РАДИОХИМИЯ, 2020, том 62, № 2, с. 126-129
УДК 546.791.6-381
ОСОБЕННОСТИ ПЕРОКСИДНОГО ОСАЖДЕНИЯ
УРАНА ИЗ КИСЛЫХ ВОДНО-СПИРТОВЫХ
РАСТВОРОВ
© 2020 г. А. С. Корнилов, Е. В. Питеркина, К. О. Щербакова*,
А. О. Макаров, О. С. Дмитриева
АО «Государственный научный центр - Научно-исследовательский институт атомных реакторов»,
Ульяновская обл., Димитровград, Западное шоссе д. 9, 433510
*e-mail: niiar@niiar.ru
Получено 05.03.2019, после доработки 11.09.2019, принята к публикации 18.09.2019
Исследовано влияние кислотности, концентраций пероксида водорода и этанола на степень осаждения
пероксида урана в растворах различного состава. Проведена экспериментальная проверка эффективности
пероксидной очистки урана от РЗЭ и стронция. В качестве представителя РЗЭ использовался радиону-
клид 152Eu, поведение Sr изучалось на его аналоге 133Ba.
Ключевые слова: осаждение урана, пероксид водорода, пероксид урана
DOI: 10.31857/S0033831120020045
Выделение урана из растворов и очистку его от
ного урана осаждение пероксида урана использу-
мешающих элементов можно осуществлять осаж-
ется главным образом как метод концентрирова-
дением труднорастворимых соединений урана(IV)
ния очищенного урана [1].
и уранила, экстрагированием соединений урана
Данные, полученные при осаждении перок-
органическими растворителями либо комбинаци-
сида урана при подготовке урана к производству,
ей нескольких методов. Выбор метода отделения
относятся к очистке от весовых количеств при-
урана зависит от таких факторов, как заданная сте-
месей, и коэффициенты очистки урана от редко-
пень отделения, количество присутствующего ура-
земельных элементов (РЗЭ) достаточно высокие
на, природа и количество сопутствующих элемен-
[1, 2]. При переработке ОЯТ с небольшой степе-
тов и примесей. Осадительный метод применяется
нью выгорания массовое содержание ПД, в част-
в основном для концентрирования очищенных от
ности РЗЭ, находится на уровне индикаторных
продуктов деления (ПД) урана, как основной ме-
количеств и коэффициенты очистки существенно
тод очистки его можно применять для переработки
меньше. В литературе практически отсутствуют
ОЯТ с небольшой степенью выгорания. В настоя-
данные по очистке урана от ПД, известно лишь,
щее время в промышленной практике широко ис-
что более низкие значения рН осаждения обеспе-
пользуется пероксидный аффинаж урана, который
чивают значительно лучшее отделение урана от
основан на селективном выделении из азотнокис-
большинства примесей (в частности РЗЭ), однако,
лого раствора малорастворимого пероксида урана
при этом снижается степень осаждения урана [3].
UО4·2H2О:
Вероятно, степень осаждения урана в кислой сре-
UO
(NO
)
+ H
O
+ 2H
O
де можно существенно повысить, проводя процесс
2
3
2
2
2
2
→
UO
⋅ 2H
O + 2HNO
(1)
в водно-спиртовых растворах при повышенных
4
2
↓
3
концентрациях пероксида водорода (ПВ).
Осаждение пероксида урана как метод очистки,
Целью настоящей работы является изучение
используется в основном при подготовке урана к
поведения продуктов деления и урана в кислых и
производству. В технологии регенерации облучен-
водно-спиртовых растворах, определение зависи-
126
ОСОБЕННОСТИ ПЕРОКСИДНОГО ОСАЖДЕНИЯ УР
АНА
127
16
100
14
12
10
2
8
80
6
4
2
1
60
00.0
0.5
1.0
1.5
2.0
0.0
0.5
1.0
1.5
2.0
2.5
pH
pH
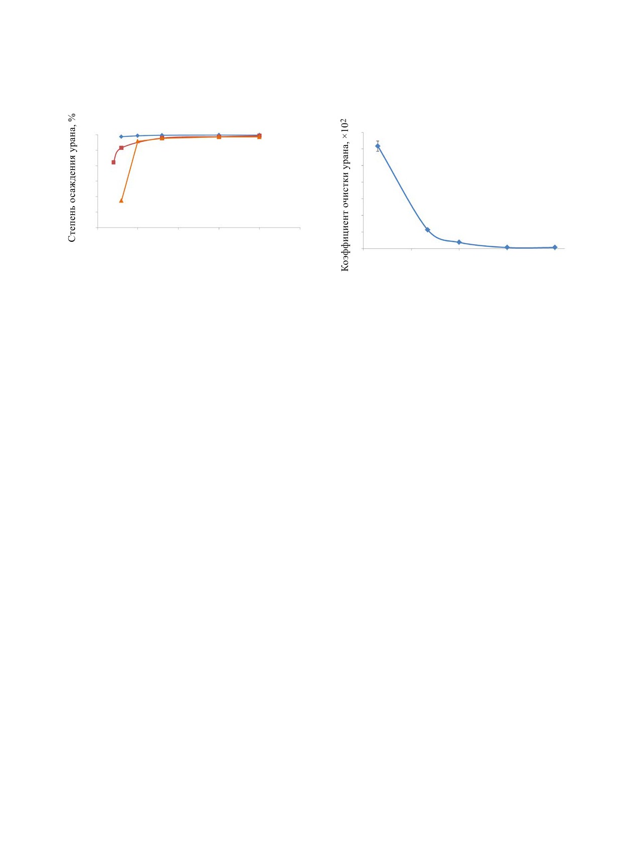
Рис. 2. Зависимость степени осаждения урана от рН.
Рис. 1. Зависимость коэффициентов очистки урана от
([U]исх= 0.1, [H2O2] = 0.2 моль/л).
(1) 152Eu и (2) 133Ba от рН в водных растворах.
мости степени осаждения пероксида урана от со-
введением 5-кратного избытка ПВ по отношению
става раствора.
к урану и варьировали концентрацию этанола.
Содержание урана определяли спектрофотометри-
ЭКСПЕРИМЕНТАЛНАЯ ЧАСТЬ
ческим методом с применением арсеназо III.
В экспериментах по изучению влияния кислот-
РЕЗУЛЬТАТЫ И ИХ ОБСУЖДЕНИЕ
ности на степень осаждения использовали раство-
Зависимость степени осаждения пероксида
ры урана с концентрацией 23.8 г/л (0.1 моль/л) с
урана от кислотности и концентрации перок-
введением индикаторных количеств 152Eu и 133Ba
сида водорода. Полнота осаждения урана опре-
(~105 Бк) и добавления 5-кратного избытка ПВ по
деляется кислотностью раствора, избыточной
отношению к урану с корректировкой рН раствора
концентрацией пероксида водорода и концентра-
до следующих значений: 0.1, 0.7, 1.2.
цией урана в исходном растворе. Обычно про-
Для измерения pH растворов использовали
водят осаждение при рН 1.5-3 при не более чем
pH-метр 150М, стеклянные электроды Hi 1131B.
двукратном избытке пероксида водорода [1, 2]. Так
Перед измерениями pH-метр калибровали при
как основными примесями урансодержащих отхо-
помощи стандартных буферных растворов c pH
дов, полученных при переработке урана с малой
4.01-9.21. Растворы перемешивали и выдержива-
степенью выгорания, являются РЗЭ (Ce, Eu) и Sr
ли в течение 24 ч.
[4], эксперименты проводили на 152Eu и 133Ba. На
Осадок пероксида урана промывали несколько
рис. 1, 2 представлена зависимость коэффициен-
раз ПВ и растворяли в 2 моль/л Na2CO3. Для опре-
тов очистки урана от Eu и Ba и степени осаждения
деления объемной активности гамма-излучаю-
пероксида урана от кислотности осаждения перок-
щих радионуклидов (152Eu и 133Ba) использовали
сида урана.
гамма-спектрометр SBS-50 с полупроводниковым
Ge-Li-детектором типа ДГДК 150. Источники для
Как видно из приведенных данных, чем выше
измерения представляли собой растворы объемом
кислотность осаждения ПУ, тем выше коэффици-
1.00 мл в стеклянных пробирках диаметром 12 мм.
енты очистки урана от европия. Для бария опти-
Содержание урана определяли спектрофотоме-
мальный интервал рН 0.8-1.5. Однако с ростом
трическим методом с применением арсеназо III.
кислотности уменьшается степень осаждения пе-
Измерения проводили с использованием сканиру-
роксида урана.
ющего спектрофотометра Cary 5000.
Увеличение кислотности способствует очистке
При изучении осаждения пероксида урана из
урана, но снижает полноту осаждения и при рН <
водно-спиртовой среды использовали раство-
0.5 уже не происходит полного осаждения ура-
ры урана с концентрацией 23.8 г/л (0.1 моль/л) с
на, так как образующийся осадок растворяется в
РАДИОХИМИЯ том 62 № 2 2020
128
КОРНИЛОВ и др.
1
100
25
5
80
2
20
3
60
15
10
40
5
2
4
1
20
3
0
0
0
10
20
30
40
50
60
70
0
1
2
3
4
5
6
Концентрация спирта, об.%
[H2O2], моль/л
Рис. 4. Зависимость остаточной концентрации ура-
Рис. 3. Зависимость степени осаждения урана от кис-
на в маточных растворах осаждения пероксида ура-
лотности и концентрации пероксида водорода ([U]исх=
на от концентраций ПВ и спирта в 2 моль/л HNO3.
0.1 моль/л). (1) 0.5 моль/л HNO3, (2) 1.0 моль/л HNO3,
(1) 2.0 моль/л ПВ, (2) 1.5 моль/л ПВ, (3) 0.8 моль/л ПВ,
(1) 2.0 моль/л HNO3.
(4) 0.5 моль/л ПВ, (5) 0.3 моль/л ПВ.
кислотах с образованием соответствующих солей
степени осаждения пероксида урана более 96%
уранила и выделением кислорода. Согласно урав-
даже в 2 моль/л HNO3.
нению реакции (1), степень осаждения пероксида
Осаждение пероксида урана из кислых
урана уменьшается с увеличением кислотности и
водно-спиртовых растворов. Из литературы из-
возрастает с увеличением концентрации перокси-
вестно, что в присутствии этанола растворимость
да водорода. Следовательно, при равной кислот-
многих неорганических веществ уменьшается [5].
ности растворов степень осаждения ПУ будет воз-
растать с увеличением концентрации пероксида
В данной работе исследованы влияние кислотно-
водорода (рис. 3).
сти, концентраций пероксида водорода и этанола
На рис. 3 видно, что при концентрации перок-
на степень осаждения пероксида урана в раство-
сида водорода более 2 моль/л можно достигнуть
рах различного состава.
9
1.4
8
1.2
7
6
1.0
5
0.8
5
4
5
0.6
3
4
0.4
4
2
2
2
1
3
3
1
0.2
1
0
0.0
0
10
20
30
40
50
60
70
0
10
20
30
40
50
60
Концентрация спирта, об.%
Концентрация спирта, об.%
Рис. 5. Зависимость остаточной концентрации ура-
Рис. 6. Зависимость остаточной концентрации ура-
на в маточных растворах осаждения пероксида ура-
на в маточных растворах осаждения пероксида ура-
на от концентраций ПВ и спирта в 1 моль/л HNO3.
на от концентраций ПВ и спирта в 0.5 моль/л HNO3.
(1) 2.0 моль/л ПВ, (2) 1.5 моль/л ПВ, (3) 0.8 моль/л ПВ,
(1) 2.0 моль/л ПВ, (2) 1.5 моль/л ПВ, (3) 0.8 моль/л ПВ,
(4) 0.3 моль/л ПВ, (5) 0.2 моль/л ПВ.
(4) 0.5 моль/л ПВ, (5) 0.3 моль/л ПВ.
РАДИОХИМИЯ том 62 № 2 2020
ОСОБЕННОСТИ ПЕРОКСИДНОГО ОСАЖДЕНИЯ УР
АНА
129
1
100
7
95
6
2
90
5
3
85
4
80
3
75
2
70
1
0.0
0.5
1.0
1.5
2.0
2.5
[H2O2], моль/л
0
0.0
0.5
1.0
1.5
2.0
Рис. 7. Зависимость степени осаждения урана от кис-
pH
лотности и концентрации пероксида водорода в 48%-
ном водно-спиртовом растворе. (1) 0.5 моль/л HNO3,
Рис. 8. Зависимость коэффициентов очистки урана от
(2) 1.0 моль/л HNO3, (1) 2.0 моль/л HNO3.
Eu от рН в кислых водно-спиртовых растворах.
На рис. 4-7 приведены зависимости остаточной
1.0 моль/л HNO3. При осаждении пероксида ура-
концентрации урана в маточных растворах и сте-
на из кислых растворов для повышения степени
пени осаждения пероксида урана от концентрации
осаждения урана до 98-99% рекомендуется прово-
пероксида водорода и спирта в 0.5, 1.0 и 2.0 моль/л
дить осаждение при концентрации пероксида во-
HNO3.
дорода 1.5-2.0 моль/л из 40-50%-ного водно-спир-
Как видно из рис. 4-7, осаждение пероксида
тового раствора.
урана из умеренно кислых водно-спиртовых рас-
КОНФЛИКТ ИНТЕРЕСОВ
творов при равновесной концентрации пероксида
водорода 1.5-2.0 моль/л позволяет повысить сте-
Авторы заявляют об отсутствии конфликта
пень осаждения урана до 99%.
интересов.
В кислых водно-спиртовых растворах коэффи-
циенты очистки урана от 152Eu и 241Am соответ-
СПИСОК ЛИТЕРАТУРЫ
ствуют коэффициентам, полученным в водных
кислых растворах. Так, при рН 0.3 коэффициент
1. Тананаев И.Г. Уран. Электронная библиотека «Исто-
очистки урана от 152Eu и 241Am составляет ~600,
рия Росатома», 2011.
при рН 0.6 коэффициент равен 100.
2. Тураев Н.С., Жерин И.И. Химия и технология урана:
Учеб. пособие для вузов. М. ЦНИИАтоминформ,
Таким образом, пероксид урана можно осаж-
2005. 407 с.
дать из кислых растворов водных или водно-спир-
3. Виноградов А.П., Рябчиков Д.И., Сенявин М.М. Ана-
товых растворов при концентрации пероксида
литическая химия урана. М.: Изд-во АН СССР, 1962.
водорода 1.5-2.0 моль/л. При этом коэффициент
432 с.
очистки урана от РЗЭ возрастает приблизительно
4. Stassen L., Suthiram J., Topkin J. // WM2014 Conf.
в 100 раз при сохранении достаточно высокой сте-
Phoenix, Arizona, USA, March 2-6, 2014.
пени осаждения урана 98-99%.
5. Никольский Б.П. Справочник химика. T. 2: Основные
Для хорошей очистки урана от ПД осаждение
свойства неорганических и органических соедине-
пероксида урана рекомендуется проводить из 0.7-
ний. M.: Госхимиздат, 1963.
РАДИОХИМИЯ том 62 № 2 2020