РАДИОХИМИЯ, 2020, том 62, № 5, с. 440-445
УДК [669.82+669.793]:66.061.3.5
РАЗДЕЛЕНИЕ СКАНДИЯ И ТОРИЯ ПРИ
ПЕРЕРАБОТКЕ ЧЕРНОВОГО СКАНДИЕВОГО
КОНЦЕНТРАТА, ПОЛУЧЕННОГО ИЗ ВОЗВРАТНЫХ
РАСТВОРОВ ПОДЗЕМНОГО ВЫЩЕЛАЧИВАНИЯ
УРАНА
© 2020 г. Е. Ю. Мешковa,*, И. Д. Акимоваb, Н. А. Бобыренкоa, А. А. Соловьевa,
Н. В. Клочковаb, А. А. Савельевb
a Ведущий проектно-изыскательский и научно-исследовательский институт промышленной технологии,
115409, Москва, Каширское шоссе, 33
b Ведущий научно-исследовательский институт госкорпорации «Росатом» по химическим технологиям,
115409, Москва, Каширское шоссе, 33
*e-mail: Meshkov.E.J@vnipipt.ru
Получена 11.06.2019, после доработки 11.06.2019, принята к публикации 22.09.2019
Проведены исследования по разделению скандия и тория из азотнокислых растворов с применением двух
экстракционных систем 7.5% Cyanex 923 + 7.5% ТБФ и 40% ТБФ в керосине для переработки первич-
ного концентрата скандия, полученного из возвратных растворов подземного выщелачивания урана на
АО «Далур». Сравнение значений коэффициентов разделения показало принципиальную возможность
применения обеих систем для разделения скандия и тория. Рекомендовано на первом этапе разделения
применить 40%-ный раствор ТБФ в керосине, а на стадии тонкой очистки - смесь экстрагентов 7.5%
Cyanex 923 + 7.5% ТБФ в керосине.Для этой системы отмечены более высокие потери скандия за счет
соэкстракции с торием. Показана возможность повышения степени очистки от активности добавлением
к раствору ТБФ 15% нитрата триалкилметиламмония.
Ключевые слова: скандий, торий, уран, подземное выщелачивание, экстракция, разделение, ТБФ,
Cyanex 923
DOI: 10.31857/S0033831120050111
ВВЕДЕНИЕ
нием первичных концентратов этих металлов [1].
При проведении натурных испытаний на Далма-
Подземное выщелачивание (ПВ) урана явля-
товском месторождении было поднято из недр
ется одним из основных методов добычи и полу-
357 683 м3 продуктивных растворов. С примене-
чения концентратов природного урана. Во всем
нием ионообменной смолы АФИ-22 было получе-
мире он постепенно вытесняет гидрометаллурги-
но 65 т уран-скандиевого концентрата, содержав-
ческие производства, основанные на карьерной и
шего ~10% Sc2О3, примеси U и Th, причем торий
шахтной добыче урановой руды. Продуктивные
в виде изотопа 230Th. Концентрат скандия имел ак-
растворы выщелачивания помимо урана, как пра-
тивность по 230Th на уровне (8-9)×104 Бк/г. В об-
вило, содержат и другие ценные компоненты, од-
ним из которых на ряде месторождений является
разце концентрата скандия, полученном в 2015 г.
скандий. О наличии скандия на участках, разра-
специалистами УрФУ им. Б.Н. Ельцина, значение
батываемых АО «Далур», известно с 1980-х гг. В
активности составляет (1.8±0.25)×108 Бк/г [2]. В
2003 г. была испытана технология сорбционного
связи с возобновлением работ по извлечению и по-
извлечения скандия и РЗЭ (редкоземельных эле-
лучению высокочистого оксида Sc и концентрата
ментов) из фильтратов сорбции урана с получе-
РЗЭ на предприятиях ПВ встает вопрос об очистке
440
Р
АЗДЕЛЕНИЕ СКАНДИЯ И ТОРИЯ
441
скандия от радиоактивных примесей урана, тория
Таблица 1. Объемная активность тория-230 и урана-238
и продуктов радиоактивного распада. Установлен-
(Бк/дм3) в продуктивных и маточных растворах подзем-
ный предел допустимого уровня удельной эффек-
ного выщелачивания Далматовского и Хиагдинского
тивной активности в оксиде скандия по ТУ 95.148-
месторождений
77 составляет не более 1.0 Бк/г.
№
Проба
230Th
238U
Присутствие тория в растворах ПВ в виде изо-
1
Продуктивный р-р, 2002 г.,
3100
630
Далматовское
топа 230Th может привлечь внимание физиков-
2
Маточный р-р, 2004 г.,
3500
220
ядерщиков в качестве источника 232U, образующе-
Далматовское
гося по реакции взаимодействия с тепловыми ней-
3
Продуктивный р-р, май 2006 г.,
3200
430
тронами: 230Th(n,γ)231Th(β-)231Pa(n,γ)232Pa(β-)232U.
Далматовское
Интерес к радиоизотопным источникам энергии -
4
Маточный р-р, май 2006 г.,
3000
50
устройствам, использующим энергию естествен-
Далматовское
ного радиоактивного распада, - постоянно растет.
5
Продуктивный р-р, янв. 2006 г.,
2300
1900
Уран-232 с продуктами распада имеет величину
Хиагдинское
удельной мощности энерговыделения в восемь раз
6
Маточный р-р, янв. 2006 г.,
2200
130
больше, чем 238Pu [3]. Торий-230 (историческое
Хиагдинское
название - ионий) принадлежит к радиоактивно-
му семейству урана-238 (238U, 230Th, 226Ra, 210Pb).
извлечения скандия из возвратных растворов ПВ
Он образуется в результате α-распада урана-
урана рекомендованы к применению также ионит
234, имеющего период полураспада ~2.5×105 лет.
В результате распада 230Th (период полураспада
Purolite S957 и волокнистый сорбент ФИБАН Р-1-3
более 75 тыс. лет) образуется 226Ra. Являясь про-
[5].
дуктом распада урана, он может быть выделен в
Задача разделения тория и скандия в техноло-
процессах переработки урановых руд из оборот-
гических процессах является достаточно сложной
ных растворов и отходов производства, сосредото-
проблемой из-за близких свойств и схожей ком-
ченных на хвостохранилищах.
плексообразующей способности этих элементов
Анализ содержания радионуклидов тория в
[6]. Одним из основных методов удаления ради-
продуктивных и маточных растворах после сорб-
оактивных примесей при переработке различного
ции урана в ходе ПВ урана, выполненный в 2002-
сырья является жидкостная экстракция. Экстрак-
2006 гг., свидетельствует о заметном присутствии
ционные методы также преобладают в техноло-
тория в оборотных растворах выщелачивания
гических схемах извлечения и концентрирования
(табл. 1).
скандия [7]. Для первичного выделения из сер-
нокислых растворов применяют фосфороргани-
При исследовании свойств ионообменных смол
ческие кислоты, например, Д2ЭГФК и ее смеси с
на АО «Далур» было установлено, что в процессе
ТБФ [8, 9]. При переработке азотнокислых и соля-
извлечения урана из продуктивных растворов сор-
бцией на анионите АМП концентрирования скан-
нокислых растворов для получения чистых соеди-
нений скандия предпочтение отдают в основном
дия не происходит, так как в растворах скандий
нейтральным фосфорорганическим экстрагентам.
находится преимущественно в катионной форме
[4]. Его концентрация в возвратных растворах со-
Достаточно подробно изучена экстракция скандия,
рбции урана составляет 0.5-1.5 мг/дм3. Опублико-
урана и тория трибутилфосфатом, ТОФО, Cyanex
ваны данные по сорбционному концентрированию
923 и др. [10, 11]. Большой опыт по выделению
скандия из фильтратов сорбции урана на различ-
радиоактивных примесей из азотнокислых раство-
ных смолах. Из амфолитов, т.е. смол, имеющих в
ров накоплен при получении концентратов РЗЭ.
своей структуре как кислые, так и основные груп-
Например, в диссертационной работе [12] при
пы, марок Purolite 950, Lewatit ТР 260, Tulsion CH
разработке технологии разделения РЗЭ, выделен-
93 наилучшие результаты показал Tulsion CH 93
ных из фосфогипса, для разделения церия и тория
[2]. По результатам лабораторных и циклических
исследованы смеси экстрагентов 10 об% ФОР +
испытаний катионитов различных марок на АО
20 об% ТБФ и 80 об% ТАМАН + 20 об% ТБФ
«Далур» к перспективным смолам были отнесе-
(ФОР
- разнорадикальный фосфиноксид,
ны Purolite D5401 и Lewatit VPOC 1026 [4]. Для
ТАМАН - нитрат триалкилметиламмония).
РАДИОХИМИЯ том 62 № 5 2020
442
МЕШКОВ и др.
Таблица 2. Объемная активность радионуклидов в азотнокислом растворе после разложения ЧСКa
230Th
226Ra
228Ra
228Th
Бк/см3
мас%
Бк/см3
мас% от 230Th
Бк/см3
мас% от 230Th
Бк/см3
мас% от 230Th
1200
100
0.015
2.61*10-8
0.015
9.41×10-8
2.5
5.2×10-7
a Величины объемных активностей (Бк/см3) радионуклидов азотнокислого раствора после разложения ЧСК были пересчитаны
на весовые значения г/кг, суммированы и от этой суммы взято их процентное содержание в растворе.
В настоящей работе определены условия раз-
ности между значениями в исходном растворе и в
деления скандия и тория экстракцией на стадии
рафинате. В опытах в режиме исчерпывания рафи-
переработки чернового скандиевого концентрата
нат экстракции служит исходным раствором для
(ЧСК), полученного из возвратных растворов под-
последующей стадии экстракции свежим раство-
земного выщелачивания урана на АО «Далур».
ром экстрагента.
Объемную активность радионуклидов, входя-
ЭКСПЕРИМЕНТАЛЬНАЯ ЧАСТЬ
щих в состав ЧСК, определяли в испытательной
Объектом исследований служил образец чер-
лаборатории радиационного контроля ВНИИХТ.
нового скандиевого концентрата, полученный при
Растворы экстрагентов в керосине промывали в
испытании сорбционной схемы концентрирова-
течение 3 мин раствором HNO3 заданной концен-
ния скандия из фильтратов сорбции урана на АО
трации в соответствии с последующими условия-
«Далур». Содержание скандия в ЧСК составило
ми экстракции.
2.0%, тория - 3.6% при влажности концентрата
8.5% (по отношению к воздушно-сухому состоя-
РЕЗУЛЬТАТЫ И ИХ ОБСУЖДЕНИЕ
нию). В качестве экстрагентов были применены
Взятый для исследований образец ЧСК имел
трибутилфосфат (C4H9О)3PO (ТБФ), ТУ 2435-305-
следующий радионуклидный состав (Бк/г): 230Th
05763458-2001; нитрат триалкилметиламмония
13000, 226Ra 3.6, 228Ra 13, 228Th 40. После разло-
(ТАМАН), опытный образец; Cyanex 923 - смесь
жения концентрата в азотной кислоте был полу-
четырех алкилфосфиноксидов R3PO, R2RʹP(O),
чен раствор с концентрацией скандия 5.3 и HNO3
RRʹ2P(O), Rʹ3P(O), где R - нормальный октил, Rʹ -
120 г/дм3. Данные по радионуклидному составу
нормальный гексил, содержание основного веще-
и величине их объемной активности приведены в
ства не менее 93%, производство фирмы Cytec,
табл. 2.
Канада-США; керосин осветительный КО-25, ТУ
Для снижения уровня радиоактивности полу-
38.401-58-10-01.
ченного раствора на первом этапе исследований
Для проведения исследований навески ЧСК
применен 40%-ный раствор ТБФ в керосине. Из-
массой 50-60 г репульпировали водой при Т : Ж =
учена зависимость распределения Th-230 между
1 : 1 в течение 5 мин, затем вводили в пульпу
водной и органической фазами за 5 стадий после-
3 объема азотной кислоты заданной концентрации,
довательного насыщения органической фазы ис-
нагревали до температуры 50-60°С и перемешива-
ходным раствором при О : В = 1 : 1. Критериями
ли в течение 2 ч. Пульпу фильтровали, осадки на
эффективности экстракции в экспериментах явля-
фильтре промывали раствором HNO3 при Т : Ж =
лась удельная активность экстрактов, рафинатов
1 : 1 (по отношению к навеске ЧСК). Суммарное
и концентрация скандия в экстракте. Величину
отношение Т : Ж = 1 : 5. Фильтрат и промывные
объемной активности органической фазы с первой
воды объединяли. Опыты по экстракции проводи-
по четвертую стадии экстракции рассчитывали по
ли в делительных воронках встряхиванием водно-
разности между значениями для исходного рас-
го и органического растворов при различном их
твора и для водных рафинатов. Для экстракта 5-й
соотношении. Время перемешивания составляло
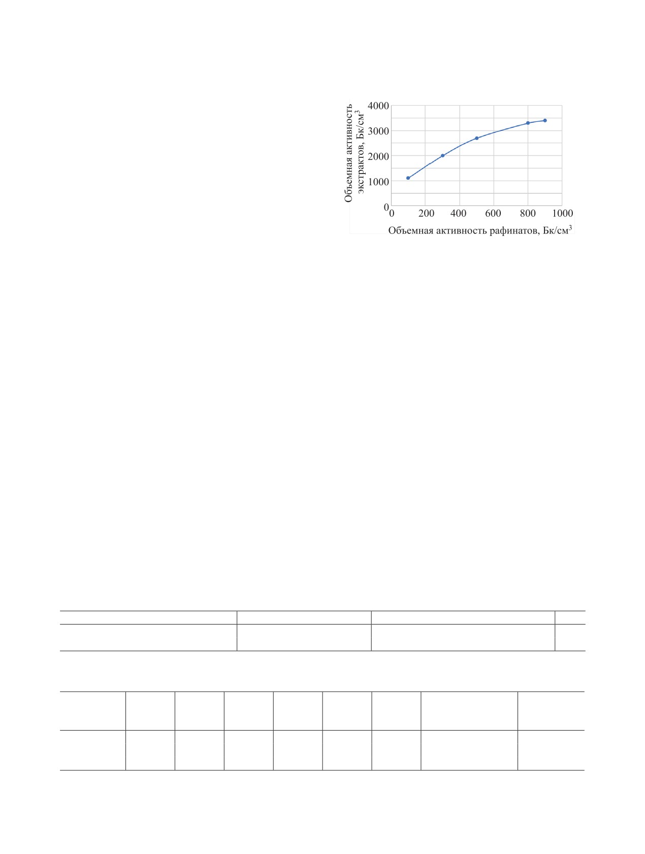
стадии приведено фактическое значение. На рис. 1
3 мин. После расслаивания водную и органиче-
представлено распределение Th-230 между водной
скую фазы разделяли. Концентрации скандия и то-
и органической фазами по стадиям экстракции
рия в рафинатах экстракции определяли методом
раствором 40% ТБФ в керосине. За первую стадию
спектрометрии с индуктивно связанной плазмой,
экстракции объемная активность Th-230 в водной
а в органических экстрактах рассчитывали по раз-
фазе снизилась с 1200 до 100 Бк/см3. За 5 стадий
РАДИОХИМИЯ том 62 № 5 2020
Р
АЗДЕЛЕНИЕ СКАНДИЯ И ТОРИЯ
443
последовательного насыщения объемная актив-
ность Th-230 в экстрагенте составила 3400 Бк/см3,
что указывает на принципиальную возможность
применения 40%-ного раствора ТБФ для удаления
основного количества Th-230 из водного азотно-
кислого раствора. В данном эксперименте степень
соэкстракции скандия составила ~20%.
При проведении экстракции методом исчерпы-
вания в 3 стадии при соотношении фаз О : В = 1 : 1
объемная активность Th-230 в растворе снизилась
до 18 Бк/см3, при этом потери скандия составили
Рис. 1. Распределение 230Th между водной и органи-
26.5%.
ческой фазами по стадиям экстракции раствором 40%
ТБФ в керосине.
Эффективность извлечения тория повышается
при добавлении ТАМАН к ТБФ. Для смеси 40%
тракцию скандия, что приводит к его потерям. До-
ТБФ + 15% ТАМАН и 40% ТБФ в керосине опре-
бавление к ТБФ более основного реагента Cyanex
делены коэффициенты распределения Th-230. При
923 позволит снизить общую молярную концен-
сравнении значений Kр для двух систем при соот-
трацию экстрагента в растворе керосина, повы-
ношении фаз О : В = 1 : 1 и концентрации HNO3
сить эффективность экстракции, протекающей по
сольватному механизму:
120 г/дм3 видно существенное преимущество си-
стемы с ТАМАН (табл. 3), исходная объемная ак-
Sc3+ + 3NO3- + 3ТБФ = Sc(NO3)3·3ТБФ
тивность Th-230 1200 Бк/кг.
Th4+ + 4NO3- + 2ТБФ = Th(NO3)4·2ТБФ
В следующих опытах эффективность извлече-
или в зависимости от условий
ния оценивали по значениям концентраций Th и
Th4+ + 4NO3- + 4ТБФ = Th(NO3)4·4ТБФ.
Sc в водной и органической фазах. Концентрация
Экстракция проведена исчерпыванием в 3 ста-
азотной кислоты в растворе была увеличена, так
дии при соотношении фаз О : В = 1 : 4. В табл. 4
как известно, что с ростом концентрации HNO3
приведены результаты эксперимента.
степень экстракции Sc нейтральными фосфорор-
ганическими соединениями снижается [12, 13].
Из приведенных данных видно, что эффек-
тивность разделения тория и скандия в данном
После растворения ЧСК в азотной кислоте по-
процессе достаточно высока. За три стадии кон-
лучен раствор с концентрацией HNO3 270, Sc -
центрация тория в рафинате снизилась более чем
5.3, Th - 4.38 г/дм3. В результате предварительных
в 500 раз. Потери скандия за счет соэкстракции с
исследований для экстракции тория была выбра-
торием суммарно за 3 стадии составили 23.8%.
на смесь ТБФ и Cyanex 923 в равных объемных
концентрациях 7.5%. Системы с более высокими
Технологическая схема получения высокочи-
концентрациями экстрагентов увеличивают соэкс-
стого оксида скандия предполагает наличие допол-
Таблица 3. Коэффициент распределения 230Th между водной азотнокислой и органической фазами
Экстрагент
230Th в водной фазе, Бк/см3
230Th в органической фазе, Бк/см3
Kр
40% ТБФ в керосине
100
1100
11
40% ТБФ + 15% ТАМАН в керосине
30
1170
39
Таблица 4. Экстракция Sc и Th смесью экстрагентов 7.5% Cyanex 923 + 7.5% ТБФ в керосине исчерпыванием в
3 стадии, О : В = 1 : 4. Состав раствора, г/дм3: HNO3 270, Sc 5.3, Th 4.38
Коэффициент
Стадия
Scвод,
Scорг,
Thвод,
Thорг,
Kр(Sc)
Kр(Th)
разделения
Потери Sc, %
экстракции
г/дм3
г/дм3
г/дм3
г/дм3
Kр(Th)/Kр(Sc)
1
4.77
2.12
0.44
0.92
13.84
15.04
34.2
10.0
2
4.14
2.52
0.60
0.07
3.40
48.57
80.9
13.2
3
4.04
0.40
0.10
0.008
0.25
31.25
312.5
2.4
РАДИОХИМИЯ том 62 № 5 2020
444
МЕШКОВ и др.
Рис. 2. Коэффициенты разделения Sc и Th при экстрак-
Рис. 3. Потери Sc при экстрации (1) 7.5% Cyanex 923 +
ции раствором (1) 7.5% Cyanex 923 + 7.5% ТБФ и (2)
7.5% ТБФ и (2) 40% ТБФ в керосине за 5 стадий ис-
40% ТБФ в керосине за 5 стадий исчерпыванием.
черпыванием.
нительной стадии очистки от радиоактивных при-
на себя внимания повышенные потери скандия за
месей после промежуточного концентрирования
счет соэкстракции с торием смесью с Cyanex 923.
скандия, которое происходит на стадии реэкстрак-
За 5 стадий суммарные потери для 40%-ного ТБФ
ции с осаждением оксикарбоната скандия перемен-
составили ~14%, а у смеси экстрагентов - ~30%.
ного состава [Sc(OH)m]2(CО3)3m·3Н2О, Sc(OH)CО3·
На недостаточную степень очистки от тория
Н2О. На этом этапе концентрация скандия в не-
40%-ным раствором ТБФ указывают данные по
сколько раз превышает концентрацию тория.
распределению тория между водной и органиче-
После растворения осадка оксикарбоната полу-
ской фазами, приведенные в табл. 5. Концентрация
чен раствор состава, г/дм3: HNO3 260, Sc 19.0, Th
тория в рафинате экстракции за 5 стадий у 40%-
0.9. Проведено сравнение показателей извлечения
ного ТБФ не опустилась ниже 8 мг/дм3, в то вре-
скандия и тория двумя системами экстрагентов:
мя как у смеси с Cyanex 923 она составляет менее
смесью 7.5% Cyanex 923 + 7.5% ТБФ в керосине и
1 мг/дм3. Данный фактор имеет решающее значе-
40% ТБФ в керосине. Экстракцию проводили ис-
ние при последующей оксалатной очистке скандия
черпыванием в 5 стадий при соотношении О : В =
осаждением щавелевой кислотой из рафината экс-
1 : 3. Коэффициенты разделения скандия и тория
тракции тория. На этой стадии происходит очист-
по стадиям экстракции для двух этих систем при-
ка скандия от многих примесей, но торий и про-
ведены на рис. 2 и 3, а коэффициенты распределе-
дукты радиоактивного распада будут осаждаться
ния тория - в табл. 5.
совместно со скандием. Поэтому в растворе перед
осаждением оксалата скандия торий должен прак-
Сравнение коэффициентов разделения тория и
тически отсутствовать.
скандия показывает преимущество 40%-ного ТБФ
перед смесью экстрагентов, возможно, из-за более
На основании проведенных исследований по
низкой степени соизвлечения скандия. Однако на
сравнению двух экстракционных систем
7.5%
последней стадии наблюдается явное преимуще-
Cyanex 923 + 7.5% ТБФ и 40% ТБФ в керосине
ство смеси с Cyanex 923: для 40%-ного ТБФ коэф-
можно сделать вывод о принципиальной возмож-
фициент разделения находится на уровне 8, а для
ности применения обеих систем для очистки скан-
смеси экстрагентов - 20. В то же время обращают
дия от тория. При переработке чернового скан-
Таблица 5. Распределение Th между водной и органической фазами для двух экстракционных систем. Водный рас-
твор, г/дм3: HNO3 260, Sc 19.0, Th 0.9; О : В = 1 : 3. Исчерпывание 5 стадий
7.5% Cyanex 923 +7.5% ТБФ в керосине
40% ТБФ в керосине
Thвод, г/дм3
Thорг, г/дм3
Kр(Th)
Thвод, г/дм3
Thорг, г/дм3
Kр(Th)
0.094
2.29
24.4
0.20
2.46
10.0
0.013
0.24
18.5
0.06
0.42
7.0
0.004
0.027
6.75
0.02
0.12
6.0
0.002
0.006
3.0
0.009
0.033
3.66
>0.001
0.003
3.0
0.008
0.003
0.37
РАДИОХИМИЯ том 62 № 5 2020
Р
АЗДЕЛЕНИЕ СКАНДИЯ И ТОРИЯ
445
диевого концентрата по азотнокислой схеме для
3. Матвеев Л.В., Центер Э.М. Уран-232 и его влияние
первоначальной очистки скандия от активности
на радиационную обстановку в ядерном топливном
экстракцией целесообразно применить 40%-ный
цикле. М.: Энергоатомиздат, 1985. 72 с.
раствор ТБФ в керосине. Для тонкой очистки от
4. Соловьев А.А., Мешков Е.Ю., Бобыренко Н.А., Пары-
радиоактивных примесей наиболее предпочти-
гин И.А. // Цв. металлы. 2018. № 7. С. 6.
5. Соколова Ю.В. // Матер. конф. «Современные ин-
тельно применить смесь экстрагентов 7/5% Cyanex
новационные технологии в горном деле и при пер-
923 + 7.5% ТБФ в керосине. При этом необходимо
вичной переработке минерального сырья». М., 2018.
обратить внимание на величину потерь скандия за
С. 88.
счет соэкстракции с торием. Для раствора ТБФ по-
6. Каляцкая Г.В., Страшко А.Н. Химия и аналитиче-
тери скандия существенно ниже.
ская химия урана и тория: учебное пособие. Томск:
КОНФЛИКТ ИНТЕРЕСОВ
Изд-во Томского политехн. ун-та, 2011. 80 с.
7. Коршунов Б.Г., Резник А.М., Семенов С.А. Скандий.
Авторы заявляют об отсутствии конфликта
М.: Металлургия, 1987. 184 с.
интересов.
8. Акимова И.Д., Чумакова Г.М., Молчанова Т.В., Голов-
СПИСОК ЛИТЕРАТУРЫ
ко В.В. // Цв. металлы. 2017. № 3. С. 63.
9. Хейн Пьей. Дис….к.т.н. М., 2018. 157 с.
1. Логвиненко И.А., Волков Н.И., Мачинская Л.А, Вла-
10. Нурпеисова Ж.А., Злобина Е.В. // Вестн. КазНУ. Сер.
сова Т.В., Смирнова Р.Н., Марков С.Н., Попони-
хим. 2014. № 2. С. 29.
на Г.Ю., Смышляев В.Ю. // Подземное и кучное вы-
щелачивание урана, золота и других металлов. Т. 1:
11. Degian Lia, Chun Wang. // Hydrometallrgy. 1998.
Уран. М.: Руда и металлы, 2005. С. 199.
N 3. P. 301.
2. Smirnov A.L.,Titova S.M.,Rychkov V.N.,Bun-
12. Семенов А.А. Дис….к.т.н. М., 2016. 126 с.
kov G.M.,Semenishchev V.S.,Kirillov E.V., Popo-
13. Костикова Г.В., Данилов Н.А., Крылов Ю.С., Корпу-
nin N.N.,Svirsky I.A. // J. Radioanal. Nucl. Chem. 2017.
сов Г.В., Сальникова Е.В. // Радиохимия. 2005. Т. 47,
Vol. 312, N 2. P. 277.
№ 2. С. 162.
РАДИОХИМИЯ том 62 № 5 2020