РАДИОХИМИЯ, 2020, том 62, № 3, с. 253-257
УДК 621.039.743: 544.544.541
РАДИАЦИОННАЯ СТОЙКОСТЬ МАГНИЙ-
ФОСФАТНОЙ КЕРАМИКИ ПРИ γ-ОБЛУЧЕНИИ:
ОБРАЗОВАНИЕ ВОДОРОДА И ПЕРОКСИДОВ
© 2020 г. Г. Л. Быков, В. А. Ершов, Б. Г. Ершов*
Институт физической химии и электрохимии им. А. Н. Фрумкина РАН, 119071, Москва, Ленинский пр., д. 31, корп. 4
*e-mail: ershov@ipc.rssi.ru
Получена 18.04.2019, после доработки 24.05.2019, принята к публикации 31.05.2019
Изучена радиационная стойкость магний-фосфатной керамики MgHPO4·3H2O. Показано, что дей-
ствие γ-излучения 60Со сопровождается образованием водорода. Кислород фиксируется в следовых
количествах (менее 1% от водорода). При дозе 4-5 МГр выход водорода составляет примерно 0.055 ±
0.005 молекулы/100 эВ. При больших дозах накопление водорода достигает стационарного уровня.
Установлено, что образующийся при радиолизе гидратной воды «окислительный компонент» - пероксид
водорода H2O2, наиболее вероятно, взаимодействует с магнием с образованием пероксида магния - MgO2.
Облучение не влияет заметно на механическую прочность магний-фосфатного компаунда.
Ключевые слова: радиоактивные отходы, магний-фосфатная матрица, радиолиз, водород
DOI: 10.31857/S0033831120030107
Безопасная утилизация жидких радиоактивных
ным для решения проблемы отверждения высоко-
отходов (ЖРО) является важнейшей задачей, кото-
[6, 7] и среднеактивных отходов [8, 9]. Подобные
рую необходимо решить для обеспечения успеш-
матрицы обладают рядом преимуществ по сравне-
ного развития атомной энергетики. Технология
нию с используемыми промышленными методами
изолирования ЖРО в устойчивые матрицы на ос-
отверждения. Это, прежде всего, бóльшая емкость
нове портландцемента получила распространение
по отверждаемым РАО и более высокая плотность
для инкорпорирования отходов низкого и средне-
матрицы [6-9, 10].
го уровня активности [1, 2]. При переработке ра-
Использование магний-фосфатной матрицы ос-
диоактивных отходов находят применение также
ложнено тем, что в условиях длительного хранения
магний-фосфатные матрицы (МФМ). В США была
отвержденного РАО вследствие распада радиону-
разработана магний-калий-фосфатная матрица
клидов происходят радиационно-химические пре-
(MgKPO4·6H2O) для инкорпорирования смешан-
вращения ее компонентов. В первую очередь это
ных отходов низкого и среднего уровня активности
вызвано радиолизом воды. Как и в случае компа-
[3, 4]. В патенте США [5] описан способ отвержде-
ундов на основе портландцементов, вода в составе
ния жидких и твердых отходов с применением маг-
МФМ может разлагаться с образованием водорода,
ний-фосфатной керамики (MgHPO4·3H2O).
пероксида водорода и кислорода. Поэтому необхо-
Некоторые виды ЖРО в соответствии с действу-
димо учитывать влияние излучения на свойства
ющими нормативами в РФ не могут быть отверж-
цементных материалов и в первую очередь образо-
дены методами цементирования или остекловы-
вание водорода при разложении воды [11-13]. Ра-
вания. Поэтому для таких отходов, содержащих
нее выполненные исследования действия ионизи-
актиниды и нитрат аммония, предлагают исполь-
рующего γ-излучения 60Со на матрицы на основе
зовать магний-калий-фосфатный компаунд [6-9].
портландцемента подтверждают справедливость
По мнению цитируемых авторов, использование
такого заключения [12, 13]. Было установлено, что
«фосфатного цемента» может стать перспектив-
происходит выделение значительных количеств
253
254
БЫКОВ и др.
ность образцов магний-фосфатного цемента равна
1.98 г/см3.
Облучение проводили на γ-установке
60Co,
мощность дозы определяли с помощью ферро-
сульфатного дозиметра; она составляла 4.5 кГр/ч.
Состав и количество газов определяли хромато-
графическим методом при комнатной температуре
с использованием колонок, заполненных различ-
ными материалами, специфичными для анализа
конкретных газов: а) для определения Н2, N2, O2
и СН4 - цеолит 5А (СаА) фракции 0.125-0.4 мм,
длина колонки 2 м; б) для определения NO, CO2 -
силикагель фракции 0.25-0.4 мм, длина колонки
Рис. 1. Дифрактограмма магний-фосфатной керамики
2 м. В качестве газа-носителя использовали аргон
MgHPO4·3H2O.
высокой степени чистоты, детектор - катарометр с
током 60 мА, скорость газа-носителя 30 см3/мин.
водорода с выходом примерно 0.2 молекулы на
Измерения проводили на 4 образцах; представлен-
100 эВ поглощенной энергии излучения. Поэтому
ные результаты являются усредненными значени-
можно предполагать, что излучение радионукли-
ями.
дов при их распаде в фосфатных матрицах также
будет сопровождаться выделением значительных
Структуру магний-фосфатного цемента изуча-
количеств взрывоопасных газов, а также преоб-
ли с помощью рентгенофазового анализа на диф-
разованием состава и структуры матриц. Все это
рактометре DRON-3. Механическую прочность
может заметно повлиять на их стойкость и, как
фосфатной матрицы (образцы в форме цилиндра с
диаметром 20 и высотой 20 мм) определяли на ла-
результат, сказаться на безопасности их использо-
бораторном прессе по нагрузке, вызывающей его
вания для отверждения ЖРО. Настоящая работа
разрушение.
ставит своей задачей определить состав и количе-
ство выделяющегося газа в фосфатном компаунде
РЕЗУЛЬТАТЫ И ИХ ОБСУЖДЕНИЕ
на примере керамики MgHPO4·3H2O и оценить ее
Рентгенофазовый анализ осуществляли как для
радиационную стойкость.
исходного сырья (твердой фазы), так и получен-
ЭКСПЕРИМЕНТАЛЬНАЯ ЧАСТЬ
ной магний-фосфатной керамики. Дифрактограм-
ма содержит характерные для данного материала
Магний-фосфатные компаунды (MgHPO4·
интенсивные полосы, которые указаны на рис. 1.
3H2O) изготавливались по известному способу
[14]. Для этого смешивались и тщательно расти-
Рентгенограмма содержит интенсивные реф-
рались 48 г тонкого порошка MgO (50 см3) в 61%-
лексы в области 2θ 14.94°-34.68° которые соответ-
ствуют рефлексам гидрофосфата магния состава
ном растворе H3PO4. После перемешивания в те-
MgHPO4·3H2O со структурой минерала ньюбе-
чение 15-20 мин смесь помещали в стеклянные
риита с орторомбической сингонией и простран-
ампулы размером 12.5×1.5 см. Через 5 сут ампулы
ственной группой Pbca [15].
с затвердевшим цементом вакуумировали и запаи-
вали. Затем проводили облучение на γ-источнике
В таблице сопоставлены межплоскостные рас-
радиоактивного 60Co. Отношение высоты к диаме-
стояния для MgHPO4·3H2O из базы данных c ана-
тру (d : h) столбца керамики в ампуле составляло
логичными значениями для материала, полученно-
примерно 6 : 1. После облучения ампулу вскры-
го в вышеописанных опытах. Хорошее совпадение
вали и присоединяли к измерительной аппаратуре
подтверждает идентичность материалов.
для определения состава и количества образовав-
Результаты хроматографического анализа по-
шихся газов (свободный объем в сумме составлял
казали, что при облучении магний-фосфатного
11.2 см3). Масса компаунда в опытах обычно со-
компаунда в свободный объем ампулы выделяет-
ставляла 23.9 г, а объем - 12 см3. Измеренная плот-
ся преимущественно водород. Это вызвано ради-
РАДИОХИМИЯ том 62 № 3 2020
Р
АДИАЦИОННАЯ СТОЙКОСТЬ МАГНИЙ-ФОСФАТНОЙ КЕРАМИКИ
255
олитическим разложением воды, составляющей
Значения межплоскостных расстояний (d, Å) для
примерно 28% массы компаунда. После каждого
MgHPO4·3H2O
измерения ампулу вновь вакуумировали, запаива-
dт, по базе данных
dэ, эксперимент
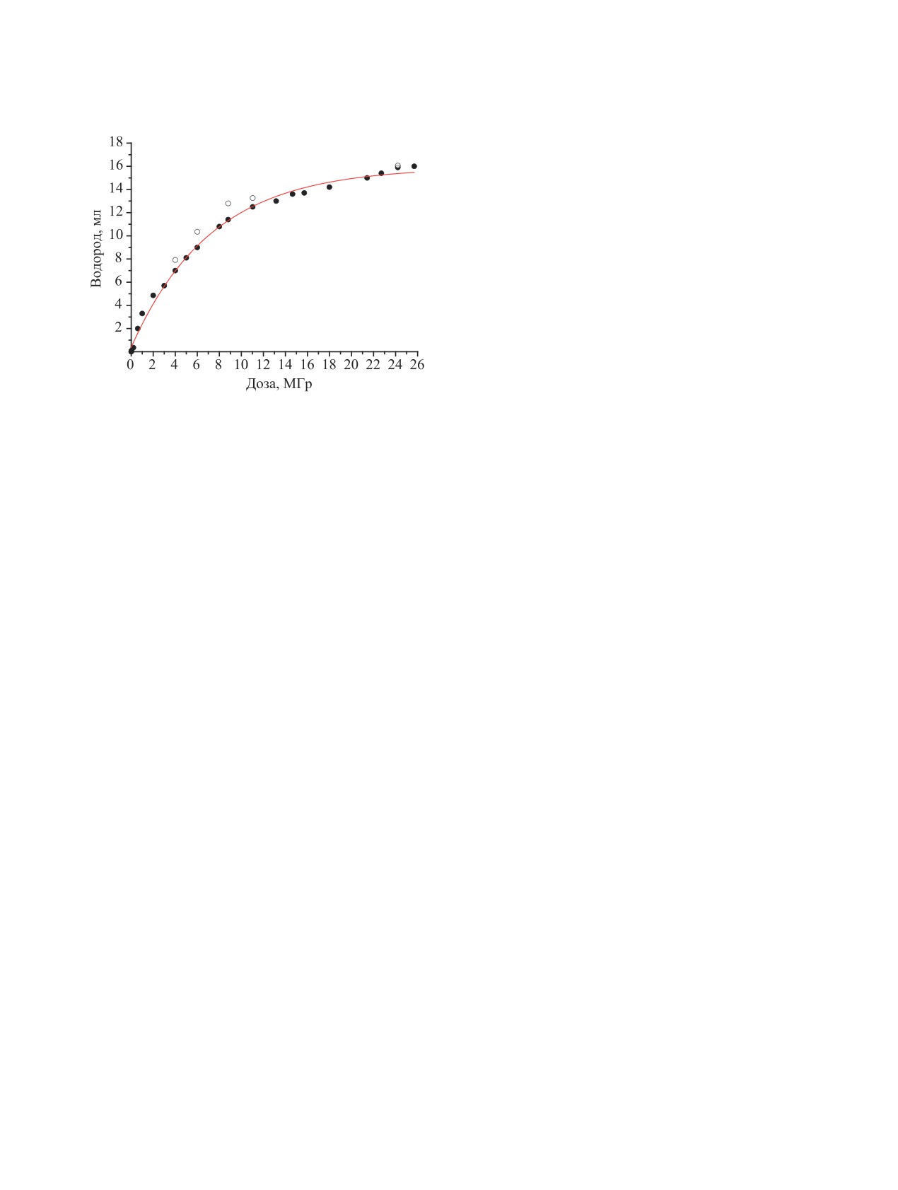
ли и ставили на дальнейшее облучение. На рис. 2
5.94218
5.99169
представлена зависимость суммарного количества
5.34050
5.39011
выделения водорода от поглощенной дозы.
4.71226
4.74881
3.43942
3.47991
Из данных, приведенных на рис. 2, можно за-
3.04153
3.05172
ключить, что вплоть до дозы 4-5 МГр выделение
2.79115
2.80323
водорода из материала происходит примерно ли-
2.72261
2.72981
нейно и пропорционально поглощенной дозе. Ра-
диационно-химический выход на этом участке со-
щенная ими энергия передается молекулам воды
ставляет 0.055±0.005 молекулы/100 эВ. При более
[16, 17]. Поэтому радиолитические превращения
высоких дозах процесс выделения водорода за-
магний-фосфатного компаунда затрагивают в пер-
медляется и постепенно выходит на стационарное
вую очередь содержащуюся в нем гидратную воду.
состояние. При дозе ≥12 МГр выход равен при-
Известно [16, 18], что при радиолизе жидкой
мерно 0.001 молекулы/100 эВ. Можно полагать,
воды происходит образование ионно-радикальных
что в процессе облучения образующийся водород
(гидратированного электрона e-aq, атома Н и ги-
накапливается в твердой фазе и его концентрация
дроксильного радикала ОН) и молекулярных про-
в материале постепенно достигает предельного
дуктов (H2 и H2O2). Действие излучения на воду
значения. Известно, что при радиолизе воды на-
в МФМ (MgHPO4·3H2O) приводит к образованию
ряду с водородом образуется пероксид водорода.
конечных продуктов - водорода и пероксида водо-
Условно процесс выхода накопления водорода на
рода [реакция (1)]. Поскольку H2O2 неустойчив и
стационарный режим можно связать с установле-
склонен распадаться с образованием кислорода,
нием равновесия типа
можно было ожидать присутствия в составе вы-
2H2O ↔ H2 + H2O2.
(1)
деляемого при облучении керамики газа, помимо
Повышение температуры ускоряет процесс
водорода, также и кислорода. Однако измерения
диффузии газа в материале. Это обстоятельство
показали, что кислород практически не возника-
необходимо учитывать при решении практических
ет на раннем этапе облучения вплоть до дозы 4-
задач по инкапсулированию радиоактивных отхо-
5 МГр, когда водород накапливается пропорцио-
дов в матрицу. Распад радионуклидов вызывает
нально поглощенной дозе. Только при дозах ≥4-
выделение тепла, что должно влиять на скорость
5 МГр фиксируются его появление в очень не-
выделения водорода. Поэтому было изучено вы-
большом количестве. Так, в диапазоне доз от 4 до
деление водорода в свободный объем при нагреве
11 МГр количество кислорода составляет при-
до 70°С предварительно облученного фосфатного
мерно 0.05-0.2 см3. При этом не обнаруживается
цемента. Результаты для нескольких поглощенных
сколько-либо выраженной зависимости его выхода
доз представлены на рис. 2. Видно, что повыше-
от поглощенной дозы. В то же время в этом же ди-
ние температуры приводит к выделению из облу-
апазоне доз выход водорода увеличивается от 6 до
ченного материала дополнительного количества
12 см3, т.е. доля кислорода не превышает 1%.
водорода. С увеличением поглощенной дозы отно-
Можно говорить о присутствии всего лишь следов
сительная “температурная прибавка” снижается.
этого газа. Практическое отсутствие кислорода
Таким образом, помимо выделившегося водорода
указывает на то, что пероксид водорода H2O2, наи-
в объеме материала присутствует некоторое коли-
более вероятно, сохраняется в объеме неорганиче-
чество «растворенного» в нем газа.
ского материала или, скорее всего, связывается его
Энергия ионизирующего излучения поглоща-
компонентами.
ется материалом со сложным составом пропорци-
Аналогичная ситуация была ранее обнаружена
онально электронным долям составляющих ком-
нами также для бетона на основе портландцемента
понентов. В гидратах солей вследствие большего
[12, 13]. При выделении значительного количества
потенциала ионизации катионов и анионов погло-
водорода при действии излучения на него появле-
РАДИОХИМИЯ том 62 № 3 2020
256
БЫКОВ и др.
ных закономерностей и свойств пероксидов в об-
лученных фосфатных компаундах продолжаются.
Таким образом, можно заключить, что содержа-
щийся в компаунде магний преобразует пероксид
водорода, образующийся при радиолизе гидрат-
ной воды, в пероксид магния в реакции типа
MgHPO4 + H2O2 → MgO2.
(2)
Следует отметить, что образование и свойства
MgO2 хорошо изучены еще в прошлом веке. Это
соединение устойчиво и широко используется в
промышленности и медицине [19]. Пероксиды
большинства щелочных и щелочноземельных ме-
таллов могут быть синтезированы непосредствен-
но при обработке растворов их щелочей и солей
Рис. 2. Зависимость объема водорода от дозы при
γ-облучении магний-фосфатного компаунда (масса
пероксидом водорода [19]. Мы предполагаем, что
23.9 г, и соотношение h : d = 6 : 1). Мощность дозы
подобное «связывание» окислительного продукта
4.5 кГр/час. Черные кружки - после облучения, светлые -
радиационного разложения воды - пероксида во-
после дополнительного нагревания при 70°С.
дорода H2O2 - имеет место при радиолизе разно-
образных фосфатных цементов (MgHPO4·3H2O,
ния кислорода также не наблюдалось. Это объяс-
MgKPO4·6H2O и др.), содержащих щелочные и
нялось тем, что вода в цементном компаунде насы-
щелочноземельные металлы. В результате при их
щена солями, которые также способны принимать
облучении в газовую фазу выделяется преиму-
участие в радиолитических превращениях. В част-
щественно водород, а окислительные продукты
ности, они могут “поглощать” H2O2. Гидроксид
радиолиза накапливаются в объеме материала в
кальция в бетоне взаимодействует с H2O2 с обра-
виде пероксидов щелочных и щелочноземельных
зованием устойчивого и нерастворимого перокси-
металлов. Накопление окислителя, каким является
да кальция CaO2∙8H2O. Пероксиды - содержат пе-
MgO2, при γ-облучении MgHPO4·3H2O подавляет
роксогруппу -О-О-, и их образование характерно
образование водорода вследствие усиления роли
для щелочных и щелочноземельных металлов при
обратной реакции
их взаимодействии с пероксидом водорода [19].
MgO2·H3PO4+ H2 → MgHPO4 + 2H2O.
(3)
Сходный процесс, по нашему мнению, имеет ме-
В результате в процессе выделения водорода
сто и в случае магний-фосфатных цементов. По-
при облучении магний-фосфатных керамик уста-
лученные результаты подтверждают этот вывод.
навливается равновесие, проявляющееся в выхо-
В облученных магний-фосфатных компаундах
де образования водорода на стационарный режим
нами был обнаружен пероксид магния MgO2. Для
(рис. 2):
его выявления использовали известный способ
анализа. Навеску (2 г) порошка материала (доза
MgHPO4 + 2H2O ↔ MgO2·H3PO4 + H2↑.
(1')
1.5 МГр) выдерживали в 50 мл воды, далее добав-
Вследствие «фиксации» пероксида магния в
ляли 5 мл 50%-ной H2SO4 и титровали раствором
магний-фосфатных керамиках эти материалы, а
0.1 моль/л KMnO4. Содержание MgO2 составило
также бетоны на основе портландцемента при их
(2.0±0.5)×10-4 моль на 1 моль основного вещества.
использовании в качестве матриц для инкапсули-
Для проверки возможности образования MgO2 в
рования РАО будут приобретать окислительные
реакции H2O2 с MgHPO4·3H2O порошок керамики
свойства в ходе их хранения вследствие действия
смешивали с раствором H2O2, выдерживали в те-
ионизирующего излучения распадающихся ради-
чение 10 мин и далее тщательно сушили в вакууме
онуклидов.
для удаления избытка пероксида водорода и воды.
Изучение механической прочности образцов
Химический анализ подтвердил образование в
МФЦ при комнатной температуре показало, что
этих условиях MgO2. Исследования количествен-
вплоть до поглощенной дозы 12 МГр она заметно
РАДИОХИМИЯ том 62 № 3 2020
Р
АДИАЦИОННАЯ СТОЙКОСТЬ МАГНИЙ-ФОСФАТНОЙ КЕРАМИКИ
257
не меняется. Исходный материал и облученные до
вании радиоактивных отходов. М.: Энергоатомиздат,
доз 5-12 МГр образцы разрушаются при нагрузке
1989. 168 с.
56±4 кг/см2.
3. Singh D, Barber D, Wagh A, Strain R, Tlustochowicz M. //
Proc. Waste Management Conf. WM’98. Tucson, AZ,
Таким образом, действие γ-излучения на маг-
1998.
ний-фосфатную керамику вызывает радиацион-
4. Wagh A.S., Strain R., Jeong S.Y., Reed D., Krause T.,
но-химическое разложение содержащейся в ней
Singh D. // J. Nucl. Mater. 1999. Vol. 265. P. 295.
воды и образование водорода. Его выход при по-
глощенных дозах до 4-5 МГр составляет примерно
5. Патент США №5645518 (G21F 9/20, 1997.07.08)
0.055 молекулы на 100 эВ поглощенной энергии.
6. Vinokurov S.E., Kulyako Yu.M., Slyunchev O.M., Мясое-
При более высоких дозах выделение водорода за-
дов Б.Ф. // J. Nucl Mater. 2009. Vol. 385, N 1.
медляется. Повышение температуры увеличивает
P. 189.
выделение водорода из облученного цемента. Важ-
7. Винокуров С.Е., Куляко Ю.М., Слюнчев О.М., Ров-
ным является то, что радиолитическое разложение
ный С.И., Ваг А.С., Малоней М.Д., Мясоедов Б.Ф. //
воды не сопровождается выделением кислорода.
Радиохимия. 2009. Т. 51, № 1. С. 56.
Это исключает образование гремучей смеси. Од-
8. Винокуров С.Е., Куликова С.А., Громяк И.Н. // Успехи
нако «окислительный компонент» радиолиза воды
в химии и хим. технологии. 2016. Т. 30, № 6 (175).
сохраняется в структуре МФМ (наиболее вероят-
С. 106.
но, в форме MgO2), что, как можно ожидать, долж-
9. Винокуров С.Е., Куликова С.А., Крупская В.В.,
но приводить к появлению у них окислительных
Мясоедов Б.Ф. // Радиоактивные отходы. 2018. № 2
свойств и коррозионной активности. Образование
(3). С. 105.
водорода не приводит к разбуханию или разруше-
10. Yang J.H., Shin J.M., Lee C.H., Heo C.M., Jeon M.K.,
нию МФК. Нами не выявлено заметного измене-
Kang K.H. // J. Radioanal. Nucl. Chem. 2013. Vol. 295.
ния механической прочности материала даже при
P. 211.
больших поглощенных дозах. Результаты прове-
11. Bouniol P., Thouvenot P. // J. Chim. Phys. 1997.
денного исследования радиационной стойкости
Vol. 94. P. 410.
фосфатного цемента и образования водорода мо-
12. Ершов Б.Г., Юрик Т.К., Быков Г.Л., Гордеев А.В.,
гут быть полезными для оценки уровня активно-
Козлов П.В., Слюнчев О.М., Ровный С.И., Глаголен-
сти и типа радиоактивных отходов, которые могут
ко Ю.В. // Вопр. радиац. безопасности. 2008. № 1.
быть инкорпорированы в эту матрицу.
С. 3.
ФОНДОВАЯ ПОДДЕРЖКА
13. Быков Г.Л., Гордеев А.В., Юрик Т.К., Ершов Б.Г. //
ХВЭ. 2008. Т. 42, № 3. С. 1.
Работа частично поддержана Министерством
14. Abdelrazig, B., Sharp, J., El-Jazairi, B. // Cement Concr.
науки и высшего образования Российской Феде-
Res. 1988. Vol. 18, N 3. P. 415.
рации (проект № АААА-А16-116121410087-6) и
15. Boistelle R., Abbona F. // J. Cryst. Growthю 1981.
частично Российским фондом фундаментальных
Vol. 54. P. 275.
исследований (проект № 19-03-00501).
16. Пикаев А.К. Современная радиационная химия.
КОНФЛИКТ ИНТЕРЕСОВ
Радиолиз газов и жидкостей. М.: Наука, 1986. С. 372.
Авторы заявляют об отсутствии конфликта
17. Котов А.Г., Громов В.В. Радиационная физика и
химия гетерогенных систем. Энергоатомиздат, 1988.
интересов.
232 с.
СПИСОК ЛИТЕРАТУРЫ
18. Ershov B.G., Gordeev A.V. // Radiat. Phys. Chem. 2008.
1. Cement-Based Materials for Nuclear Waste Storage /
Vol. 77. P. 928.
Eds F. Bart, C. Cau-di-Coumes, F. Frizon, S. Lorente.
19. Vol’nov I.I. Peroxides, Superoxides and Ozonides of
Springer, 2013. P. 1. doi 10.1007/978-1-4614-3445-0
Alkali and Alkaline Earth Metals. New York: Plenum,
2. Соболев И.А., Коренков И.П., Хомчик Л.М., Проказо-
1966; Springer, 2012. P. 146. doi 10.1007/978-1-4684-
ва Л.М. Охрана окружающей среды при обезврежи-
8252-2.
РАДИОХИМИЯ том 62 № 3 2020