РАДИОХИМИЯ, 2020, том 62, № 3, с. 258-270
УДК 621.039.7
ПЕРВИЧНЫЕ КОЛЛОИДЫ ПРИ
ГИДРОТЕРМАЛЬНОМ ИЗМЕНЕНИИ
АЛЮМОФОСФАТНОГО СТЕКЛА С ИМИТАТОРАМИ
РАДИОНУКЛИДОВ
© 2020 г. С. В. Юдинцева,b,*, В. И. Мальковскийа,c, Е. В. Александроваа
а Институт геологии рудных месторождений, петрографии, минералогии и геохимии РАН,
119017, Москва, Старомонетный пер., д. 35
b Институт физической химии и электрохимии им. А. Н. Фрумкина РАН,
119071, Москва, Ленинский пр., д. 31, корп. 4
c Российский химико-технологический университет им. Д. И. Менделеева, 125047, Москва, Миусская пл., д. 9
*е-mail: yudintsevsv@gmail.com
Получена 12.04.2019, после доработки 24.05.2019, принята к публикации 31.05.2019
В России высокоактивные отходы ядерной энергетики (ВАО) включают в Na-Al-P стекло (матрицу) для
окончательного размещения в геологическом хранилище на глубине порядка 500 м. Надежность такого
хранилища в значительной степени определяется устойчивостью матрицы ВАО в подземных водах - ее
способностью прочно удерживать радионуклиды в течение всего времени их опасности. С помощью
электронной микроскопии изучены состав и строение коллоидных частиц, образующихся при взаимо-
действии воды со стеклом и продуктами его кристаллизации при 95°С. Для выделения частиц растворы
после опыта пропускали через фильтры с размером пор, уменьшающимся от 450 до 25 нм. Коллоиды
представлены фосфатами Na и Al или Sr, Ln и U, их размер в основном превышает 200 нм. Миграция
коллоидов из хранилища может быть ограничена за счет барьера на основе уплотненного бентонита и
механической задержки частиц вследствие низкой проницаемости пород.
Ключевые слова: радиоактивные отходы, стекломатрица, кристаллизация, коллоиды, миграция
DOI: 10.31857/S0033831120030119
Перенос радионуклидов подземными водами, в
лее крупных неорганических частицах, формируя
том числе актинидов, во многих случаях осущест-
внешние зоны сложных коллоидов.
вляется с участием коллоидных частиц (см., на-
Изучение коллоидной миграции радионукли-
пример, [1-4]). К коллоидным относятся частицы
дов является одной из ключевых проблем при обо-
с размером от 1 до 1000 нм [5, 6]. Они способны
сновании безопасности подземного могильника
переносить на большие расстояния элементы при-
радиоактивных отходов (ВАО). Среди радиокол-
родного и техногенного происхождения, включая
лоидов выделяют первичные коллоиды, истинные
радионуклиды. Коллоидные частицы содержатся в
коллоиды и псевдоколлоиды [2, 3]. Первичные
природных водах в количестве 108-1017 частиц/л
коллоиды связаны с разрушением матрицы радио-
или 0.1-5000 мкг/л [3, 7]. Они образуются при раз-
активных отходов (ОЯТ, стекло, цемент) и других
рушении пород, по которым движутся подземные
инженерных барьеров хранилища - контейнера
воды, и сложены глинистыми минералами, окси-
или бентонитового буфера. При гидролизе кати-
дами и гидроксидами Si, Al, Mn, Fe, Ti, карбона-
тами, силикатами и органическими веществами,
онов актинидов и коагуляции возникают истин-
представленными преимущественно гуминовыми
ные радиоколлоиды, в основном представленные
и фульвокислотами и микроорганизмами [2, 8, 9].
гидроксидами, например Pu(OH)4. К появлению
Нередко органические вещества оседают на бо-
псевдоколлоидов приводит сорбция радионукли-
258
ПЕРВИЧНЫЕ КОЛЛОИДЫ
259
дов на частицах коллоидных размеров, уже суще-
их опасности в миллионы лет. Наиболее обосно-
ствовавших в природных водах. Наряду с образо-
ванный и реализуемый способ решения этой про-
ванием радиоколлоида может также протекать и
блемы - включение ВАО в матрицы и размеще-
обратный процесс его разрушения, в частности в
ние на глубинах от 500 до 1000 м в специальных
связи с изменением состава подземных вод.
подземных сооружениях - хранилищах [21-23].
Изучение образцов пород и подземных вод с
Надежность хранилища помимо массива пород,
участков подземных ядерных испытаний в 1956-
отделяющих хранилище от биосферы, должна
обеспечить система инженерных барьеров: матри-
1992 гг. на полигоне в штате Невада, США [10] и
ца, контейнер, чехол, сорбционный буфер, засып-
в 1961-1990 гг. на Семипалатинском полигоне, Ка-
захстан [11] показало, что нелетучие радионукли-
ка щебнем пород, бетонная облицовка хранилища.
ды (все актиниды, кроме урана) преимуществен-
Для ВАО такими матрицами служат щелочные
но находятся в стеклообразной массе в нижней
стекла на боросиликатной или алюмофосфатной
части полости подземного взрыва. На различном
основе [21-27].
расстоянии от мест ядерных взрывов взяты про-
Остеклованные ВАО термодинамически не-
бы подземной воды объемом по 200 л [10]. Эту
устойчивы и со временем деградируют. Их кри-
воду фильтровали через поры 1000, 50 и 7 нм с
сталлизация может начаться сразу же после слива
последующим анализом на содержание плутония.
расплава из печи в контейнеры [21, 24-28]. Она
Установлено, что более 99% количества Pu, опре-
продолжится во временном хранилище остекло-
деленного в воде до фильтрования, связано с кол-
ванных ВАО из-за их повышенной температуры
лоидными частицами, а данные по соотношению
вследствие радиоактивного распада, а также по-
изотопов Pu показали, что его источником являет-
сле размещения матрицы в могильнике. В безво-
ся участок испытаний ядерного оружия в 1.3 км
дных условиях этот процесс протекает медленно
от места отбора воды. Поэтому модели миграции,
из-за низкой скорости диффузии элементов. Од-
которые учитывают лишь растворенное состояние
нако кристаллизация стекла будет ускоряться при
плутония в воде, недооценивают его более высо-
доступе паров воды в случае разгерметизации
кую подвижность в виде коллоидов. В работе [12]
контейнера. После закрытия хранилища ВАО ус-
при изучении коллоидов подземных вод того же
ловия в нем эволюционируют, что отражено сме-
полигона показано, что редкие земли и Th связа-
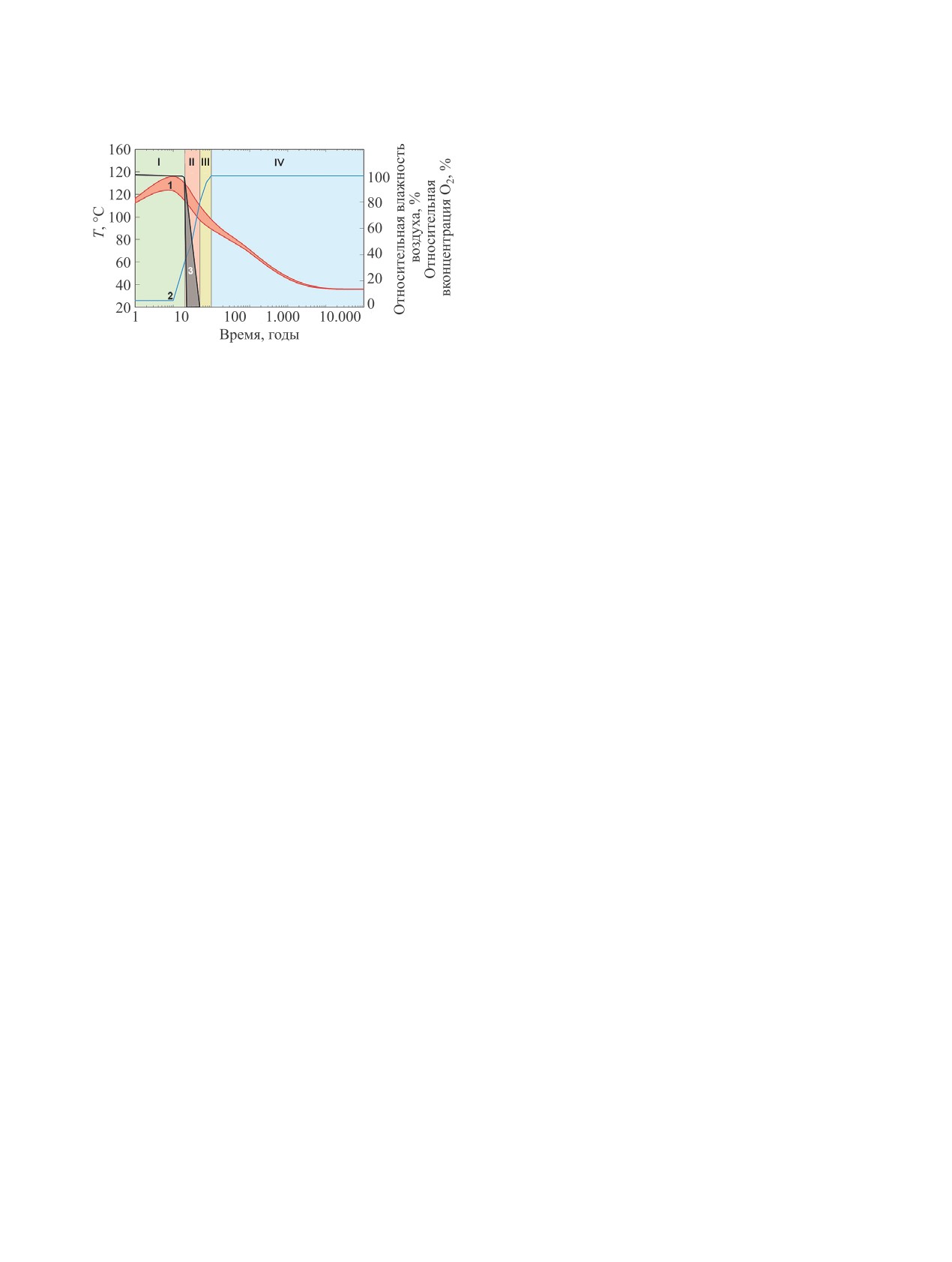
ной следующих обстановок или стадий (рис. 1):
ны с монацитом, цезий и уран находятся в фазе,
I - высокая температура, низкая влажность воз-
богатой Si и Fe. Изотоп 60Со входит в коллоиды на
духа, высокий окислительный потенциал; II - вы-
основе оксидов Fe, Ni, Мо и Cr, а Pu ассоциирует с
сокая температура, низкие влажность и окисли-
оксидами Mn и Fe.
тельный потенциал; III - высокие температура и
Роль коллоидов в переносе 90Sr, 137Cs, 239/240Pu
влажность воздуха, низкий окислительный по-
подземными и поверхностными водами показана
тенциал; IV - низкий окислительный потенциал,
для Семипалатинского полигона ядерных испыта-
снижение температуры до значений у вмещающей
ний, причем основная часть Pu переносится с ча-
среды, проникновение воды из окружающих по-
стицами размером от 7 до 450 нм [13]. В большом
род. Эти стадии условно названы: I - «сухая окис-
числе работ [11-17] показана возможность колло-
лительная», II - «сухая восстановительная», III -
идной миграции радионуклидов актинидов и про-
«гумидная восстановительная», IV - «водонасы-
дуктов деления в районах размещения радиохими-
щенная восстановительная» стадии. Длительный
ческих производств, например, для ПО «Маяк»,
период сочетания повышенных температур и не-
Южный Урал.
насыщенного пара ускорит деградацию стеклома-
трицы в случае разрушения контейнера, например
Много работ посвящено изучению образова-
вследствие тектонических процессов и смещений
нию коллоидов радионуклидов в связи с захороне-
пород в хранилище.
нием остеклованных ВАО переработки ОЯТ (см,
например, [18-21]). Высокорадиоактивные отходы
В связи с распадом радионуклидов температура
атомной энергетики и оборонной деятельности не-
может достигать 80-140°С [29-31], после чего бу-
обходимо изолировать от биосферы на весь срок
дет снижаться по мере уменьшения их количества,
РАДИОХИМИЯ том 62 № 3 2020
260
ЮДИНЦЕВ и др.
нии будет принято после изучения этого участка, в
том числе экспериментов в подземной исследова-
тельской лаборатории [31, 37].
Цель данной работы состояла в изучении пер-
вичных коллоидов, образующихся в воде при кон-
такте с Na-Al-P стеклами или продуктами раскри-
сталлизации остеклованных отходов, для оценки
их возможной роли в переносе радионуклидов
подземными водами. Для этого проведены экс-
перименты с двумя стеклами - простого (Ст-1) и
Рис. 1. Изменение условий на поверхности канистры
сложного (Ст-2) составов, а также с раскристал-
с остеклованными ВАО в подземном хранилище в гли-
лизованным стеклом Ст-2 в результате обработки
нах, Швейцария [29]: 1 - температура, 2 - относитель-
нагретым паром воды.
ная влажность воздуха, 3 - концентрация О2. I-IV -
стадии эволюции хранилища, пояснения для цифр
Составы образцов и методика эксперимен-
даны в тексте.
тов. Имитаторами радионуклидов в образцах
(табл. 1) служили U (образец Ст-1) или более
а также рассеяния (отвода) тепла во вмещающие
сложный набор элементов: U, Cs, Sr, Ni, Ce и Nd
породы. Высокие температура и влажность возду-
(образец Ст-2). Стекла получали плавлением сме-
ха будут сохраняться в хранилище многие десятки
си оксидов и метафосфата натрия в алундовых
и даже первые сотни лет (рис. 1). И хотя эти значе-
тиглях (4 ч, 1200°С). Они однородны по строению
ния относятся к захоронению остеклованных ВАО
и имеют постоянный состав в разных участках,
в Швейцарии, близкие оценки изменения темпе-
что подтвержается данными сканирующей элек-
ратуры со временем получены для хранилища в
тронной микроскопии. Для ускорения кристал-
нашей стране [30]. Воздействие нагретых паров
лизации образцы стекла Ст-2 кубической формы
воды интенсифицирует кристаллизацию стекло-
с размером ребра 1 см выдерживали в автоклаве
матрицы отходов [18, 23, 31-33]. Это повлияет на
1 сут при 300°С в среде паров воды с влажностью
ее устойчивость в водах, в том числе обусловит по-
66 отн%. За это время они полностью преобразу-
явление коллоидов радионуклидов с высокой под-
ются в агрегат кристаллических, преимуществен-
вижностью в геологической среде. Данный вопрос
но безводных [23, 32, 33], фаз фосфатов (рис. 2).
требует специального рассмотрения.
Основная часть U, РЗЭ (имитаторов актинидов) и
В России для иммобилизации жидких ВАО ис-
Sr входит в фосфат со структурой монацита. Еще
пользуются стекла, содержащие 24-27 мас% окси-
две водосодержащие фазы обнаружены только на
дов щелочей (Na2O), 20-24% Al2O3 и Fe2O3, 50-52%
поверхности раскристаллизованного стекла: Cs-U
P2O5 [23, 25, 28]. Содержание радионуклидов про-
фосфат и гелеобразное вещество, состоящее из Na,
дуктов деления и актинидов в них составляет около
P, примеси Cs и Al. Его образование связано, ве-
3 мас% [34, 35]. С 1987 г. на ПО «Маяк» произведе-
роятно, с конденсацией (осаждением) элементов
но более 6400 т алюмофосфатной стекломатрицы
из раствора. Можно полагать, что при кристалли-
с общей активностью около 640 млн Ки. С конца
зации алюмофосфатного стекла того же состава в
2017 г. здесь эксплуатируется стекловаренная печь
безводных условиях будет возникать сходная по
ЭП-500/5, на которой предполагается получить
набору фаз ассоциация фосфатов. Это предполо-
еще 3800 т остеклованных отходов с активностью
жение базируется на том, что: а) валовой состав
порядка 570 млн Ки [36]. В результате ожидаемое
образца при этом остается неизменным и б) при
количество остеклованных ВАО превысит 10 000 т,
объемной кристаллизации образуются безводные
для их размещения предполагается использовать
фазы фосфатов - а небольшие количества двух
подземное хранилище шахтного типа [31]. Одно
водосодержащих фаз наблюдаются только на по-
из вероятных мест для сооружения такого объек-
верхности образца.
та - это Нижнеканский гранитогнейсовый массив
вблизи Горно-химического комбината в Краснояр-
Для исследования процесса коллоидообразова-
ском крае. Окончательное решение о его сооруже-
ния стекло или его закристаллизованный образец
РАДИОХИМИЯ том 62 № 3 2020
ПЕРВИЧНЫЕ КОЛЛОИДЫ
261
Таблица 1. Составы стекол (в мас%), использованные в экспериментаха
Оксид
Na2O
Al2O3
Fe2O3
P2O5
NiO
SrO
Cs2O
Ce2O3
Nd2O3
UO2
Ст-1
27.2
21.4
-
47.5
-
-
-
-
-
3.9
Ст-2
17.3
14.0
5.5
51.1
1.1
2.1
2.5
2.1
2.0
2.3
а Прочерк - элемент в образце отсутствует. Точность определений 3-5 отн%.
помещали в автоклав вместе с 26 мл дистилли-
периментах при Т = 90°С и Р = 100 бар [44]. По
рованной воды и выдерживали 40 сут при 95°С.
сравнению с исходным стеклом в составе гелево-
Объем жидкой фазы определялся размерами ав-
го слоя ниже содержания Ca и Na при часто более
токлава, образец с имитаторами радионуклидов
высокой концентрации Al и Si, содержание воды
полностью погружался в воду. После завершения
в нем меняется в интервале от 9 до 17 мас% [45].
опыта образец исследовали в сканирующем элек-
Установлено [46], что актиниды (Np, Pu Am) при
тронном микроскопе JSM-5610LV с энергодиспер-
изменении стекла преимущественно остаются в
сионным спектрометром INCA-450. Раствор, обра-
поверхностном гелевом слое.
зующийся после взаимодействия воды со стеклом,
Наличие воды в поверхностном измененном
последовательно фильтровали через мембраны с
слое алюмофосфатного стекла определяет низ-
уменьшающимся размером пор: 450, 200, 100 и
кую сумму элементов в его анализах, в нем также
25 нм. Состав раствора до и после фильтрования
уменьшается содержание Na (табл. 3). Установ-
определялся методом ICP-MS (XII ICP-MS Thermo
лено существенное изменение состава раствора
Scientific), а твердые частицы, задержанные на
после фильтрования, особенно через поры ди-
фильтрах, изучали в высокоразрешающем просве-
аметром 200 нм: содержание U в нем снижается
чивающем электронном микроскопе JEM-2100 со
спектрометром IETEM INCA-350.
Взаимодействие воды и стекла Ст-1 просто-
го состава. При взаимодействии воды и образца
Ст-1, содержащего в качестве имитатора уран,
происходит гетерогенизация стекла - появление
пятен размером от 10 до 100 мкм (рис. 3). В преде-
лах пятен наблюдаются зерна фазы с квадратными
сечениями, вероятно, оксида урана. Трещины на
поверхности образовуются вследствие дегидрата-
ции стекла при его хранении на воздухе. Это так
называемый «гелевый слой» - продукт изменений
×
ɦɤɦ
стекломатрицы ВАО на поверхности контакта с
ɚ
водой. Измененный (гелевый) слой образуется
в силу нескольких процессов: диффузии воды в
стекло, при обмене протона на катионы щелоч-
ных и щелочноземельных металлов, растворении
стекла и осаждения элементов после насыщения
раствора: Si и Al для боросиликатных стекол, Al и
P - для алюмофосфатных композиций [34, 38-47].
ɛ
ɦɤɦ
ɜ
ɦɤɦ
Толщина измененного слоя стекла зависит от его
состава, температуры, длительности взаимодей-
Рис. 2. СЭМ изображение стекла Ст-2 после обработки
ненасыщенным паром воды. Серые кристаллы - Na-Al
ствия, состава и скорости обновления контактного
фосфаты, белые квадратные кристаллы (а) - водный
раствора и т.д. Для B-Si матриц она меняется от
фосфат Cs и U; сферы светлого цвета (б) - фосфат
долей микрона до нескольких сотен микрон [24,
Sr-(Ce,Nd)-U. На снимке (в) - аморфные гелеобразные
40-44], но в большинстве случаев не превыша-
выделения. Составы всех фаз, найденных в раскри-
ет 30-50 мкм даже в длительных (25.75 лет) экс-
сталлизованном образце стекла, приведены в табл. 2.
РАДИОХИМИЯ том 62 № 3 2020
262
ЮДИНЦЕВ и др.
Таблица 2. Составы фаз образца Ст-2, раскристаллизованном при обработке нагретым паромa
Na-Al фосфаты
Sr-Ln-U фосфат
Оксид (мас%)
Cs-U фосфат
Аморфный гель
(монацит)
тип I
тип II
Na2O
22.9
14.2
-
2.2
30.7
Al2O3
19.2
14.4
2.0
1.8
1.4
P2O5
53.1
50.4
32.1
18.8
58.6
Fe2O3
4.8
10.1
-
1.3
-
NiO
-
7.0
-
-
-
SrO
-
2.8
11.5
-
-
Cs2O
-
1.1
-
15.7
9.3
Ce2O3
-
-
20.6
-
-
Nd2O3
-
-
17.9
-
-
UO2
-
-
15.9
-
-
UO3
-
-
-
60.2
-
a Предполагается, что в Cs-U фосфате уран находится как U(VI), а в фазе монацита - как U(IV). Прочерк - ниже предела обнару-
жения (0.3-0.5 мас%). Точность измерений равна 3-5 отн%. Анализы Cs-U фосфата и геля приведены в расчете на безводный
состав и сумму в 100 мас%.
с 0.008 до 0.001 млн-1 (ppm), а Al - от 0.047 до
(с 0.084 до 0.044 млн-1), U - почти в 4 раза (c 0.124
0.001 млн-1. Это говорит о том, что основная их
до 0.028 млн-1). Частицы, задержанные на филь-
часть находится в составе частиц размером 200-
тре, имеют округлую форму (рис. 5) и состоят из
450 нм. По данным дифракции электронов (рис. 4)
Na, P и небольших количеств Cs и Al. Они содер-
среди них имеются как аморфные агрегаты, так и
жат воду, на что указывают низкие суммы в анали-
частицы с кристаллической структурой.
зах и вскипание под электронным пучком. Сред-
Взаимодействие стекломатрицы сложного
ний состав по 5 определениям, приведенный к
состава (Ст-2) с водой. Состав раствора в опыте со
100 мас%, характеризуется значениями:
37%
стеклом Ст-2 существенно меняется после фильтро-
Na2O, 1% Al2O3, 57% P2O5, 5% Cs2O, что близко к
вания через поры диаметром 450 нм. Содержания
составу аморфного вещества (геля) на поверхно-
P и Al снижаются с 5.29 до 2.1 и с 2.98 до 2.57 млн-1
сти раскристаллизованного стекла Ст-2 (рис. 2б;
(табл. 4), что указывает на нахождение элементов в
табл. 2). Из-за неровной поверхности данных вы-
составе коллоидов. Концентрация Ni падает в 2 раза
делений и высокого содержания воды точный их
ɦɤɦ
ɦɤɦ
ɚ
ɛ
Рис. 3. Поверхность стекла Ст-1 после опыта: общий вид (а) и деталь (б). Видны трещины усыхания гелевого слоя и форма
выделения разных фаз (составы точек 1 и 2 даны в табл. 2).
РАДИОХИМИЯ том 62 № 3 2020
ПЕРВИЧНЫЕ КОЛЛОИДЫ
263
ɚ
ɛ
Рис. 4. Изображение частиц раствора в опыте со стеклом Ст-1 (на врезках - микродифракция) в высокоразрешающем
просвечивающем электронном микроскопе. Метки 500 (а) и 200 (б) нм.
анализ невозможен, и приведенные цифры нужно
вания в опытах с закристаллизованным образ-
рассматривать как примерные, полуколичествен-
цом по сравнению с опытами с первоначально
ные, оценки их состава.
не измененным стеклом почти не отличаются
Происхождение этого аморфного водосодер-
по Ni, больше в 2 раза для Al, в 6 раз для Sr, в
жащего гелеобразного материала связано, веро-
15 - для Ce, Nd и U, примерно в 70 раз для Na, в
ятно, с осаждением. Количество таких частиц
190 для P, и сильнее всего (на 3 порядка) оно уве-
сравнительно невелико, так как содержание Na и
личилось для Cs. Увеличение содержания Na, Cs
Cs в растворе после фильтрования меняется слабо
и P в растворе выше 90°С при давлении насыщен-
(табл. 4).
ного пара воды отмечено в работе [48]. Оно объяс-
Взаимодействие раствора с закристалли-
няется образованием в процессе кристаллизации
стекла растворимых фосфатов Na и Cs. По изме-
зованным образцом стекла Ст-2. Наиболее за-
нению состава раствора при фильтровании можно
метные изменения состава также отмечаются по-
сле прохождения раствора через поры размером
заключить, что в опытах со стеклом на долю кол-
450 нм (табл. 4). Содержания U, Ce, Nd снижают-
лоидной формы приходится до 15 отн% Al и Ni,
ся на порядок (млн-1): с 1.85 до 0.22 (U), с 0.18 и
около 50% P, Ce и Nd, почти 90% U. Для опыта с
0.016 (Ce), с 0.136 и 0.012 (Nd), концентрация Sr
закристаллизованным образцом значения близкие,
и Ni падает в 3-4 раза: с 0.864 до 0.252 (Sr) и с
кроме Р, доля коллоидной формы которого падает
0.096 до 0.038 (Ni), а Al - в 2 раза (с 5.6 до 2.9).
до 10%. В обоих случаях Na и Cs находятся в ос-
Содержание элементов в растворах до фильтро-
новном в растворенном состоянии.
Таблица 3. Состав стекла Ст-1 после опыта, суммы в анализах приведены к 100 мас%
Оксид, мас%
Гидратированный гелевый слой
Точка 1
Точка 2б
Na2O
17.6 (27.2)а
5.9
4.9
Al2O3
26.4
(21.4)
54.5
26.2
P2O5
51.5
(47.5)
32.1
37.6
UO2
4.5
(3.9)
5.8
31.3
а Исходное стекло.
б Наличие Na, Al и P в данном участке связано с захватом окружающего вещества электронным зондом. Положение точек анализа
1 и 2 показано на рис. 3б. Точность определений элементов в образцах 3-5 отн%.
РАДИОХИМИЯ том 62 № 3 2020
264
ЮДИНЦЕВ и др.
ɚ
ɛ
Рис. 5. Состав (EDS спектр) и форма частиц (на врезке)
Рис. 6. Частицы в растворе опыта с закристаллизо-
в растворе в опытах со стеклом Ст-2. Пик углерода
ванным образцом Ст-2. Слева: фосфаты Na и Al (на
(С) связан с графитовым напылением образца перед
врезках - микродифракция фаз), справа: фосфат Sr, Ln
анализом в микроскопе.
и U. Метка равна 200 нм.
Наибольшие изменения содержания элементов
Подобные два типа фаз имеются в закристаллизо-
происходят после фильтра с порами 450 нм, т.е. ос-
ванном стекле (рис. 2, табл. 3), которое, очевидно,
новная часть коллоидных частиц обладает разме-
и служит их источником. Некоторое расхождение
рами более 450 нм. Эти частицы имеют правиль-
в составах фаз объяснимо, поскольку для точного
ные или бесформенные очертания (рис. 6). Первые
количественного анализа фаз СЭМ/ЭДС методом
представлены Na-Al фосфатами с кристалличе-
необходима ровная и горизонтальная поверхность
ской структурой, что доказывает электронограм-
образца. В случае коллоидных частиц обеспечить
ма. Вторые сложены фосфатом Sr, Ln и U, они
данное требование невозможно. По данным диф-
имеют размеры в десятки нм, но также образуют
ракции электронов (рис. 6а) и снимков в высоко-
крупные скопления размером в сотни нм. Составы
разрешающем электронном микроскопе (рис. 7),
частиц первого типа, мас%: 7.5 Na2O, 25.7 Al2O3,
они могут иметь как кристаллическое строение,
66.2 P2O5, 0.3 FeO, 0.3 NiO; второго - 3.6 Na2O,
так и аморфную неупорядоченную структуру.
3.4 Al2O3, 45.8 P2O5, 0.7 FeO, 2.5 SrO, 15.4 Ce2O3,
РЕЗУЛЬТАТЫ И ИХ ОБСУЖДЕНИЕ
11.0 Nd2O3, 17.6 UO2. При анализе выделений вто-
рого типа весьма вероятен захват соседних частиц
Появление частиц первичных коллоидов связа-
фосфата Na и Al, с которыми они тесно связаны.
но с изменением стекла на контакте с раствором. По
Таблица 4. Составы (млн-1) раствора и его фильтратов после взаимодействия с образцом Ст-2 при 95°С (c - стекло,
к - закристаллизованный образец): 1 - исходный раствор, 2-5 - после его фильтрования через поры диаметром
450 (2), 200 (3), 100 (4) и 25 (5) нм [32]а
Код
Na
Al
P
Ni
Sr
Cs
Ce
Nd
U
образца
с-1
11.1
3.0
5.29
0.08
0.15
0.38
0.013
0.009
0.124
с-2
10.6
2.6
2.1
0.04
0.14
0.42
0.009
0.005
0.028
с-3
11.7
2.7
2.12
0.03
0.16
0.53
0.01
0.005
0.018
с-4
11.9
2.5
2.42
0.06
0.14
0.47
0.008
0.004
0.01
с-5
11.1
2.3
1.54
0.06
0.14
0.44
0.007
0.004
0.002
к-1
763.3
5.6
954.6
0.09
0.86
339.4
0.18
0.136
1.852
к-2
770.5
2.9
937.8
0.04
0.25
343.2
0.016
0.012
0.224
к-3
748.3
2.4
921.3
0.04
0.18
335.3
0.011
0.007
0.14
к-4
742.6
2.6
924.7
0.07
0.16
333.1
0.009
0.005
0.088
к-5
729.6
2.3
894.9
0.06
0.14
331.3
0.008
0.004
0.064
а Предел обнаружения 0.01 млн-1 для легких элементов по Ni включительно и 0.001 млн-1 для тяжелых, точность определения
этих элементов равна 3-10 и 1 отн% соответственно.
РАДИОХИМИЯ том 62 № 3 2020
ПЕРВИЧНЫЕ КОЛЛОИДЫ
265
ɚ
ɛ
Рис. 7. Кристаллическая (а) и аморфная (б) структура частиц, задержанных на фильтре. Снимки в высокоразрешающем
электронном микроскопе. Масштабная метка равна 5 нм.
мере формирования поверхностного слоя (изме-
Np) в подземной воде, в том числе за счет восста-
ненного стекла) интенсивность разрушения B-Si
новления Np5+ до Np4+ [52].
стекла в водном растворе резко снижается (рис. 8).
Алюмофосфатная стекломатрица также будет
Появление гелевого слоя замедляет скорость изме-
деградировать с течением времени. Это проявит-
нения стекломатрицы уже через несколько недель
ся в ее кристаллизации при нагреве из-за распада
взаимодействия с водным раствором [41, 45, 49].
радионуклидов, процесс ускорится при действии
Тот же пассивирующий эффект предполагается
паров воды после коррозии контейнера с отхо-
для Al-P стекла [34]. Этот процесс возобновляется
дами. Контакт стекломатрицы (или продуктов ее
при поступлении новых порций раствора, измене-
девитрификации) с подземными водами приве-
нии его состава или появления новых фаз (напри-
дет к образованию частиц первичных коллоидов,
мер, цеолитов для B-Si стекломатриц).
способных переносить радионуклиды на большие
В опытах с первоначально не измененным
расстояния. Ранее [53] нами показана возможность
(аморфным) стеклом гелевый слой служит источ-
быстрой фильтрации таких частиц через колонку с
ником коллоидных частиц в контактном растворе
порошком гранитогнейсов Нижнеканского масси-
(первичных радиоколлоидов). При выщелачи-
ва. Из экспериментальных данных по составу рас-
вании закристаллизованного (в результате де-
градации/старения) стекла количество коллои-
дов возрастает. Среди них выявлены различные
кристаллические и аморфные фазы, слагающие
измененный слой стекла на контакте с водами.
Деградация B-Si стекломатрицы под действием
горячего пара приводит к увеличению выщелачи-
вания из нее актинидов (239Pu, 241Am). Содержание
их в растворе возрастает в десятки раз, причем
значительная часть находится в коллоидной форме
[18, 50, 51]. Способность к образованию коллои-
дов актинидов зависит от степени их окисления и
возрастает от шести- и пятивалентных катионов к
трех- и особенно четырехвалентным. На распреде-
ление элементов между растворенным состоянием
и коллоидной формой влияет состав раствора: ор-
ганические кислоты и карбонат-анионы способ-
ствуют образованию растворенных комплексов
Рис. 8. Последовательные стадии изменения B-Si стекло-
радионуклидов. Наличие продуктов коррозии ме-
матрицы отходов при взаимодействии с раствором и
таллического контейнера (оксиды железа) увели-
процессы, определяющие (лимитирующие) скорость
чивает долю коллоидной формы актинидов (Pu,
данного процесса [38, 39].
РАДИОХИМИЯ том 62 № 3 2020
266
ЮДИНЦЕВ и др.
Таблица 5. Потенциальная опасность продуктов деления и актинидов при их поступлении в организм с пищей и
питьевой водой [54-58]а
Токсичность,
Радионуклид
Т1/2, лет
ε, мЗв/Бк
УВ, Бк/кг
ДКБ, Бк/л
ПГП, Бк/год
Т = CD/гг
90Sr
29
2.8×10-5
4.9
4.4×102
3.5×105 (1.3×104)в
2280
93Zr
1.53×106
1.1×10-6
120
2.9×104
2.4×107 (9.1×105)
2.44×10-4
135Cs
2.30×106
2.0×10-6
69
4.0×103
3.7×106 (5.0×105)
9.68×10-4
137Cs
30
1.3×10-5
11
5.6×102
4.4×105 (7.7×104)
499
238Uб
4.47×109
1.2×10-4
3.0
1.8 мг/л
1400 мг/год
2.34×10-6
237Np
2.14×106
2.1×10-4
1.3
55.5
4.1×104 (4.8×103)
0.149
239Pu
24100
4.2×10-4
0.55
81.4
6.7×104 (2.4×103)
16.6
240Pu
6540
2.5×10-4
0.55
81.4
6.7×104 (2.4×103)
60.8
241Pu
14
4.8×10-6
29
4.1×103
3.3×106 (2.1×105)
9.94×103
241Am
432
2.0×10-4
0.69
70.3
5.6×104 (2.7×103)
936
243Am
7 380
2.0×10-4
0.69
81.4
6.3×104 (2.7×103)
54.5
243Cm
29
1.5×10-4
0.91
92.5
7.4×104 (2.0×103)
9.96×103
244Cm
18
1.2×10-4
1.1
130
1.0×105 (3.4×103)
1.32×104
245Cm
8 500
2.1×10-4
0.65
62.9
5.2×104 (2.7×103)
48.8
a ε - дозовый коэффициент, УВ - уровни вмешательства, ДКБ - допустимая концентрация в питьевой воде, ПГП - предел годового
поступления при допустимой годовой дозе 5 мЗв;
б для 238U значения ДКБ и ПГП даны в мг на литр (в год).
б В скобках значения ПГП [55, 56].
г Токсичность («Т») грамма радионуклида по [58], CD - доза, вызывающая онкологическое заболевание: чем выше значение «Т»,
тем опаснее радионуклид.
твора и его фильтратов (табл. 3) можно предполо-
Он имеет размерность Зв/Бк и для большинства
жить, что наибольшую потенциальную опасность,
продуктов деления его величина меняется от 1 до
а значит и интерес, представляют цезий, уран и
10 нЗв/Бк, а у трансурановых актинидов его зна-
РЗЭ (последние - как имитаторы трехвалентных
чение находится в диапазоне 100-250 нЗв/Бк. При
актинидов, Am и Cm). Для Cs она обусловлена
сравнительной оценке опасности радионуклидов,
поступающих в организм человека с водой и пи-
высокими содержаниями в воде на контакте с рас-
щей, используются (табл. 5): уровень вмешатель-
кристаллизованным стеклом и большим периодом
ства, допустимая концентрация радионуклидов в
полураспада 135Cs, а для урана и РЗЭ - с их нахо-
воде и их предельное годовое поступление, рас-
ждением в составе коллоидных частиц с высокой
считываемое из предельной допустимой дозы об-
способностью к миграции в породе.
лучения, для разных категорий населения она со-
О потенциальной угрозе подземного хра-
ставляет 5-20 мЗв/год.
нилища высокорадиоактивных отходов. Для
При анализе радиотоксичности вещества и от-
характеристики опасности радионуклидов ис-
дельных радиоизотопов в нем применяют также
пользуют понятие радиотоксичности. Ее выра-
[57-61]: объем воды, необходимый для разбав-
жают через эквивалентную дозу ионизирующего
ления некоторой массы (или объема) материала
излучения, которая рассчитывается как произве-
(ОЯТ, ВАО) до предельно допустимого значения;
дение величины поглощенной дозы на средний
индекс радиотоксичности - произведение актив-
коэффициент качества излучения, он меняется от
ности на дозовый коэффициент, отнесенное к
1 для β- и γ-излучения до 20 у α-частиц [54]. Эк-
10-4 Зв (предел годовой дозы облучения). Значе-
вивалентная доза измеряется в зивертах, Зв (1 Зв
ния этого показателя иногда даются относительно
равен 1 Дж, поглощенному в 1 кг биологического
радиотоксичности 8 т урановой руды, необходи-
вещества). Для перехода от концентрации (актив-
мой для изготовления 1 т топлива легководных
ности) радионуклида, выраженной в беккерелях
реакторов.
(Бк - распад в секунду), к эквивалентной дозе
Возвращаясь к анализу опасности от подзем-
используется дозовый коэффициент ε [54-57].
ного хранилища ВАО, отметим, что вклад ради-
РАДИОХИМИЯ том 62 № 3 2020
ПЕРВИЧНЫЕ КОЛЛОИДЫ
267
онуклидов в дозу облучения зависит от типа раз-
Цезий характеризуется медленной диффузией
мещенных отходов [62]. Для ОЯТ это: 99Tc, 243Am,
в бентонитовом буфере (коэффициент диффузии
239Pu и 240Pu, а для остеклованных ВАО главную
10-9-10-10 м2/с) в силу большого ионного ради-
роль играют 135Cs, 237Np и дочерние продукты рас-
уса и высокого коэффициента распределения в
пада 243Am: 231Pa, 227Ac (семейство актиния 4N+3),
системе буфер-вода (103-104 мл/г) из-за сорбции
а также 79 Se. Остановимся на возможной роли це-
минералами глин [61, 64]. Это исключит его вы-
зия. Этот элемент выщелачивается из алюмофос-
ход в опасных количествах из хранилища ВАО в
фатного стекла водой даже при комнатной темпе-
биосферу даже после кристаллизации стеклома-
ратуре [35]. За 90 сут в раствор перешло от 0.5 до
трицы и повышения концентрации цезия в воде
1.8% содержащегося в стекле цезия, что в несколь-
из-за появления растворимых фаз. Для всех оце-
ко раз выше значения для стронция. Рост темпе-
нок и при разных сценариях эволюции хранилища
ратуры [25] и кристаллизация стекла [31-33, 48]
по вкладу в облучение населения цезий уступает
ускоряют данный процесс (табл. 4). В силу легкой
другим долгоживущим продуктам деления: 79Se,
выщелачиваемости, особенно после деградации
93Zr, 99Tc, 129I, 126Sn [69, 66]. Вместе с тем, сорбция
матрицы, одним из проблемных радиоизотопов
частицами подземных вод может вызвать образо-
может оказаться 135Cs с очень большим периодом
вание псевдоколлоидов того 135Cs, который в силу
полураспада (2.3 млн лет).
длительного периода полураспада может выйти за
Рассмотрим этот вопрос применительно к ре-
пределы системы инженерных барьеров хранили-
альным содержаниям изотопов Cs в ОЯТ, ВАО и
ща. В частности, установлено [67], что основная
матрице. Отношение основных изотопов 137Cs :
часть 135Cs и 239Pu в водах Теченского каскада во-
135Cs в ОЯТ реакторов ВВЭР типа при типичном
доемов сорбирована на мельчайших частицах ила
выгорании (40-45 ГВт·сут/т) составляет поряд-
и глины, в отличие от 90Sr, находящегося в раство-
ка 3.4×105 по активности и около 3.3 в массовых
ренной форме. Этот вопрос не относится к теме
единицах. При общем содержании 135Cs и 137Cs в
статьи, но заслуживает отдельного рассмотрения в
ОЯТ, равном 1.9 кг, доля долгоживущего радиои-
будущем.
зотопа 135Cs составляет 0.42 кг, или 22% [60]. Еще
Попробуем оценить опасность первичных кол-
приблизительно половина количества цезия в ОЯТ
лоидов актинидов, образующихся при разрушении
представлена стабильным 133Cs, имеется неболь-
стекломатрицы ВАО (продуктов ее кристаллиза-
шое количество короткоживущего 134Cs (Т1/2 = 2.1
ции). С этой целью примем, что содержание кол-
года). С ростом выгорания топлива до 70 ГВт·-
лоидной формы этих радионуклидов в растворе на
сут/т суммарное количество изотопов цезия рас-
контакте с матрицей то же, что и у их РЗЭ-имита-
тет, а доля 135Cs увеличивается до 30% [63]. При
торов, т.е. 0.01 мг/л (10-5 г/л). Другое допущение
хранении ОЯТ количество цезия снижается из-за
состоит в том, что все это количество представ-
распада 134Cs и 137Cs с изменением их вклада в ра-
лено лишь одним изотопом: 237Np, 239Pu, 241Am
диотоксичность [59]. Аналогичных соотношений
или Am-243. Пересчитывая массовые содержания
изотопов Cs можно ожидать для ВАО от переработ-
в единицы активности (Бк/л), получим значения:
ки ОЯТ и соответственно в составе стекломатри-
2.6×102 (237Np), 2.3·104 (239Pu), 1.3×106 (241Am),
цы. Содержание элемента в высокорадиоактивном
7.4×104 (243Am), которые в десятки и сотни раз
рафинате переработки ОЯТ реакторов ВВЭР-440
выше их ДКБ в воде (табл. 5), для 241Am превыше-
составляет 1.9 г/л [35]. При содержании в стекле
ние содержания достигает 20000. Однако реаль-
2.64 мас% ВАО на Cs2O (все изотопы) приходится
ные содержания данных радионуклидов в ВАО, а
0.21 мас%, из которых 135Cs составляет лишь пя-
значит и в стекломатрице, будут в тысячи раз ниже
тую часть. Таким образом, содержание изотопа в
[35, 68], чем в наших экспериментах. Поэтому со-
подземной воде на контакте с матрицей будет, ве-
держание актинидов в коллоидной форме также
роятно, более чем в 50 раз ниже, чем в растворе
будет в тысячи раз меньше, т.е. окажется близ-
нашего опыта. Концентрация 135Cs в единицах ак-
ким и меньшим, чем их ДКБ. Дополнительным
тивности соответствует десяткам тысяч Бк/л, что
фактором безопасности хранилища служит мало-
лишь в несколько раз превышает допустимую кон-
проницаемый бентонитовый буфер [21, 49], при
центрацию в питьевой воде (табл. 5).
плотности бентонита 1.8 г/см3 коэффициент филь-
РАДИОХИМИЯ том 62 № 3 2020
268
ЮДИНЦЕВ и др.
трации составляет всего 10-13 м/с. Если же часть
подземных хранилищ, которые варьируются для
коллоидов актинидов все же преодолеет систему
значений индивидуальной поглощенной дозы в
инженерных барьеров и выйдет в ближнюю зону
интервале от 0.1 до 1.0 мЗв, а для риска онколо-
хранилища, их дальнейшей миграции будет пре-
гических заболеваний в 10-6 в год или 10-4 за всю
пятствовать взаимодействие с породами и мине-
жизнь человека.
ралами, слагающими стенки трещин [69], а также
Исследование выполнено по проекту «Влияние
механическая задержка коллоидных частиц в по-
коллоидного переноса радионуклидов на безопас-
рах и микротрещинах пород [70]. Это замедлит их
ность хранилища ВАО» программы 14П Прези-
скорость миграции в геологической среде и обе-
диума РАН «Физическая химия адсорбционных
спечит распад значительной части радионуклидов
явлений и актинидных наночастиц» (координатор -
задолго до попадания в биосферу. Эксперимен-
академик Цивадзе А.Ю.). Анализ частиц коллои-
тально показано [71], что актиниды также могут
да в опытах с закристаллизованным стеклом про-
извлекаться из коллоидной формы и сорбировать-
водился в рамках проекта Российского научного
ся горными породами. Можно полагать, что, как и
фонда № 17-77-10119 «Исследование стабильно-
для цезия, коллоидная форма актинидов не будет
сти алюмо-фосфатных стекол, используемых для
представлять серьезной экологической угрозы в
иммобилизации радиоактивных отходов», руко-
связи с сооружением подземного хранилища ВАО.
водитель Е.В. Александрова. Составы растворов
Еще один фактор уменьшения их опасности -
после опытов определяли в ЦКП «ИГЕМ-Анали-
это удаленность области разгрузки водного пото-
тика» в рамках темы НИР госзадания ИГЕМ РАН.
ка, поступающего из хранилища отходов, а также
Авторы благодарят С.В. Стефановского за образ-
разбавление на этом пути чистыми подземными
цы стекол, Б.Р. Тагирова за помощь в проведении
водами и снижение концентрации радионуклидов
экспериментов, Б.С. Никонова, М.С. Никольско-
в растворенном виде или частиц коллоида.
го, А.В. Мохова и Я.В. Бычкову за анализ состава
ЗАКЛЮЧЕНИЕ
твердых проб и растворов методами электронной
микроскопии и ICP-MS.
При взаимодействии воды и алюмофосфатной
стекломатрицы образуются мельчайшие частицы
Авторы признательны рецензенту за внима-
первичных коллоидов. Их количество резко воз-
тельное чтение статьи и ценные замечания.
растает после кристаллизации стекла при обра-
КОНФЛИКТ ИНТЕРЕСОВ
ботке парами воды. Они представлены фосфатами
с аморфной или кристаллической структурой. В
Авторы заявляют об отсутствии конфликта
их состав входят имитаторы радионуклидов (Cs,
интересов.
Sr, Ln, U), которые способны мигрировать в такой
СПИСОК ЛИТЕРАТУРЫ
форме из хранилища. Проведенный анализ пока-
1. Kersting A.B. // Radionuclide Behaviour in the Natural
зал, что содержания коллоидов радионуклидов в
Environment. Science, Implications and Lessons for
растворах не должны существенно отличаться от
the Nuclear Industry / Eds Ch. Poinssot, H. Geckeis.
предельных допустимых концентраций актини-
Woodhead, 2012. Ch. 10. P. 384.
дов в водах. В связи с этим данная форма не будет
2. Kim J.I. // Radiochim. Acta. 1991. Vol. 52, N 3. Р. 71.
представлять экологической опасности для насе-
ления, проживающего вблизи хранилищ ВАО. Вы-
3. Siegel M.D., Bryan C.R. // Treatise on Geochemistry /
Eds H.D. Holland, K.K. Turekian. Elsevier, 2003.
носу радионуклидов в угрожающих количествах в
Vol. 9. P. 205.
биосферу будут также препятствовать: непрони-
цаемый сорбционный барьер (буфер) из уплотнен-
4. Романчук А.Ю., Калмыков С.Н., Kersting A.B., Za-
ного бентонита, задержка коллоидов породами,
varin M. // Успехи химии. 2016. Т. 85, № 9. С. 995.
разбавление загрязненных вод с радионуклидами
5. Lead J. R., Davison W., Hamilton-Taylor J. Buffle J. //
чистыми подземными водами. Совместное их дей-
Aquat. Geochem. 1997. Vol. 3. P. 213.
ствие обусловит распад радионуклидов до попа-
6. Lead J.R., Wilkinson K.J. // Environmental Colloids and
дания в среду, окружающую хранилище отходов.
Particles: Behaviour, Separation and Characterisation /
Это обеспечит численные критерии безопасности
Eds K.J. Wilkinson, J.R. Lead. Wiley, 2007. Vol. 10.
РАДИОХИМИЯ том 62 № 3 2020
ПЕРВИЧНЫЕ КОЛЛОИДЫ
269
7. Hauser W., Geckeis H., Götz R., Noseck U., Laciok A. //
26. Donald I.W. Waste Immobilization in Glass and Ceramic
Fundamental Processes of Radionuclide Migration in
Based Hosts. Radioactive, Toxic and Hazardous Wastes.
Salt Rock Far Field. A Natural Analogue Study (FUN-
Chichester (UK): Wiley, 2010. 507 p.
MIG). GRS-255. 2009. P. 55.
27. Stefanovsky S.V., Stefanovsky O.I., Remizov M.B., Koz-
8. Kretzschmar R., Schäfer Th. // Elements. 2005. Vol. 1,
lov P.V., Belanova E.A., Makarovsky R.A., Myaso-
№ 4. P.205.
edov B.F. // Prog. Nucl. Energy. 2017. Vol. 94.
9. Vilks P., Miller H.G., Doern D.C. // Appl. Geochem.
P. 229.
1991. Vol. 6. P. 565-574.
28. Martynov K.V., Nekrasov A.N., Kotelnikov A.R., Shi-
10. Kersting A.B., Efurd D.W., Finnegan D.L., Rokop D.J.,
ryaev A.A., Stefanovsky S.V. // Glass Phys. Chem. 2018.
Smith D.K., Thompson J.L. // Nature. 1999. Vol. 397.
Vol. 44, N 6. P. 591.
P. 56.
29. Diomidis N., Johnson L.H. // J. Miner., Met. Mater. Soc.
11. Дубасов Ю.В., Смирнова Е.А., Малимонова С.И. //
2014. Vol. 66, N 3. P. 461.
Радиохимия. 2012. Т. 54, N 3. С. 274.
30. Дробышевский Н.И., Моисеенко Е.В., Бутов Р.А.,
12. Traexler K.A., Utsunomiya S., Kersting A.B., Ewing R.C. //
Токарев Ю.Н. // Радиоактивные отходы. 2017. № 1.
Mater. Res. Soc. Symp. Proc. 2004. Vol. 807. P. 653.
С. 65.
13. Торопов А.С. Автореф. дисс. … к.г.-м.н. Томск: ТПУ,
31. Кочкин Б.Т., Мальковский В.И., Юдинцев С.В. На-
2018. 21 с.
учные основы оценки безопасности геологической
14. Novikov A.P. Kalmykov S.N., Utsunomiya S., Ewing R.C.,
изоляции долгоживущих радиоактивных отходов
Horreard F., Merkulov A., Clark S.B., Tkachev V.V.,
(Енисейский проект). 2017. М.: ИГЕМ РАН, 384 с.
Myasoedov B.F. // Science. 2006. Vol. 314. P. 638.
32. Александрова Е.В., Мальковский В.И., Юдинцев С.В. //
15. Лаверов Н.П., Величкин В.И., Мальковский В.И.,
Докл. АН. 2018. Т. 482, № 6. С. 693.
Тарасов Н.Н., Диков Ю.П. // Геология руд. место-
33. Юдинцев С.В., Первухина А.М., Мохов А.В., Маль-
рождений. 2010. Т. 52, № 1. С. 7.
ковский В.И., Стефановский С.В. // Докл. АН. 2017.
16. Batuk O.N., Conradson S.D., Aleksandrova O.N.,
Т. 473, № 4. С. 477.
Boukhalfa H., Burakov B.E., Clark D.L., Czerwinski K.R.,
34. Poluektov P.P., Schmidt O.V., Kascheev V.A., Ojovan M.I. //
Felmy A.R., Lezama-Pacheco J.S., Kalmykov S.N.,
J. Nucl. Mater. 2017. Vol. 484. P. 357.
Moore D.A., Myasoedov B.F., Reed D.T., Reilly D.D.,
35. Власова Н.В., Ремизов М.Б., Козлов П.В., Белано-
Roback R.C., Vlasova I.E., Webb S.M., Wilker-
ва Е.А. // Вопр. радиац. безопасности. 2017. № 3.
son M.P. // Environ. Sci. Technol. 2015. Vol. 49,
С. 32.
N 11. P. 6474.
36. Ремизов М.Б., Козлов П.В., Борисенко В.П., Демен-
17. Myasoedov B.F., Kalmykov S.N. // Mendeleev Commun.
тьева И.И., Блохин П.А., Самойлов А.А. // Радиоак-
2015. Vol. 25. P. 319.
тивные отходы. 2018. № 3. С. 102.
18. Bates J. K., Seitz M. G., Steindler J. // Nucl. Chem.
37. Дорофеев А.Н., Большов Л.А., Линге И.И., Уткин С.С.,
Waste Manag. 1984. Vol. 5. P. 63.
Савельева Е.А. // Радиоактивные отходы. 2017.
19. Buck E.C., Bates J.K. // Appl. Geochem. 1999. Vol. 14.
№ 1. С. 33.
P. 635.
38. Gin S., Abdelouas A., Criscenti L.J., Ebert W.L., Fer-
20. Contardi J.S., Turner D.R., Ahn T.M. // J. Contam. Hy-
rand K., Geisler T., Harrison M.T., Inagaki Y., Mitsui S.,
drol. 2001. Vol. 47. P. 323.
Mueller K.T., Marra J.C., Pantano C.G., Pierce E.M.,
21. Лаверов Н.П., Величкин В.И., Омельяненко Б.И.,
Ryan J.V., Schofield J.M., Steefel C.I., Vienna J.D. //
Юдинцев С.В., Петров В.А., Бычков А.В. Изоляция
Mater. Today. 2013. Vol. 16, N 6. P. 243.
отработавших ядерных материалов: геолого-геохи-
39. Gin S. // Procedia Mater. Sci. 2014. Vol. 7. P. 163.
мические основы. М: ИФЗ РАН, 2008. 280 с.
40. Юдинцев С.В., Мальковский В.И., Мохов А.В. // Докл.
22. Apted M., Ahn J. // Geological Repository Systems for
АН. 2016. Т. 468, № 2. С. 196.
Safe Disposal of Spent Nuclear Fuels and Radioac-
41. Frugier P., Minet Y., Rajmohan N., Godon N., Gin S. //
tive Waste / Eds J. Ahn, M.J. Apted. Woodhead, 2010.
NPJ Mater. Degrad. 2018. Vol. 35. P. 1.
Ch. 1. P. 3.
42. Jantzen C.M., Kaplan D.I., Bibler N.E., Peeler D.K.,
23. Laverov N.P., Yudintsev S.V., Kochkin B.T., Malkov-
Plodinec M.J. // J. Nucl. Mater. 2008. Vol. 378. P. 244.
sky V.I. // Elements. 2016. Vol. 12, № 4. P. 253.
43. Алой А.С., Трофименко А.В., Кольцова Т.И., Никан-
24. Radioactive Waste Forms for the Future / Eds W. Lutze,
дрова М.В. // Радиохимия. 2012. Т. 54, № 3. С. 267.
R.C. Ewing. New York: Elsevier, 1988. 778 p.
44. Guittonneau C., Gin S., Godon N., Mestre J.P., Dugne O.,
25. Фосфатные стекла с радиоактивными отходами /
Allegri P. // J. Nucl. Mater. 2011. Vol. 408. P. 73.
Ред. А.А. Вашман, А.С. Поляков. М.: Цнииатомин-
45. Collin M., Fournier M., Charpentier T., Moskura M.,
форм, 1997. 171 с.
Gin S. // NPJ Mater. Degrad. 2018. Vol. 16. P. 1.
РАДИОХИМИЯ том 62 № 3 2020
270
ЮДИНЦЕВ и др.
46. Gin S., Jollivet P., Tribet M., Peuget S., Schuller S. //
61. Project Opalinus Clay: Safety Report. Demonstration
Radiochim. Acta. 2017. Vol. 105, N 11. P. 927.
of Disposal Feasibility for Spent Fuel, Vitrified High-
47. Frankel G.S., Vienna J.D., Lian J., Scully J.R., Gin S.,
Level Waste and Long-Lived Intermediate-Level Waste.
Ryan J.V., Wang J., Kim S.H., Windl W., Du J. // NPJ
Wettingen, Switzerland: Nagra Technical Report NTB
Mater. Degrad. 2018. Vol. 15. P. 1.
02-05, 2002.
48. Котова Н.П. Дисс. … к.х.н. М.: ГЕОХИ РАН, 2001.
62. Lessons Learnt from Ten Performance Assessment Stud-
124 с.
ies. Paris: NEA OECD, 1997. 132 p.
49. Poinssot Ch., Fillet C., Gras J.-M. // Geological Re-
63. Sullivan V.S., Bowers D.L., Clark M.A., Graczyk D.G.,
pository Systems for Safe Disposal of Spent Nuclear
Tsai Y., Streets W.E., Pol Vander M.H., Billone M.C. //
Fuels and Radioactive Waste / Eds J. Ahn, M.J. Apted.
J. Radioanal. Nucl. Chem. 2008. Vol. 277, N 1. P. 59.
Woodhead, 2010. Ch. 14. P. 421.
64. Pusch R. // Geological Repository Systems for Safe Dis-
50. Pirlet V. // J. Nucl. Mater. 2001. Vol. 298. P. 47.
posal of Spent Nuclear Fuels and Radioactive Waste /
51. Pierce E.M., McGrail B.P., Martin P.F., Marra J.,
Eds J. Ahn, M. J. Apted. Woodhead, 2010. Ch. 11.
Arey B.W., Geiszler K.N. // Appl. Geochem. 2007.
P. 323.
Vol. 22. P. 1841.
65. Mallants D., Marivoet J., Sillen X. // J. Nucl. Mater.
52. Inagaki Y., Sakata H., Furuya H., Idemitsu K., Arima T.,
2001. Vol. 298. P. 125.
Banba T., Maeda T., Matsumoto S., Tamura Y., Kikka-
66. Van Iseghem P., Lemmens K., Pirlet V. // Proc. Workshop
wa S. // Mater. Res. Soc. Symp. Proc. 1998. Vol. 506.
“Mobile Fission and Activation Products in Nuclear
P. 177.
Waste Diposal”. La Baule (France), Jan. 16-19, 2007.
53. Мальковский В.И., Юдинцев С.В., Александрова Е.В. //
Paris: OECD EA, 2009. P. 247.
Радиохимия. 2018. Т. 60, № 6. C. 551.
67. Мокров Ю.Г., Алексахин А.И. // Вопр. радиац. безо-
54. Радиоактивные вещества / Под ред. Л.А. Ильина,
пасности. 2018. № 4. С. 13.
В.А. Филина. Л.: Химия, 1990. 464 с.
68. Баторшин Г.Ш., Кириллов С.Н., Смирнов И.В., Са-
55. Нормы радиационной безопасности НРБ-99/2009 //
рычев Г.А., Тананаев И.Г., Федорова О.В. // Вопр.
Российская газета. Федеральный выпуск. 2009.
радиац. безопасности. 2015. № 3. С. 30.
№ 171.
69. Albarran N., Missana T., Alonso U., García-Gutiérrez M.,
56. Compendium of Dose Coefficients Based on ICRP Pub-
Lopez-Torrubia T. // Proc. 4th Ann. Workshop “Funda-
lication 60. 2012. ICRP Publication 119. Ann. ICRP 41.
mental Processes of Radionuclide Migration” (FUN-
57. Westlen D. // Prog. Nucl. Energy. 2007. Vol. 49. P. 597.
58. Actinide and Fission Product Partitioning and Trans-
MIG). Karlsruhe: Forschungszentrum, 2009. P. 417.
mutation. Paris: NEA OECD, 2001. 127 p.
70. Malkovsky V.I., Pek A.A. // Transport in Porous Media.
59. Бабаев Н.С., Очкин А.В., Глаголенко Ю.В., Дзекун Е.Г.,
2009. Vol. 78. P. 277.
Ровный С.И. // Атом. энергия. 2003. Т. 94, Вып. 5.
71. Anderson E.B., Rogozin Yu.M., Smirnov E.A., Bryzga-
С. 353.
lova R.V., Malimonova S.I., Andreeva N.R., Shaba-
60. Герасимов А.С., Киселев Г.В. // УФН. 2003. Т. 173,
lev S.I., Savonenkov V.G. // Radiochemistry. 2009.
№ 7. С. 739.
Vol. 51, N 5. P. 542.
РАДИОХИМИЯ том 62 № 3 2020