ РЕНИЯ КАК ИМИТАТОРА ТЕХНЕЦИЯ
513
свойства НАЖФ стекла готовили образцы стекла,
Таблица 1. Химический состав синтезированных об-
состав которых рассчитывали из теоретического
разцов НАЖФ стекла
содержания Re в стеклах 1, 3 и 6 мас%; получен-
Содержание в образце, мас%
Компоненты
ные стекла далее обозначены как образцы 1, 2 и 3
1
2
3
соответственно. Полученные расплавы выливали
Na2O
21.31
19.91
20.17
на поддон из нержавеющей стали для закаливания
Al2O3
7.99
8.15
8.15
стекол.
SiO2
1.17
2.12
0.59
Степень включения рения в стекла определяли
P2O5
49.59
47.75
48.00
методом рентгенофлуоресцентного анализа (РФА)
K2O
0.63
1.00
1.39
на спектрометре Axios Advanced PW
4400/04
Fe2O3
18.63
18.20
17.68
(PANalytical B.V., Нидерланды) с программным
Re2O7a
0.69 (53)
2.88 (74)
4.01 (52)
обеспечением Philips Super Quantitative & IQ
a В скобках - степень включения Re от введенного в шихту
количества, %.
Software 2001.
ГОСТ Р 52126-2003 [12] при 90 ± 2°С в течение
Фазовый состав синтезированных стекол опре-
7 и 28 сут соответственно.
деляли методом рентгеновской дифрактометрии
(РД) с использованием дифрактометра Ultima-IV
В тесте РСТ использовали образцы стекол, из-
(Rigaku, Япония). Полученные данные расшифро-
мельченные до размера частиц от 0.071 до 0.15 мм.
вывали при помощи программного пакета Jade 6.5
Удельная поверхность используемых в данном те-
(MDI, США) с порошковой базой данных PDF-2.
сте порошков принята равной 0.02 м2/г. Навески
Структуру образцов стекла изучали методом ска-
порошка массой около 1 г помещали в тефлоновые
нирующей электронной микроскопии (СЭМ) на
контейнеры, заливали бидистиллированной водой
объемом 10 мл и выдерживали в термостатируе-
приборе Cameca SX100.
мом шкафу.
Строение анионной матрицы образцов опреде-
В тесте ГОСТ Р 52126-2003 использовали мо-
ляли методом инфракрасной (ИК) спектрометрии
нолитные образцы стекол, при этом проводили
на ИК-Фурье спектрометре Nicolet IR 200 FT-IR
смену контактного раствора через 1, 3, 7, 10, 14,
(Thermo Scientific, Великобритания) в диапазоне
21, 28 сут от начала опыта.
длин волн 4000-400 см-1. Компьютерное разложе-
ние выполнено в программе Origin 7.0 по методу,
Содержание компонентов стекла в растворах
после выщелачивания определяли методом атом-
предложенному в работе [9] при обработке ИК
но-эмиссионной спектрометрии с индуктивно
спектров боросиликатных стекол.
связанной плазмой (АЭС-ИСП) на спектрометре
Степень окисления рения в НАЖФ стеклах за-
iCAP-6500 Duo (Thermo Scientific, Великобрита-
висит от температуры и окислительно-восстано-
ния).
вительных условий варки стекла, в частности от
Скорость выщелачивания элементов рассчиты-
присутствия других поливалентных элементов,
вали по формуле
прежде всего Fe. Степень окисления рения и железа
(1)
в стеклах определяли методом рентгеновской фо-
тоэлектронной спектроскопии (РФЭС) на спектро-
где mni - масса элемента, выщелоченная за n-й пе-
метре Kratos Axis Ultra DLD с использованием мо-
риод сут, г; M0,i - массовая концентрация элемента
нохроматического AlKα-излучения (hν = 1486.7 эВ)
в образце в начале испытаний, г/г; S - площадь по-
при мощности рентгеновской трубки 150 Вт и дав-
верхности образца, см2; Δt - временной промежу-
лении 1.3×10-7 Па при комнатной температуре.
ток выщелачивания, сут.
Энергии связи (Eb) измеряли относительно Eb(C 1s)
Механизм выщелачивания Na и Re оценивали
электронов углеводородов, адсорбированных на
согласно модели де Гроота и ван дер Слоота [13],
поверхности образца, которая была принята рав-
которую можно представить в виде уравнения ли-
ной 285.0 эВ. Фон, связанный с вторично рассе-
нейной зависимости (2)
янными электронами, вычитали по методу Ширли
(2)
[10].
где Yi - суммарный выход элемента i из образца за
Водоустойчивость стекол определяли в со-
время контакта с водой, мг/м2; t - время контакта,
ответствии с стандартными тестами РСТ [11] и
сут.
РАДИОХИМИЯ том 62 № 6 2020
514
ДАНИЛОВ и др.
РЕЗУЛЬТАТЫ И ИХ ОБСУЖДЕНИЕ
Фазовый состав и структура образцов
НАЖФ стекла. При исследовании химическо-
го состава полученных образцов НАЖФ стекла
(табл. 1) установлено, что не менее 52% (в образце
2 до 74%) от введенного в шихту количества рения
оказалось иммобилизовано в стеклах. Содержа-
ние оксидов структурообразующих компонентов
матрицы (Na2O, Al2O3, P2O5, Fe2O3) соответствует
расчетным данным. В образцах обнаружена при-
месь SiO2 до 2.12 мас%, что связано с переходом
кремния в расплавы из кварцевых тиглей, исполь-
зуемых при синтезе стекла.
При исследовании фазового состава стекол ме-
Рис. 1. Дифрактограммы исследованных образцов
тодом РД установлено, что образцы 1 и 2 рентгено-
НАЖФ стекла: (1) образец 2, (2) образец 3, (●) KReO4.
аморфны; на рис. 1 в качестве примера приведена
Общий вид ИК спектра на примере образца 2
дифрактограмма образца 2. В то же время показа-
представлен на рис. 3, а; спектры других образцов
но, что образец 3 состоит из двух фаз - матричной
практически идентичны. Колебания, непосред-
стеклофазы и примесной фазы, структура которой
ственно связанные со строением анионной матри-
соответствует KReO4 (рис. 1). По данным СЭМ
цы полученных стекол, лежат в интервале от 1500
подтверждено, что образцы 1 и 2 являются прак-
до 400 см-1. Полосы поглощения в диапазонах
тически однородными стеклами с незначитель-
700-800 и 900-950 см-1 относятся соответственно
ным количеством пор, наличие которых видно на
к симметричным и антисимметричным валентным
рис. 2, а на примере образца 2. При этом в образце
колебаниям мостиковых связей O-P-O и P-O-Al,
3 кроме стеклофазы наблюдается в малом количе-
связывающих тетраэдры РО4 друг с другом и с те-
стве примесная кристаллическая фаза, очевидно,
траэдрами AlO4. Полосы поглощения в диапазонах
на основе KReO4 (рис. 2, б), однако по причине
950-1050, 1050-1150, 1150-1250 и 1250-1350 см-1
рассеянного распределения этой фазы уточнение
отвечают колебаниям связей О-Р-О в тетраэдрах
ее состава методом СЭМ/ЭДС затруднено.
РО4 с числом мостиковых ионов кислорода 0, 1, 2
Рис. 2. СЭМ-изображения исследованных НАЖФ стекол: а - образец 2, б - образец 3. G - стеклофаза, C - примесная
кристаллическая фаза.
РАДИОХИМИЯ том 62 № 6 2020
ИММОБИЛИЗАЦИЯ РЕНИЯ КАК ИМИТАТОРА ТЕХНЕЦИЯ
515
Рис. 3. Общий вид ИК спектра образца 2 НАЖФ стекла (а) и его компьютерное разложение (б).
и 3 соответственно, а в области 1300-1400 см-1 -
стекла методом РФЭС определяли на примере
колебаниям двойных связей Р=О [14]. Полосы по-
однородного аморфного образца 2. В обзорном
глощения в диапазоне 750-600 см-1 обусловлены
РФЭС спектре (рис. 4, табл. 2) наблюдаются ли-
валентными колебаниями связей Al-O в полиэдрах
нии элементов стекла и Оже-спектры углерода (C
AlOn (750-700, 700-650 и 650-600 см-1 в поли-
KLL), кислорода (O KLL), железа (Fe LMM) и на-
эдрах AlO4, AlO5 и AlO6 соответственно) [14]. Для
трия (Na KLL). Диапазон спектра можно разделить
на две части: низкоэнергетическую область спек-
колебаний связей O-Fe-O в тетраэдре Fe3+O4 ха-
тра валентных электронов от 0 до 50 эВ и область
рактерен интервал 550-650 см-1 [15]. Результаты
спектра остовных электронов от 50 эВ и выше по
компьютерного разложения ИК спектра образца 2
энергии связи.
представлены на рис. 3, б. Спектру свойственны
широкие полосы поглощения, что подтверждает
При анализе РФЭС спектра Fe 2p-электронов
аморфное стеклообразное состояние образца 2.
(рис. 5, а) установлено, что стекло имеет слож-
Наиболее интенсивная полоса имеет максимум в
ную структуру. Так, в этих спектрах вместо ожи-
даемого спин-дублета с ∆Esl = 13.2 эВ наблюдает-
точке 1150 см-1 и относится к валентным симме-
ся суперпозиция спектров ионов Fe2+ и Fe3+ [18].
тричным колебаниям тетраэдров фосфора с одним
Предполагается, что ионы Fe2+(3d6) находятся в
мостиковым ионом кислорода, что соответствует
низкоспиновом (S = 0) состоянии Fe2+(t62ge0g), а
целевой пирофосфатной структуре стекла.
ионы Fe3+(3d5) - в высокоспиновом (S = 5/2) со-
Таким образом, на основании полученных
стоянии Fe2+(t32ge2g). Таким образом, ионный со-
данных изучения состава и структуры синтези-
став железа в образце соответствует 97% Fe3+ и
рованных НАЖФ стекол показано, что введение
3% Fe2+. Данное соотношение разных степеней
в состав стекла оксида рения в количестве до
окисления железа отличается от их соотношения
2.88 мас% (образец 2, табл. 1) не влияет на устой-
в базовом составе стекла: Fe(III)/Fe(II) = 85/15 [6].
чивость стеклообразующего каркаса.
Это указывает на прохождение окислительно-вос-
Степень окисления рения и железа в НАЖФ
становительной реакции на поверхности стекла,
стекле. Степень окисления компонентов НАЖФ
что требует дальнейшего исследования.
Таблица 2. Энергии связи электронов Eb (эВ) и ширины линий Га (эВ) образца 2 НАЖФ стекла в сравнении с лите-
ратурными данными
Образец
Re4f7/2
Re4d5/2
Fe2p3/2
O1s
C1s
Образец 2
46.4 (1.1), ΔEsl = 2.4
266.1 (4.5), ΔEsl = 13.5
712.3 (3.1), 3.7 sat,
531.2 (1.6),
285.0 (1.3),
109%, ΔEsl = 13.8
532.6
(1.6)
289.1
(1.6)
Re2O7 [16]
46.9
KReO4 [17]
46.1
284.8
α-Fe2O3 [16]
711.0
а Значения Г приведены в скобках.
РАДИОХИМИЯ том 62 № 6 2020
516
ДАНИЛОВ и др.
Таблица
3. Скорость выщелачивания компонентов
сти выщелачивания компонентов из базового со-
НАЖФ стекла: тест PCT
става стекла [3]. Скорость выщелачивания рения
Скорость выщелачивания, г/(см2·сут),
из изученных образцов составляет не более 6.0×
Элемент
из образца
10-6 г/(см2·сут), что сравнимо со скоростью выще-
лачивания технеция из боросиликатного стекла с
1
2
Al
2.6×10-6
1.9×10-6
0.1 мас% Tc: LRTc > 10-6 г/(см2·сут) [19, 20]. При
этом отмечено, что повышение содержания оксида
Fe
1.1×10-6
1.3×10-6
рения с 0.69 мас% в образце 1 до 2.28 мас% в об-
Na
4.8×10-6
4.8×10-6
разце 2 не приводит к росту скорости его выщела-
P
4.2×10-6
5.1×10-6
чивания, а наоборот, снижает скорость с 6.0×10-6
Re
6.0×10-6
3.8×10-6
до 3.8×10-6 г/(см2·сут).
Отмечено, что линия O 1s-электронов изучен-
ного образца уширена и асимметрична (рис. 5,
б). Величины энергии связи 531.2 эВ относится к
немостиковым, а 532.6 эВ - к мостиковым ионам
кислорода, преимущественно связям P-O-P при
наличии определенного вклада связей P-O-Al и
P-O-Fe. Соотношение площадей пиков мостико-
вых и немостиковых атомов кислорода составля-
ет 4 к 1, что также подтверждает пирофосфатную
структуру стекла.
Для определения степени окисления рения ис-
пользовались линии Re 4f-электронов (рис. 5, в). В
полученном спектре наблюдаются линии дублета,
связанного со спин-орбитальным расщеплением с
Esl(Re 4f) = 2.4 эВ. Установлено, что энергия свя-
зи 4f7/2-электронов составляет 46.4 эВ и соответ-
ствует энергии связи рения в KReO4 [17].
Водоустойчивость НАЖФ стекла. Результаты
теста PCT для исследования водоустойчивости об-
разцов 1 и 2 НАЖФ стекла представлены в табл. 3.
Из данных табл. 3 видно, что скорость выщела-
чивания структурообразующих элементов (Na,
Al, Fe, P) не зависит от количества иммобилизо-
ванного рения и составляет значения в диапазоне
(1-5)×10-6 г/(см2·сут), что соответствует скоро-
Рис. 5. РФЭС спектры: а - Fe 2p-электронов, б - O
Рис. 4. Обзорный РФЭС-спектр образца 2 НАЖФ стекла.
1s-электронов, в - Re 4f-электронов.
РАДИОХИМИЯ том 62 № 6 2020
ИММОБИЛИЗАЦИЯ РЕНИЯ КАК ИМИТАТОРА ТЕХНЕЦИЯ
517
Рис. 7. Логарифмическая зависимость выхода Re и Na
Рис. 6. Кинетические кривые выщелачивания (1) Re и
из НАЖФ стекла от времени контакта с водой. согласно
(2) Na из образца 2 НАЖФ стекла при 90°С в соответ-
модели [13].
ствии с ГОСТ Р 52126-2003.
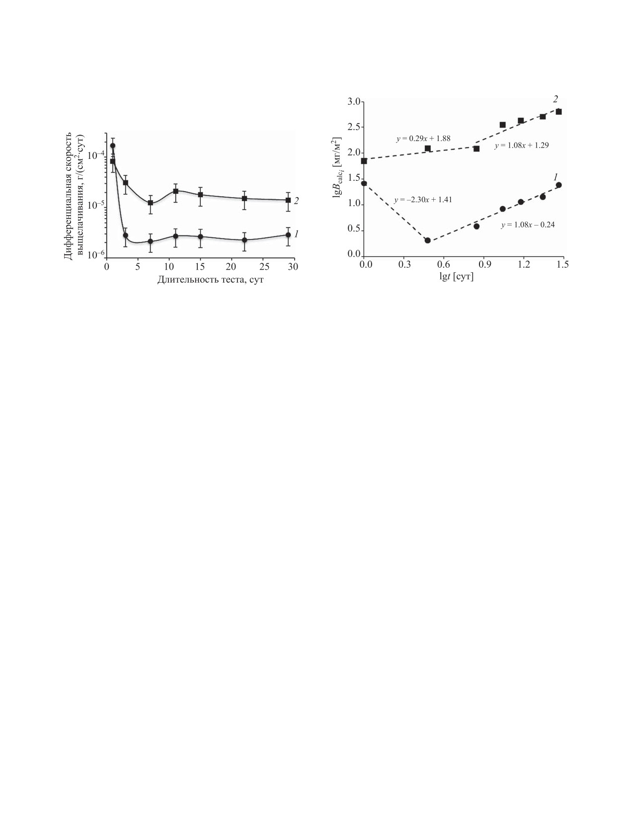
Результаты полудинамического теста ГОСТ Р
щелачивания натрия в течение испытаний снижа-
52126-2003 на примере образца 2 представлены на
ется до значений около этого предела, что указыва-
рис. 6. Из рис. 6 видно, что в первые сутки контакта
ет на высокую водоустойчивость исследованного
с водой скорость выщелачивания рения составляет
НАЖФ стекла даже при повышенной температуре
около 1.7×10-4 г/(см2·сут), а затем резко снижается
90°С.
на 2 порядка величины. Из литературы известно,
Для выяснения механизма выщелачивания ре-
что повышенная скорость выщелачивания компо-
ния и натрия из НАЖФ стекла построена зависи-
нентов стекла в первые дни теста характерна для
мость согласно модели де Гроота и ван дер Слоота
стеклоподобных компаундов и связана со смывом
(рис. 7). Ранее в работах [24-27] было показано,
компонентов с поверхности стекла [21, 22]. При
что значениям коэффициента A в уравнении (2)
этом более высокая скорость выщелачивания Re в
соответствуют следующие механизмы выщелачи-
первые сутки контакта с водой в сравнении с Na
вания элементов: <0.35 - вымывание с поверхно-
(рис. 6) может быть связана с растворением при-
сти компаунда; 0.35-0.65 - диффузия из внутрен-
меси перрената натрия, который образовался при
них слоев; >0.65 - растворение поверхностного
изоморфном замещении калия на натрий и имеет
слоя компаунда. Из данных рис. 7 видно, что вы-
большую растворимость в сравнении с перрена-
щелачивание рения и натрия в первые 3 и 7 сут
том калия. Из рис. 6 также видно, что в течение
соответственно происходит за счет их вымывания
первой недели теста продолжается снижение ско-
с поверхности стекол, так как коэффициент A со-
рости выщелачивания Re и Na до значений около
ставляет -2.3 и 0.29 соответственно. При продол-
2.1×10-6 и 1.2×10-5 г/(см2·сут) соответственно,
жении теста механизм выщелачивания рения и
а затем стабилизируется около 2.5×10-6 и 1.5×
натрия изменяется и соответствует начавшемуся
10-5 г/(см2·сут) соответственно, что, очевидно,
растворению поверхностного слоя стекла: коэф-
связано с изменением механизма выщелачива-
фициент A составляет 1.08. При этом следует от-
ния этих металлов. Также следует отметить, что
метить, что, несмотря на растворение стекла, ско-
нормативных требований к скорости выщелачи-
рость выщелачивания натрия на 28-е сутки ниже,
вания этих металлов из компаундов для ВАО не
чем для модельного фосфатного стекла при повы-
существует, но, например, по причине схожести
шенной температуре [28].
химического поведения натрия и цезия возможно
ЗАКЛЮЧЕНИЕ
ориентироваться на нормы для 137Cs: скорость вы-
щелачивания 137Cs из стеклоподобного компаунда
Синтезированы и изучены образцы НАЖФ
при 25°С не должна превышать 1×10-5 г/(см2·сут)
стекла, содержащие рений как имитатор технеция.
[23]. Из данных на рис. 6 видно, что скорость вы-
Установлено, что полученные стекла имеют амор-
РАДИОХИМИЯ том 62 № 6 2020
518
ДАНИЛОВ и др.
фный стеклообразующий каркас, а доля иммоби-
P. 4709.
лизованного рения составляет не менее 52% (до
11. ASTM Standard C 1285-94: Standard Test Methods
for Determining Chemical Durability of Nuclear
74%) от его количества, введенного в шихту. Ре-
Waste Glasses: The Product Consistency Test (PCT).
ний и железо в стеклах находятся в степени окис-
Philadelphia: ASTM, 1994.
ления VII и преимущественно III соответственно.
12. ГОСТ Р 52126-2003. Отходы радиоактивные. Опре-
Установлено, что НАЖФ стекло обладает высокой
деление химической устойчивости отвержденных
устойчивостью к выщелачиванию при повышен-
высокоактивных отходов методом длительного вы-
ной температуре, соответствующей нормативным
щелачивания. М.: Госстандарт России, 2003. Т. 3.
требованиям к стеклоподобному компаунду для
13. De Groot G.J., Van der Sloot H.A. // Stabilization and
иммобилизации ВАО. Показано, что при повы-
Solidification of Hazardous, Radioactive and Mixed
шенной температуре основным механизмом вы-
Wastes / Eds T.M. Gilliam, C.C. Wiles. Philadelphia:
щелачивания компонентов стекла является раство-
ASTM, 1992. Vol. 2. P. 149.
14. Лазарев А.Н., Миргородский А.П., Игнатьев И.С.
рение поверхностного слоя стекла.
Колебательные спектры сложных окислов. Л.: На-
ФОНДОВАЯ ПОДДЕРЖКА
ука, 1975. 296 с.
15. Плюснина И.И. Инфракрасные спектры минералов.
Исследования проведены в рамках государ-
М.: Изд-во Моск. ун-та, 1977. 175 с.
ственного задания ГЕОХИ РАН (0137-2019-0022).
16. Naumkin A., Kraut-Vass A., Gaarenstroom S., Powell C.
В исследованиях использовали оборудование,
NIST X-ray Photoelectron Spectroscopy Database. US
приобретенное за счет средств Программы разви-
Secretary of Commerce. 2012. URL: https://srdata.nist.
тия Московского государственного университета
gov/xps/Default.aspx. (дата обращения: 04.03.2020)
им. М.В. Ломоносова.
17. Thorn R. J. Carlson K.D., Crabtree G.W. Wang H.H. //
J. Phys. C: Solid State Phys. 1985. Vol. 18, N 28.
КОНФЛИКТ ИНТЕРЕСОВ
P. 5501.
18. Maslakov K.I., Teterin Yu.A., Stefanovsky S.V., Kalmy-
Авторы заявляют об отсутствии конфликта
kov S.N., Teterin A.Yu., Ivanov K.E. // J. Alloys Compd.
интересов.
2017. Vol. 712. P. 36.
19. Лаверов Н.П., Юдинцев С.В., Омельяненко Б.И. //
СПИСОК ЛИТЕРАТУРЫ
Геология рудн. месторождений. 2009. Т. 51, № 4.
1. Спицын В.И., Кузина А.Ф. Технеций. М.: Наука,
С. 291.
1981. 147 с.
20. Pirlet V., Lemmens K., Van Iseghem P. // Proc. Scientific
2. Soderquist Ch.Z., Schweiger M.J., Kim D.S., Lu-
Basis for Nuclear Waste Management XXVIII. Warren-
kens W.W., McCloy J.S. // J. Nucl. Mater. 2014.
dale: MRS, 2004. Vol. 824. P. 385.
Vol. 449. P. 173.
21. Власова, Н.В., Ремизов М.Б., Козлов П.В., Белано-
3. Стефановский С.В., Стефановская О.И., Виноку-
ва Е.А. // Вопр. радиац. безопасности. 2017. № 3.
ров С.Е., Данилов С.С., Мясоедов Б.Ф. // Радиохи-
С. 32.
мия. 2015. Т. 57, № 4. С. 295.
22. Frugier, P. Gin S., Minet Y., Chave T., Bonin B., Gordon N.,
4. Danilov S.S., Stefanovsky S.V., Stefanovskaya O.I., Vi-
Lartigue J.-E., Jollivet P., Ayral A., De Windt L., Santa-
nokurov S.E., Myasoedov B.F., Teterin Yu.A. // Radio-
rini G. // J. Nucl. Mater. 2008. Vol. 380. P. 8.
chemistry. 2018. Vol. 60, N 4. P. 434.
23. НП-019-15: Федеральные нормы и правила в обла-
5. Стефановский С.В., Маслаков К.И., Тетерин Ю.А.,
сти использования атомной энергии. Сбор, пере-
Калмыков С.Н., Данилов С.С., Тетерин А.Ю., Ива-
работка, хранение и кондиционирование жидких
нов К.Е. // Докл. АН. 2018. Т. 478, № 2. С. 175.
радиоактивных отходов. Требования безопасности.
6. Стефановский С.В., Стефановская О.И., Семено-
Ростехнадзор, 2015.
ва Д.В., Кадыко М.И., Данилов С.С. // Стекло и кера-
24. Al-Abed S. R., Hageman P. L., Jegadeesan G., Madha-
мика. 2018. №. 3. С. 9.
7. Stefanovsky S.V., Sefanovsky O.I., Myasoedov B.F, Vi-
van N., Allen D. // Sci. Total Environ. 2006. Vol. 364.
P. 14.
nokurov S.E., Danilov S.S., Nikonov B.S., Maslakov K.I.,
Teterin Yu.A. // J. Non-Cryst. Solids. 2017. Vol. 471.
25. Moon D.H., Dermatas D. // Eng. Geol. 2006. Vol. 85.
P. 421.
P. 67.
8. Maslakov K.I., Teterin Yu.A., Stefanovsky S.V., Kalmy-
26. Torras J., Buj I., Rovira M., de Pablo J. // J. Hazard.
kov S.N, Teterin A.Yu., Ivanov K.E., Danilov S.S. // J.
Mater. 2011. Vol. 186. P. 1954.
Non-Cryst. Solids. 2018. Vol. 482. P. 23.
27. Xue Q., Wang P., Li J.-S., Zhang T.-T., Wang S.-Y. //
9. Mysen B.O., Finger L.W., Virgo D., Seifert F.A. // Am.
Chemosphere. 2017. Vol. 166. P. 1.
Mineral. 1982. Vol. 67, N 7-8. P. 686.
28. Мартынов К.В., Константинова Л.И., Захарова Е.В. //
10. Shirley D.A. // Phys. Rev. B. 1972. Vol. 5, N 12.
Вопр. радиац. безопасности. 2015. № 4. С. 10.
РАДИОХИМИЯ том 62 № 6 2020