РАДИОХИМИЯ, 2020, том 62, № 3, с. 234-239
УДК 661.879.94: 621.039.325 + 66.018.86
РАДИАЦИОННАЯ УСТОЙЧИВОСТЬ
ВИНИЛПИРИДИНИЕВОГО АНИОНИТА МАРКИ
AXIONIT VPA-2 В АЗОТНОКИСЛЫХ РАСТВОРАХ
© 2020 г. Е. В. Лызлова*, А. В. Глухова, А. В. Конников, М. А. Бирюкова
ПО «Маяк», 456780, Озерск Челябинской обл., пр. Ленина, д. 31
*e-mail: e-lyzlova@mail.ru
Получена 09.04.2019, после доработки 09.04.2019, принята к публикации 10.05.2019
Исследована радиационная устойчивость винилпиридиниевого анионита AXIONIT VPA-2, синтезиро-
ванного АО «Аксион - редкие и драгоценные металлы» (Пермь), в процессе сорбционного извлечения
плутония из азотнокислых регенерационных растворов, образующихся в процессе обработки отходов
и дезактивации оборудования на производстве. Установлено, что с ростом поглощенной дозы гамма-
излучения в диапазоне от 35 до 1000 кГр эффекты, связанные с деструкцией матрицы анионита AXIONIT
VPA-2, усиливаются. Наблюдается частичное разрушение гранул анионита, снижается его насыпная
плотность, увеличивается набухание в воде и в растворе азотной кислоты, коэффициенты распределе-
ния плутония закономерно снижаются, но остаются достаточно высокими. Результаты динамических
испытаний показали, что облучение анионита AXIONIT VPA-2 до поглощенной дозы гамма-излучения
не более 1000 кГр не оказывает существенного влияния на его сорбционные свойства в процессе извле-
чения плутония из азотнокислых регенерационных растворов.
Ключевые слова: радиационная устойчивость, поглощенная доза гамма-излучения, плутоний, анионит,
AXIONIT VPA-2, сорбция, десорбция, азотнокислые регенерационные растворы
DOI: 10.31857/S0033831120030077
В гидрометаллургии для выделения актини-
ний позволили сделать вывод о перспективности
дов из азотнокислых регенерационных растворов,
использования анионита AXIONIT VPA-2 для из-
образующихся в процессе обработки отходов и
влечения плутония из азотнокислых регенераци-
дезактивации оборудования, достаточно широко
онных растворов.
применяют сорбционные процессы. До недавне-
В связи с тем, что условия эксплуатации ионо-
го времени в качестве ионообменного материала
обменных материалов на производстве, как прави-
для выделения плутония в виде гексанитратного
ло, являются достаточно жесткими и связаны с воз-
анионного комплекса использовали винилпири-
действием на них химически агрессивной среды и
диновый анионит ВП-1Ап [1]. В настоящее время
ионизирующего излучения, вопросы химической
производство данного анионита прекращено из-за
и радиационной устойчивости ионитов имеют
высокой токсичности компонентов синтеза.
большое практическое значение. Ранее устойчи-
В 2015 г. специалисты компании АО «Аксион -
вость сорбционных материалов, в частности ви-
редкие и драгоценные металлы» (Пермь) синте-
нилпиридиновых анионитов, при воздействии на
зировали новые винилпиридиниевые аниониты
них ионизирующего излучения в азотнокислых
марки AXIONIT VPA без использования токсич-
растворах изучалась многими исследователями
ных компонентов. Были исследованы сорбцион-
[4-8].
ные свойства данных материалов по отношению к
торию в азотнокислых и солянокислых растворах
Настоящая работа посвящена исследованию
[2] и по отношению к плутонию в азотнокислых
влияния дозы излучения, поглощаемой аниони-
растворах [3]. Результаты проведенных исследова-
том AXIONIT VPA-2 при извлечении плутония из
234
АДИАЦИОННАЯ УСТОЙЧИВОСТЬ ВИНИЛПИРИДИНИЕВОГО АНИОНИТА
235
Таблица 1. Основные физико-химические и сорбционные свойства анионита AXIONIT VPA-2 (ТУ 222790-007-
67295660-2015)
Показатель
Значение показателя
Степень сшивки, %
10
Удельная поверхность, м2/г
15
Удельный объем набухшего в воде анионита, см3/г
2.6
Обменная емкость по сильноосновным группам, мг-экв/г
4.5
Полная обменная емкость по хлорид-иону, мг-экв/г
5.4
азотнокислых регенерационных растворов, на его
и ионных групп сорбента с продуктами радио-
физико-химические и сорбционные свойства.
лиза азотнокислого раствора, что обусловливает
наибольшую часть повреждений при облучении
ЭКСПЕРИМЕНТАЛЬНАЯ ЧАСТЬ
системы сорбент-раствор. Поэтому необходимо
В работе использовали анионит, представля-
изучать действие радиационного поля на сорбент,
ющий собой N-метилированный макропористый
находящийся в растворе кислоты, когда наряду с
сополимер 4-винилпиридина, дивинилбензола и
радиационным может происходить и химическое
этилстирола. Анионит получен методом суспен-
разрушение.
зионной полимеризации мономеров по свобод-
Перед исследованием физико-химических и со-
норадикальному механизму. Основные физи-
рбционных свойств в статическом режиме прово-
ко-химические и сорбционные свойства анионита
дили двукратную промывку облученных образцов
AXIONIT VPA, выпускаемого по ТУ 222790-007-
анионита водой при объемном соотношении Т : Ж =
67295660-2015, приведены в табл. 1.
1 : 3.
Перед облучением образцы анионита промыва-
В ходе работы устанавливали гранулометри-
ли на бумажном фильтре дистиллированной водой
ческий состав облученных образцов анионита
в динамическом режиме при объемном соотноше-
AXIONIT VPA-2. Значения насыпной плотности
нии Т : Ж = 1 : 50, затем выдерживали в воде в ста-
(d), удельного объёма (Vуд) и коэффициента набу-
тическом режиме при объемном соотношении Т :
хания (Kнаб) определяли в соответствии с методи-
Ж = 1 : 3 до полного набухания в течение 24 ч. На-
ками, приведенными в работе [4], по формулам
бухшие образцы переводили в NO3--форму путем
контактирования с раствором 6.5 ± 0.5 моль/дм3
(1)
HNO3 при объемном соотношении Т : Ж = 1 : 3 в
течение 24 ч. Подготовленные образцы высушива-
(2)
ли до постоянной массы на воздухе при комнатной
температуре.
(3)
Для изучения радиационной устойчивости
где m - масса воздушно-сухого образца анионита,
анионита AXIONIT VPA-2 подготовленные об-
г; V - объем воздушно-сухого образца анионита,
разцы облучали на установке «Исследователь»
см3; Vнаб - объем набухшего анионита, см3.
с источником гамма-излучения на основе 60Co с
Для оценки потенциальной сорбционной спо-
мощностью 0.14 Гр/с при комнатной температу-
собности облученных образцов анионита по
ре до получения ими поглощенной дозы, равной
отношению к плутонию измеряли ИК спектры
35, 350 и 1000 кГр. В условиях реального произ-
поглощения образцов анионита, получивших
водства радиационное поле воздействует не толь-
определенную поглощенную дозу гамма-излуче-
ко на сорбент, но и на систему сорбент-раствор,
ния и сравнивали со спектрами необлученного об-
поэтому в процессе облучения образцы анионита
разца. ИК спектры снимали с образцов анионита
находились в растворе 6.5 ± 0.5 моль/дм3 HNO3.
в нитратной форме с использованием ИК Фурье-
При облучении системы сорбент-раствор кроме
прямого механизма действия радиации на сорбент
спектрометра Nexus.
наблюдается и косвенный, который проявляется в
В экспериментах использовали реальные ре-
результате реакции молекулярных, радикальных
генерационные растворы с концентрацией азот-
РАДИОХИМИЯ том 62 № 3 2020
236
ЛЫЗЛОВА и др.
ной кислоты 6.5 ± 0.5 моль/дм3 и плутония 0.5 ±
0.5 ± 0.1 моль/дм3 HNO3. Раствор на десорбцию
0.2 г/дм3. Для стабилизации плутония в четыре-
подавали сверху вниз. Скорость фильтрации рас-
хвалентном состоянии в растворы добавляли ги-
твора составляла 1 к.о./ч. Объем десорбирующего
дразин до концентрации 0.1 г/дм3 и выдерживали
раствора составлял 6 или 12 к.о. В десорбате изме-
не менее 3 ч.
ряли концентрацию плутония.
Сорбционные эксперименты в статических ус-
Степень десорбции плутония из фазы сорбента
ловиях проводили при температуре окружающей
(φ, %) вычисляли по формуле
среды путем контактирования навески анионита,
(6)
получившего определенную дозу гамма-излуче-
ния, с аликвотой подготовленного к сорбции реге-
где mt - масса плутония в десорбате, мг; m0 -масса
нерационного раствора с известной концентраци-
плутония в фазе сорбента, мг.
ей плутония при объемном соотношении Т : Ж =
После десорбции для подготовки анионита к
1 : 10 в течение 3 ч. После окончания сорбции фазы
следующему циклу колонки промывали сверху
разделяли путем декантации раствора. В декантате
вниз раствором 6.5 ± 0.5 моль/дм3 HNO3. Объем
измеряли концентрацию плутония.
промывных растворов составлял 5 к.о. Скорость
Коэффициент распределения плутония Kd, см3/г,
фильтрации промывных растворов - 5 к.о./ч.
по результатам анализа вычисляли по формуле
В ходе проведения сорбции и десорбции прово-
(4)
дили пофракционный отбор фильтрата и десорба-
та для определения концентраций плутония.
где С0, С∞ - значения концентрации плутония в ис-
ходном и равновесном растворах соответственно,
Концентрацию плутония в исходном растворе,
мг/дм3; Vр - объем раствора, см3; m - масса сор-
в фильтратах и десорбатах определяли рентге-
бента, г.
но-гамма-спектрометрическим методом, концен-
трацию америция в исходном растворе и филь-
При проведении экспериментов в динами-
тратах
- гамма-спектрометрическим методом,
ческом режиме образцы анионита, получившие
концентрации азотной кислоты в исходном рас-
определенную дозу гамма-излучения, загружали
творе - потенциометрическим методом.
в две последовательно соединенные стеклянные
колонки. Объем анионита в каждой колонке со-
РЕЗУЛЬТАТЫ И ИХ ОБСУЖДЕНИЕ
ставлял 4 см3 - 1 колоночный объем (к.о.) Затем
При облучении сорбентов в воздушно-сухом
колонки промывали раствором 6.5 ± 0.5 моль/дм3
состоянии и в водных растворах в большинстве
HNO3 сверху вниз и извлекали плутоний из регене-
случаев наблюдаются изменения физических
рационного раствора до концентрации плутония в
свойств, что, в свою очередь, может приводить к
фазе сорбента не менее 35 ± 5 г/дм3 или до появле-
ния в фильтрате плутония с концентрацией более
изменению емкостных характеристик сорбента.
2.0 мг/дм3. Раствор на сорбцию подавали сверху
Результаты измерения гранулометрического
вниз. Скорость пропускания раствора составляла
состава облученных образцов анионита AXIONIT
не более 3 к.о./ч. Фильтрат после сорбции собира-
VPA-2 в сравнении с необлученным образцом при-
ли по фракциям и измеряли концентрацию плуто-
ведены в табл. 2.
ния в каждой фракции. Значения проскока плуто-
Результаты исследований показали, что при по-
ния в фильтрат (П, %) вычисляли по формуле
лучении анионитом поглощенной дозы гамма-из-
лучения от 35 до 1000 кГр наблюдается частич-
(5)
ное разрушение гранул сорбента. В облученных
образцах анионита фракция с размером гранул
По окончании сорбции колонки промывали
более 1.3 мм отсутствует, появляются фракции с
раствором 6.5 ± 0.5 моль/дм3 HNO3 сверху вниз
размером гранул от 0.2 до 0.4 мм. Однако, как вид-
для вытеснения исходного раствора.
но из данных, приведенных в табл. 3, облучение
Десорбцию плутония из фазы анионита про-
не приводит к образованию фракции с размером
водили раздельно с каждой колонки раствором
гранул менее 0.2 мм, которая может приводить к
РАДИОХИМИЯ том 62 № 3 2020
АДИАЦИОННАЯ УСТОЙЧИВОСТЬ ВИНИЛПИРИДИНИЕВОГО АНИОНИТА
237
Таблица 2. Гранулометрический состав необлученного и облученных образцов анионита AXIONIT VPA-2
Поглощенная доза
Объемная доля гранул, %
гамма-излучения, кГр
менее 0.2 мм
0.2-0.3 мм
0.3-0.4 мм
0.5-0.6 мм
1.0-1.3 мм
более 1.3 мм
0
0
0
0
0
0
100
35
0
5
0
65
30
0
350
0
4
0
64
32
0
1000
0
17
8
65
10
0
Таблица 3. Зависимость удельного объема набухшего анионита и коэффициентов набухания от величины погло-
щенной дозы гамма-излучения
Поглощенная доза
Kнаб
Vуд, см3/г
гамма-излучения, кГр
в Н2О
в HNO3a
Н2О → HNO3б
0
1.5
0.9
0.8
0.9
35
2.7
1.5
1.0
0.9
350
3.2
1.5
1.1
0.8
1000
4.2
1.8
1.3
0.9
a 6.5 ± 0.5 моль/дм3 HNO3.
б При переводе сорбента из набухшего в воде состояния в раствор 6.5 ± 0.5 моль/дм3 HNO3.
забиванию удерживающей сетки и осложнять про-
Результаты исследования набухания анионита
ведение процесса сорбции. Основная доля гранул
в воде и растворе азотной кислоты в зависимости
облученных образцов анионита имеет размер от
от величины поглощенной дозы гамма-излучения
0.5 до 1.3 мм.
приведены в табл. 3.
Следует отметить, что при получении анио-
Результаты исследований показывают, что на-
нитом AXIONIT VPA-2 дозы гамма-излучения,
бухание в воде и в растворе азотной кислоты облу-
равной 1000 кГр, его цвет меняется со светло-бе-
ченных образцов анионита увеличивается с увели-
чением дозы облучения, что, вероятно, связано с
жевого на ярко-желтый и появляется запах, харак-
процессами деструкции, происходящими в матри-
терный для аминов, что свидетельствует о значи-
це облученных образцов.
тельной деструкции анионита.
В большинстве случаев в набухшем сорбенте
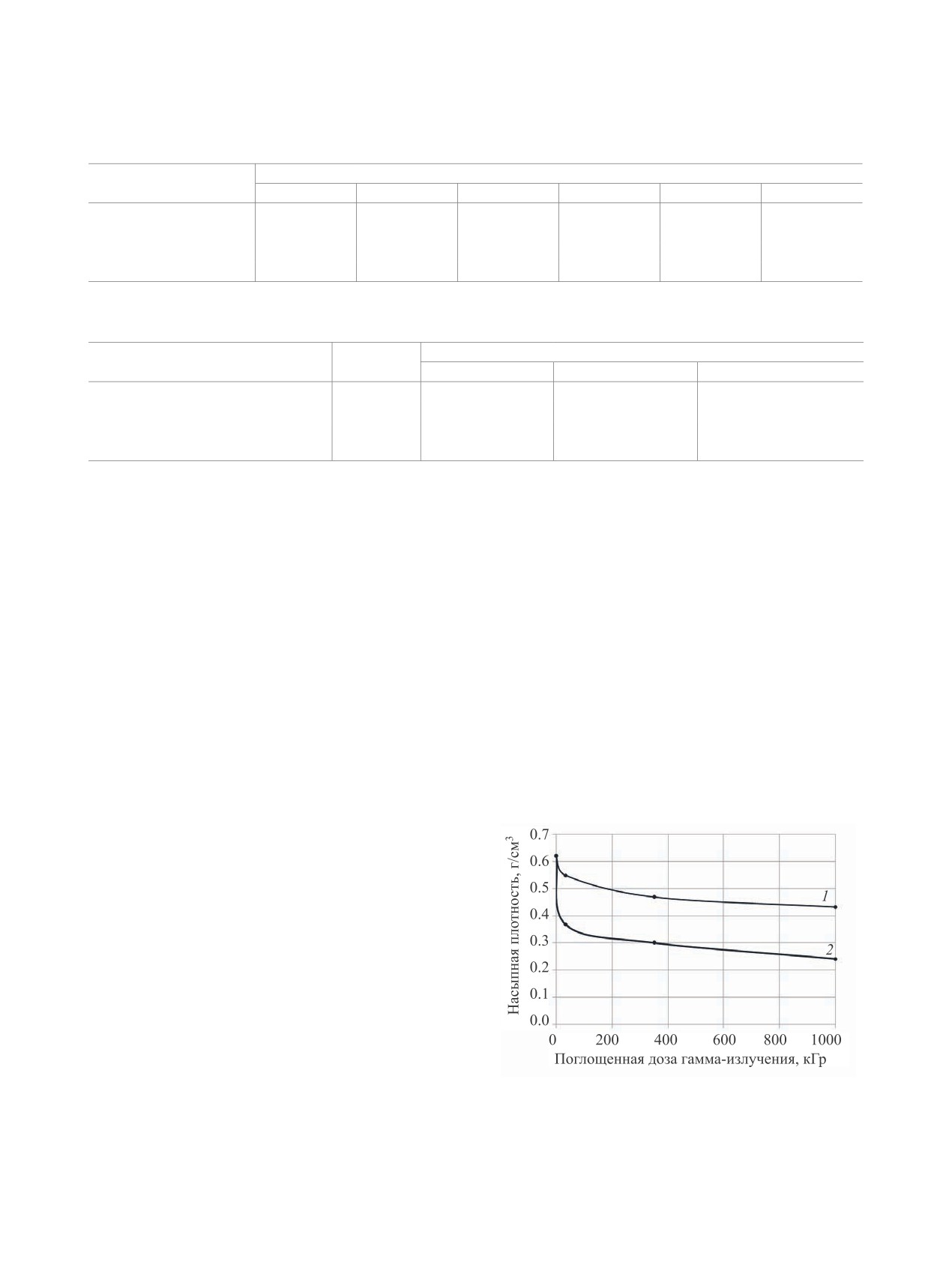
Зависимость насыпной плотности воздуш-
поперечные связи могут образовываться, но их ко-
но-сухого и набухшего образцов анионита от ве-
личество, как правило, мало, так как макромоле-
личины поглощенной дозы гамма-излучения при-
кула находится в напряженном состоянии, и цепи
ведена на рис. 1.
Полученные результаты показали, что с уве-
личением поглощенной дозы гамма-излучения
насыпная плотность образцов анионита снижает-
ся. При получении дозы гамма-излучения, равной
1000 кГр, происходит снижение насыпной плотно-
сти воздушно-сухого образца на 30%, набухшего -
на 53%.
Облучение системы сорбент-раствор может
также приводить к изменению способности сор-
бента к набуханию, что обусловлено протеканием
таких процессов, как сшивание и деструкция. Из-
менение набухания анионита может ограничивать
срок его эксплуатации, поскольку может приво-
дить к уплотнению слоя анионита в сорбционной
Рис. 1. Зависимость насыпной плотности анионита
колонне и увеличению гидродинамического со-
AXIONIT VPA-2 от поглощенной дозы гамма-излуче-
ния. Образец: 1 - воздушно-сухой, 2 - набухший в воде.
противления колонны.
РАДИОХИМИЯ том 62 № 3 2020
238
ЛЫЗЛОВА и др.
Рис. 2. ИК спектры поглощения образцов анионита
Рис. 3. Зависимость коэффициентов распределения (Kd)
AXIONIT VPA-2, получивших дозу гамма-излучения,
плутония на анионите AXIONIT VPA-2 от поглощенной
кГр: 1 - 0, 2 - 35, 3 - 350, 4 - 1000.
дозы гамма-излучения.
полимера отделены друг от друга молекулами рас-
неактивное состояние. Кроме того, не исключена
творителя. Рекомбинация макрорадикала сорбента
возможность разрыва связи C-N и деструкции
с радикалом растворителя более вероятна, чем ре-
полимерного каркаса матрицы, вследствие чего
комбинация двух макрорадикалов с образованием
вероятность образования связи функциональной
поперечной связи. Поэтому, как правило, сорбенты
группы и гексанитратного комплекса плутония
при облучении в воздушно-сухом состоянии сши-
снижается. Таким образом, ИК спектры показали,
что получение анионитом дозы облучения от 35 до
ваются, а радиолиз в водном растворе сопровожда-
1000 кГр может привести к значимому снижению
ется преимущественно деструкцией анионита [4].
сорбционной емкости по отношению к плутонию.
Установлено, что набухшие образцы анионита, по-
лучившие дозу гамма-излучения 35, 350, 1000 кГр,
Для оценки реальных сроков эксплуатации ани-
так же, как и набухший необлученный образец,
онита в сорбционных колоннах с точки зрения его
склонны к уменьшению объема на величину от 10
практического применения необходимо оценить
изменение емкостных характеристик в зависимо-
до 20% при контакте с раствором 6.5 ± 0.5 моль/дм3
сти от поглощенной дозы облучения.
HNO3 (при переводе в нитратную форму).
В результате облучения ионитов в процессе их
Полученные значения коэффициентов набуха-
промышленной эксплуатации могут наблюдаться
ния позволяют сделать вывод о том, что облучение
не только изменения их физико-химических и ги-
анионита AXIONIT VPA-2 до поглощенной дозы
дродинамических характеристик, но и снижение
1000 кГр не приведет к увеличению гидродинами-
коэффициентов распределения извлекаемого ком-
ческого сопротивления колонны.
понента и, как следствие, снижение эффективно-
ИК спектры поглощения необлученного и об-
сти сорбции. Снижение сорбционной способности
лученных образцов анионита приведены на рис. 2.
облученных ионитов обусловлено отщеплением и
Данные, приведенные на рис. 2, показывают,
разрушением функциональных групп, возникно-
что радиолиз анионита сопровождается появле-
вением новых групп и дополнительных сшивок.
нием полос поглощения при 1730, 1330, 1190 см-1.
Зависимость коэффициентов распределения плу-
Появление полос поглощения облученных образ-
тония на анионите от величины поглощённой дозы
гамма-излучения приведена на рис. 3.
цов при 1730 и 1190 см-1 указывает, скорее всего,
на деструкцию анионита с последующей реком-
Из данных, приведенных на рис. 3, видно, что
бинацией радикалов или его окисление с образо-
при облучении образцов анионита AXIONIT VPA-
ванием альдегидной группы C=О (окислительная
2 коэффициенты распределения плутония законо-
деструкция матрицы). Полоса поглощения при
мерно снижаются, однако даже при поглощенной
1330 см-1 указывает на появление гидроксипи-
дозе 1000 кГр остаются достаточно высокими.
ридинов. Образование гидроксипиридинов сви-
Результаты опытов по изучению влияния дозы
детельствует о переходе пиридинового азота в
гамма-излучения, поглощенной анионитом, на сор-
РАДИОХИМИЯ том 62 № 3 2020
АДИАЦИОННАЯ УСТОЙЧИВОСТЬ ВИНИЛПИРИДИНИЕВОГО АНИОНИТА
239
Таблица 4. Результаты сорбции плутония из регенерационных растворов и десорбции в динамическом режимеа
Поглощенная доза
Расчетная концентрация плутония в
Суммарный объем
П, %
φ, %
гамма-излучения, кГр
фазе сорбента, г/дм3
десорбата, к.о.
0
30-120
<0,1
6-12
85-100
35
65-110
0,3-0,7
6
70-100
350
50-65
0,2-0,7
6
85-100
1000
40-75
<0,1
6
75-95
а Концентрация плутония в растворе, поступающем на сорбцию, составляла 0.5 ± 0.2 г/дм3, азотной кислоты - 6.5 ± 0.5 моль/дм3.
Концентрация америция в растворе, поступающем на сорбцию, и в фильтрате составляла 2.0 ± 0.5 мг/дм3.
бцию плутония из реальных регенерационных
увеличением поглощенной дозы гамма-излучения
растворов и десорбцию в динамическом режиме
коэффициенты распределения плутония законо-
приведены в табл. 4.
мерно снижаются, однако, даже при поглощенной
дозе 1000 кГр остаются достаточно высокими.
В целом полученные результаты показали, что
эффективность сорбции плутония из регенераци-
Установлено, что образцы анионита AXIONIT
онных азотнокислых растворов на облученных до
VPA-2, облученные до доз 35, 350 и 1000 кГр, эф-
35-1000 кГр образцах анионита несколько сни-
фективно извлекают плутоний из регенерацион-
ных растворов с концентрацией плутония 0.5 ±
жается по сравнению с необлученным образцом.
0.2 г/дм3 и азотной кислоты 6.5 ± 0.5 моль/дм3,
Однако даже при достаточно высоком насыщении
поскольку при концентрации плутония в сорбенте
облученных образцов анионита проскок плутония
75 ± 35 г/дм3 проскок плутония в фильтрат не пре-
в фильтрат не превышает 1%.
вышает 1%.
Извлечение плутония из фазы образцов анио-
Таким образом, AXIONIT VPA-2 в качестве сор-
нита, облученных до поглощенных доз 35, 350 и
бента для извлечения плутония из азотнокислых
1000 кГр, проходит достаточно эффективно в 6 к.о.
регенерационных растворов на ПО «Маяк» может
раствора 0.6 ± 0.1 моль/дм3 HNO3.
заменить ВП-1Ап.
В условиях работы действующего на ПО
КОНФЛИКТ ИНТЕРЕСОВ
«Маяк» производства анионит AXIONIT VPA-2
можно считать радиационно-устойчивым мате-
Авторы заявляют об отсутствии конфликта
риалом, поскольку при требуемом насыщении
интересов.
плутонием образцов анионита, получивших дозу
СПИСОК ЛИТЕРАТУРЫ
гамма-излучения до 1000 кГр, концентрация плу-
тония в фильтрате не превышает установленных
1. Ионообменные материалы для процессов гидроме-
таллургии, очистки сточных вод и водоподготовки:
норм. Кроме того, в условиях цикличной работы
Справочник / Под ред. Б.Н. Ласкорина. М.: ВНИ-
промышленной сорбционной установки рассма-
ИХТ, 1983. 206 с.
триваемого производства поглощенная доза, полу-
2. Милютин В.В., Некрасова Н.А., Третьяков В.А., Кон-
ченная анионитом за один цикл сорбции, не пре-
друцкий Д.А. // Радиохимия. 2016. Т. 58, № 6. С. 548.
вышает 12 кГр.
3. Лызлова Е.В., Глухова А.В., Кондруцкий Д.А. // Ради-
В 2018 году были успешно проведены произ-
охимия. 2019. Т. 61, № 2. С. 122.
4. Егоров Е.В., Новиков П.Д. // Действие ионизирую-
водственные испытания сорбционной технологии
щих излучений на ионообменные материалы. М.:
извлечения плутония из регенерационных раство-
Атомиздат, 1965. 398 с.
ров с использованием анионита AXIONIT VPA-2.
5. Бартенев С.А., Зачиняев Г.М., Назин Е.Р., Лаза-
Данный анионит рекомендован к использованию
рев Л.Н., Калашников В.М., Романовский В.Н.,
на производстве.
Стрелков С.А., Фирсин Н.Г., Егоров Г.Ф., Хай-
дер М.Л. // Радиохимия. 2002. Т. 44, № 2. С. 146.
Таким образом, результаты, полученные в
6. Высокоостровская Н.Б., Калашников В.М., Николь-
ходе проведения исследований, показали, что с
ский Б.П. // Радиохимия. 1982. Т. 24. С. 563.
ростом поглощенной дозы эффекты, связанные с
7. Ворошилов Ю.А., Логунов М.В., Воронова М.П. //
деструкцией матрицы, усиливаются, наблюдается
Вопр. радиац. безопасности. 2013. № 2. С. 71.
частичное разрушение гранул сорбента, снижает-
8. Лызлова Е.В., Глухова А.В., Старовойтов Н.П.,
ся насыпная плотность образцов, увеличивается
Логунов М.В. // Вопр. радиац. безопасности. 2013.
набухание в воде и в растворе азотной кислоты. С
№ 2 (70). С. 57.
РАДИОХИМИЯ том 62 № 3 2020