РАДИОХИМИЯ, 2020, том 62, № 2, с. 151-156
УДК 66.067.8.081.3:546.776-026.63
СОРБЦИЯ РАДИЯ ИЗ ВОДОПРОВОДНОЙ ВОДЫ
НЕОРГАНИЧЕСКИМИ СОРБЕНТАМИ
© 2020 г.
Н. Д. Бетенеков*
Уральский федеральный университет им. Б. Н. Ельцина, 620002, Екатеринбург, ул. Мира, д. 19
*e-mail: ndbetenekov@urfu.ru
Получено 01.02.2019, после доработки 09.04.2019, принята к публикации 25.04.2019
С использованием радия-224, выделенного из генератора, представляющего собой раствор тория и
трилона Б с рН 6.5-7.0 (мольное соотношение 4:1), изучена сорбция радия из водопроводной воды неор-
ганическими сорбентами марки Т-3А, Т-5(400) и Т-5 (MnO2) в динамических и статических условиях.
Ключевые слова: неорганические сорбенты, генераторы короткоживущих изотопов, радий, торий
DOI: 10.31857/S0033831120020070
В литературе отсутствуют сведения о сорбции
трованной водопроводной воды составил 20 л.
радия сорбентами марки Термоксид. В то же время
Задаваемая концентрация бария в воде 1 мг/л.
из анализа характеристик этих сорбентов следует
Барий вводили в виде соли BaCl2·2H2O. Исходное
ожидать их высокой специфичности по отноше-
значение рНисх = 7.95.
нию к радию и другим радионуклидам радиоак-
Раствор из канистры подавали на три колонки,
тивных семейств урана и тория. В то же время
загруженные тремя сорбентами: Т-3А, Т-5 и Т-5
среди источников водоснабжения Екатеринбурга
(MnO2) соответственно. Их влажность составляла
широко используют воду из глубоководных сква-
37.2, 1.4 и 8.4% соответственно.
жин, в которых можно ожидать повышенные со-
Исходные данные по этим сорбентам приведе-
держания изотопов радия и других радионуклидов
радиоактивных семейств урана и тория. В данной
ны в табл. 1.
статье предпринята попытка восполнить этот про-
После пропускания определенного объема
бел.
воды через каждую колонку (примерно 1 л) в ка-
Для решения поставленной задачи по изучению
ждую колонку подавали определенный объем
сорбции радия использовали водопроводную воду
(10 мл) раствора радия-224 в качестве радиоактив-
г. Екатеринбурга. Предварительно воду отстаива-
ной метки.
ли и отфильтровывали для удаления механиче-
Для того чтобы получить радиохимически
ских взвесей и железа, насколько это возможно.
чистый радий-224, его выделение из раствора то-
Фильтрование проводили через обычный бумаж-
рия и Трилона Б выполняли в соответствии с реко-
ный фильтр. Так как содержание радия в водопро-
мендациями [1] по следующей схеме.
водной воде слишком мало для прямого опреде-
ления, а пропускание меченого радиоактивного
Таблица 1. Исходные данные по используемым сор-
раствора и, соответственно, накопление большого
бентам
уровня активности в фазе сорбента противоречит
Т-5
Сорбент
Т-3А
Т-5
требованием радиационной безопасности, необхо-
(MnO2)
димо было внести стабильный изотоп ближайшего
Масса сорбента, г
1.300
1.27
1.38
по химическим свойствам аналога радия - бария.
Высота загрузки h, см
6.00
6.00
6.50
Опыты проводили в несколько этапов.
Диаметр колонки d, см
0.60
0.60
0.60
Объем загруженного сорбента
1.69
1.69
1.84
Динамические эксперименты. Методика
Vс, мл
экспериментов. На первом этапе объем отфиль-
151
152
БЕТЕНЕКОВ
Сорбция радия из раствора тория (V = 0.5 л) на
Б измеряли скорость счета сорбента, фильтра и
сорбенте Т-5 (масса сорбента 1 г) в динамических
промывных вод после наступления радиоактивно-
условиях. Промывка сорбента сначала Трилоном
го равновесия. Полученные данные подтвержда-
Б (10 мл), затем водой (10 мл). Десорбция соля-
ют наличие радия в осадках. Это означает, что он
ной кислотой 1 М, V= 20 мл. Выпаривание элю-
соосаждается с осадками гидроксида тория или
ата радия-224 до сухого остатка на песчаной
гидроксида титана, образовавшимися в процессе
бане. Измерение скорости счета сухого остатка
нейтрализации раствора выщелачивания. При про-
на гамма-спектрометре. Время измерения 300 с.
мывке небольшая часть радия вымывается водой и
Выщелачивание сухого остатка водой из канистры
трилоном Б, еще часть остается в сорбенте за счет
в объем 40 мл (или какой либо другой определен-
неполной десорбции.
ный объем). Измерение рН раствора. Если рН на-
Измерение скорости счета фильтра, промыв-
ходится в кислой области, то раствор необходимо
ных вод и сорбента через 30 сут (в момент уста-
нейтрализовать до рН 5.0-5.5. При этом возмож-
новлении радиоактивного равновесия радия и
но выпадение осадка гидроксидов титана и тория.
тория-228) позволяет сделать выводы о том, что
Осадок необходимо отфильтровать с помощью бу-
образующийся осадок содержит гидроксид тория.
мажного фильтра «синяя лента». Раствор нейтра-
Достаточно много тория содержится в промывных
лизовали до рН 7.5-8.0 (рН воды). Измеряли ско-
водах, что говорит о том, что Трилон Б вымывает
рость счета раствора с целью проверки, насколько
торий из сорбента.
полно выщелачивается осадок. Подача раствора на
Таким образом, использовалась следующая ме-
колонки (предварительно раствор делили на 4 рав-
тодика исследования сорбции радия неорганиче-
ные части, три из которых подавали на колонки, а
скими сорбентами из водопроводной воды.
четвертую оставляли в качестве эталона).
Пропускают водопроводную воду, содержащую
Промывка сорбента раствором Трилона Б необ-
барий в качестве неизотопного носителя радия, че-
ходима для того, чтобы по возможности вымыть
рез колонки в объеме около 1 л. В каждую колонку
торий с фазы сорбента, который сорбировался
подают раствор, содержащий радий-224, в объеме
вместе с радием. Торий с Трилоном Б образует
10 мл (предварительно остатки воды спускают до
прочные комплексы. Как показывают эксперимен-
уровня сорбента). Элюат собирают в отдельную
ты, именно на данной стадии отделяется большое
емкость и оставляют для установления равнове-
количество сорбированного вместе с радием тория.
сия 224Ra-212Pb (2-3 сут). Снова через колонку
Выпаривание проводится, чтобы снизить кис-
пропускают заданный объем водопроводной воды,
лотность будущего раствора, так как десорбция
содержащей барий. После пропускания заданного
объема водопроводной воды на колонки подают по
проводится соляной кислотой, значение рН элюа-
10 мл меченой воды. Последовательные циклы вы-
та без выпаривания находится в кислой области.
полняют до завершения эксперимента.
Чтобы оценить степень выщелачивания сухого
радиоактивного остатка, в ходе эксперимента до-
При организации фильтрации водопроводной
полнительно проводили измерения сухого остатка
воды через колонки, и соответственно, сорбции ра-
раствора после выщелачивания и пустого стакана
дия на сорбентах скорость фильтрации устанавли-
из-под этого раствора. Опыты показали, что сред-
вали на уровне 1 капля за 10 с. С такой скоростью
нее значение степени выщелачивания радиоактив-
раствор в объеме 5 мл проходит через колонку в
ного сухого остатка водопроводной водой с содер-
среднем за 8.5 мин. Следовательно, можно опре-
жанием бария до 10 мг/л объемом 40 мл составля-
делить скорость фильтрации в мл/мин: v = V/t =
ет 96.4% . Это означает, что радий в достаточной
2.08 мл/(мин·см2) с учетом того, что диаметр коло-
мере переходит в раствор. Содержание тория и
нок d = 6 мм, площадь сечения 0.2826 см2.
трилона Б в растворе радиоактивной метки мож-
Такая скорость является типичной для хромато-
но оценить лишь качественно на уровне следовых
графии с участием ионообменных сорбентов.
количеств.
На втором этапе весь эксперимент проводили
Также в процессе эксперимента после каждо-
по той же схеме, за исключением того, что концен-
го выделения радия из раствора тория и Трилона
трацию бария в водопроводной воде повысили до
РАДИОХИМИЯ том 62 № 2 2020
СОРБЦИЯ Р
АДИЯ ИЗ ВОДОПРОВОДНОЙ ВОДЫ
153
1.0
0.8
0.6
2
0.4
0.2
3
1
0.00
10
20
30
40
50
mBa, мг
Рис 1. Зависимость проскока радия через загрузку со-
рбентов (1) Т-3А, (2) Т-5, (3) Т-5 (MnO2) от пропуска-
Рис 2. Зависимость проскока радия через загрузку сор-
емого объема воды.
бентов (1) Т-3А, (2) Т-5, (3) Т-5 (MnO2) от массы бария.
10 мг/л. Общий объем воды с заданной концентра-
где ДОЕ - достигнутая динамическая емкость со-
цией составил 5 л. Исходное значение рНисх = 7.67.
рбента, мг Ba/мг сорбента; mBa - масса поглощен-
На следующем этапе намеревались еще повы-
ного бария, мг; mсорб - масса сорбента, мг;
сить концентрацию бария, но опыт показал, что в
Kконц= В1·Vпр/mсорб,
(5)
этом случае барий в водопроводной воде выпадает
где Kконц - коэффициент концентрирования, мл/г;
в осадок. Максимальная концентрация бария, ко-
Vпр - объем пробы, мл; mсорб - масса сорбента, г.
торую удалось достичь, составила 11.7 мг/л. Это
В начале всех экспериментов определяли влаж-
значение было определено методом рентгенофлуо-
ность сорбентов. Для этого на аналитических весах
ресцентного анализа. Объем водопроводной воды
взвешивали навески каждого из сорбентов массой
с соответствующей концентрацией 3.5 л.
m0 = 1 г. Помещали сорбенты массой m0 в фарфо-
Далее готовили раствор с концентрацией
ровые тигли и прокаливали в печи при 110°С 3 ч.
10 мг/л. Объем 5 л, рНисх = 7.83.
Затем определяли массу высушенного сорбента mi
Обработку экспериментальных данных прово-
и рассчитывали влажность по формуле
дили по формулам:
(6)
П = Ii /I0,
(1)
Сорбция радия в динамических условиях. Как
где П - проскок радия через загрузку сорбента; Ii -
уже было сказано, в эксперименте использовали
скорость счета фильтрата, имп/с; I0 - скорость сче-
три марки сорбентов: Т-3А, Т-5, Т-5 (MnO2).
та эталона, имп/с;
По полученным экспериментальным данным
S = 1 - П,
(2)
построили графики (рис. 1, 2) в координатах I/I0-V,
где S - степень сорбции;
где отношение I/I0 характеризует проскока радия
n
через загрузку колонки, V - суммарный объем
∑
I
V
i i
i=1
(3)
жидкости, пропущенной через колонки, и в коор-
B
1
=1−
,
n
динатах I/I0-mBa, характеризующих зависимость
∑
I
V
0i i
проскока радия от массы бария, поглощенного со-
i=1
где В1 - общий выход (степень извлечения) на ста-
рбентом.
дии сорбции; Ii - скорость счета фильтрата, имп/с;
Из рис. 1 и 2 видно, что в первых объемах филь-
трата (не менее 6 л), когда концентрация нерадио-
Vi - объем фракции при сорбции (Vi =10 мл); I0i -
активного аналога радия - бария в пропускаемой
скорость счета эталона, имп/с; n - число фракций
водопроводной воде составляла 1 мг/л, для всех
(n =15);
трех сорбентов наблюдается близкое к 100% извле-
ДОЕ = mBa/mсорб,
(4)
чение радия. С увеличением концентрации бария в
РАДИОХИМИЯ том 62 № 2 2020
154
БЕТЕНЕКОВ
Таблица 2. Данные по емкости сорбентов и коэффици-
20 мл. Каждые 2 мл фильтрата отбирали в отдель-
ентам концентрирования
ную емкость с плотно закрывающейся крышечкой
Т-5
Т-5
и оставляли в течение 2-3 сут для установления
Параметр
Т-3А
(400°C)
(MnO2)
радиоактивного равновесия, после чего измеряли
ДОЕ, мг Ba/г сорбента
37.57
33.66
33.05
на гамма-спектрометре со сцинтилляционным де-
тектором.
Kконц, мл пробы/г сорбента
7617
6521
6335
Экспериментальные данные обрабатывали по
Выход на стадии сорбции В1
0.86
0.89
0.91
формулам:
пропускаемой воде до 10 мг/л проскок радия через
(7)
колонку в следующих порциях фильтрата начина-
ет расти и достигает 40% для сорбентов Т-5 и Т-5
(MnO2) и 60% - для Т-3А. Дальнейшее снижение
где Dj - степень десорбции; Ij - скорость счета од-
проскока связано с временным прекращением экс-
ной фракции, имп/с; Iсорб - скорость счета сорбен-
перимента из-за его большой длительности.
та, имп/с;
m
Данные наблюдения позволяют предположить,
B
D
,
(8)
2
= ∑
j
что в процессе сорбции радия неорганическими
1
j=
сорбентами значительную роль играет процесс
где В2 - выход (степень извлечения) на стадии де-
внутридиффузионного торможения. За период
сорбции, m - число фракций при десорбции (m = 7);
остановки эксперимента происходит высвобожде-
ние поверхностных наиболее доступных сорбци-
Вобщ = В1·В2,
(9)
онных центров за счет диффузии радия вглубь гра-
где Вобщ - выход радия в сорбционном процессе в
нулы сорбента, и при возобновлении эксперимента
целом.
проскок радия в фильтрат снова уменьшается.
Из представленных экспериментальных и рас-
После возобновления опытов проскок снова
четных данных (рис. 3) видно, что при элюирова-
начинает расти, что говорит о близости сорбентов
нии радия с сорбентов всех трех марок раствором
к насыщению. Исходя из данных можно предпо-
1 моль/л HCl полного вымывания радия не проис-
ложить, что емкость сорбента Т-3А окажется не-
ходит. Выход радия в фильтрат для Т-3А состав-
сколько ниже по сравнению с другими сорбентами,
ляет 62%, для Т-5 - 63%, для Т-5(MnO2) - 58%.
так как на один и тот же момент времени проскок
Основное количество радия вымывается первыми
радия через этот сорбент на 20% больше. Однако в
порциями элюента. Далее вымывание радия про-
рамках данного эксперимента полного насыщения
исходит очень медленно.
сорбентов радием достичь так и не удалось.
Из вышесказанного следует, что для достиже-
Предполагая, что радий является полным ана-
ния более эффективной десорбции необходимо
логом бария, по полученным данным становится
продолжить поиск условий вымывания радия. При
возможным оценить достигнутую емкость сорбен-
последующих попытках проведения десорбции
тов по барию (радию) и коэффициент концентри-
возможно увеличение концентрации кислоты, ис-
рования [2] (табл. 2).
пользуемой в качестве элюента, до 2-4 моль/л.
Однако окончательное заключение можно сде-
Общий выход радия в сорбционном процессе в
целом составил: для Т-3А - 54%, для Т-5 - 56%,
лать лишь при достижении 100%-ного насыщения
для Т-5(MnO2) - 53%. Эти результаты свидетель-
сорбентов, что требует дальнейшего проведения
ствуют о том, что в целом в динамических услови-
экспериментов. Следует отметить высокие значе-
ях все сорбенты ведут себя одинаково.
ния коэффициентов концентрирования (не менее
6×103 мл/г), что свидетельствует в пользу высокой
Статические эксперименты. Сорбция в стати-
специфичности неорганических сорбентов по от-
ческих условиях исключает направленное движе-
ношению к радию.
ние сорбента и очищаемого раствора относитель-
но друг друга и предполагает временный разовый
Десорбция радия в динамических условиях.
контакт фаз (при перемешивании) с последующим
Десорбцию радия проводили 1 моль/л HCl. Объем
их разделением.
раствора HCl, пропускаемого через колонку в ка-
честве элюента, должен быть не менее 10-20 коло-
Проблема при изучении процессов сорбции
ночных объемов, что составляет приблизительно
радия в статических условиях заключается в ко-
РАДИОХИМИЯ том 62 № 2 2020
СОРБЦИЯ Р
АДИЯ ИЗ ВОДОПРОВОДНОЙ ВОДЫ
155
1.0
1.0
0.8
4
0.6
0.8
2
5
6
0.6
0.4
3
1
0.4
0.2
3
2
1
0.2
0.0
0
5
10
15
20
0.0
V, мл
0
2
4
6
8
10
12
14
16
Рис. 3. Дифференциальные и интегральные выход-
Время, сут
ные кривые десорбции радия в динамических усло-
виях: (1) Т-3А (дифференц.), (2) Т-5 (дифференц.),
Рис. 4. Зависимость сорбции радия сорбентами
(3) Т-5(MnO2) (дифференц.), (4) Т-3А (итегр.), (5) Т-5
(1) Т-3А, (2) Т-5 и (3) Т-5 (MnO2) от времени контакта
(итегр.), (6) Т-5(MnO2) (итегр.).
фаз в статических условиях.
ротком периоде полураспада 224Ra, используемого
лона и растворов после предварительного разде-
в качестве радиоактивной метки (3.6 сут). Из-за
ления фаз, далее вновь ставили на лабораторный
встряхиватель до следующего измерения.
этого возникают сложности с измерением его ско-
рости счета через продолжительный период вре-
Измерения проводили через 3, 5, 7 сут контакта
мени.
фаз. На седьмой день в каждую емкость добавля-
ли радиоактивную метку объемом 5 мл, после чего
Так как и эталон, и растворы, отделенные от
растворы вновь оставляли до наступления рав-
сорбентов, измеряли каждый раз одновременно,
новесия. Следующие измерения скорости счета
накопление и распад шли одинаково, поэтому пе-
проводили на 10-й, 12-й и 14-й день после начала
ресчета, учитывающего распад радия-224, не про-
эксперимента.
изводили.
Результаты сорбции представлены на рис. 4.
Влияние типа сорбента и времени контакта
По результатам эксперимента видно, что сорбент
фаз на сорбцию радия. Для исследования постав-
марки Т-3А заметно уступает остальным сорбен-
ленной задачи была подготовлена метка радия по
там по достигнутому значению степени сорбции
радия. В случае всех трех сорбентов сорбционное
способу, описанному выше. Для выщелачивания
равновесие достигается по истечении 4-5 сут; сле-
сухого остатка использовали отфильтрованную
довательно, для получения равновесных характе-
водопроводную воду с концентрацией стабильно-
ристик все измерения желательно проводить через
го аналога радия (бария) 3.5 мг/л объемом 80 мл.
данный промежуток времени.
После выщелачивания раствор отфильтровали и
Влияние рН на сорбцию радия в статических
установили значение рН раствора на уровне 7.03,
условиях. Для проведения эксперимента в случае
что соответствует рН водопроводной воды.
каждого сорбента готовили серию растворов с рН
Полученный раствор разделили на 4 одинако-
от 2 до 8. Для подготовки каждой серии использо-
вых порции по 20 мл, каждую из которых налили в
вали 6 фторопластовых пробирок с крышечками.
отдельную емкость. Все емкости были одинаковой
Для исследования поставленной задачи исполь-
геометрии с плотно закрывающимися крышками.
зовали отстоянную и отфильтрованную водопро-
Затем одну порцию раствора оставляли в качестве
водную воду Екатеринбурга, в которую предвари-
эталона, а в оставшиеся добавляли по навеске со-
тельно был внесен барий в виде соли BaCl2·2H2O.
рбента массой 40 мг. Для сравнения взяты навески
Концентрация бария 10 мг/л.
трех сорбентов: Т-3А, Т-5, Т-5 (MnO2).
Выделение радия с целью получения радио-
Плотно закрытые колбы ставили на лабора-
активной метки проводили по описанному выше
торный встряхиватель и оставляли на 3 сут. Затем
способу. Выщелачивание сухого остатка, содер-
проводили первое измерение скорости счета эта-
жащего радий-224, проводили подготовленной во-
РАДИОХИМИЯ том 62 № 2 2020
156
БЕТЕНЕКОВ
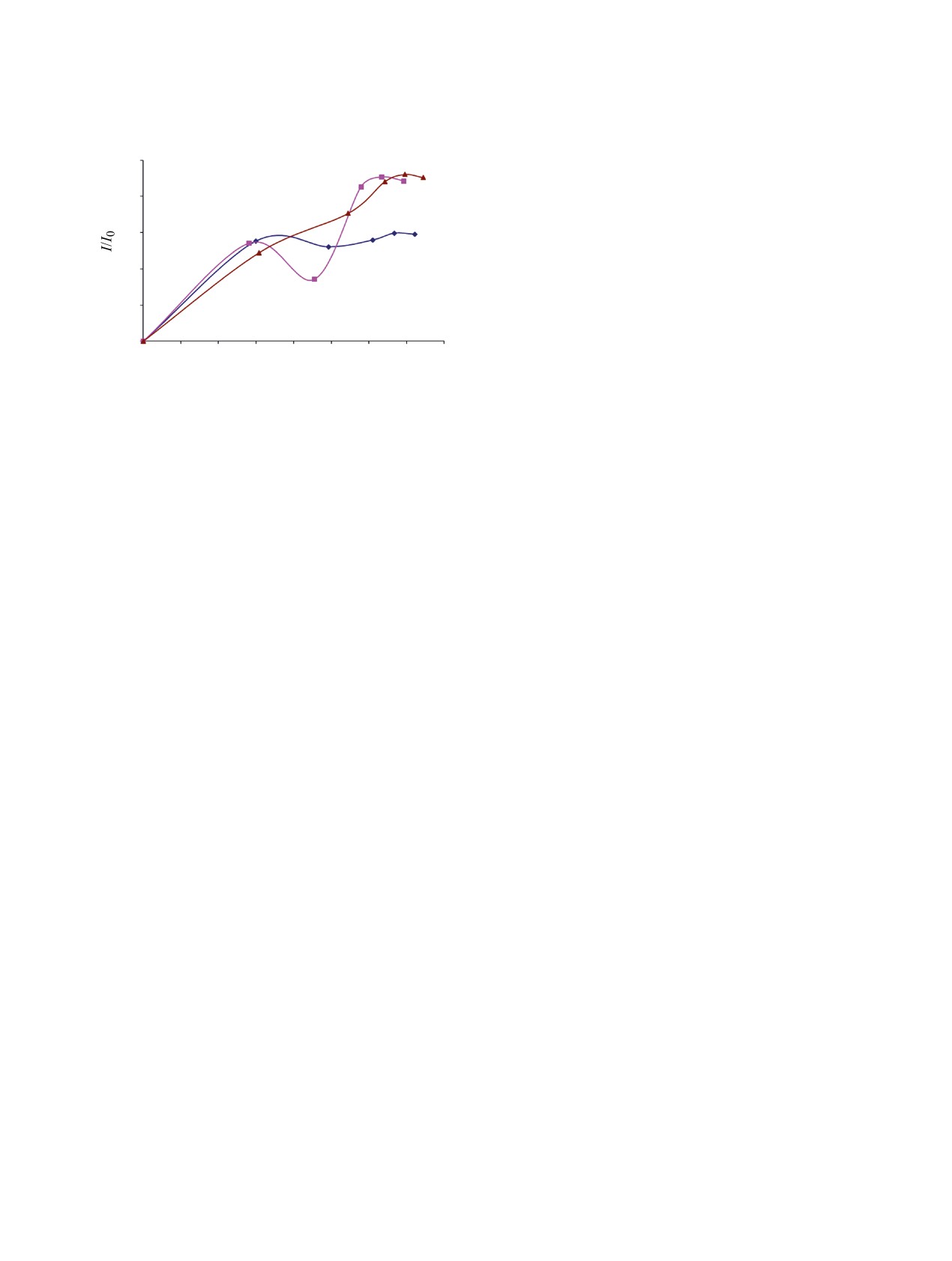
Ход зависимости степени сорбции радия от рН
1.0
3
в случае сорбента марки Т-5 повторяет ход кривой
титрования данного сорбента. Минимум на кри-
0.8
2
вой сорбции радия сорбентом Т-5 подтверждает
амфотерные свойства данного сорбента, а также
0.6
1
может свидетельствовать о наличии различного
0.4
рода сорбционных центров. В случае Т-5 с нане-
сенным на него слоем MnO2 подобного минимума
0.2
не наблюдается, что может быть связано с тем, что
слой MnO2 препятствует сорбции радия на опре-
0.0
деленных сорбционных центрах, работающих в
0
1
2
3
4
5
6
7
8
области рН около 5. Увеличение сорбции радия с
pH
увеличением рН связано с увеличением степени
диссоциации ионообменных центров сорбента
Рис. 5. Зависимость сорбции радия сорбентами
и снижением конкуренции со стороны ионов во-
(1) Т-3А, (2) Т-5 и (3) Т-5 (MnO2) от рН, время контакта
дорода при уменьшении кислотности раствора.
фаз 5 сут.
Максимальное извлечение целевого компонента в
твердую фазу наблюдается при рН 6-7, что совпа-
допроводной водой в объеме 70 мл. Такой объем
дает с литературными данными. В этой же обла-
необходим для приготовления серии растворов с
сти рН с увеличением времени контакта фаз от 3
заданными значениями рН в случае каждого сор-
до 5 сут наблюдается систематическое увеличение
бента. Измеряли исходное значение рН получен-
коэффициента распределения радия от величин,
ного меченого радиоактивного раствора.
близких к 102 мл/г, к величинам на уровне 103 мл/г.
После измерения кислотности раствора из
Это еще раз подтверждает, что по истечении 5 сут
него отбирали первые 11 мл, наливали их в под-
достигается сорбционное равновесие системы, и
писанную фторопластовую пробирку и оставля-
величина степени сорбции извлечения радия при-
ли в качестве эталонного образца. Затем с помо-
ближается к максимальному значению (100%).
щью растворов NaOH или HCl устанавливали рН
ЗАКЛЮЧЕНИЕ
от 2 до 8, отбирали следующие 11 мл и наливали
Исследован процесс сорбции радия-224 неор-
их в другую пробирку с подписанным значением
ганическими сорбентами марок Т-3А, Т-5 (400°С)
рН. Далее по той же схеме устанавливали другие
и Т-5 c нанесенным слоем MnO2 в динамических
значения рН в заданном диапазоне и наливали по
и статических условиях в зависимости от време-
11 мл в оставшиеся 4 пробирки.
ни и кислотности раствора. Полученные резуль-
На аналитических весах взвешивали 5 навесок
таты свидетельствуют, что сорбенты марок Т-5 и
сорбента определенной марки по 50 мг каждая.
Т-5 (MnO2) на основе гидроксида титана являются
Сорбент помещали во все фторопластовые про-
перспективными для сорбционного концентриро-
бирки за исключением той, в которой находится
вания радия-224 из природных вод в методах их
эталонный раствор.
радиохимического анализа.
Пробирки устанавливали на лабораторный
КОНФЛИКТ ИНТЕРЕСОВ
встряхиватель для установления сорбционного
Авторы заявляют об отсутствии конфликта
равновесия. Через 2-3 сут определяли равновес-
интересов.
ное значение рНр в каждой колбе. Затем измеряли
скорость счета в каждой пробирке на сцинтилля-
СПИСОК ЛИТЕРАТУРЫ
ционном гамма-спектрометра в течение 200 с.
1. Бетенеков Н.Д. // Радиохимия. 2018, т. 60, N 5,
Коэффициент распределения Kd и степень со-
c. 472.
рбции S рассчитывали так же, как в предыдущих
2. Шарыгин Л.М. Термостойкие неорганические сор-
экспериментах. Результаты приведены на рис. 5.
бенты. Екатеринбург: УрО РАН, 2012. 300 с.
РАДИОХИМИЯ том 62 № 2 2020