РАДИОХИМИЯ, 2020, том 62, № 2, с. 123-125
УДК 546.799.3
ВОССТАНОВЛЕНИЕ Np(VI)
ГЕКСАМЕТИЛЕНДИАМИНТЕТРАУКСУСНОЙ
КИСЛОТОЙ В РАСТВОРЕ HClO4
© 2020 г. В. П. Шилов*, А. М. Федосеев
Институт физической химии и электрохимии им. А. Н. Фрумкина РАН, 119071, Москва, Ленинский пр., д. 31, стр. 4
*e-mail: ShilovV@ipc.rssi.ru
Получена 10.01.2019, после доработки 10.01.2019, принята к публикации 24.01.2019
Спектроскопическим методом изучена стехиометрия реакции Np(VI) c гексаметилендиаминтетраук-
сусной кислотой (ГМДТУК, H4hmdta) в растворе 0.05 моль/л HClO4. При избытке Np(VI) 1 моль ком-
плексона восстанавливает около 4 моль Np(VI) до Np(V). В растворах 0.1-1.0 моль/л HClO4 (ионную
силу, равную 1.0, поддерживали с помощью LiClO4), содержащих 2-20 ммоль/л ГМДТУК, при 35-55°С
нептуний(VI) с концентрацией 0.3-3.0 моль/л убывает по закону скорости первого порядка до момента,
когда остается менее 20% Np(VI). Начальная скорость реакции имеет первый порядок по [ГМДТУК]
и порядок -2 по [H+]. Активированный комплекс образуется с потерей 2 ионов Н+. Энергия активации
равна 102±7 кДж/моль.
Ключевые слова: нептуний(VI), гексаметилендиаминтетраксусная кислота, восстановление, кинетика
DOI: 10.31857/S0033831120020033
При систематическом исследовании устой-
очистки. Навеску ГМДТУК смешивали с раство-
чивости Np(VI) в растворах комплексонов вни-
ром LiOH в мольном отношении 1 : 2. Раствор
мание уделялось и влиянию числа атомов азота,
Li2H2hmdta количественно переносили в мер-
и количеству карбоксилатных групп в молекуле
ную колбу. Применяли HClO4 х.ч. и LiClO4 ч.
комплексона, и строению углеродной цепочки
Перхлорат лития перекристаллизовывали из би-
между атомами азота. В данной работе изучено
дистиллята и сушили на воздухе. Все растворы
поведение аналога ЭДТА, т.е. комплексона, у ко-
готовили на бидистилляте и стандартизовали по
торого углеродная цепочка из шести метиленовых
известным методикам.
групп заменила этиленовую группу в молекуле
При изучении стехиометрии реакции в кварце-
ЭДТА. Молекула гексаметилендиаминтетраук-
вую кювету (l = 1 см) с раствором Np(VI) в HClO4
сусной кислоты (ГМДТУК) по растворимости в
вносили аликвоту раствора Li2H2hmdta и периоди-
воде и кислых средах, а также по величине кон-
чески регистрировали оптическое поглощение при
стант диссоциации отличается от молекулы ЭДТА.
981 нм, где находится максимум главной полосы
Предсказать восстановительную способность
абсорбции Np(V), с помощью спектрофотометра
ГМДТУК по сравнению с ЭДТА затруднительно.
Shimadzu PC 3100 (Япония) или СФ-46 ЛОМО
Решить эту задачу можно только опытным путём.
(Россия). При кинетических исследованиях к рас-
ЭКСПЕРИМЕНТАЛЬНАЯ ЧАСТЬ
твору HClO4 + H4hmdta в термостатированной кю-
В опытах применяли препарат 237Np. Очистку
вете добавляли аликвоту раствора Np(VI) и следи-
нептуния и приготовление запасного раство-
ли за увеличением концентрации Np(V). Каждый
ра Np(VI) и его стандартизацию осуществля-
опыт выполняли 2-3 раза.
ли по методике, приведенной в работе
[1].
РЕЗУЛЬТАТЫ И ОБСУЖДЕНИЕ
Гексаметилендиаминтетрауксусную кислоту ква-
лификации ч. (содержание основного вещества
Стехиометрию реакции Np(VI) + H4hmdta изу-
не менее 99%) использовали без дополнительной
чали в 0.01 моль/л HClO4 при 23°С и в 0.05 моль/л
123
124
ШИЛОВ, ФЕДОСЕЕВ
Влияние условий на бимолекулярную константу скоро-
сти реакции Np(VI) + H4hmdta. I = 1.0 моль/л, [H4hmdta] =
3-10 ммоль/л, [Np(VI)] = 1 ммоль/л
T, °C
[HClO4], моль/л
k, л·моль-1·мин-1
45.0
0.10
1.520
0.25
0.190
0.50
0.050
1.00
0.012
35.0
0.25
0.060
40.0
0.25
0.120
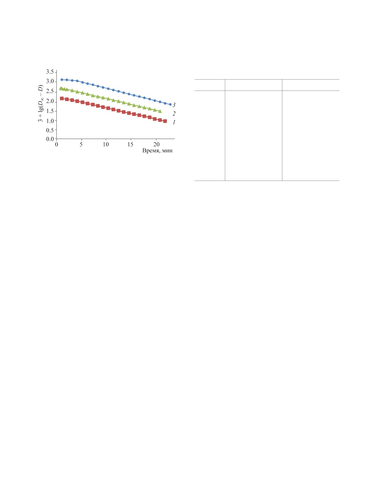
Рис. 1. Кинетические кривые восстановления Np(VI)
49.5
0.25
0.38
молекулами H4hmdta при 45°С. 0.25 моль/л HClO4,
55.0
0.25
0.68
0.75 моль/л LiClO4, 10 ммоль/л H4hmdta.
[Np(V)],
ммоль/л: (1) 0.3, (2)1,0, (3) 3.0
растворов 0.25 моль/л HClO4 + 0.75 моль/л LiClO4,
содержащих 10 ммоль/л H4hmdta и 0.3, 1.0 и
HClO4 при 45°С. Начальные концентрации Np(VI)
3.0 ммоль/л Np(VI), при 45°С.
и H4hmdta были 3 и 0.5 ммоль/л соответственно.
Концентрацию Np(V) рассчитывали, используя
[H4hmdta], ммоль/л
2
3
5
10
20
молярный коэффициент погашения Np(V), равный
k'×104, c-1
3.60
4.80
9.50
19
40
403 л·моль-1·см-1. При комнатной температуре за
70 ч образовалось 1.58 ммоль/л Np(V), при 45°С за
k, л·моль-1·с-1
0.18
0.16
0.19
0.19
0.20
8.7 ч накопилось 1.9 ммоль/л Np(V), т.е. Δ[Np(V)]/
Кинетические зависимости прямолинейны до
Δ[H4hmdta] близко к 4. Ниже приводится пример
момента, когда прореагировало половина или бо-
одного из опытов.
лее Np(VI).
Время, ч
0.014
0.033
0.211
4.17
8.67
Прямолинейность начальных участков кинети-
[Np(V)], моль/л
0.54
0.82
1.44
1.70
1.90
ческих кривых в полулогарифмических координа-
тах свидетельствует о первом порядке реакции по
По-видимому, реакция между Np(VI) и H4hdmta
Np(VI). Скорость реакции описывается уравнени-
протекает с высокой скоростью, так как уже через
ем:
2 мин стехиометрический коэффициент достиг
-d[Np(VI)]/dt = k'[Np(VI)] = k'([Np(V)]∞ - [Np(V)]), (5)
1.6. Дальнейшее накопление Np(V) вызвано мед-
где k' - константа скорости первого порядка. В ин-
ленной реакцией Np(VI) c продуктами разложения
тегральной форме после замены [Np(V)] на про-
ГМДТУК. Полученные данные позволяют сде-
порциональную концентрации величину D урав-
лать вывод, что в растворах, содержащих HClO4 и
нение (5) переходит в уравнение (6)
H4hmdta, протекают реакции
2.3lg(D∞
- D) = -k't + const.
(6)
Np(VI) + H4hmdta → Np(V) + R1 (медленно),
(1)
Константа скорости первого порядка увели-
Np(VI) + R1 → Np(V) + R2 (быстро),
(2)
чивается с ростом концентрации H4hmdta. Это
Np(VI) + R2 → Np(V) + R3 (медленно),
(3)
видно на примере растворов 0.25 моль/л HClO4 и
Np(VI) + R3 → Np(V) + малоактивные продукты. (4)
0.75 моль/л LiClO4, содержащих 1 ммоль/л Np(VI)
и 2-20 ммоль/л H4hmdta, при 45°С.
Кинетику реакции Np(VI) + H4hmdta исследо-
вали в растворах 0.1-1.0 моль/л HClO4 при ионной
Бимолекулярная константа скорости k
=
силе I = 1.0 моль/л, которую поддерживали добав-
k'/[H4hmdta] в изученном диапазоне концентраций
лением LiClO4. На рис. 1 приведены кинетические
H4hmdta остается практически постоянной, что
зависимости в координатах время-lg(D∞ - D) для
свидетельствует о первом порядке по восстанови-
РАДИОХИМИЯ том 62 № 2 2020
ВОССТАНОВЛЕНИЕ Np(VI) ГЕКСАМЕТИЛЕНДИАМИНТЕТР
АУКСУСНОЙ КИСЛОТОЙ
125
2.5
2.0
2.0
1.5
1.5
1.0
1.0
0.5
0.0
0.5
0.0
0.2
0.4
0.6
0.8
1.0
1.2
3.0
3.1
3.2
3.3
1 + lg[H+]
103/T, K-1
Рис. 2. Влияние концентрации ионов Н+ на константу
Рис. 3. Зависимость логарифма константы скорости
скорости восстановления Np(VI) молекулами H4hmdta
восстановления Np(VI) от обратной температуры в
в растворе с ионной силой 1.0 при 45°С.
растворах 0.25 моль/л HClO4 + 0.75 моль/л LiClO4.
телю. В таблице даны значения k, полученные в
Активированный комплекс (АК) образуется по
разных условиях.
реакции
Из представленных в таблице величин следу-
NpO22+ + H2hmdta2- = АК.
ет, что с ростом концентрации хлорной кислоты
Далее в активированном комплексе происходит
скорость восстановления Np(VI) резко снижается.
перенос заряда
На рис. 2 приведена зависимость k от [H+] в ло-
АК → NpO2+ + R1.
гарифмических координатах. При 45°С экспери-
Радикал R1 быстро реагирует с Np(VI), но не
ментальные точки лежат на прямой с угловым ко-
исключено, что радикал активирует молекулу или
эффициентом -2.0, поэтому можно сделать вывод,
ион восстановителя.
что восстановление протекает через образование
На рис. 3 представлена температурная зависи-
активированного комплекса с отщеплением двух
мость k в координатах Аррениуса. Найденная по
протонов, но не исключено, что протоны отделя-
этой зависимости энергия активации составляет
ются в равновесных реакциях до возникновения
102 ± 7 кДж/моль.
активированного комплекса.
Сравнение кинетических закономерностей ре-
Изменение ионной силы влияет на скорость
акций Np(VI) c H4edta и с H4hmdta показывает, что
реакции Np(VI) + H4hmdta. В растворе 0.1 моль/л
в одинаковых условиях константы скорости суще-
HClO4 k = 3 л·моль-1·с-1, а в растворе 0.1 моль/л
ственно отличаются, также различны механизмы
HClO4 + 0.9 моль/л LiClO4 k = 1.52 л·моль-1·с-1.
реакций с их участием.
Уменьшение скорости реакции с ростом ионной
КОНФЛИКТ ИНТЕРЕСОВ
силы характерно для взаимодействия противопо-
Авторы заявляют об отсутствии конфликта
ложно заряженных частиц.
интересов.
В растворах существуют равновесия
CПИСОК ЛИТЕРАТУРЫ
H4hmdta = H3hmdta- + H+,
1. Шилов В.П., Федосеев А.М. // Радиохимия. 2015.
H3hmdta- = H2hmdta2- + H+.
Т. 57, №3. С. 218-220.
РАДИОХИМИЯ том 62 № 2 2020