РАДИОХИМИЯ, 2020, том 62, № 1, с. 56-65
УДК 631.41
ВЗАИМОДЕЙСТВИЕ МИКРОЭЛЕМЕНТОВ ПРИ
СООСАЖДЕНИИ С ГУМИНОВЫМИ КИСЛОТАМИ
© 2020 г. Е. В. Поляковa,*, И. В. Волковa, А. А. Иошинa,б, М. Я. Чеботинав, В. П. Гусевав
а Институт химии твердого тела УрО РАН, 620990, Екатеринбург, ул. Первомайская, д. 91
б НПП «Эксорб», 620027, Екатеринбург, пер. Красный, д. 8б-11
в Институт экологии растений и животных УрО РАН, 620144, Екатеринбург, ул. 8 Марта, д. 202
* e-mail: polyakov@ihim.uran.ru
Получена 14.08.2018; после доработки 13.02.2019; принята к публикации 20.02.2019
На примере данных по сорбции-соосаждению микроэлементов, имитирующих продукты коррозии,
активации, деления обсуждается характер изотерм сорбции катионов (М) природными гуминовыми
кислотами (ГК). Показано, что зависимость коэффициента распределения микроэлемента (Kd) от отно-
шения массы к объёму раствора ГК в области концентраций ГК 10-990 мг/л объясняется протеканием в
сорбционной системе двух параллельных процессов: конкурентной сорбции ионов М и Ca(II) осадком
ГК и образования несорбирующегося (Kd < 10 мл/г) комплекса между ионом М и высокомолекулярными
органическими соединениями, остающимися в растворе после осаждения ГК. Приведены данные опти-
ческой спектроскопии растворов ГК и растворов над осадком твёрдой ГК, показывающие присутствие
в растворе высокомолекулярных органических соединений с максимумом при 220±20 нм и плечом при
264±30 нм, характерными для фульвокислот. Предложена вероятная схема взаимодействия катионов
сорбата с осадком ГК и сопутствующими молекулами фульвокислот. Впервые приведены данные по
изотопообменному выделению трития (ТНО) из водных растворов осадками ГК.
Ключевые слова: микроэлементы, радионуклиды, тритий, гуминовая кислота, соосаждение, фульво-
кислота, комплексообразование, конкурентная сорбция, модель
DOI: 10.31857/S0033831120010086
Гуминовые кислоты (ГК) выступают в качестве
барьеров переносу радионуклидов [12]. В процес-
активных органических переносчиков ионов ми-
сы глобального накопления и переноса долгоживу-
кроэлементов, их радионуклидов в водных и поч-
щих техногенных радионуклидов большой вклад
венных растворах [1-4]. Особенностью химиче-
вносит миграция радионуклидов цезия-137, строн-
ского поведения ГК в растворах является их «ду-
ция-90, трития, изотопов урана, трансурановых
ализм», состоящий в проявлении свойств высоко-
элементов, других долгоживущих радионуклидов.
молекулярных ионных комплексов с кислотными
Эти радионуклиды возникают и сопутствуют ядер-
центрами различной силы и редокс-группами, а
но-топливным циклам, способны попадать в окру-
также свойств коллоидных растворов, склонных к
жающую среду при техногенных катастрофах,
коагуляции в результате протонирования преиму-
испытаниях ядерного оружия, технологических
щественно в кислых растворах [5-9]. Гуминовые
операциях, при хранении. Эффективность их свя-
вещества привлекают внимание не только необ-
зывания определяют кислотно-основные свойства
ходимостью знания физико-химического и геохи-
гуминовых кислот [9, 13-15]. Роль ГК в перено-
мического поведения продуктов их связывания с
се этих и подобных им по химическим свойствам
ионами в растворах, но возможностью управления
радионуклидов в водной среде является важной
процессами массопереноса радионуклидов и са-
самостоятельной задачей, решение которой по-
мопроизвольной очистки объектов природной сре-
зволит более детально оценивать технологические
ды на принципах зелёной химии и конкурентной
возможности устранения последствий радиоак-
сорбции [2, 3, 10, 11], при создании сорбционных
тивных аварий, прогнозировать рассеяние и ло-
56
ВЗАИМОДЕЙСТВИЕ МИКРОЭЛЕМЕНТОВ
57
Рис. 1. а - Изменение состава растворов ГК по отдельным элементам в процессе разбавления и б - соотношение концен-
трации элементов в исходных растворах ГК при различных способах оценки концентрации микроэлементов в фазах. Ось
абсцисс: концентрация установлена путём вычисления степени разбавления исходного раствора ГК известного состава;
ось ординат: концентрация установлена путём суммирования содержания элемента в фильтрате и осадке.
кализацию радионуклидов в окружающей среде.
ной кислоты [17]. Рабочие растворы с переменной
Так, ионы Sr(II) образуют устойчивые комплексы
концентрацией природной гуминовой кислоты
с гуминовыми кислотами в нейтральной и щелоч-
готовили в пробирках из стекла путём введения
ной средах [16]. Их равновесные характеристики
дозатором (BIOHIT Proline Plus 1000) аликвот с
сорбции зависят от степени заполнения обмен-
раствором катионов в среду ГК различной концен-
ных центров ГК и уровня концентрации носите-
трации. Использовали ГК природного происхож-
ля Sr(II), ионов-аналогов в растворе, кислотности
дения из района г. Салехарда Тюменской области,
среды. Зависимость коэффициента распределения
состав которой отвечал следующей концентрации
Sr(II) от начальной концентрации ГК при соосаж-
основных элементов (мас%): С 62.0, H 4.3, N 1.4,
дении заставляет предположить возможность об-
O 32.5. Природные растворы ГК этого типа явля-
разование ионами стронция несорбирующегося
ется гидрокарбонатно-хлоридно-натриевой слабо-
или слабо сорбирующегося комплекса с продукта-
минерализованной водой, содержат 700-1050 мг/л
ми кислотного гидролиза ГК [17, 18]. Эти факты
гуминовых кислот, а также нейтральные и кислые
и предположения требуют уточнения на приме-
битумы [21]. В таблице приведён состав главных
ре широкого круга микроэлементов с несхожим
элементов ГК, использованной нами в исследова-
физико-химическим поведением [19, 20]. Целью
ниях.
работы являлось получение и анализ изотерм со-
Для подготовки сорбционных экспериментов
рбции-соосаждения представительной многоза-
в ёмкости 60 мл из полиэтилена высокого давле-
рядных катионов элементов, установление хими-
ния добавляли в разных пропорциях исследуемый
ческой природы продуктов комплексообразования
раствор с концентрацией ГК 990 мг/л и дистилли-
в раствора ГК, формулировка на этой основе сорб-
рованную воду так, чтобы концентрация ГК меня-
ционной модели взаимодействия микроэлементов
лась, а общий объём после смешения составлял
сорбата при соосаждении с ГК.
49 мл. Затем в каждую ёмкость вносили аликвоту
раствора микроэлементов, полученного после сер-
ЭКСПЕРИМЕНТАЛЬНАЯ ЧАСТЬ
нокислотного вскрытия и растворения навески мо-
При проведении сорбционных экспериментов
нацита. Принятая процедура вытеснения серной и
использовали раствор катионов, получаемый по-
фосфорной кислот соляной кислотой обеспечи-
сле растворения навески монацита в аликвоте сер-
вала последующее присутствие свободных суль-
РАДИОХИМИЯ том 62 № 1 2020
58
ПОЛЯКОВ и др.
фат- и фосфат-анионов на уровне менее 1-10 мг/л.
ское смещение уровня концентрации, связанное
Объём раствора V в каждой ёмкости составлял
с буферными свойствами гуминовых кислот при
50 мл, pH растворов поддерживали в диапазо-
введении химических элементов с аликвотой рас-
не 1.5-2.0 при 23°С (измерение на рН-метре
твора микроэлементов; поэтому увеличение сте-
«Анион»). Состав исходных растворов по содер-
пени разбавления ниже определённого предела не
жанию как части микроэлементов, так и ГК из-
приводит к существенному уменьшению концен-
меняли путем разбавления (рис. 1а). После под-
трации микроэлементов в растворе для отдельных
кисления и образования суспензии ГК ёмкости с
элементов (например, Ce, U, Th и др.; рис. 1б).
растворами в закрытом виде выдерживаем 2 сут
Концентрацию трития в растворах ГК измеря-
при периодическом перемешивании. Затем осадок
ли с использованием образцового радиоактивно-
ГК в каждом растворе отделяли фильтрованием
го раствора (ОРР, ВНИИФТРИ) тритированной
на бумажном фильтре «синяя лента». Полученные
воды ТНО с содержанием радионуклида 106 Бк/г.
фильтраты анализировали на содержание 30 ми-
Стеклянную ампулу с тритием объёмом 10 мл раз-
кроэлементов на масс-спектрометре в режиме
бавляли в 1 л дистиллированной воды, полученная
TotalQuant. Для определения массы сорбирован-
активность радионуклида составляла 966 Бк/мл
ных осадками ГК микроэлементов фильтры с ГК
или 9500 имп/(мин·мл) в условиях измерения.
сушили на воздухе, озоляли в платиновых тиглях
Рабочий раствор готовили разбавлением раствора
на воздухе при 500°С. Остатки от озоления обра-
ОРР в 25 раз. Полученный раствор разливали по
батывали 1 мл концентрированной HNO3 ос.ч. и
250 мл в плоскодонные колбы из стекла и отби-
доводили объем исследуемого раствора до 50 мл
рали из них по 1 мл тритиевой воды во флаконы
бидистиллированной водой. В приготовленных
из не содержащего калий стекла для установле-
растворах измеряли концентрацию выбранных
ния исходной активности трития в каждой колбе.
элементов в условиях, аналогичных определению
В раствор добавляли различное количество ГК.
состава исходного раствора и фильтратов. Масс-
Один раствор оставляли без введения ГК (кон-
спектрометрический анализ выполняли на при-
троль). Значение рН приготовленных растворов
боре ELAN 9000, устанавливая начальную (Сн)
составляло
7.5. Колбы закрывали притёртыми
конечную (Ск) концентрации каждого из микроэ-
пробками и помещали в вытяжной шкаф до окон-
лементов в анализируемых растворах и их концен-
чания эксперимента. Для исследования поглоще-
трацию в осадке ГК (СГК) без разбавления. По ре-
ния трития гуминовой кислотой из каждой колбы
зультатам определения этих величин, пересчитан-
отбирали по 10 мл раствора в стеклянные стака-
ных на массовую концентрацию микроэлемента в
ны на 50 мл и осаждали гуминовую кислоту при-
единице объёма исходного исследуемого раствора,
бавлением аликвоты 50 мкл 6 моль/л НСl. После
вычисляли степень сорбции микроэлемента (S) по
30-40 мин отстаивания раствор фильтровали че-
разнице в составе растворов до и после соосажде-
рез фильтр «синяя лента». В контрольный раствор
ния с протонированной гуминовой кислотой [S(1)]
также добавляли аналогичный объем HCl для учё-
и по соотношению содержания микроэлемента в
та изменения эффективности измерения скорости
твёрдой и жидкой фазах [S(2)]:
счёта вследствие гашения от внесения кислоты.
S(1) = (Cн - Ск); S(2) = CГК/(Cк + СГК).
(1)
Значения рН отфильтрованных растворов состав-
Погрешность определения концентрации ми-
ляли во всех вариантах опыта 1.5-2.0. Из фильтра-
кроэлемента в растворе составляла не более 5%.
та отбирали три параллельных пробы раствора по
Сравнение результатов определения величины
1 мл в стеклянные флаконы для измерения β-ак-
сорбции обеими способами (1) показало, что вы-
тивности. При проведении измерения трития объ-
числение по методу S(2) содержат наименьшую
ем использованной сцинтилляционной жидкости
препаративную погрешность [22]. Погрешность
ЖС-8 на один флакон составлял 11 мл. Измерения
вызвана тем, что при установлении начальной
проб проводили на спектрометрической установке
концентрации в растворах Сн путём разбавления
DELTA-300. Пробы «стабилизировали», выдержи-
раствора ГК (рис. 1а), в области низких концен-
вая в приборе 2 ч. Время трёхкратного измерения
траций микроэлементов возникает систематиче-
каждой пробы составляло 10 мин, обеспечивая
РАДИОХИМИЯ том 62 № 1 2020
ВЗАИМОДЕЙСТВИЕ МИКРОЭЛЕМЕНТОВ
59
относительную погрешность измерения скорости
105
счёта не выше 3%. В процессе обработки данных
Na
Ca
по скорости счёта вводили поправку на изменение
Sr
Co
концентрации трития в экспериментальных рас-
104
La
Ce
творах за счёт их разбавления водой и изменения
Eu
Th
кислотности [23].
U
103
THO
Для записи оптических спектров пропускания
нейтральных гуматных растворов различной сте-
102
пени разбавления, а также фильтратов, полученных
после кислотного осаждения и отделения осадков
ГК при рН 1.5-2.0, использовали спектрофотометр
101
10
100
1000
SpectraMax Plus 384 Absorbance Microplate Reader
ȽɄ, ɦɝ/ɥ
(Molecular Devices). Оптическую плотность иссле-
дуемых растворов определяли относительно дис-
Рис. 2. Пример экспериментальных изотерм соосаж-
дения микроэлементов с осадком ГК. рН 1.8, 23°С.
тиллированной воды. Для получения фильтратов
Пояснения в тексте.
нейтральные растворы ГК с разной концентрацией
подкислили 0.1 мл раствора 6 моль/л HCl до рН
соосаждению микроэлементов с гидроксидами
1.5-2, осадки ГК отфильтровали, фильтраты раз-
[25] коэффициент распределения (Kd) гуматных
бавляли дистиллированной водой и выполняли
комплексов микроэлементов между раствором
измерения. Это давало возможность проследить
и осадком ГК определяется тем рН, при котором
зависимость оптической плотности исследуемых
происходило их соосаждение с гуминовой кисло-
растворов ГК от концентрации в них основного
той, а также концентрацией растворённого орга-
компонента - гуминовых кислот, установить связь
нического углерода [18]. Пример эксперименталь-
между концентрацией и оптической плотностью
ных зависимостей Kd при соосаждении микроэле-
нейтральных растворов ГК и относительной кон-
ментов от общей (начальной, до осаждения) кон-
центрацией растворимых в кислоте форм органи-
центрации ГК в исходном растворе минеральной
ческого углерода, остающихся в фильтратах после
воды приведён на рис. 2. Учитывая, что гуминовые
отделения осадка ГК (фульвокислот ФК, нейтраль-
кислоты практически нерастворимы при рН 1.5-2,
ных и кислых битумов). Размер и заряд коллоид-
наблюдаемая зависимость Kd-[ГК] может быть вы-
ных частиц ГК определяли на приборе динами-
звана существованием в растворе после отделения
ческого светорассеяния и электрофореза Zetasizer
осадка ГК несорбирующегося или слабо сорбиру-
ющегося комплекса микроэлементов с теми фор-
Nano ZS Particle Analyzer (Malvern Instruments).
мами органического углерода, которые остаются
РЕЗУЛЬТАТЫ И ИХ ОБСУЖДЕНИЕ
в фильтрате после отделения осадка ГК. Согласно
данным таблицы, к растворимым в кислоте орга-
Известно, что выделение ГК из природных об-
ническим соединениям углерода принадлежат ФК,
разцов почвы, донных отложений, торфа, угля мо-
и в меньшей степени нейтральные и кислые би-
гут заметно различаться минеральным составом
тумы. Другой вероятной причиной наблюдаемых
выделяемых ГК. Это связано с тем, что кислотная
зависимостей Kd-[ГК] может быть конкурентная
и щелочная обработка гумусовых веществ приво-
сорбция осадком катионов и, прежде всего, ионов
дит к удалению из фракции ГК неорганических
Ca(II), присутствующих в фильтрате в макрокон-
катионов и анионов, выполняющих роль стабили-
центрациях (рис. 1а).
заторов размера, формы и заряда молекулярных
и коллоидных частиц ГК [24]. Выбранный нами
Принятая методика исследования сорбцион-
ных равновесий позволяет следующим образом
источник гуминовых кислот благодаря отсутствию
заметных количеств фульвокислот в своём составе
описать возникающие конкурентные реакции с
позволял исследовать поведение ГК без дополни-
участием катиона М и катиона- конкурента Ca(II):
—
тельных процедур химической очистки. Подобно
Maq = -M, K1 = [M]/[Maq],
(2)
РАДИОХИМИЯ том 62 № 1 2020
60
ПОЛЯКОВ и др.
группами гуминовой кислоты, K2 - константа, ха-
рактеризующая конкурентную сорбцию микроэле-
10
4.0
мента Ca-формой ГК в концентрационном прибли-
50
6
3.0
100
200 ɧɦ
жении, β(M) концентрационная константа образо-
150
220 ɧɦ
200
2.0
>240 ɧɦ
вания комплекса M(ФК)aq с лигандом, представля-
250
1.0
300
ющим собой молекулы ФК в кислом растворе над
4
400
500
0.0
0
100
200
300
осадком ГК. Предполагается, что этот комплекс
990
ȽɄ ɦɝ/ɥ
не сорбируется твёрдой фазой ГК. Комбинируя
уравнения (2) и (3), можно представить предпола-
2
гаемые реакции конкурентной сорбции ионов M и
Ca(II) активными группами ГК в следующем виде:
M]/{[Maq] + M(ФК)aq]}
00
200
400
600
800
1000
Ⱦɥɢɧɚ ɜɨɥɧɵ ɧɦ
= K1(M)/{1 + β(M)[(ФК)},
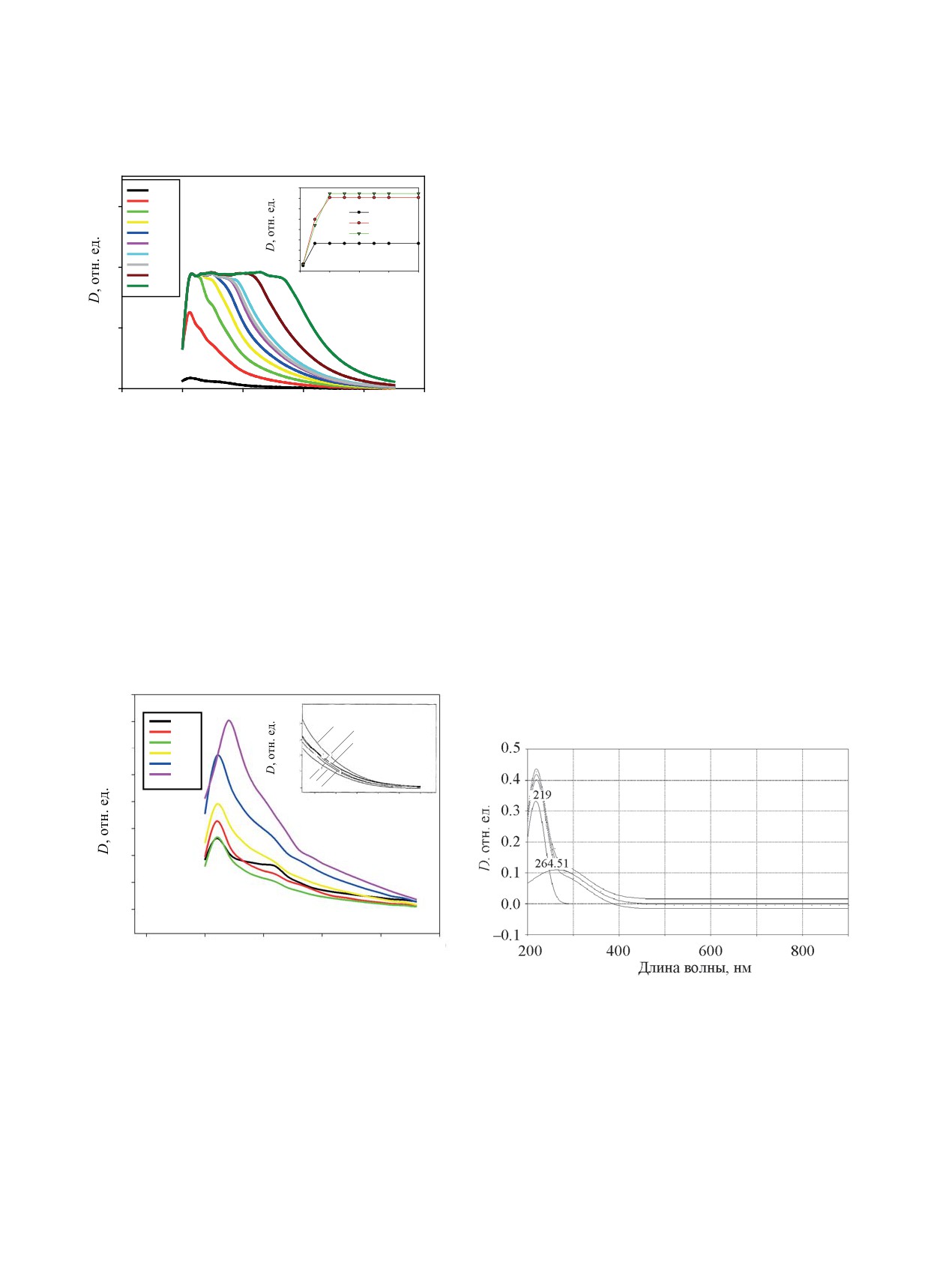
Рис. 3. Спектры изменения оптической плотности (D)
Kd(M,Ca) = K1(M,Ca)(1 +β(Ca)[(ФК)]/{1 + β(M)[(ФК)]},
растворов природной ГК различной концентрации, рН
Kd(M,Ca) = Kd(M)/Kd(Ca), K1(M,Ca) = K1(M)/K1(Ca). (4)
7.8, 23°С. Цифры у точек - концентрации ГК, мг/л;
D - оптическая плотность раствора.
Для установления состава кислоторастворимых
соединений органического углерода в природной
—
—
—
—
воде было выполнено спектрофотометрическое
Maq =
Ca = Caaq +
M, K1 = [Caaq][M]/[Maq][Ca],
исследование растворов минеральной воды, про-
Maq + АФ = М(ФК)aq, β(M) = [М(ФК)aq]/[Maq][ ФК],
(3)
дуктов её разбавления бидистиллированной во-
где символ черты указывает на принадлежность
дой и кислых фильтратов после отделения ГК из
к твёрдой фазе сорбента, индекс aq указывает на
природной воды при рН 1.8. Характер оптических
состояние акваиона М в растворе, K1 - концентра-
спектров исследуемых растворов показал, что ис-
ционная константа сорбции ионов М активными
пользованный нами природный раствор является
(а)
8
7
0.01
0.8
3
2
(б)
0.05
0.6
0.1
1
6
0.2
0.4
0.4
5
1.0
0.2
4
5
6
0.0
4
250
350
450
Ⱦɥɢɧɚ ɜɨɥɧɵ ɧɦ
3
2
1
0
150
200
250
300
350
400
Ⱦɥɢɧɚ ɜɨɥɧɵ ɧɦ
Рис. 4. а - Спектры изменения оптической плотности фильтратов, полученных после осаждения ГК различной концен-
трации, рН 1.8, 23°С. Числа на графике - значения степени разбавления фильтрата после осаждения ГК с концентрацией
990 мг/л, отн. ед. На вставке - оптические спектры поглощения природных ФК различного происхождения с близкой к филь-
тратам концентрацией [31]. б - оптический спектр фильтрата при разбавлении 0.4 и его разложение на две составляющих по
программе PeakFit. Точки - экспериментальный спектр, линии - результат разложения спектра на две составляющие; R2 -
коэффициент детерминации, SE - стандартная погрешность линеаризации, F-статистика (R2 = 0.994; SE = 0.008; F = 1048).
Номера кривых на вставке - источник ФК [31]: 1 - пахотные земли интенсивного пользования, 2 - луга интенсивного поль-
зования, 3 - земли переходного от пахотных к луговым типа, 4 - луга длительного пользования, 5 - луг, 6 - ольховое болото.
РАДИОХИМИЯ том 62 № 1 2020
ВЗАИМОДЕЙСТВИЕ МИКРОЭЛЕМЕНТОВ
61
Состав минеральной воды скважины 37РЭ г. Салехард, рН 7.8 (методики анализа приведены в [21])
Концентрация, мг/л;
Ион, параметр
Примечания
значение
NH4+
0.05
(K,Na)+
0.18
Mg2+
0.01
Ca2+
0.02
Cl-
0.30
Br-
4.20
HCO3-
0.14
F-
1.0
I-, SO42-, CO32-, NO2-, NO3- не обнаружены
Eh, мВ
350
Сухой остаток
2.10
Нейтральные битумы
2.1
Экстракция в хлороформ при рН 7, взвешивание
воздушно-сухого остатка после отгонки экстрагента
Кислые битумы
1.5
Экстракция в хлороформ при рН 3, взвешивание
воздушно-сухого остатка после отгонки экстрагента
Гуминовые кислоты
990.0
Осаждение серной кислотой при рН 2, взвешивание
воздушно-сухого остатка после отгонки экстрагента
ХПК минеральной воды , мг О/л
1040-1060
ХПК раствора после осаждения
5.0
Расчётная оценка содержания ФК по данным ХПК -
ГК при рН 2, мг О/л
4.0 мг/л
типичным представителем гуминовых кислот,
экспериментальных зависимостей видно, что оба
коллоидно-химические свойства которых усилива-
коэффициента адсорбции качественно характери-
ются с увеличением концентрации ГК [26-30]. На
зуют одну и ту же тенденцию к уменьшению с ро-
рис. 3, 4 показаны спектры поглощения нейтраль-
стом концентрации ГК. Такое изменение говорит
ных растворов ГК различной степени разбавления,
об увеличении молекулярной массы макромоле-
а также оптические спектры кислых фильтратов,
кул с ростом концентрации ГК. Подобие оптиче-
выделенных после осаждения ГК из минеральной
ских спектров сравниваемых типов ГК позволяет
воды при рН 1.8. В состав фильтратов, по данным
заключить, что исследуемые нами ГК обладают
таблицы, входят ФК и в меньшей степени ней-
относительно более высокой степенью полимери-
тральные и кислые битумы. На рис. 5 приведены
зации, которая понижается при разбавлении рас-
зависимости эмпирических коэффициентов адсо-
творов ГК (рис. 5). С ростом концентрации ГК оп-
рбции (E2/E3, E4/E6), рассчитанные нами из спек-
тическая плотность растворов возрастает, занимая
тральных характеристик ГК минеральной воды
весь оптический диапазон при концентрации ГК
(рН 7.8) по методике [26], в сравнении с аналогич-
900 мг/л и более (рис. 3). Соблюдение закона
ными данными для ГК почвенного происхождения
Бугера-Ламберта-Бера как для нейтральных рас-
[28]. Коэффициент E2/E3 представляет собой отно-
творов ГК, так и для растворов органических со-
шение адсорбции на длинах волн 250 и 365 нм и
единений, остающихся после кислотного осажде-
характеризует степень гумификации и величину
ния ГК (по определению растворимые в кислоте
молекулярной массы ГК ([26] и ссылки в этой ра-
формы гуматов являются фульвокислотами, ФК),
боте). Коэффициент E4/E6 - индекс гумификации -
показывает близость оптических и коллоидно-хи-
вычисляют как отношение адсорбции на длинах
мических свойств исследуемых нами растворов
волн 465 нм и 665 нм и интерпретируют аналогич-
как к свойствам истинных растворов высокомоле-
но коэффициенту E2/E3. Из приведённых на рис. 5
кулярных соединений (рис. 3, 4, 6), так и к свой-
РАДИОХИМИЯ том 62 № 1 2020
62
ПОЛЯКОВ и др.
ɚ
ɛ
4.0
ɷɤɫɩ
ɟɪɢɦ
ɟɧɬ
8
ɷɤ
ɫɩ
ɟɪɢ
ɦ
ɟɧɬ
3.5
Na
O
H
+
H
Cl
NaO
H
+H
Cl
7
Na
C
l
NaC
l
3.
0
Na
O
H
NaO
H
6
2.5
5
2.
0
4
3
2
0.5
1
0
0.01
0.1
1
10
0.01
0.1
1
10
Ʉɨɧɰɟɧɬɪɚɰɢɹ ȽɄ, ɝ/ɥ
Ʉɨɧɰɟɧɬɪɚɰɢɹ ȽɄ, ɝ/ɥ
Рис. 5. Сравнение коэффициентов абсорбции (E2/E3, E4/E6), вычисленных из спектральных характеристик природной
минеральной воды с ГК при рН 7.8. а: E2/E3 - отношение абсорбции на длинах волн 250 и 365 нм, б: E4/E6 - отношение
абсорбции на длинах волн 465 и 665 нм - результаты данной работы (эксперимент); символы NaOH + HCl, NaCl, NaOH
обозначают технику выделения фульвокислот из почв различными методами по данным работы [26].
ствам коллоидных растворов. В пользу правильно-
макромолекул/коллоидных частиц описывается
сти отнесения высокомолекулярных соединений в
законом Бугера-Ламберта-Бера. В частности, ли-
фильтрате к ФК говорит близость их оптических
нейная корреляция между оптической плотностью
спектров к спектрам некоторых типов ФК, выде-
на длине волны 220 нм, D(220 нм), фильтратов и
ленных из почв и грунтовых вод (рис. 5) [31, 32].
относительной концентрацией гуматного раствора
Данные рис. 5а согласуются с результатами экс-
перед осаждением ГК, выраженная в виде отноше-
периментального определения коллоидно-хими-
ния [ГК]/[ГК]max, где [ГК]max - максимальная кон-
центрация ГК в экспериментах, равная 990 мг/л,
ческих свойств минеральной воды с ГК. С ростом
концентрации в растворе в диапазоне 10-500 мг/л
описывается уравнением
коллоидное состояние частиц ГК изменяется не-
D(220 нм)
значительно: по данным светорассеяния средний
= (0.417±0.047) + (1.036±0.106)[ГК]/[ ГК]max,
(5)
размер увеличивается от 15 до 20 нм, а ζ-потенциал
с коэффициентом корреляции R = 0.950, стан-
сохраняет величину -30 мВ. При достижении кон-
дартной погрешностью линеаризации
0.090.
центрации 500 мг ГК/л заряд некоторой части кол-
Рассеяние погрешностей подчиняется нормально-
лоидных частиц скачком повышается до -10 мВ,
му распределению, вероятность отсутствия ошиб-
вероятно, за счёт одновременно происходящей
ки первого рода для уровня значимости α = 0.050
контактной коагуляции и агрегирования (полиме-
составляет 0.980. Принимая, что оптическая плот-
ризации) [10].
ность пропорциональна концентрации макромоле-
кул фульвокислот [ФК]
В отличие от природных растворов ГК тем-
но-коричневого цвета фильтраты, выделенные
D(220 нм) = ε(FA)[ФК],
(6)
после осаждения ГК при рН 1.5-2, прозрачны и
где ε(ФК) - коэффициент поглощения фульвокис-
бесцветны в видимой области спектра и по ха-
лот на длине волны 220 нм (отн. ед.), из сравнения
рактеру спектра поглощения подобны некоторым
уравнений (5) и (6) видим, что отношение [ФК]/
типам фульвокислот [26, 29]. Вместе с тем, их
[ГК] является постоянной величиной, характери-
оптические спектры в УФ области имею полосу
зующей содержание ФК над осадком ГК при рН
поглощения с максимумом при 211±20 и плечом
1.5-2. Это позволяет использовать в уравнении (4)
при 264±30 нм (рис. 4). Взаимодействие с светом
вместо неизвестной нам концентрации ФК в рас-
РАДИОХИМИЯ том 62 № 1 2020
ВЗАИМОДЕЙСТВИЕ МИКРОЭЛЕМЕНТОВ
63
ɚ
ɛ
1000
10
1
5
100
10
15
19
10
1
1
ND
Mg
Al
K
&D
Sr
0 01
THO
0 001
0 01
01
1
10
100
1000
10000
10
100
1000
01
1
[ȽɄ@ ɨɬɧ ɟɞ
[ȽɄ@ ɦɝ ɥ
ɜ
100
LD
&e
Pr
Nd
Th
10
U
1
1
10
100
1000
10000
[ȽɄ@ ɦɝ ɥ
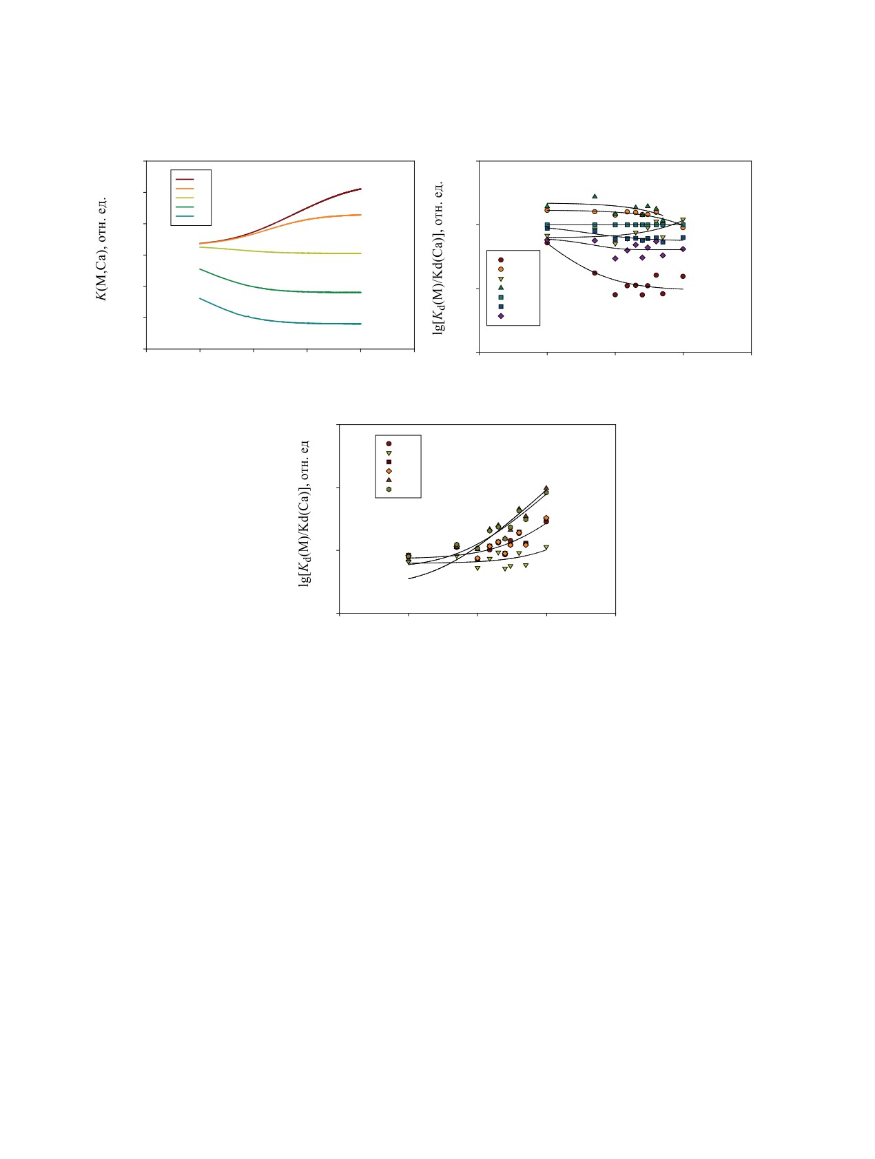
Рис. 6. Пример изотерм сорбции-соосаждения микроэлементов с ГК по результатам численного анализа модели (2)-(4),
(7) и по данным рис. 2 в координатах уравнения (7). Цифры у кривых - относительная величина коэффициента K1(M, Ca)
в уравнении (7). (а) - общий вид зависимости Kd(M,Ca) от концентрации [ГК] в раствора по (7). Экспериментальные
изотермы, для которых производная P = d[Kd(M,Ca)]/d([ГК]) < 0 (б), или P > 0 (в).
творе над осадком [ФК] начальную концентрацию
среди полученных изотерм сорбции. При сравне-
ГК [ГК]
нии коэффициентов распределения (рис. 2) и коэф-
Kd(M,Ca)
фициентов селективности (7) (рис. 6), можно сде-
= K1(M,Ca)[1 + β(Ca)][(ГК)]/(1 + β(M)][(ГК)].
(7)
лать вывод о высокой общей сорбционной специ-
фичности осадков ГК к катионам-аналогам радио-
Модель (2)-(4), (7) предполагает три типа взаи-
нуклидов - продуктов коррозии, деления и актива-
мосвязи между концентрацией гуминовой кислоты
ции, а также о возможности эффективной дезакти-
[ГК] в растворе и соотношением коэффициентов
вации растворов соосаждением с природными ГК.
распределения ионов-конкурентов (рис. 6а). При
сравнении результатов численного моделирования
Формирование осадка ГК связано с протониро-
с экспериментальными изотермами сорбции вид-
ванием обменных центров кислотного характера,
но, что с ростом [ГК] величина Kd(M,Ca) может
поэтому можно ожидать, что соосаждение микро-
уменьшаться (ионы Na, K, Mg, Sr, Al, Bi), расти (Pb,
элементов будет сопровождаться изотопообмен-
Th, U, La, РЗМ), или оставаться постоянной (TНО,
ным поглощением свежеосаждёнными осадками
Ca) (рис. 6б, в). Результаты обработки изотерм со-
тяжёлых изотопов водорода. Это предположение
осаждения (рис. 2) в координатах уравнения (7)
подтверждается сорбционным поведением три-
обнаруживают все возможные типы соотношений
тия (НТО) в виде тритированной воды при его
РАДИОХИМИЯ том 62 № 1 2020
64
ПОЛЯКОВ и др.
ɚ
ɛ
2
-2
1
-4
0
-6
L
a
-1
Co
U
B
a
Mean
Fe
Z
n
S
r
Mn
Ni
YPr
A
l
C
u
Mean
-8
–2
Si
T
h Pb
Ce
TH
O
-10
-3
T
i
M
g
K
C
r
–4
-12
-5
-14
-0.6
-0.2
0.2
0.6
1.0
-1.6
-1.2
-0.8
-0.4
0.0
0.4
lg[Kd(M)/Kd &D @ ɨɬɧ ɟɞ
lg[Kd(M)/Kd &D @ ɨɬɧ ɟɞ
Рис. 7. Найденные из экспериментальных данных по модели (2)-(4) соотношения коэффициентов распределения Kd(M)/
Kd(Ca) и концентрационные константы комплексообразования микроэлементов с продуктом кислотного растворения ГК
[β(M), отн. ед.] в фильтрате над осадком ГК; рН фильтрата 1.8, 23°С. Mean - среднее значение для всей выборки. (а) - группа
катионов с lgβ(M) = (-2±1); (б) - группа катионов с lgβ(M) = -(8±3).
соосаждении с ГК (рис. 2, 6). Формальный Kd
10 мг/л, близкий к данным химического анализа
трития характеризует высокую степень гетеро-
(см. таблицу).
генного изотопного обмена тритий-протий. Как
По величине β(M) рассмотренные элементы
видно из рис. 2, тритий способен сорбироваться
можно условно разделить на две группы: обра-
протонированной формой ГК с относительно вы-
зующих относительно устойчивые комплексы с
соким Kd, в особенности при низких концентра-
-lgβ(M) ~ 2±1 (K, Mg, Sr, Mn, Fe, Ni, Co, T, Ti) и
циях катиона-конкурента Ca(II). Увеличение кон-
не образующие устойчивых комплексов с -lgβ(M)
центрации последнего совместно с концентрацией
~ 8±3 (Al, Cu, Zn, Ba, La, РЗМ, Bi, Pb, Th, U)
самой ГК подавляет изотопообменное поглоще-
(рис. 7). Для ионов кальция(II) величина lgβ(Ca) =
ние. Установленный факт изотопного обогащения
1.30±0.30 при оценивании по обеим группам кати-
тритием гуминовых кислот, вероятно, позволит
онов. Результаты моделирования характеризуются
по-новому оценить влияние солевого состава вод
F-статистикой в диапазоне 10-400, что позволяет
пресноводных водоёмов, содержащих гумусовые
считать модель (2)-(4), (7) удовлетворительной
вещества, на сезонные вариации концентрации
при описании сорбционного поведения катионов
трития в них [23, 33]. На сорбцию трития поми-
при соосаждении с ГК.
мо отмеченной зависимости Kd от концентрации
Таким образов, исследование характера изо-
ГК существенно влияет ряд других параметров
терм сорбции катионов (М) природными гумино-
состояния водной среды и степени равновесно-
выми кислотами (ГК) показывает, что зависимость
сти всей изотопообменной сорбционной системы,
Kd от отношения массы к объёму раствора ГК в об-
что предполагается более детально рассмотреть в
ласти концентраций ГК 10-990 мг/л объясняется
дальнейшем.
протеканием в сорбционной системе двух парал-
Согласно полученным результатам, концентра-
лельных процессов: конкурентной сорбции ионов
ционная константа образования несорбирующе-
М и Ca(II) осадком ГК и образования несорбирую-
гося комплекса M(ФК) β(M) относительно мала
щегося (Kd < 10 мл/г) комплекса между ионом М и
для практически всех рассмотренных катионов.
лигандами (предположительно фульвокислотами).
Молекулярная масса фульвокислот нам неизвест-
Эти лиганды сопутствуют ГК в минеральной воде
на, но их массовая концентрация может быть оце-
и остаются в растворе с рН 1-3 после осаждения
нена в предположении, что и молекулы ГК и ФК
ГК. Такой вывод подтверждают данные оптиче-
обладают на длине волны 220 нм близкими коэф-
ской спектроскопии растворов ГК и растворов над
фициентами поглощения, ε(ФК) = ε(ГК). Это даёт
осадком ГК. Согласно этим данным, в растворе
диапазон наблюдаемых концентраций [ФК] ~ 0.1-
присутствуют высокомолекулярные органические
РАДИОХИМИЯ том 62 № 1 2020
ВЗАИМОДЕЙСТВИЕ МИКРОЭЛЕМЕНТОВ
65
соединения, обладающие оптически активными
Ind. 2013. Vol. 67, N 5. P. 773.
группами с максимумом поглощения при 211±20 нм
15. Cujic M., Petrovic J., Dragovic S. // Remediation Mea-
surements for Radioactively Contaminated Areas / Eds
и плечом при 269±30 нм, что характерно для неко-
A. Voronina, D. K. Gupta. Springer, 2018. P. 1.
торых типов фульвокислот. Предложена вероятная
16. Paulenova A., Rajec P., Zemberyova M. et al. // J. Ra-
схема взаимодействия катионов сорбата с продук-
dioanal. Nucl. Chem. 2000. Vol. 246, N 3. P. 623.
тами кислотного растворения ГК. Впервые уста-
17. Поляков Е.В. // Радиохимия. 2007. Т. 49, № 4.
новлена возможность изотопообменного выделе-
С. 378.
ния трития (ТНО) из водных растворов осадками
18. Волков И.В., Поляков Е.В., Денисов Е.И., Ио-
ГК.
шин А.А. // Радиохимия. 2017. Т. 59, № 1. С. 63-70.
Работа является частью планов фундаменталь-
19. Старик Е.И. Основы радиохимии. Л.: Наука, 1969.
ных исследований ИХТТ УрО РАН и выполнена
2-е изд. С. 647.
при поддержке РФФИ, проект № 18-03-00051.
20. Накамото К. Инфракрасные спектры неоргани-
ческих и координационных соединений. М.: Мир,
КОНФЛИКТ ИНТЕРЕСОВ
1966. С. 412.
Авторы заявляют об отсутствии конфликта
21. Жернакова З.М. Исследование ионного состава,
интересов.
органических веществ подземной воды скважины
36-РЭ и проведение биологических исследований:
СПИСОК ЛИТЕРАТУРЫ
Отчет о НИР. Екатеринбург: Екатеринбургский
1. Чувелёва Э.А., Чмутов К.В., Назаров П.П. // ЖФХ.
МНЦ, 1992. С. 1.
1962. Т. 36, № 4. C. 830.
22. Поляков Е.В., Волков И.В., Хлебников Н.А., Ио-
2. Варшал Г.М., Велюханова Т.К., Кощеева И.Я. //
шин А.А. // XX Менделеевский съезд по общей и
Гуминовые вещества в биосфере. М.: Наука, 1993.
прикладной химии: Тез. докл.. Екатеринбург: УрО
C. 97.
РАН, 2016. Т. 5. С. 214.
3. Орлов Д.С. Гумусовые кислоты почв и общая теория
23. Трапезников А.В., Чеботина М.Я., Трапезникова В.Н.,
гумификации. М.: МГУ, 1990. C. 325.
Гусева В.П., Николин О.А. Влияние АЭС на радио-
4. Перминова И.П. Анализ, классификация и прогноз
экологическое состояние водоема-охладителя /
свойств гумусовых кислот: дис. … д.х.н. M.: МГУ,
Под ред. И. М. Донника. Екатеринбург: Академ
2000. 359 с.
Наука, 2008. 400 с.
5. Bergelin A. Acid-base properties and aggregation of
24. Попов И.А. Гуминовые вещества: свойства,
humic materials, Dissertation Abstract Int., 0488—
строение, образование / Под ред. Е. И. Ермакова.
Chemistry, Inorganic. Stockholm: Kungliga Tekniska
СПб.: Изд-во С.-Петерб. ун-та, 2004. 248 с.
Hogskolan (Sweden)/Royal Inst. of Technology, 2001.
25. Егоров Ю.В. Статика сорбции микрокомпонетов
SE-100 44
оксигидратами. М.: Атомиздат, 1975. С. 275.
6. Davis C.J., Eschenazi E., Papadopulos K.D. // Colloid
26. Klucakova M., Vezníkova K. // J. Mol. Struct. 2017.
Polym. Sci. 2002. Vol. 280. P. 52.
Vol. 1144. P. 33.
7. Fukushima M., Tanaka S., Nakamura H., Ito S. // Talan-
27. Swiech W.M., Hamerton I., Huang Zeng et al. // J. Col-
ta. 1996. Vol. 43. P. 383.
loid Interface Sci. 2017. Vol. 508. P. 28.
8. Nash K., Frled Sh., Friedman A.М., Sulllvan J.С. // En-
28. Doskočil L., Pekař V.M., Wasserbauer J. // Org. Geo-
viron. Sci. Technol. 1981. Vol. 15, N 7. P. 834.
chem. 2016. Vol. 95. P. 34.
9. Kemdorff H., Schnitzer M. // Geochim. Cosmochim.
29. Minghao Zhou, Fangang Meng // Water Res. 2015.
Acta. 1980. Vol. 44. P. 1701.
Vol. 87. P. 311.
10. Поляков Е.В., Волков И.В., Хлебников Н.А. //
30. Ненахов Д.В., Котов В.В., Стекольников К.Е. //
Радиохимия. 2015. Т. 57, № 2. С. 140.
Сорбционные и хроматографические процессы.
11. Поляков Е.В. // VII Рос. конф. «Радиохимия-2012»:
2009. Т. 9, № 5. С. 665.
Тез. докл. Димитровград: ВДВ ПАК, 2012. C. 343.
12. Горяченкова Т.А., Казинская И.Е., Рылеева В.С.,
31. Kalbitz K., Gever W., Gever S. // Biogeochemistry.
Абрамова А.В., Новиков А.П. // Радиохимия. 2013.
1999. Vol. 47. P. 219.
Т. 55, № 6. С. 553.
32. Litvin V.A., Minaev B.F., Baryshnikov G.V. // J. Mol.
13. Twardowska I., Kyziol J. // Environ. Int. 2003. Vol. 28.
Struct. 2015. Vol. 1086. P. 25.
P. 783.
33. Поляков Е.В., Емельянова Н.Н., Суриков В.Т., Иль-
14. Kostić I. S., Anđelković T.D., Nikolić R.S. et al. // Hem.
вес Г.Н. // Радиохимия. 2003. Т. 45, № 1. С. 45.
РАДИОХИМИЯ том 62 № 1 2020