РАДИОХИМИЯ, 2020, том 62, № 4, с. 293-303
УДК 548.3
КООРДИНАЦИОННЫЕ ПОЛИЭДРЫ AnSen (An = Th, U,
Np, Pu, Am ИЛИ Cm) В СТРУКТУРАХ КРИСТАЛЛОВ
© 2020 г. В. Н. Сережкин*, М. Албакаджажи, Д. В. Пушкин, Л. Б. Сережкина
Самарский национальный исследовательский университет им. акад. С. П. Королева,
443011, Самара, ул. Акад. Павлова, д. 1
*е-mail: serezhkin@samsu.ru
Получена 10.06.2019, после доработки 10.06.2019, принята к публикации 10.09.2019
С помощью полиэдров Вороного-Дирихле (ВД) проведен кристаллохимический анализ соединений,
содержащих в структурах кристаллов координационные полиэдры AnSen (An = Th, U, Np, Pu, Am или
Cm). Установлено, что в селенидах встречаются атомы An(II), An(III), An(IV) и An(V), которые коорди-
нируют от 6 до 10 атомов селена в виде Se2- или Se-. Показано, что полиэдры ВД позволяют определять
валентное состояние атомов An в структурах кристаллических веществ и выявлять ошибки в кристал-
лоструктурной информации. Установлена зависимость кратности связей Sе-Sе от их длины в 0D, 1D и
2D группировках, состоящих только из атомов селена.
Ключевые слова: актиниды, селениды, полиэдры Вороного-Дирихле, стереохимия, актинидное сжатие
DOI: 10.31857/S0033831120040024
ВВЕДЕНИЕ
[6, 7]}, а самые длинные отвечают ван-дер-вааль-
совым взаимодействиям {d(Se···Se) ≈ 3.8 Å [6, 7]}.
Одной из актуальных проблем современной
Склонность S, Se и Te к гомоатомным взаимодей-
атомной энергетики является cовершенствование
ствиям (далее X/X) является важной особенно-
методов разделения минорных актинидов (Np, Am,
стью их стереохимии, которая обусловлена суще-
Cm) и лантанидов (Ln), которые присутствуют в
ствованием анионов Х-, способных образовывать
соотношении ≈ 1 : 40 в высокоактивных отходах
в структурах кристаллов разнообразные группи-
[1]. В последние годы выяснилось, что прогресс
ровки, влияющие на строение и свойства соедине-
в решении указанной проблемы может быть свя-
ний.
зан с использованием экстрагентов, содержащих
«мягкие» донорные лиганды Х (в частности, Х =
Неоднократно отмечалось, что межхалькоген-
S, Se или Te), которые образуют более ковалент-
ные контакты Х/Х затрудняют или делают невоз-
ные связи An-X (An - актинид) по сравнению с
можным однозначное определение формальных
аналогичными связями Ln-X [1-3]. Хотя природа
зарядов атомов в структурах кристаллов [8-12].
различия степени ковалентности указанных свя-
Одним из примеров такого рода может служить
зей остается предметом дискуссии, тем не менее в
Np2Se5 {250760} [13]. В фигурных скобках здесь
последние годы усилился интерес к исследованию
и далее указан цифровой или буквенный код сое-
строения и свойств соединений, содержащих ко-
динения в базах структурных данных [14, 15]. По
ординационные полиэдры AnХn, где Х = S, Se или
данным работы [13], в структуре Np2Se5 присут-
Te [2-5]. Такие соединения представляют значи-
ствуют атомы Np, Se1 и Se2 в соотношении 2 : 4 : 1.
тельный интерес также из-за наличия в структурах
Атомы Se2 представляют собой ионы Se2-, кото-
кристаллов гомоатомных взаимодействий между
рые связаны с 4 атомами Np. Каждый атом Se1
атомами халькогенов, межатомные расстояния для
(формально ион Se-) также связывает 4 атома Np,
которых изменяются в очень широких пределах.
но при этом одновременно входит в состав линей-
Наиболее короткие расстояния X-X соответству-
ных цепей -Se1-Se1-Se1-, в которых каждый атом
ют ковалентной связи {например, d(Se-Se) ≈ 2.3 Å
имеет двух соседей, находящихся на расстояниях
293
294
СЕРЕЖКИН и др.
Таблица 1. Некоторые характеристики КП атомов An в комплексах AnSen
Число
КТТ
ТТВ
Пример
КЧ An
Форма КП
атомов
полиэдра ВД
полиэдра ВД
соединения
6
Октаэдр
44
46
{3/8}
Ba4USe6 {251723} [23]
Тригональная призма
5
36
{3/2 4/3}
Cs2Pd3USe6 {262557} [24]
7
Одношапочная
28
314353
{3/10}
Pu1 в Pu2Se3 {649953} [25]
тригональная призма
Пентагональная
2
4552
{3/10}
CuNpSe2 {260194} [26]
бипирамида
8
Тригональный додекаэдр
90
4454
{3/12}
U1 в BaU2Se5 {251554} [27]
Двухшапочная
41
4652
{3/10 4/1}
CsU2Se6 {170328} [28]
тригональная призма
Куб
1
38
{4/6}
hP-ThSe {52443} [29]
9
Трехшапочная
30
4356
{3/14}
USe2 {652123} [30]
тригональная призма
Одношапочная квадратная
5
4554
{3/12 4/1}
PuSe2 {649957} [25]
антипризма
10
Двухшапочная квадратная
3
4258
{3/16}
Th2Se5 {89668} [31]
антипризма
Cфенокорона
1
4654
{3/12 4/2}
Np2Se5 { 250760} [13]
2.65 и 2.80 Å. На основании полученных результа-
Объекты исследования и методика кристал-
тов, включая данные XANES спектроскопии, авто-
лохимического анализа. Исследованию под-
ры работы [13] пришли к выводу, что большинство
вергли все соединения An, сведения о структурах
результатов указывает на промежуточное (между
кристаллов которых имеются в базах данных [14,
+3 и +4) валентное состояние Np, которое они
15] или опубликованы в научной печати и удов-
описали формулой [Np(3+x)+]2(Se2-)(Se4)(4+2x)- (0 <
летворяют двум требованиям: (1) все кристалло-
графически неэквивалентные атомы An образуют
x ≤ 1), хотя не исключили, что в Np2Se5 актинид
КП или «комплексы» AnSen; (2) отсутствует ка-
присутствует в состоянии Np(IV). Этот пример
кое-либо разупорядочение в размещении атомов
наглядно иллюстрирует мнение авторов работы
An и Se. Этим требованиям соответствовали дан-
[12], которые отметили, что в соединениях, содер-
ные для 177 соединений, в структурах которых
жащих линейные цепочки из атомов халькогенов,
содержалось соответственно 250 и 708 кристал-
из-за отсутствия надежных кристаллохимических
лографически неэквивалентных атомов An и Se.
критериев формальные степени окисления присва-
Кристаллохимический анализ проводили c пози-
иваются в лучшем случае произвольно («arbitrary
ций стереоатомной модели структуры кристал-
at best»).
лов (СМСК), в рамках которой геометрическим
На примере соединений, содержащих более
образом любого атома является соответствующий
4000 кристаллографически неэквивалентных ко-
ему полиэдр ВД [16-21]. На основании сведений о
ординационных полиэдров (КП) AnOn (An = U
симметрии кристаллов, параметрах их элементар-
[16], Np [17], Pu [18], Am и Cm [19]), было показа-
ных ячеек и координатах базисных атомов были
но, что параметры полиэдров Вороного-Дирихле
рассчитаны характеристики полиэдров ВД всех
(ВД) позволяют четко различать валентное состо-
атомов, а по методу пересекающихся сфер [20] -
яние атомов An в структурах кислородсодержа-
их координационные числа (КЧ). Все расчеты про-
щих веществ. Результаты работ [16-19] позволяют
водили с помощью комплекса программ TOPOS-
предположить, что характеристики полиэдров ВД
InterMol [22].
могут быть использованы для оценки валентного
В общем случае полиэдр ВД атома An в селени-
состояния атомов An и в селенидах. Эксперимен-
дах имеет состав AnSenZr, где n - КЧ атома An, Z -
тальная проверка указанного предположения яви-
атомы второй координационной сферы, а сумма
лась основной целью данной работы.
n + r равна общему числу граней полиэдра ВД.
РАДИОХИМИЯ том 62 № 4 2020
КООРДИНАЦИОННЫЕ ПОЛИЭДРЫ AnSen
295
Хотя полиэдры ВД атомов Z также обязательно
ленные значения степени окисления атомов An,
имеют общую грань с полиэдром ВД атома An, од-
указанные авторами структурных определений.
нако, в соответствии с критериями [20], контакты
Одним из примеров могут служить изоструктур-
An/Z не учитываются при определении КЧ атомов.
ные Ba4USe6 {251723}, Ba3FeUSe6 {251724} и
Однозначно разделить все межатомные контакты
Ba3MnUSe6 {251725} (далее соответственно c1, c2
атомов An на связи An-Se и невалентные взаимо-
и c3, а в общем случае - Ba3RUSe6), недавно оха-
действия An/Z (косая черта отмечает наличие об-
рактеризованные в работе [23]. Согласно авторам,
щей грани у полиэдров ВД атомов An и Z) позво-
в Ba3RUSe6 присутствуют атомы U4+ c КЧ 6, по-
ляет метод пересекающихся сфер [20].
скольку длина связей U-Se в c1-c3 (соответствен-
но 2.8248(3), 2.8362(3) и 2.8422(3) Å [23]) хорошо
Форму КП AnSen определяли с помощью
коррелирует с d(U4+-Se) в нескольких родственных
«упрощенных» полиэдров ВД, которые не учиты-
веществах. Однако наши данные показывают, что
вают грани An/Z. Каждому геометрическому типу
Rsd атомов U в c1-c3 различаются и равны соот-
комплексов AnSen отвечает полиэдр ВД, имеющий
ветственно 1.741, 1.803 и 1.808 Å. Значение Rsd для
определенный комбинаторно-топологический тип
c1 действительно практически совпало со средним
(КТТ). Строчные числа в символе КТТ указывают
для атомов U(IV) c КЧ 6 (1.742 Å, табл. 2). В то же
число вершин (или ребер) у грани, а надстрочные -
время в c2 и c3 Rsd урана в пределах σ(Rsd) совпада-
общее число таких граней. Для выявленных КП
ет со средней величиной Rsd для атомов U(III) с КЧ
AnSen (табл. 1) в фигурных скобках указан также
6 (1.799 Å, табл. 1), а не U(IV), как считают авторы
топологический тип вершин (ТТВ) соответствую-
[23]. В кристаллах Ba3RUSe6 полиэдры ВД атомов
щих полиэдров ВД. В обозначениях ТТВ первое
U кроме шести граней U-Se имеют по две грани
число указывает ранг вершины v (число ребер по-
U/R (R - соответственно Ba2, Fe и Mn для c1-c3)
лиэдра, пересекающихся в вершине), а второе (по-
и по шесть граней U/Ba. Длина контактов U/R в
сле косой черты) - общее количество таких вершин.
c1 (3.90 Å) существенно длиннее, чем в c2 или c3
Полиэдры ВД атомов актинидов. В охаракте-
(≈3.5 Å), тогда как d(U/Ba) в c1, наоборот, короче
ризованных селенидах встречаются атомы шести
(4.17 Å), чем в c2 или c3 (4.53 Å). В совокупности
актинидов (An = Th, U, Np, Pu, Am или Cm), кото-
имеющиеся данные дают основание считать, что
рые проявляют КЧ от 6 до 10 (табл. 1). Важнейшие
в изоструктурных кристаллах Ba3RUSe6 происхо-
характеристики полиэдров ВД атомов An в зависи-
дит перераспределение электронной плотности по
мости от их валентного состояния и КЧ указаны в
схеме U4+ + R2+ ↔ U3+ + R3+, при этом равновесие
табл. 2. В структурах кристаллов атомы An чаще
указанного процесса, зависящее от природы R, в
всего реализуют КП AnSe8 в виде тригонального
структуре c1 (R = Ba) смещено влево, а для c2 и c3
додекаэдра (табл. 1). Как и в соединениях, содер-
(R = Fe и Mn) - вправо.
жащих КП AnOn (An = U, Np, Pu, Am или Cm [16-
Другим примером может служить Rb4U4P4Se26.
19]), дескриптором валентного состояния актини-
Этот селенид авторы работы [32] ошибочно счи-
да может служить объем полиэдра ВД (Vvdp) атома
тают соединением U5+, характеризуя его форму-
An или его одномерный аналог - радиус сфериче-
лой (Rb+)4(U5+)4(PSe43-)4(Se2-)2(Se22-)4. Однако,
ского домена (Rsd), поскольку Vvdp = 4π(Rsd)3/3. Су-
согласно СМСК, в этом веществе ионы PSe43- по-
щественно, что Rsd практически не зависит от КЧ
парно связаны мостиковым атомом селена в ани-
и формы КП атомов An, но при этом достаточно
оны P2Se96- и поэтому строение Rb4U4P4Se26 =
закономерно уменьшается с ростом степени окис-
Rb2U2P2Se13 отвечает формуле (Rb+)2(U4+)2(P2Se96-
ления An [в среднем на 0.06(1) Å при переходах
(Se22-)2. Величина Rsd атомов U (1.721 Å) в струк-
An(III) → An(IV) для An = Th, U, Np и U(IV) →
туре Rb2U2P2Se13 свидетельствует о состоянии U4+
U(V), табл. 2]. При фиксированной степени окис-
[среднее Rsd = 1.730(20) Å, табл. 2], а не U5+, для
ления Rsd уменьшается с ростом атомного номера
которого Rsd = 1.688(1) Å. Указанное заключение
актинида из-за увеличения эффективного заряда
подтверждается также данными для Cs2Th2P2Se13 =
ядра атома.
(Cs+)2(Th4+)2(P2Se96-)(Se22-)2 {93051} [33], который
Отметим, что при подготовке табл. 2 для не-
изоструктурен с Rb2U2P2Se13 и содержит атомы
которых соединений пришлось исправить чис-
Th4+ (табл. 2, 3).
РАДИОХИМИЯ том 62 № 4 2020
296
СЕРЕЖКИН и др.
Таблица 2. Важнейшие характеристики полиэдров ВД атомов An в селенидаха
Число
d(An-Se), Å
An
КЧ
Nf
Rsd, Å
DA, Å
G3
атомов
диапазон
среднее
µ
Th(II)
6
6
6(0)
1.818(12)
0
0.08333(3)
2.89-2.94
2.93(2)
36
8б
1
14
1.773
0
0.07854
3.118
3.118
8
Th(III)
7
1
13
1.822
0.189
0.08429
2.72-3.38
3.03(23)
7
8
1
16
1.853
0.082
0.08192
3.09-3.51
3.16(14)
8
Все
2
15(2)
1.837(22)
0.135(75)
0.0831(17)
2.72-3.51
3.10(20)
15
Th(IV)
6
2
12(0)
1.772(5)
0
0.08221(3)
2.88-2.95
2.91(3)
12
7
4
11(1)
1.769(9)
0.054(11)
0.08226(18)
2.82-3.07
2.94(7)
28
8
18
12(2)
1.766(13)
0.048(29)
0.08118(53)
2.76-3.61
3.01(9)
144
9
19
11(1)
1.779(16)
0.053(19)
0.08020(30)
2.86-3.71
3.10(11)
171
10
3
10(0)
1.740(4)
0.065(16)
0.07962(9)
2.92-3.36
3.09(12)
30
Все
46
11(1)
1.770(16)
0.050(25)
0.08081(85)
2.76-3.71
3.05(12)
385
U(II)
6
12
6(0)
1.785(7)
0
0.08333(1)
2.86-2.90
2.88(1)
72
U(III)
6
3
14(0)
1.799(11)
0.003(5)
0.0857(45)
2.84-2.98
2.88(6)
18
7
4
13(1)
1.771(11)
0.111(77)
0.0834(14)
2.53-3.35
2.94(17)
28
8
11
15(1)
1.788(9)
0.058(46)
0.0810(4)
2.95-3.33
3.05(7)
88
Все
18
14(1)
1.786(13)
0.060(59)
0.0823(25)
2.53-3.35
3.01(12)
134
U(IV)
6
19
11(2)
1.742(18)
0.012(15)
0.08235(79)
2.69-2.90
2.85(4)
114
7
17
11(1)
1.720(10)
0.045(12)
0.08195(33)
2.73-3.01
2.87(7)
119
8
90
11(2)
1.729(22)
0.052(25)
0.08135(57)
2.65-3.58
2.95(10)
720
9
13
11(1)
1.726(16)
0.031(18)
0.08009(23)
2.79-3.27
3.02(12)
117
Все
139
11(2)
1.730(20)
0.044(26)
0.08144(80)
2.65-3.58
2.94(10)
1070
U(V)
6
1
13
1.687
0.007
0.08290
2.69-2.80
2.73(6)
6
8
1
12
1.689
0.049
0.08176
2.77-3.02
2.88(10)
8
Все
2
13(1)
1.688(1)
0.028(30)
0.08233(81)
2.69-3.02
2.82(11)
14
Np(II)
6
1
6
1.801
0
0.08333
2.903
2.903
6
Np(III)
7
1
14
1.766
0.052
0.08082
2.93-3.14
2.99(7)
7
8
3
15(1)
1.789(4)
0.060(52)
0.08090(3)
2.99-3.17
3.05(4)
24
Все
4
15(1)
1.783(12)
0.058(42)
0.08088(5)
2.93-3.17
3.04(5)
31
Np(IV)
7
2
11(1)
1.717(1)
0.051(2)
0.08222(12)
2.77-2.99
2.86(7)
14
8
4
11(2)
1.710(15)
0.030(16)
0.08119(6)
2.86-3.03
2.91(5)
32
10
1
10
1.703
0.041
0.07936
2.93-3.07
3.02(6)
10
Все
7
11(2)
1.711(11)
0.038(15)
0.08122(96)
2.77-3.07
2.92(8)
56
Pu(II)
6
3
6(0)
1.795(4)
0
0.08333(3)
2.89-2.90
2.893(5)
18
Pu(III)
6
1
12
1.766
0.012
0.08084
2.89-2.93
2.92(2)
6
7
1
13
1.773
0.171
0.08427
2.67-3.26
2.94(20)
7
8
2
16(1)
1.794(12)
0.059(36)
0.08129(64)
2.98-3.37
3.07(10)
16
9
1
13
1.765
0.035
0.07992
3.02-3.15
3.08(6)
9
Все
5
14(2)
1.779(16)
0.067(64)
0.0815(17)
2.67-3.37
3.02(13)
38
Am(III)
8
1
16
1.783
0
0.08092
3.037-3.043
3.040(3)
8
9
1
13
1.741
0.027
0.07992
2.96-3.13
3.04(8)
9
Все
2
15(2)
1.762(30)
0.014(19)
0.08042(71)
2.96-3.13
3.04(6)
17
Cm(II)
6
1
6
1.798
0
0.08333
2.899
2.899
6
Cm(III)
9
1
13
1.739
0.041
0.07983
3.01-3.05
3.03(2)
9
а Для всех атомов An указаны: КЧ - координационное число по отношению к атомам Se; Nf - среднее число граней полиэдра ВД;
DA - смещение ядра атома An из геометрического центра тяжести его полиэдра ВД; G3 - безразмерный второй момент инерции
полиэдра ВД; d(An-Se) - длина связей в координационных полиэдрах AnSen; µ - общее число связей An-Se. В скобках даны
стандартные отклонения.
б Данные для hP-ThSe {52443} [29], в предшествующей строке - данные для ThSe при стандартных условиях.
Еще одним примером, доказывающим, что для
ное строение (принадлежат к структурному типу
оценки валентного состояния атомов An вместо
NaCl) и формально содержат в своем составе ато-
межатомных расстояний предпочтительнее ис-
мы An(II). Однако в селенидах Th и U величина
пользовать эквивалентный интегральный пара-
Rsd атомов An(II) меньше или в пределах 2σ(Rsd)
метр полиэдра ВД (Rsd или Vvdp), могут служить
совпадает с Rsd атомов An(III) (табл. 2). Например,
AnSe (An = Th, U, Np, Pu и Cm). При стандарт-
для USe среднее Rsd атома U [1.785(7) Å] практиче-
ных условиях эти моноселениды имеют однотип-
ски совпадает со средним Rsd [1.786(13) Å] для ато-
РАДИОХИМИЯ том 62 № 4 2020
КООРДИНАЦИОННЫЕ ПОЛИЭДРЫ AnSen
297
Таблица 3. Некоторые характеристики соединений, в структурах кристаллов которых имеются связи Se-Seа
An СО/
Rsd(An),
Атомы, образующие связи
Соединение
kSe-Se
Рефкод
КЧ
Å
Se-Se
Димеры (Se-Se)2-
Ba3ThSe3(Se2)2
4/8
1.757
Se1-Se1
0.98
429804
[41]
Cs2Th2(P2Se9)(Se2)2
4/9
1.745
Se4-Se6
0.93
93051
[33]
4/9
1.747
Se9-Se11
0.93
Cs4Th2(P5Se15)(Se2)
4/8
1.778
Se12-Se13
0.99
280220
[42]
4/9
1.777
-
-
KThSb2Se5(Se2)0.5
4/9
1.764
Se6-Se6
0.81
85460
[43]
ThSe3 = ThSe(Se2)
4/8
1.748
Se2-Se3
1.04
652028
[44]
Ba8PdU2Se12(Se2)2
5/6
1.687
Se4-Se4
0.95
429514
[45]
Se5-Se5
0.93
CsScUSe3(Se2)
4/8
1.718
Se1-Se1
0.99
429089
[46]
KU2SbSe4(Se2)2
4/8
1.726
Se3-Se4
0.98
87805
[47]
4/8
1.727
Se8-Se9
1.00
4/8
1.728
Se11-Se12
1.00
K4USe8 = K4U(Se2)4
4/8
1.731
Se1-Se2
0.96
-
[48]
Se3-Se4
0.94
USe3 = USe(Se2)
4/8
1.742
Se2-Se3
1.01
652134
[49]
USe3 = USe(Se2)
4/8
1.736
Se2-Se3
1.03
652104
[50]
USe3 = USe(Se2)
4/8
1.719
Se2-Se3
1.00
83713
[51]
Rb2U2(P2Se9)(Se2)2
4/9
1.721
Se2-Se8
0.92
-
[32]
4/9
1.721
Se6-Se10
0.92
NpSe3 = NpSe(Se2)
4/8
1.697
Se1-Se3
1.02
424526
[52]
Тример Se···Se×···Se (угол)б
Cs2Th2(P2Se9)(Se2)2
4/9
1.745
Se3···Se12···Se2 (171°)
1.22 (0.59+0.63)
93051
[33]
Rb2U2(P2Se9)(Se2)2
4/9
1.721
Se1···Se5···Se13 (171°)
1.20 (0.62+0.58)
-
[32]
Тетрамер Se···Se-Se···Seв
Th2Se5= Th2Se3(Se2)
4/10
1.745
Se1···Se2-Se2···Se1 (175°)в
1.27 (0.23+1.04)
652029
[44]
Цепочки ··Se···Se×···Se·· (угол)б
KTh2Se6 = KTh2Se2(Se1.25-)4
4/8
1.758
··Se1···Se1···Se1·· (180°)
0.71 (0.48+0.23)
85811
[53]
RbTh2Se6 = RbTh2Se2(Se1.25-)4
4/8
1.760
··Se1···Se1···Se1·· (180°)
0.71 (0.48+0.23)
85812
[53]
CsTh2Se6 = CsTh2Se2(Se1.25-)4
4/8
1.754
··Se1···Se1···Se1·· (180°)
0.73 (0.52+0.21)
260957
[9]
Th2Se5 = Th2(Se2-)3(Se2)2-
4/10
1.738
··Se1···Se1···Se2- (175°)
0.43 (0.19+0.24)
89668
[31]
··Se2-Se2···Se1··
(173°)
1.03 (0.80+0.23)
Th2Se5 = Th2(Se2-)3(Se2)2-
4/10
1.738
··Se1···Se1···Se2- (175°)
0.40 (0.14+0.26)
89667
[31]
··Se2-Se2···Se1··
(173°)
1.06 (0.80+0.26)
KU2Se6 = KU2Se2(Se1.25-)4
4/8
1.718
··Se2···Se2···Se2·· (180°)
0.82 (0.52+0.30)
171665
[54]
RbU2Se6 = RbU2Se2(Se1.25-)4
4/8
1.719
··Se2···Se2···Se2·· (180°)
0.83 (0.52+0.31)
260959
[9]
CsU2Se6 = CsU2Se2(Se1.25-)4
4/8
1.718
··Se1···Se1···Se1·· (180°)
0.82 (0.57+0.25)
170328
[28]
TlU2Se6 = TlU2Se2(Se1.25-)4
4/8
1.715
··Se2···Se2···Se2·· (180°)
0.83 (0.52+0.31)
260960
[9]
La2U2Se9 = La2U2Se3(Se1.33-)6
4/9
1.714
··Se3···Se3···Se3·· (180°)
0.96 (0.50+0.46)
248052
[8]
··Se4···Se4···Se4·· (180°)
0.75 (0.38+0.37)
··Se5···Se5···Se5·· (180°)
0.75 (0.39+0.36)
KNp2Se6 = KNp2Se2(Se1.25-)4
4/8
1.707
··Se2···Se2···Se2·· (180°)
0.87 (0.55+0.32)
260962
[9]
CsNp2Se6 = CsNp2Se2(Se1.25-)4
4/8
1.704
··Se2···Se2···Se2·· (180°)
0.87 (0.59+0.28)
260963
[9]
Np2Se5 = Np2Se2-(Se1.5-)4
4/10
1.703
··Se1···Se1···Se1·· (180°)
0.97 (0.59+0.38)
250760
[13]
Сетки 44 из атомов Se-
PuSe2 = PuIIISe2-Se-
3/9
1.765
··Se1···Se1···
(×4)
0.69г
649957
[25]
AmSe2 = AmIIISe2-Se-
3/9
1.741
··Se1···Se1···
(×4)
0.98г
609814
[55]
CmSe2 = CmIIISe2-Se-
3/9
1.739
··Se1···Se1···
(×4)
0.98г
42346
[56]
а СО - степень окисления, КЧ - координационное число. Номера атомов Se в пятой колонке соответствуют указанным в базе
данных [14] или (при отсутствии рефкода) в соответствующей статье.
···Se·· перед скобками указана суммарная величина k для центрального атома Se×,
···Se) связей в указанном тримере или цепочке.
···Se.
в В тетрамере Se1 = Se2-, а Se2 = Se-. Для связи Se2-Se2 k = 1.04, а для связей Se1···Se2 и Se2···Se1 k = 0.23.
г Суммарная кратность четырех идентичных связей Se···Se, образованных каждым ионом Se- в сетке 44.
РАДИОХИМИЯ том 62 № 4 2020
298
СЕРЕЖКИН и др.
второй момент инерции (G3), который характери-
зует степень сферичности полиэдров ВД, для 250
атомов An в среднем равен 0.0815(12). Смещение
ядер атомов An из центра тяжести их полиэдров
ВД (DA) составляет 0.043(34) Å и в пределах 2σ
равно нулю.
Характеристики полиэдров ВД атомов An, ука-
занные в табл. 2, можно использовать для иденти-
фикации валентного состояния атомов An в лю-
бых селенидах. В качестве примера рассмотрим
U2La2Se9 {248052}, для которого авторы работы [8]
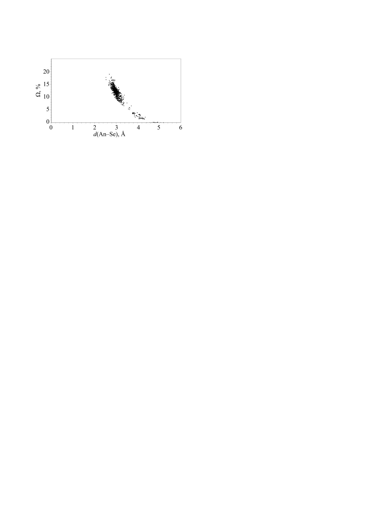
Рис. 1. Зависимость телесных углов Ω (выражены в %
от 4π ср) 2002 граней полиэдров ВД 250 атомов An от
из нескольких вариантов распределения формаль-
межатомных расстояний d(An-Se), соответствующих
ных валентностей, включая U
IIILaIII(Se2-)3(Se-)6 и
этим граням.
U
IVLaIII(Se2-)3(Se1.33-)6, предпочли последний, ко-
мов U(III). C учетом данных для аналогичных по
торый лучше согласуется с результатами XANES
составу и структуре LnX (Х = S, Se или Te) [34, 35]
спектроскопии для атомов металлов. Поскольку в
этот факт позволяет считать, что моноселениды Th
структуре U2La2Se9 Rsd атомов U (1.714 Å) в пре-
и U реально представляют собой AnIIISe(ē) и долж-
делах σ(Rsd) совпадает со средним Rsd для U(IV)
ны обладать металлической проводимостью. В то
[1.730(20) Å, табл. 2], на основании кристалло-
же время NpSe, PuSe и CmSe, также относящиеся
структурных данных можно утверждать, что в этом
к структурному типу NaCl, по-видимому, следует
селениде действительно содержатся атомы U(IV),
рассматривать как полупроводники AnIISe, по-
а не U(III), для которых среднее Rsd = 1.786(13) Å.
скольку для них Rsd атомов An(II) больше, чем для
Другим примером может служить упомяну-
An(III) (табл. 2).
тый в начале статьи Np2Se5 {250760}, для кото-
Полиэдры ВД атомов An в селенидах в сумме
рого авторы работы [13] предположили промежу-
имеют 2740 граней, 1915 из которых соответству-
точное (между +3 и +4) валентное состояние Np,
ет связям An-Se (табл. 2). На зависимости теле-
хотя не исключили и Np(IV). Рассчитанное зна-
сных углов (Ω), под которыми грани «видны» из
чение Rsd для атомов Np в этой структуре равно
ядра атома An или Se, от межатомных расстояний
1.703 Å. Учитывая, что средние значения Rsd для
An-Se (рис. 1) связям An-Se соответствуют грани
Np(III) и Np(IV) в селенидах равны соответствен-
с Ω в области от 5 до 19% полного телесного угла,
но 1.783(12) и 1.711(11) Å (табл. 2), на основании
равного 4π ср. Остальные грани с Ω < 5% отвеча-
имеющихся кристаллоструктурных данных мож-
ют невалентным взаимодействиям An/Z. В роли
но уверенно утверждать, что в Np2Se5 присутству-
атомов Z чаще всего выступают атомы An или Se
ют атомы Np(IV), а не Np(III).
(соответственно 326 и 87 граней). Cамый короткий
Полиэдры ВД атомов селена. В структурах
контакт An/An (3.60 Å) реализуется в кристаллах
рассмотренных соединений содержатся атомы се-
hP-ThSe {52443} со структурой CsCl, образую-
лена двух кристаллохимических типов. Большин-
щихся при давлении 15 ГПа [29]. Интересно, что в
ство из них (647 из 708) можно рассматривать как
hP-ThSe для атома Th величина Rsd (1.773 Å) прак-
ионы Se2-, а остальные 61 - как ионы Se-. Поли-
тически совпадает со средним Rsd атомов Th(IV)
эдры ВД ионов Se2- и Se- имеют в среднем соот-
[1.770(16) Å, табл. 2]. С позиций СМСК этот факт
ветственно 16(3) и 14(2) граней. Среднее КЧ ио-
дает основание предполагать, что при высоком
нов Se2- и Se- равно 4(1) и 5(1), поэтому на один
давлении моноселенид тория следует рассматри-
ион приходится соответственно 12 и 9 невалент-
вать как ThIVSe2-(ē)2. Сравнительно часто (от 25
ных взаимодействий Se/Z. Cтепень сферичности
до 70 граней) встречаются невалентные контакты
полиэдров ВД ионов Se2- и Se- принципиально не
c атомами H, P, Cu, Pd, Pt и Ba. В остальных редко
различается [G3 = 0.0841(33) и 0.0856(29) соответ-
встречающихся взаимодействиях An/Z участвуют
ственно]. Смещение ядер атомов селена из центра
атомы еще 23 разных элементов. Безразмерный
тяжести их полиэдров ВД для Se2- и Se- равно со-
РАДИОХИМИЯ том 62 № 4 2020
КООРДИНАЦИОННЫЕ ПОЛИЭДРЫ AnSen
299
ответственно 0.18(13) и 0.26(13) Å и в пределах 2σ
равно нулю.
Радиусы сферических доменов ионов Se2- и Se-
равны 1.87(8) и 1.90(7) Å и совпадают в пределах
σ. Сходство Rsd атомов Se2- и Se- объясняется тем,
что в структурах кристаллов они образуют одина-
ковую 8-электронную оболочку. Принципиальное
различие ионов Se2- и Se- заключается в способе
реализации такой оболочки. Так, ионы Se2- обыч-
но образуют ее только за счет химических связей
Se-An и/или Se-R (R - внешнесферные катионы,
компенсаторы заряда). В то же время ионы Se-
помимо гетероатомных связей Se-An обязатель-
но образуют от 1 до 4 ковалентных связей Se-Se.
Ионы Se- присутствуют в структурах 31 соедине-
ния (табл. 3), причем обычно они сосуществуют с
ионами Se2-. Именно за счет связей Se-Se, обра-
зованных ионами Se-, в селенидах An возникают
разнообразные по топологии олигомерные (0D),
цепочечные (1D) или слоистые (2D) группировки,
содержащие только атомы селена (рис. 2).
Различие кристаллохимической роли ионов
Рис. 2. Схематическое строение группировок из ато-
Se2- и Se- наглядно проявляется на распределениях
мов Se (черные кружки) в структурах селенидов An.
(Ω, d) для граней полиэдров ВД, которые соответ-
Короткие (в области 2.3-2.6 Å) контакты Se-Se указа-
ствуют взаимодействиям между атомами селена
ны сплошной линией, а более длинные (в интервале
(рис. 3). Для полиэдров ВД Se2- (рис. 3, а) мак-
2.6-3.0 Å) - пунктиром: (а) гантели Se22-; (б) тример;
симальное Ω(Se-Se) < 15%, расстояния d(Se-Se)
(в) тетрамер; (г, д) цепочки (Se-); (е) квадратная сетка
44 (Se-)2∞.
лежат в диапазоне 2.89-5.96 Å, а среднее межатом-
ное расстояние [3.9(5) Å] превышает удвоенный
соединяющих в структуре кристалла атомы Se, по-
ван-дер-ваальсов радиус (≈ 3.8 Å) селена. В струк-
лиэдры ВД которых имеют общую грань. Межмо-
турах селенидов чаще всего реализуются внутри-
лекулярные контакты Se2-/Se2-, для которых РГ =
молекулярные контакты Se2-/Se2-, для которых
0, реализуются всего в двух структурах.
ранг граней (РГ) полиэдров ВД изменяется от 2 до
6. Отметим, что согласно СМСК значения РГ ука-
У полиэдров ВД 61 иона Se- имеется 587 гра-
зывают минимальное число химических связей,
ней Se/Se (рис. 3, б), ранг которых изменяется от
Рис. 3. Зависимость телесных углов Ω (в % от 4π ср) граней полиэдров ВД атомов Se от межатомных расстояний d(Se-Se),
соответствующих этим граням. (а) 6215 граней Se-Se в 624 полиэдрах ВД ионов Se2-, (б) 587 граней Se-Se в 61 полиэдре
ВД ионов Se-.
РАДИОХИМИЯ том 62 № 4 2020
300
СЕРЕЖКИН и др.
0 до 6. Как и в случае ионов Se2-, наиболее мно-
ki(Se-Se) = 4.3 - 1.4di(Se-Se).
(3)
гочисленными являются грани c РГ > 1, которые
Отметим, что зависимость (3) выполняется и
характеризуют внутримолекулярные невалентные
для селенсодержащих соединений лантанидов,
взаимодействия между ионами Se-. Для 473 таких
поскольку в их структурах среднее Rsd(Se-) также
граней Ω(Se-Se) < 15%, d(Se-Se) лежат в диапа-
равно 1.9 Å [36].
зоне 2.90-5.96 Å (в среднем - 3.9(5) Å). Для 40
Рассмотрим некоторые примеры, свидетель-
граней РГ = 0, и они отвечают межмолекулярным
ствующие о пригодности уравнения (3) для оцен-
контактам. Для них Ω(Se-Se) < 10 %, а d(Se-Se)
ки кратности связей Se-Se. Так, в обсуждаемых
изменяется от 3.62 до 4.62 Å. Ранг 74 остальных
соединениях актинидов для 20 кристаллографи-
самых крупных граней полиэдров ВД равен 1 и,
чески независимых дианионов (Se2)2- среднее
согласно СМСК, все они соответствуют химиче-
d(Se-Se) = 2.38(4) Å, а k = 0.97(5) ≈ 1 (табл. 3). Поч-
ским связям Se--Se-. Для «связевых» граней по-
ти линейные тримеры Se···Se*···Se в структурах
лиэдров ВД Ω(Se-Se) изменяется от 12 до 23%,
Cs2Th2(P2Se9)(Se2)2 [33] и Rb2U2(P2Se9)(Se2)2 [32]
d(Se-Se) лежат в диапазоне 2.33-2.92 Å (рис. 3, б).
являются фрагментом аниона (P2Se9)6-, в котором
Отметим также, что для 300 граней с d(Se--Se-) <
мостиковый атом Se* (cуммарное k ≈ 1.2) связан с
3.8 Å, из которых 74 соответствуют химическим
двумя атомами Se (для них k ≈ 0.6), входящими в
связям Se--Se-, а остальные - специфическим или
состав тетраэдрических анионов PSe43-. Почти та-
ван-дер-ваальсовым взаимодействиям, с достовер-
кую же, как и в тримерах, величину k (1.27) имеют
ностью аппроксимации R2 = 0.88 выполняется ли-
мостиковые атомы Se* и в единственном практи-
нейная зависимость
чески линейном тетрамере Se···Se*-Se*···Sе в
Ω(Se--Se-) = 45.5(8) - 10.9(2)d(Se--Se-).
(1)
структуре Th2Se5 {652029}, в которой для связи
Примечательно, что коэффициенты уравне-
Se*-Se* k =1.04, а для связей Se···Se* k = 0.23.
ния (1) в пределах погрешностей совпадают с ана-
Отметим, что в этом тетрамере Se = Se2-, а Se* =
логичной зависимостью
Se-. Поэтому фрагмент Se*-Se* тетрамера можно
Ω(Se--Se-) = 45.4(4) - 11.1(1)d(Se--Se-),
(2)
рассматривать как дианион (Se*2)2-, каждый атом
которая с R2 = 0.95 была установлена при учете
которого взаимодействует с соседним ионом Se2-,
порождая дополнительный контакт Se2-···Se* с
567 граней с d(Se--Se-) < 3.8 Å в селенсодержащих
k = 0.23.
соединениях лантанидов [36].
Наиболее сложная ситуация с кратностью свя-
Кратность связей Se-Se в селенидах An. С по-
зиций СМСК зависимости (1) и (2) свидетельству-
зей Se-Se наблюдается в соединениях, содержа-
ют о возможности количественной оценки крат-
щих цепи из ионов Se- (табл. 3). Самым много-
ности (ki) связей Se--Se- на основании расстояния
численным примером таких соединений являются
между атомами селена. Как известно, в рамках ме-
изоструктурные RAnIV2Se6, в кристаллах кото-
тода пересекающихся сфер [20] максимально воз-
рых между слоями An2Se6- (An = Th, U или Np)
можная длина связи Se--Se- равна сумме rs(Se) +
располагаются ионы R+ (R = K, Rb, Cs или Tl). В
Rsd(Se-), где rs(Se) - слейтеровский радиус атома
электронейтральном слое AnSe3 на каждый атом
Se, а Rsd(Se-) - радиус сферического домена ато-
An приходится по одному атому Se2- и два атома
ма Sе-. Поскольку rs(Se) = 1.15 Å [7], а среднее
Se-, поэтому состав слоя можно описать как
Rsd(Se-) = 1.9 Å, то связи с ki = 0 соответствует
An4+(Se2-)(Se-)2. Появление одновалентных ме-
d(Se-Se) = 3.05 Å. Как и ранее [36], в качестве свя-
таллов R сопровождается изменением электронно-
зи с ki = 1 примем среднее d(Se-Se) = 2.34(1) Å
го распределения в RAn2IVSe6, которое упрощен-
для 40 разных связей в пяти кристаллографиче-
но можно описать двумя вариантами: R+(An4+)2·
ски разных молекулах Se8 в структурах α- {2718}
(Se2-)2(Se1.25-)4 или (R+)2(An4+)4(Se2-)6(Se22-)3 [9,
[37], β- {24670} [38], γ- {36333} [39] и δ- {418318}
53]. Первый вариант опирается на результаты
[40] полиморфов. Постулируя, что кратность свя-
рентгеноструктурного анализа и учитывает нали-
зи Se-Se линейно уменьшается при увеличении ее
чие в структурах RAnIV2Se6 асимметричных ли-
длины, получим, что в указанном приближении в
нейных цепей, образованных атомами Se- (табл. 3).
селенидах актинидов
Второй вариант учитывает данные электрон-
РАДИОХИМИЯ том 62 № 4 2020
КООРДИНАЦИОННЫЕ ПОЛИЭДРЫ AnSen
301
но-дифракционных измерений, которые указыва-
-1.25 и -1.25) в трех независимых линейных це-
ют на существование в RAnIV2Se6 модулирован-
почках структуры U
IVLaIII(Se2-)3(Se1.33-)6 (табл. 3)
ных сверхструктур, вызванных волнами зарядовой
отличаются от ожидавшегося для них значения
плотности. Имеющиеся данные дают основание
-1.33 [8] из-за особенностей размещения атомов U
считать, что чередующиеся расстояния d(Se-Se) в
и La вдоль оси цепочек -Se-Se-Se-.
области ≈ 2.7-2.9 Å в цепях -Se-Se-Se- являют-
Приемлемые результаты дает расчет χ(Se) и в
ся следствием эффекта усреднения при обычном
кристаллах Th2Se5 {89667}, содержащих цепочки
рентгеноструктурном исследовании монокри-
···Se1···Se2-Se2···Se1···Se1···Se2-Se2··· из кри-
сталлов [53]. Результаты суперпространственного
сталлографически разных атомов селена. Так, со-
кристаллоструктурного анализа соразмерных су-
гласно данным работы [31], для атомов Se1 = Se2-,
перячеек показывают [9, 53], что реально в этих
Se2 = Se- и Se3 = Se2- средние k равны 0.40, 1.06
«цепочках» чередуются гантели Se22- и анионы
и 0.0 (табл. 3), поэтому соответственно χ(Se) =
Se2-, которые возникли при восстановительном
-1.6, -0.94 и -2.0. По существу, единственным
расщеплении по схеме Se22- + 2ē → 2Se2- одной
веществом, для которого с позиций СМСК не
четверти таких гантелей за счет электронов атомов R.
удается охарактеризовать валентное состояние
атомов Se в цепочках -Se-Sе-Se-, является уже
В связи с этим отметим, что, согласно работе
упоминавшийся Np2Se5. Распределение зарядов
[36], рассчитанное по уравнению (3) значение k
в этом селениде, основанное на модели структу-
позволяет установить усредненный формальный
ры, установленной авторами [13], теоретически
заряд (χ) соответствующих атомов селена в струк-
отвечает формуле (Np4+)2(Se2-)(Se1.5-)4. Однако,
туре селенидов по уравнению
имеющиеся экспериментальные данные с учетом
χ(Se) = k - 2.
(4)
уравнений (3) и (4) приводят к неприемлемому
Например, для KTh2Se6 [53], которому в
результату (Np4+)2(Se2-)(Se1.03-)4 ≈ (Np4+)2(Se2-
рамках первого варианта отвечает формула
(Se-)4 (табл. 3). На наш взгляд, этот факт являет-
KTh2Se2(Se1.25-)4, у атомов селена в цепочках -Se-
ся дополнительным свидетельством в поддержку
Se-Se- среднее k = 0.71 (табл. 3). Поэтому, соглас-
точки зрения авторов работы [31], которые отме-
но (4), для них χ(Se) = -1.29, что, на наш взгляд,
тили и детально обсудили псевдотетрагональную
хорошо согласуется с ожидавшимся χ(Se) = -1.25
симметрию структур An2X5, где An = Th, U, Np, а
для всех изоструктурных RAn2Se6. Отметим, что
Х = S, Se. Поэтому противоречивость имеющих-
наилучшее согласие между ожидавшимся и рас-
ся данных для Np2Se5, по-видимому, вызвана тем,
считанным по (4) зарядами на Se наблюдается для
что уточнение этой структуры авторы работы [13]
трех селенидов Th [χ(Se) = -1.29, -1.29 и -1.27 со-
провели в рамках тетрагональной пространствен-
ответственно при R = K, Rb и Cs, табл. 3]. Для че-
ной группы P42/nmc, а не ромбической Pcnb. Так,
тырех производных U [χ(Se) = -1.18, -1.17, -1.18 и
интерпретация данных, полученных при уточне-
-1.17] и двух производных Np [χ(Se) = -1.13 и -1.13,
нии псевдотетрагонального Th2Se5 в простран-
табл. 3] согласие ухудшается. Этот факт вызван
ственной группе Pcnb, с позиций СМСК (табл. 3)
тем, что период повторяемости вдоль оси цепочек
затруднений не вызывает.
-Se-Se-Se- во всех случаях совпадает с трансля-
Максимальное КЧ 4, которое атомы Se- про-
цией b, которая практически не зависит от R+ (K,
являют по отношению к другим атомам селена,
Rb, Cs или Tl, табл. 3) и определяется только при-
реализуется в квадратных сетках 44 (рис. 2, е). В
родой актинида. Так, для изоструктурных RAn2Se6
кристаллах AnSe2, содержащих такие сетки, при
при An = Th, U и Np соответственно в среднем
An = Pu, Am и Сm суммарное k для атомов Se1 =
b = 5.630(7), 5.555(4) и 5.522(4) Å. Поскольку из-за
Se- равно соответственно 0.69, 0.98 и 0.98 (табл. 3),
актинидного сжатия b закономерно уменьшается,
а χ(Se) = -1.31, -1.02 и -1.02.
то из-за симбатного сокращения d(Se-Se) в соответ-
ФОНДОВАЯ ПОДДЕРЖКА
ствии с (3) и (4) увеличивается величина k и умень-
шается модуль χ(Se). Можно допустить, что по ана-
Исследование выполнено при финансовой под-
логичной причине рассчитанные значения χ(Se)
держке РФФИ в рамках научного проекта № 19-
для атомов Se3, Se4 и Se5 (соответственно -1.04,
03-00048 а.
РАДИОХИМИЯ том 62 № 4 2020
302
СЕРЕЖКИН и др.
КОНФЛИКТ ИНТЕРЕСОВ
16.
Serezhkin V.N., Savchenkov A.V., Pushkin D.V.,
Serezhkina L.B. // Applied Solid State Chem. 2018.
Авторы заявляют об отсутствии конфликта
Vol. 2(3). P. 2. doi 10.18572/2619-0141-2018-2-3-2-16
интересов.
17.
Сережкин В.Н., Сережкина Л.Б. // Радиохимия.
2018. T. 60, № 1. C. 3. doi 10.1134/S1066362218010010
СПИСОК ЛИТЕРАТУРЫ
18.
Сережкин В.Н., Пушкин Д.В., Сережкина Л.Б. //
1.
Gaunt A.J., Reilly S.D., Enriquez A.E., Scott B.L.,
Радиохимия. 2018. T. 60, № 3. C. 193. doi 10.1134/
Ibers J.A., Sekar P., Ingram K.I.M., Kaltsoyannis N.,
S1066362218030013
Neu M.P. // Inorg. Chem. 2008. Vol. 47, N 1. P. 29. doi
19.
Сережкин В.Н., Сережкина Л.Б. // Радио-
10.1021/ic701618a
химия. 2018. T. 60, № 4. C. 289. doi 10.1134/
2.
Jones M.B., Gaunt A.J., Gordon J.C., Kaltsoyannis N.,
S106636221804001X
Neu M.P., Scott B.L. // Chem. Sci. 2013. Vol. 4, N 3.
20.
Cережкин В.Н., Михайлов Ю.Н., Буслаев Ю.А. //
P. 1189. doi 10.1039/C2SC21806B
ЖНХ. 1997. Т. 42, № 12. С. 2036.
3.
Behrle A.C., Kerridge A., Walensky J.R. // Inorg.
21.
Serezhkin V.N. // Structural Chemistry of Inorganic
Chem. 2015. Vol. 54, N 24. P. 11625. doi 10.1021/acs.
Actinide Compounds/Eds Krivovichev S.V., Burns P.C.,
inorgchem.5b01342
Tananaev I.G. Amsterdam: Elsevier, 2007. P. 31.
4.
Macor J.A., Brown J.L., Cross J.N., Daly S.R.,
22.
Serezhkin V.N., Medvedkov Ya.A., Serezhkina L.B.,
Gaunt A.J., Girolami G.S., Janicke M.T., Kozimor S.A.,
Pushkin D.V. // Russ. J. Phys. Chem. A. 2015. Vol. 89,
Neu M.P., Olson A.C., Reilly S.D., Scott B.L. // Dalton
N 6. P. 1018. doi 10.1134/S0036024415060254
Trans. 2015. Vol. 44, N 43. P. 18923. doi 10.1039/
23.
Mesbah A., Prakash J., Beard J.C., Pozzi E.A.,
C5DT02976G
Tarasenko M.S., Lebègue S., Mal-liakas C.D., Van
5.
Cross J.N., Macor J.A., Bertke J.A., Ferrier M.G.,
Duyne R.P., Ibers J.A. // Inorg. Chem. 2015. Vol. 54, N 6.
Girolami G.S., Kozimor S.A., Maassen J.R., Scott B.L.,
P. 2851. doi 10.1021/ic5029806
Shuh D.K., Stein B.W., Stieber S.C.E. // Angew. Chem.
24.
Oh G.N., Choi E.S., Ibers J.A. // Inorg. Chem. 2012.
Int. Ed. 2016. Vol. 55, N 41. P. 12755. doi 10.1002/
Vol. 51. P. 4224. doi /10.1021/ic2027048
anie.201606367
25.
Marcon J.P., Pascard.R. // J. Inorg. Nucl. Chem. 1966.
6.
Уэллс А. Структурная неорганическая химия. М.:
Vol. 28. P. 2551. doi 10.1016/0022-1902(66)80379-2
Мир, 1987. T. 1. 408 c.
26.
Wells D.M., Skanthakumar S., Soderholm L. // Acta
7.
Современная кристаллография. Т. 2: Вайнштейн Б.К.,
Crystallogr., Sect. E. 2009. Vol. 65, N 3. P. i14. doi
Фридкин В.М., Инденбом В.Л. Структура кристал-
10.1107/S160053680900395X
лов. М.: Наука, 1979. 359 c.
27.
Prakash J., Tarasenko M.S., Mesbah A., Lebègue S.,
8.
Bugaris D.E., Copping R., Tyliszczak T., Shuh D.K.,
Malliakas C.D., Ibers J.A. // Inorg. Chem. 2014. Vol. 53,
Ibers J.A. // Inorg. Chem. 2010. Vol. 49, N 5. P. 2568.
N. 21. P. 11626. doi 10.1021/ic501795w
doi 10.1021/ic902503n
28.
Chan B.C., Hulvey Z., Abney K.D., Dorhout P.K. //
9.
Bugaris D.E., Wells D.M., Jiyong Yao, Skanthakumar S.,
Inorg. Chem. 2004. Vol. 43, N. 8. P. 2453. doi 10.1021/
Haire R.G., Soderholm L., Ibers J.A. // Inorg. Chem.
ic0353209
2010. Vol. 49, N 18. P. 8381. doi 10.1021/ic1008895
10.
Ward M.D., Mesbah A., Minasian S.G., Shuh D.K.,
29.
Olsen J.S., Gerward L., Benedict U., Luo H., Vogt O. //
Tyliszczak T., Lee M., Choi E.S., Lebègue S., Ibers J.A. //
High Temp.—High Press. 1988. Vol. 20, N 5. P. 553.
Inorg. Chem. 2014. Vol. 53, N 13. P. 6920. doi 10.1021/
30.
Ellert G.V., Kuz’micheva G.M., Eliseev A.A.,
ic500721d
Slovyanskikh V.K., Morozov S.P. // Russ. J. Inorg. Chem.
11.
Mesbah A., Prakash J., Beard J.C., Lebègue S.,
1974. Vol. 19. P. 1548.
Malliakas C.D., Ibers J.A. // Inorg. Chem. 2015. Vol. 54,
31.
Kohlmann H., Beck H.P. // Z. Kristallogr. 1999. Vol. 214,
N 18. P. 9138. doi 10.1021/acs.inorgchem.5b01566
N 6. P. 341. doi 10.1524/zkri.1999.214.6.341
12.
Mesbah A., Prakash J., Ibers J.A. // Dalton Trans. 2016.
32.
Chondroudis K., Kanatzidis M.G. // J. Am. Chem. Soc.
Vol. 45, N 41. P. 16067. doi 10.1039/C6DT02540D
1997. Vol. 119, N 10. P. 2574. doi 10.1021/ja963673j
13.
Jin Geng Bang, Hu Yung-Jin, Bellott B., Skanthakumar S.,
33.
Briggs Piccoli P.M., Abney K.D., Schoonover J.D.,
Haire R.G., Soderholm L., Ibers J.A. // Inorg. Chem.
Dorhout P.K. // Inorg. Chem. 2001. Vol. 40, N 19.
2013. Vol. 52, N 15. P. 9111. doi 10.1021/ic401384t
P. 4871. doi 10.1021/ic001103l
14.
Inorganic Crystal Structure Database. Gmelin-Institut
für Anorganische Chemie & FIC Karlsruhe, 2018.
34.
Rogers E., Dorenbos P., van der Kolk E. // New J.
15.
Cambridge Structural Database System. Cambridge
Phys. 2011. Vol. 13. P. 093038. doi 10.1088/1367-
Crystallographic Data Centre, 2018.
2630/13/9/093038
РАДИОХИМИЯ том 62 № 4 2020
КООРДИНАЦИОННЫЕ ПОЛИЭДРЫ AnSen
303
35.
Serezhkin V.N., Albakajaji M., Serezhkina L.B. // Russ. J.
46.
Ward M.D., Lee M., Choi E.S., Ibers J.A. // J. Solid
Phys. Chem. A. 2019. Vol. 93, N 2. P. 288. doi 10.1134/
State Chem. 2015. Vol. 226, N 1. P. 307. doi 10.1016/j.
S0036024419020250
jssc.2015.03.011
36.
Serezhkin V.N., Albakajaji M., Serezhkina L.B. // Russ.
47.
Choi K.-S., Kanatzidis M.G. // Chem. Mater. 1999.
J. Inorg. Chem. 2019. Vol. 64, N 8. P. 984. doi 10.1134/
Vol. 11, N 9. P. 2613. doi 10.1021/cm990320l
S0036023619080126
48.
Sutorik A.C., Kanatzidis M.G. // J. Am. Chem. Soc.
37.
Cherin P., Unger P. // Acta Crystallogr., Sect. B. 1972.
1991. Vol. 113, N 12. P. 7754. doi 10.1021/ja00020a043
Vol. 28, N 1. P. 313. doi 10.1107/S0567740872002249
49.
Slovyanskikh V.K., Kuznetsov N.T., Gracheva N.V. //
38.
Marsh R.E., Pauling L., McCullough J.D. // Acta
Russ. J. Inorg. Chem. 1989. Vol. 34, N 6. P. 900.
Crystallogr. 1953. Vol. 6, N 1. P. 71. doi 10.1107/
50.
Grønvold F., Haraldsen H., Thurmann-Moe T., Tufte T. //
S0365110X53000168
J. Inorg. Nucl. Chem. 1968. Vol. 30, N 8. P. 2117. doi
39.
Foss O., Janickis V. // Dalton Trans. 1980. N 4. P. 624.
https://doi.org/10.1016/0022-1902(68)80206-4
doi 10.1039/DT9800000624
40.
Cernosek Z., Růzicka A., Holubová J., Cernosková E. //
51.
Ben Salem A., Meerschaut A., Rouxel J. // C. R. Heb-
Main Group Met. Chem. 2007. Vol. 30, N 5. P. 231. doi
domad. Seances Acad. Sci., Ser. 2. 1984. Vol. 299,
10.1515/MGMC.2007.30.5.231
N 10. P. 617.
41.
Prakash J., Mesbah A., Beard J.C., Lebègue S.,
52.
Bellott B.J., Haire R.G., Ibers J. // Z. Anorg. Allg.
Malliakas C.D., Ibers J.A. // J. Solid State Chem. 2015.
Chem. 2012. Vol. 638, N 11. P. 1777. doi 10.1002/
Vol. 231, N 1. P. 163. doi 10.1016/j.jssc.2015.08.012
zaac.201200214
42.
Briggs Piccoli P.M., Abney K.D., Schoonover J.R.,
53.
Choi K-S., Patschke R., Billinge S.J.L., Waner M.J.,
Dorhout P.K. // Inorg. Chem. 2000. Vol. 39, N 14.
Dantus M., Kanatzidis M.G. // J. Am. Chem. Soc. 1998.
P. 2970. doi 10.1021/ic990767w
Vol. 120. P. 10706. doi 10.1021/ja981675t
43.
Choi K.S., Iordanidis L., Chondroudis K., Kanatzi-
54.
Mizoguchi H., Gray D., Huang F.-Q., Ibers J.A. //
dis M.G. // Inorg. Chem. 1997. Vol. 36. N 18. P. 3804.
Inorg. Chem. 2006. Vol. 45, N 8. P. 3307. doi 10.1021/
doi 10.1021/ic970224r
ic052140l
44.
Noel H. // J. Inorg. Nucl. Chem. 1980. Vol. 42, N 12.
55.
Damien D., Jove J. // Inorg. Nucl. Chem. Lett. 1971.
P. 1715. doi 10.1016/0022-1902(80)80146-1
Vol. 7, N 7. P. 685. doi 10.1016/0020-1650(71)80055-7
45.
Prakash J., Mesbah A., Lebegue S., Kanatzidis M.G. //
J. Solid State Chem. 2015. Vol. 230, N 1. P. 70. doi
56.
Pearson W.B. // Z. Kristallogr. 1985. Vol. 171, N 1-4.
10.1016/j.jssc.2015.06.033
P. 23. doi 10.1524/zkri.1985.171.14.23
РАДИОХИМИЯ том 62 № 4 2020