РАДИОХИМИЯ, 2020, том 62, № 2, с. 142-150
УДК 66.067.8.081.3: 546.776 - 026.63
СЕЛЕКТИВНАЯ СОРБЦИЯ РАДИЯ ИЗ РАСТВОРОВ
ТОРИЯ С ТРИЛОНОМ Б НЕОРГАНИЧЕСКИМИ
СОРБЕНТАМИ
© 2020 г.
Н. Д. Бетенеков*
Уральский федеральный университет им. Б. Н. Ельцина, 620002, Екатеринбург, ул. Мира, д. 19
*e-mail: ndbetenekov@urfu.ru
Получено 01.02.2019, после доработки 09.04.2019, принята к публикации 25.04.2019
Предложен генератор радия-224 на основе нейтрального раствора тория с трилоном Б с мольным отно-
шением ЭДТА:торий = 4:1, изучены свойства генератора и показана его эффективность для получения
радия-224 в качестве радиоактивного отметчика.
Ключевые слова: неорганические сорбенты, генераторы короткоживущих изотопов, радий, торий
DOI: 10.31857/S0033831120020069
В нашей предыдущей работе [1] основное вни-
ния. Радий-228 выделяется из ториевых препара-
мание уделено обоснованию нового метода ра-
тов совместно с радием-224, который относитель-
дионуклидной диагностики процесса сорбции с
но быстро распадается, и в препарате остается
использованием подсемейства 224Ra и альфа-спек-
практически чистый 228Ra.
трометрии, который позволяет отличать диффу-
Чтобы отслеживать поведение радия в про-
зию сорбата в транспортных порах от диффузии в
цессе сорбции из природных вод необходимо ис-
регулярном кристаллическом теле. В эксперимен-
пользовать радиоактивные метки для повышения
тах [1] и методах радиохимического анализа [2]
активности радия до значимого уровня. В каче-
использовали тонкослойные неорганические сор-
стве метки можно использовать любой изотоп ра-
бенты MnO2-ТАЦ, MnO2-ПЭ и Ra-Nucfilm.
дия. В данной работе используется изотоп 224Ra.
Перспективным для выделения радия явля-
Получить данный изотоп можно с помощью изо-
ется использование неорганических сорбентов,
топного генератора на основе раствора тория. Это
поскольку органические иониты в условиях боль-
дает возможность непрерывно извлекать посто-
шого α- и γ-ионизирующего излучения изменяют
янно накапливающийся короткоживущий радио-
свойства, что приводит к ухудшению их работы.
нуклид радий-224 при соблюдении соответству-
Неорганические сорбенты в свою очередь прояв-
ющих условий в течение достаточно длительного
ляют более высокую специфичность по отноше-
времени.
нию к радию и наиболее высокую радиационную
В большинстве случаев изотопные генераторы
и термическую устойчивость. В качестве таких со-
представляют собой небольшую хроматографи-
рбентов могут выступать оксид алюминия, фосфат
ческую колонку с поглощенным на сорбенте ма-
циркония, цеолиты, оксиды и гидроксиды много-
теринским сравнительно долгоживущим радиону-
валентных металлов.
клидом, при распаде которого генерируется дочер-
Препараты изотопов радия 228Ra, 224Ra и 223Ra
ний. Выбор того или иного способа приготовления
могут быть изготовлены в любой радиохимиче-
генератора зависит от физических свойств сорбен-
та, от целей использования генератора и т. д.
ской лаборатории. Радий-224 может быть выде-
лен из старых препаратов тория или радиотория
Однако в некоторых случаях, особенно когда
(228Th), предварительно выделенного из 228Ra.
имеют дело с высокими удельными активностями
Радий-223 можно выделить из препаратов акти-
или концентрациями альфа-излучателей или ког-
142
СЕЛЕКТИВНАЯ СОРБЦИЯ Р
АДИЯ ИЗ РАСТВОРОВ ТОРИЯ С ТРИЛОНОМ Б
143
(а)
(б)
Z
Элемент
Изотопы
16
1
2
14
3
90
Th
232Th
228Th
5
1.4×1010лет
β
1.912 лет
12
7
89
Ac
α
228Ac
6
10
6.15 ч
4
8
88
Ra
228Ra
228Ra
5.7 лет
3.632 дней
6
87
Fr
224Fr
4
3.33 м
2
86
Rn
220Rn
0
56.6 с
0
2000
4000
6000 8000 10000
85
At
216At
Е, кэВ
1×10
-4 c
84
Po
216Po
212Po
0.145 с
299 нс
83
Bi
212Bi
60.55 м
82
Pb
212Pb
10.64 ч
208Pb
81
Tl
208Tl
3.05 м
Рис. 1. (а) Семейство 232Th [3], (б) Альфа-спектр 20 мкл раствора тория-232 (цифрами отмечены ППП: 1 - 232Th; 2 - 228Th;
3 - 224Ra; 4 - Bi-212; 5 - 220Rn; 6 - Po-216; 7 - Po-212).
да предполагается длительный срок эксплуатации
Помимо разделения радия и тория при приго-
генератора, предпочитают в качестве генератора
товлении изотопного генератора радия-224 ста-
использовать растворы с материнским изотопом с
вится задача предварительного отделения 228Ra,
тем, чтобы избежать радиационно-химических по-
который является дочерним изотопом
232Тh
вреждений сорбента.
(рис. 1а), из общего раствора. В исследователь-
1. Генератор радия на основе раствора тория
ской работе крайне нежелательно использовать
и трилона Б. Радий-224 является пятым радиону-
столь долгоживущий изотоп (период полураспада
клидом ряда 232Тh и образуется в результате α-рас-
радия-228 равен 6.7 лет).
пада своего предшественника 228 Тh с периодом
Для отделения тория от 228Ra и 224Ra исполь-
полураспада 1.90 лет:
зуют сорбент типа Т-3А. Он представляет собой
228
228
гранулированный по золь-гель технологии фосфат
232
α
β
Th

10
→
Ra
→
Ac
1.9×10
лет
6.7 лет
цирконила. Т-3А работает как слабокислотный ка-
228
224
тионит, начиная со слабокислой области (рН 4-5).
β
α
α

Th
→
Ra
→
6.13 ч
1.9 лет
3.4 сут
На стадии сорбции при рН 6-7 этот сорбент про-
В ходе выполнения данной работы использо-
являет себя селективным образом по отношению
вали только неорганические сорбенты, так как
к ионам радия-224 и 228. Ионы тория остаются
они проявляют более высокую специфичность по
в растворе в присутствии лигандов, с которыми
отношению к радию в нейтральных растворах, а
они образуют прочные комплексные соединения.
также наиболее высокую радиационную и терми-
В качестве лиганда можно использовать трилон Б
ческую устойчивость. Для создания нейтрального
(ЭДТА).
значения рН водного раствора тория использо-
ZrO(H2PO4)2 + Ra2+ = ZrO(RaPO4)2 + 2H+,
вали трилон Б для связывания тория в прочное
ТiO(OH)2 +Ra2+ = TiO3Ra +2H+.
комплексное соединение и раствор аммиака или
натриевой щелочи для нейтрализации избыточной
Из уравнений реакций видно, что с увеличе-
кислотности до рН 6-7.
нием концентрации Н+-ионов, т. е. с уменьшени-
РАДИОХИМИЯ том 62 № 2 2020
144
БЕТЕНЕКОВ
ем рН, коэффициент распределения радия падает.
весия, т. е. когда периоды полураспада дочернего и
Таким образом, сорбцию радия необходимо ве-
материнского изотопов соизмеримы, определяется
сти в нейтральной или слабощелочной области.
следующим уравнением:
Подобным образом ведут себя аналоги радия -
(λ
−λ
)τ
A
/A
=[λ
/(λ
−λ
)][1e
1
2
].
(3)
2
1
2
2
1
барий, кальций [2]. При этом нужно учитывать,
Отношение А2/А1 возрастает со временем τ и
что значительное повышение рН раствора может
стремится к предельному значению:
привести к гидролизу тория, что при достаточно
большой его концентрации приведет к образова-
(A2/A1)пред = λ2/(λ2 - λ1).
(4)
нию осадка его гидроксида.
При равновесии это отношение не зависит от
Затем раствор тория, не содержащий 228Ra, вы-
времени:
держивают до накопления новых количеств 224Ra
A2/А1 = λ2/(λ2 - λ1) = inv(τ).
(5)
и проводят его сорбцию на сорбенте марки Т-5,
Описанные выше закономерности подвижного
представляющего собой гидроксид титана, отож-
равновесия будут выполняться для подсемейств
женный при температуре 400°С. Десорбцию ра-
радий-228-торий-228, торий-228-радий-224, ра-
дия-224 проводят раствором HCl с концентрацией
дий-224-свинец-212, свинец-212-висмут-212:
1 моль/л.
224
Исходя из закономерностей векового и подвиж-
228
α
α
Th
→
Ra
→
1.9 года
3.64 сут
ного равновесия для каждой из цепочек, составля-
220
216
ющих ряд тория-232, всегда можно вывести тео-
224
α
α
Ra
→
Th

Po
3.64 сут
54.5 c
ретическую зависимость активностей дочернего
212
и материнского радионуклидов от времени в его
α
β
→
Pb

→
0.158 c
10.6 ч
реальных интервалах, их отношение, время, при
котором активность дочернего радионуклида до-
Радионуклиды каждого из подсемейств могут
стигает максимального значения.
вести себя в процессе сорбции по-разному, и рав-
Активность дочернего радионуклида в данный
новесие в цепочках будет нарушаться.
момент времени при получении его из генератора
В случае векового равновесия, когда ряд (се-
находят по формуле [3]
мейство, подсемейство) радиоактивных превраще-
−λ
1
t
(λ
1
−λ
2
)τ
A
2
=[λ
2
/(λ
2
−λ
1
)]A
01
e
[1e
],
(1)
ний возглавляется долгоживущим радионуклидом,
где А2 и А01 - активность дочернего (на момент
таким, что A1 ≈ inv(t) в технологическом масштабе
времени t) и материнского (в начальный момент
времени и λ1 << λk , где k - порядковый номер лю-
времени) изотопов соответственно; τ - время, про-
бого члена этого ряда, кинетика установления это-
шедшее с момента предыдущего отделения дочер-
го состояния однозначно описывается следующим
него радионуклида от материнского до настоящего
уравнением:
времени (предполагается, что при этом дочерний
A2 = A1 (1 - 2-n),
(6)
радионуклид удаляется полностью): λ1 и λ2 - по-
где n - отношение прошедшего времени к периоду
стоянные распада соответственно материнского и
полураспада.
дочернего радионуклидов. В соответствии с этой
Очевидно, что уже при n = 6 расхождение меж-
формулой активность дочернего радионуклида
ду A2 и A1 составляет всего лишь 1.56%, а при
нарастает, проходит через максимум, после чего
n = 10 - менее 0,1%. Таким образом, для «генети-
убывает.
ческой пары» необходимым и достаточным усло-
Момент времени, в который активность дочер-
вием наступления векового равновесия является
него радионуклида после отделения от материн-
неравенство λ2 >> λ1 (Т2 << Т1) и практически не-
ского достигнет максимального значения, опреде-
значимое уменьшение активности материнского
ляется следующим выражением:
радионуклида в технологическом масштабе време-
τm = ln(λ21)/(λ2 - λ1).
(2)
ни, A1 ≈ const (материнский радионуклид должен
Отношение активностей дочернего радиону-
быть настолько долгоживущим, чтобы оправда-
клида и материнского в случае подвижного равно-
лось понятие «векового» равновесия).
РАДИОХИМИЯ том 62 № 2 2020
СЕЛЕКТИВНАЯ СОРБЦИЯ Р
АДИЯ ИЗ РАСТВОРОВ ТОРИЯ С ТРИЛОНОМ Б
145
14000
1
14000
12000
12000
10000
10000
8000
2
8000
6000
6000
4000
2
4000
1
2000
2000
0
0
10
20
30
40
50
0
t, сут
0
5
10
15
20
25
t, лет
Рис. 2. Подвижное равновесие между (1) 228Th и
(2) 224Ra.
Рис. 3. Подвижное равновесие между (1) 228Тh и (2) 228Ra.
Данный случай реализуется в ситуации, когда
пользования генератора существовавшее ранее
раствор тория после выделения радия-224 остав-
равновесие в ряду 232Th между головным членом
ляют на длительное хранение.
ряда и 228Th будет нарушено и в течение всего пе-
риода использования раствора тория в качестве
224Ra должен находиться в вековом равнове-
генератора радия-224 восстановиться не может.
сии со своим праматеринским радионуклидом
Если практику выделения радия прекратить, то
232Th, так как период полураспада 232Th, равный
восстановление равновесия в ряду 232Th между го-
1.89×1010 лет, намного больше, чем период полу-
ловным членом ряда и 228Th возможно только по-
распада 224Ra (3.64 сут), и активность 232Th не за-
сле установления равновесия между 228Ra и 228Th
висит от времени в условиях использования гене-
через 20 лет согласно закономерностям подвиж-
ратора, если его концентрация в растворе трилона
Б не изменяется. В свою очередь, 224Ra находится
ного равновесия (рис. 3). Соответственно, пока
в подвижном равновесии со своим материнским
раствор тория используется в качестве генератора
радионуклидом 228Th, так как период полураспа-
радия, максимально возможная активность 224Ra
упадет за два года использования генератора как
да 228Th, равный 1.9 лет, хотя и намного больше,
минимум в два раза только за счет радиоактивно-
чем период полураспада 224Ra (3.64 сут), но актив-
го распада 228Th. Все сказанное справедливо, если
ность 228Th зависит от времени в условиях исполь-
при хранении раствора тория и выделении радия
зования генератора, поскольку 224Ra лишен своего
из него не происходит потерь тория либо за счет
более долгоживущего предшественника 228Ra на
сорбции тория стеклом посуды, в которой хранит-
стадии первого и последующих выделений радия
ся раствор тория, либо за счет сорбции тория сор-
из раствора тория. Для установления подвижного
бентом (сорбентами), которые мы используем для
равновесия в цепочке генетически связанных ра-
выделения радия.
дионуклидов требуется 5-6 периодов полураспада
дочернего радионуклида, т.е. 224Ra. В случае пары
В условиях равновесия активность 224Ra опре-
228Th-224Ra это время составляет 25 сут (рис. 2).
деляется по результатам измерения активности
Иначе говоря, раствор тория-232 можно исполь-
дочернего радионуклида 212Pb с периодом полу-
зовать для выделения максимально возможной
распада 10.6 ч, который является гамма-излуча-
активности 224Ra через каждые 25 сут после пре-
телем с Еγ = 238.6 кэВ. По истечении 1.5-2 су-
дыдущего выделения. За этот интервал времени
ток активность 212Pb максимальна и практически
накопления 228Ra при распаде 232Th в существен-
равна активности 224Ra. Соответственно, измеряя
ной степени произойти не может, а та малая часть,
гамма-активность препаратов по линии с Еγ =
которая все же накопится, будет снова извлечена
238.6 кэВ через это время, можно получить све-
из раствора тория при следующей процедуре вы-
дения о поведении радия-224 (рис. 4). Однако за
деления радия. Поэтому сразу после начала ис-
эти же два дня произойдет частичное (примерно
РАДИОХИМИЯ том 62 № 2 2020
146
БЕТЕНЕКОВ
1.0
1
0.8
14000
0.6
12000
2
10000
0.4
8000
1
0.2
6000
4000
0.0
2000
0
100
200
300
400
500
V, мл
0
0
1
2
3
4
5
t, сут
Риc. 5. Зависимость проскока радия от объема филь-
трата в процессе сорбции радия сорбентом Т-3А при
Рис. 4. Подвижное равновесие между (1) 224Ra и (2) его
рН = 1.7. Мольное соотношение ЭДТА:торий = 1:1;
дочерним радионуклидом 212Pb.
(1) 224Ra, (2) 228Ra.
25% от равновесной активности) накопление 224Ra
подобного типа. Существует ряд условий, которые
за счет радиоактивного распада 228Th, что необхо-
необходимо соблюдать при эксплуатации данного
димо учитывать при расчете степени сорбции ра-
генератора. Во-первых, необходимо предваритель-
дия-224 по результатам измерения гамма-активно-
ное отделение 228Ra ввиду его большого периода
сти. При контроле за поведением 228Ra по линиям
полураспада. Во-вторых, нужно подобрать опти-
в гамма-спектре 228Ac подобных проблем нет, надо
мальные параметры генератора таким образом,
чтобы минимизировать потери тория за счет воз-
только дождаться установления равновесия между
можной сорбции его используемыми сорбентами.
228Ra и 228Ac, для чего требуется также двое суток.
После установления радиоактивного равновесия
В целом генератор на основе тория-232, опи-
между 224Ra и его материнским радионуклидом
санный в данном разделе, является перспективным
228Th через 25 сут гамма-спектр 212Pb будет харак-
для выделения радия-224. Этот метод позволяет
теризовать поведение 228Th и 232Тh. За это время
достаточно быстро и эффективно получать необ-
неравновесный с 228Th 224Ra распадается практи-
ходимые количества радия-224 и использовать их
чески полностью, степень недораспада 0.001, что
в дальнейших экспериментах в качестве радиоак-
тивных меток.
обеспечивает необходимую точность измерений
активности 228Th.
2. Изучение свойств генератора радия-224 на
основе раствора тория и трилона Б. Известно,
Исходя из полученных закономерностей можно
что для повышения активности радия до значи-
с достаточно высокой точностью указать время,
мого уровня необходимо использовать радиоак-
необходимое для установления радиоактивного
тивные метки. В данном эксперименте в качестве
равновесия в генетически связанных парах 224Ra-
метки используется определенный объем раство-
212Pb и 228Th-224Ra, по истечении которого следу-
ра, содержащего радиоактивный изотоп радия -
ет проводить измерение скорости счета образца.
224Ra. Получить данный изотоп можно с помощью
Равновесие между 224Ra и 212Pb устанавливается
изотопного генератора на основе раствора тория и
через 2 сут (рис. 4); следовательно, по истечении
Трилона Б. Для того чтобы в полной мере исполь-
этого периода активность 212Pb характеризует ак-
зовать данный тип изотопного генератора для вы-
тивность 224Ra. Чтобы отследить поведение 228Th
деления радия, необходимо изучить основные его
измерения гамма-активности по линии 212Pb необ-
свойства.
ходимо проводить через 28 сут.
ЭКСПЕРИМЕНТАЛЬНАЯ ЧАСТЬ
Просчитав все теоретические закономерности,
можно сделать вывод, что существует принципи-
Основной задачей данного исследования явля-
альная возможность создания генератора радия
ется получение выходных кривых сорбции и де-
РАДИОХИМИЯ том 62 № 2 2020
СЕЛЕКТИВНАЯ СОРБЦИЯ Р
АДИЯ ИЗ РАСТВОРОВ ТОРИЯ С ТРИЛОНОМ Б
147
сорбции радия и тория. Для этого нами был при-
Для решения следующих задач подобным об-
готовлен свежий раствор тория-232 и трилона Б.
разом был приготовлен раствор тория с концен-
Раствор готовили следующим образом, взяли на-
трацией СTh =11.6 г/л. Мольное соотношение
веску нитрата тория Th(NO3)4 массой m = 6.010 г,
ЭДТА:торий составило 2:1.
растворили эту навеску в 0.5 л раствора трилона Б
По полученным данным рассчитывали степень
(0.025 М) при комнатной температуре. Таким об-
сорбции
разом, концентрация тория в растворе составила
S = (I0 - Iф-та)/I0,
(7)
5.81 г Th/л. Исходное значение рН раствора 1.7,
где I0 - скорость счета эталонного образца, имп/с,
мольное соотношение ЭДТА:торий = 1:1.
I
- скорость счета фильтрата, имп/с.
ф-та
Свежеприготовленный раствор тория пропу-
Зная степень сорбции, можно рассчитать про-
скали через сорбционную колонку, при этом каж-
скок П:
дые 50 мл фильтрата отбирали в отдельную посуду
П = 1 - S.
(8)
и затем по истечении времени, необходимого для
установления радиоактивного равновесия в гене-
Коэффициент распределения Kd устанавливает
тически связанных парах 224Ra-212Pb и 228Th-224Ra
соотношение между равновесными концентрация-
(см. п. 1), измеряли скорость счета на гамма-ради-
ми радионуклида в сорбенте и растворе и рассчи-
ометре или гамма-спектрометре. В качестве эта-
тывается по формуле
лонного образца использовали исходный раствор,
S
V
K
=
,
(9)
не подверженный операциям выделения, который
d

1S m
в том же объеме, как фильтрат (50 мл), отбирали в
где V - объем фракции, мл; m - масса сорбента, г.
отдельную емкость и измеряли одновременно и в
Количественные потери тория за счет сорбции
одинаковой геометрии с фильтратом.
его используемыми сорбентами можно оценить по
В качестве сорбента использовали сначала со-
формуле
рбент марки «Термоксид-3А» для полного выде-
Ст = [(С0 - СрV]/Vc,
(10)
ления 228Ra, затем «Термоксид-5» для выделения
224Ra в отсутствии 228Ra. Масса загружаемого со-
где Ст - содержание тория в сорбенте, г/мл;
рбента 1,27 г. Скорость фильтрации составила v =
С0 - исходная концентрация тория, равная 5.81 /л;
V/t = 2 мл/5.5 мин = 0.37 мл/мин, что соответствует
Ср - равновесная концентрация в растворе, равная
1,28 мл/мин.см2. Подобная скорость фильтрации
Ср = С0(1 - S); V - объем раствора, равный 0.5 л;
является типичной для хроматографии с участием
Vc - объем сорбента, 1.61 мл
ионообменных сорбентов.
Степень десорбции находится по формуле:
При изучении процессов сорбции необходим
I
j
D
=
,
(11)
точный контроль рН раствора, так как от его зна-
j
IΣ
чения зависит степень сорбции. По литературным
где Dj - степень десорбции; Ij - скорость счета од-
данным [2] известно, что коэффициент распреде-
ной фракции, имп/с; IΣ - суммарная скорость счета
ления радия достигает 103 при рН 5-6. Величину
сорбента, имп/с.
рН устанавливали с помощью 20%-ного NaOH.
Перед десорбцией необходима тщательная про-
РЕЗУЛЬТАТЫ И ИХ ОБСУЖДЕНИЕ
мывка сорбента. Сначала сорбент промывали рас-
Сорбция и десорбция радия и тория из рас-
твором Трилона Б (V = 10 мл) с такой же концен-
трацией, как в исходном растворе, затем дистилли-
твора с концентрацией тория СTh = 5.81 г/л.
рованной водой (V = 10 мл).
Первый раз сорбцию радия и тория из раствора
тория и трилона Б производили без учета рН рас-
Десорбцию проводят 1 моль/л HCl. Объем рас-
твора, т.е. при том значении рН, которое установи-
твора HCl должен быть не менее 10-20 колоноч-
ных объемов, что составляет 20 мл. Каждые 2 мл
лось при приготовлении раствора (в данном слу-
десорбата отбирают в отдельную емкость, хранят
чае рН 1.6-1.7). В соответствии с этим получены
до установления равновесия и затем измеряют на
результаты, подтверждающие, что сорбция радия
гамма-радиометре или гамма-спектрометре.
на Т-3А в сильнокислой среде не идет (рис. 5).
РАДИОХИМИЯ том 62 № 2 2020
148
БЕТЕНЕКОВ
1.0
2
0.8
0.6
1
0.4
0.2
0.0
0
100
200
300
400
500
V, мл
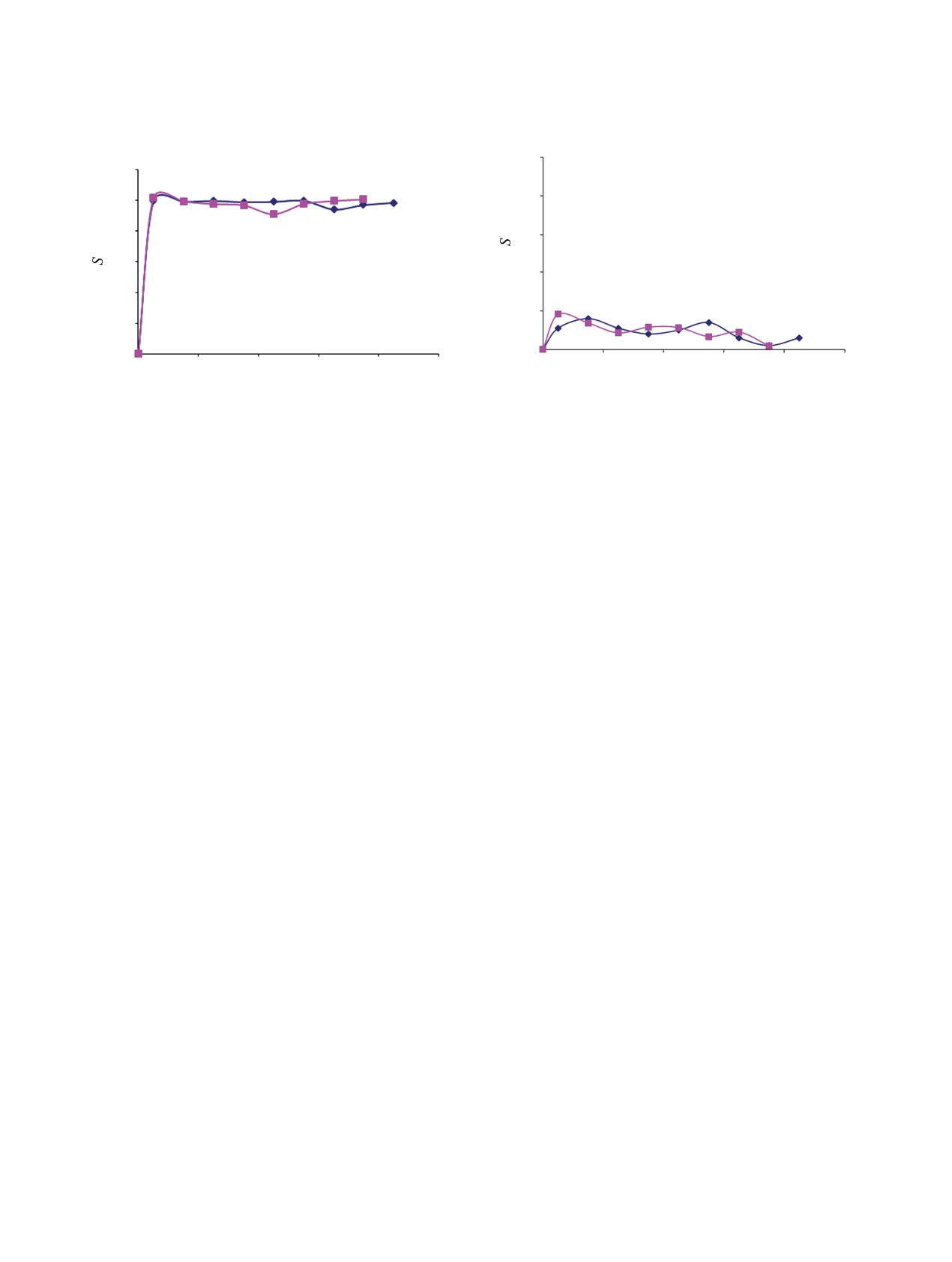
Рис. 6. Зависимость степени сорбции радия от объема
фильтрата в процессе сорбции радия сорбентом Т-3А
при рН=6,15, мольное соотношение ЭДТА:торий = 1:1:
Рис. 7. Выходная кривая сорбции тория сорбентом
(1) 224Ra, (2) 228Ra.
Т-3А при рН = 6.15.
Измерение скорости счета исходного раствора (I0)
По истечении 29 дней вновь измерили филь-
и проб фильтрата (Iф-та) производили на гамма-ра-
трат после сорбции, чтобы отследить поведение
диометре ATOMTEX по пику 212Pb (Е = 239 кэВ),
тория. За этот период устанавливается радиоак-
характеризующего поведение 224Ra, и по пику Ас-
тивное равновесие между 224Ra и 228Th (рис. 4),
228 (Е = 911 кэВ), характеризующего поведение
а значит, поведение тория характеризуется пове-
228Ra.
дением радия-224, который можно отследить по
Так как получены результаты, подтверждаю-
пику гамма-излучения (Еγ = 239 кэВ). Пики, ха-
рактеризующие 228Ra, не отражают поведения то-
щие, что сорбция радия не идет в сильнокислой
рия, т.к. сам 228Ra не успевает накопиться за столь
среде, стало необходимым повышать рН примерно
незначительный период.
до 6-7, чтобы достичь необходимого коэффици-
ента распределения и по возможности 100%-про-
При использовании генератора радия на основе
центной сорбции в первую очередь 228Ra, так как
раствора тория и Трилона Б необходимо миними-
нужно удалить этот радионуклид из раствора.
зировать потери тория за счет сорбции его сор-
бентами. В противном случае раствор постепенно
Достигнув рН 6.1-6.2, увеличив при этом моль-
ное соотношение ЭДТА:торий до 3:1 во избежание
лишается поставщика 224Ra - его материнского ра-
выпадения осадка из-за нехватки связывающего
дионуклида 228Th, что в значительной степени со-
кращает срок службы генератора. Наблюдение за
торий в комплекс Трилона Б, вновь провели сор-
поведением тория в процессе сорбции радия дает
бцию на Т-3А. В данных условиях степень сорб-
ции значительно выше и приближается к 100%
возможность выявить потери тория и сделать их
(рис. 6), что подтверждает наши предположения.
количественную оценку.
Заниженные значения степени сорбции в слу-
Результаты измерений занесли в таблицу и по-
строили выходную кривую сорбции тория на Т-3А
чае радия-224 объясняются тем, что в течение 5 сут
(рис. 7).
до начала измерения 224Ra накопился в растворе
из 228Th на 50-60% от исходной активности в со-
Из графика видно, что сорбция тория при дан-
ответствии с законами накопления радия в случае
ных условиях: сорбент марки Т-3А, рН = 6.2, -
подвижного равновесия. Исходя из этого можно
проходит на 25%. Как и предполагалось, происхо-
сделать вывод, что сорбция радия прошла полно-
дят заметные потери тория в процессе сорбции ра-
стью, и раствор можно оставить на месяц, чтобы
дия. Используя предложенную выше формулу (6),
отследить поведение тория после установления
рассчитали эти потери. Поскольку сорбента было
равновесия 228Th-224Ra и его количественные по-
1.61 мл, то сорбент всего извлек 725 мг тория из
тери вследствие сорбции сорбентом марки Т-3А.
5.8 мг/мл раствора × 500 мл = 2900 мг, тогда доля
РАДИОХИМИЯ том 62 № 2 2020
СЕЛЕКТИВНАЯ СОРБЦИЯ Р
АДИЯ ИЗ РАСТВОРОВ ТОРИЯ С ТРИЛОНОМ Б
149
1.0
1.2
2
0.8
1.0
1
0.8
0.6
0.6
0.4
0.4
0.2
1
0.2
2
0.0
0.0
0
100
200
300
400
500
0
100
200
300
400
500
V, мл
V, мл
Рис. 8. Выходная кривая сорбции 224Ra на сорбенте
Рис. 9. Выходная кривая сорбции тория на сорбенте
марки Т-5 при рН = 6.15, мольное соотношение ЭД-
марки Т-5 при рН = 6.15, мольное соотношение ЭД-
ТА:торий = 2:1: (1) Сцинт. детектор, (2) ППД.
ТА:торий = 1:1: (1) Сцинт. детектор, (2) ППД.
потерянного тория 725/2900 = 0.25 - совпадает с
Из полученных результатов видно, что сорбция
данными по выходной кривой.
тория на сорбенте марки «Термоксид-5» проходит
в меньшей степени по сравнению с сорбентом мар-
Следующим этапом исследования является из-
ки Т-3А. В среднем около 10% тория удерживается
учение сорбции 224Ra из раствора тория с концен-
сорбентом, что приводит к его потерям в процес-
трацией 5.8 г/л, объединяющего все порции филь-
се сорбции радия. В дальнейших экспериментах
трата после выделения 228Ra, на сорбенте марки Т-5.
показано, что увеличение мольного отношения
Измерения проводили для сравнения на гамма-
ЭДТА:торий до 4:1 позволяет снизить потери то-
радиометре ATOMTEX со сцинтилляционным де-
рия практически до нуля.
тектором и на гамма-спектрометре ATSpec-4.1 с
В случае измерений при использовании гам-
полупроводниковым детектором, который облада-
ма-спектрометра с полупроводниковым детекто-
ет наилучшими показателями: наименьшим разре-
ром была проведена дополнительная промывка
шением, высокой эффективностью регистрации.
сорбента, сначала Трилоном Б той же концентра-
При расчете степени сорбции учли накопление
ции, что в исходном растворе, затем водой. Опыты
224Ra за счет распада 228Th. Высота колонки 5.7 см,
показали, что при промывке Трилоном Б удаляет-
диаметр 6 мм, соответственно Vc = 1.61 мл.
ся лишь некоторая малая часть оставшегося радия
(порядка 5%). Промывные воды не несут с собой
Результаты измерений и расчетов занесены в
значимых количеств радия.
таблицу и построена выходная кривая сорбции
224Ra на сорбенте марки Т-5 (рис. 8).
Произведя сорбцию 224Ra и убедившись в том,
что она стопроцентная, приступили к изучению
Из графика видно, что сорбция радия на сор-
процесса десорбции. Измерение интенсивности
бенте марки Т-5 идет количественно, что наблю-
элюата производили через 2 сут после десорбции,
дается при измерении скорости счета с использо-
когда активность 212Pb в точности характеризует
ванием как сцинтилляционного детектора, так и
активность 224Ra. Результаты эксперимента занес-
полупроводникового. Эти данные позволяют пред-
ли в таблицу и отразили на рис. 10.
положить возможность замены сорбента Т-3А на
Из графика можно сделать вывод, что десорб-
Т-5 на первой стадии извлечения 228Ra и 224Ra.
ция радия проходит в достаточной, но неполной
По истечении 30 дней становится возможным
мере. Основная часть радия десорбируется пер-
отследить поведение тория при сорбции радия-224
выми миллилитрами раствора соляной кислоты,
на сорбенте марки Т-5.
затем степень десорбции снижается и становится
Результаты измерений занесены в таблицу и от-
практически равной нулю. При этом измерения
ражены на рис. 9.
с использованием полупроводникового детекто-
РАДИОХИМИЯ том 62 № 2 2020
150
БЕТЕНЕКОВ
140
1.0
4
120
224Ra
0.8
100
2
80
0.6
60
220Pn216Po
0.4
40
20
224Ra
0.2
3
1
0 0
2000
4000
6000
8000
0.0
E, кэВ
0
5
10
15
20
25
V, мл
Рис. 10. Выходная кривая десорбции радия с сорбента
Рис. 11. Альфа-спектр концентрата 224Ra через 30 мин
Т-5: (1) Cцинт. дет. (дифференц.), (2) Cцинт. дет. (интегр.),
после завершения процесса сорбции. Мольное соотно-
(3) ППД (дифференц.), (4) ППД (интегр.).
шение ЭДТА:торий = 4:1.
ра практически повторяют предыдущий опыт со
что вполне достаточно для установления радиоак-
сцинтилляционным детектором. Степень десор-
тивного равновесия между 224Ra и 220Rn, 216Po.
бции по результатам измерения на гамма-спек-
В ходе работы был разработан метод получе-
трометре с ППД немного выше. Общая степень
ния радиоактивной метки радия-224 с помощью
десорбции в случае измерений с использованием
генератора на основе раствора тория и Трилона
ППД S = 0.91, с использованием сцинтилляци-
Б. Изучены свойства данного генератора, и пред-
онного детектора S = 0.80. Такое различие может
ложены оптимальные условия его работы: рН
быть вызвано различной чувствительностью при-
исходного раствора на уровне 6-7, мольное соот-
боров с разными детекторами.
ношение ЭДТА : торий 4:1, оптимальная концен-
На практике удобно использовать для изго-
трация тория в исходном растворе не более 12-
товления альфа-источников метод сорбции тон-
15 г/л. Установлено, что при мольном соотноше-
кослойными сорбентами, который позволяет со-
ниии ЭДТА : торий 4:1 сорбция радия проходит
вместить в одну стадию концентрирование и из-
селективно и не происходит потерь тория.
готовление источника альфа-излучения. На рис. 11
показан альфа-спектр источника, изготовленного с
КОНФЛИКТ ИНТЕРЕСОВ
помощью тонкослойного сорбента MnO2-ПЭ.
Авторы заявляют об отсутствии конфликта
Наиболее важный вывод из анализа альфа-
интересов.
спектра (рис. 11) касается того, что 224Ra из рас-
твора тория извлекается с очень высокой селек-
СПИСОК ЛИТЕРАТУРЫ
тивностью. Об этом свидетельствует то, что в
1. Бетенеков Н.Д. // Радиохимия, 2018, т. 60, N 5,
альфа-спектрах отсутствуют линии тория-232 и
c. 472.
тория-228, нет так же и линий дочерних изотопов
2. Семенищев В.С., Бетенеков Н.Д., Томашова Л.А. //
224Ra таких как полоний-212 и висмут-212, если
Вода: химия и экология. 2017. № 8. с. 72.
полученный в результате сорбции альфа-источник
3. Егоров Ю.В., Бетенеков Н.Д., Пузако В.Д. Радио-
измерен на альфа-спектрометре сразу после разде-
активность и смежные проблемы. Часть 1. (Физи-
ления фаз (рис. 1а). Наличие же в альфа-спектре
ческие основы радиоактивности). Екатеринбург.
пиков полного поглощения (ППП) изотопов 220Rn
УГТУ-УПИ, 2000. 130 с.
и 216Po легко объяснимо их периодами полураспа-
4. Бетенеков Н.Д. Избранные главы курса Радиохи-
да. За время подготовки альфа-источника к изме-
мия: учебник для вузов. М.: ЛитРес: Самиздат, 2018.
рениям на спектрометре проходит около 30 мин,
220 с.
РАДИОХИМИЯ том 62 № 2 2020