Радиохимия, 2019, т. 61, N 6, c. 533-539
533
Выщелачивание радионуклидов из донных осадков
водоема В-17 ПО «Маяк»
© А. К. Рожкова*а, Н. В. Кузьменковаа,б, О. А. Кангинаа, Е. А. Пряхинв,
Ю. Г. Мокровг, С. Н. Калмыкова,б
а Кафедра радиохимии химического факультета Московского государственного университета им. М. В. Ломоносова,
119991, Москва, Ленинские горы, д. 1, стр. 10; *e-mail: rozhkovaak@gmail.com
б Институт геохимии и аналитической химии им. В. И. Вернадского РАН, 119991, Москва, ул. Косыгина, д. 19
в Уральский научно-практический центр радиационной медицины, 454048, Челябинск, ул. Воровского, д. 68а
г ПО «Маяк», 456780, Озерск Челябинской обл., пр. Ленина, д. 31
Получена 10.12.2018, после доработки 11.02.2019, принята к публикации 11.02.2019
УДК 621.039.7 : 539.16.17
Исследованы параметры выщелачивания и физико-химические формы нахождения 137Cs и 241Am в
донных осадках водоема В-17 ПО «Маяк». Десорбцию проводили четырьмя растворами с разными зна-
чениями рН (вода, имитирующая по своему составу подземную воду данного района; 0.1 моль/л
Na2CO3; раствор ацетатного буфера; 1·10-3 моль/л HNO3). Установлено, что выщелачивание 137Cs и 90Sr
становится постоянным через 24 ч в случае первого раствора. Зависимости процента выщелачивания от
рН не наблюдается. Рассчитаны коэффициенты распределения 137Cs: наименьший коэффициент наблю-
дается в буферном растворе (27) и соде (21), наибольший - для воды (9250). Методом последовательно-
го выщелачивания показано, что большая часть цезия (90%) находится в нерастворимой форме. Опре-
делен основной механизм сорбции - встраивание в кристаллическую решетку глинистых минералов.
Сорбция 241Am протекает преимущественно по механизму комплексообразования с карбонатами.
Ключевые слова: последовательное выщелачивание, донные осадки, цезий-137, америций-241,
радиоактивно-загрязненный водоем.
DOI: 10.1134/S0033831119060169
Водоем В-17 («Старое болото») ПО «Маяк» ис-
водоема и гидратно-шламовых пульп, на 10% из ор-
пользуется в качестве хранилища среднеактивных
ганических остатков. Радиоактивность обусловлена
отходов. В настоящее время разработан проект кон-
главным образом 90Sr и 137Cs [3].
сервации хранилища и радиационной реабилитации
В работе [4] дан обзор результатов комплексного
прилегающей территории. Это позволит прекратить
обследования водоема и изучения параметров де-
поверхностное загрязнение территории, но поступле-
сорбции радионуклидов из донных отложений водо-
ние радионуклидов в подземный водоносный гори-
ема «Старое болото» с 1950-х гг. На первых этапах
зонт будет продолжаться. Донные осадки играют
исследования эксперименты проводили с водопро-
роль «геохимического барьера» в процессах мигра-
водной и дистиллированной водой, водопроводная
ции радионуклидов. Подвижность/доступность ра-
вода вымывала радионуклиды лучше (на 5-15%).
дионуклидов в донных осадках зависит от прочности
Результаты показали, что общее количество вымы-
их связи, которая определяется химическими свойст-
той активности β-излучающих радионуклидов со-
вами радионуклидов, состоянием и формами их на-
ставляло 47-54% в зависимости от методики иссле-
хождения в осадках и физико-химическими особен-
дования десорбции. Дополнительно был проведен
ностями донных отложений. Определение парамет-
модельный эксперимент по вымыванию 90Sr, 137Cs,
ров выщелачивания радионуклидов из твердых тех-
144Ce водопроводной и дистиллированной водой из
ногенных илов водоема позволит оценить фиксацию
искусственно загрязненного ила. Общее количество
радионуклидов в донных отложениях, отследить их
вымытой активности 137Cs из смоделированного за-
миграцию в водоеме, оценить возможность дезакти-
грязненного ила составило 12-46%. Было отмечено,
вации осадков и определить вероятность переноса
что для цезия важную роль играет ионный обмен.
между абиотической и биотической составляющими.
В 1970-х гг. был рассчитан коэффициент десорб-
Водоем В-17 (площадь поверхности водного зер-
ции 137Cs модельным раствором воды водоема В-17,
кала 0.13 км2, максимальная глубина 6.5 м [1]) нахо-
который составил 15.6·10-4 кг/л; для 90Sr он составил
дится в эксплуатации с 1949 г. Общая активность в
8.2·10-3 кг/л. Эксперимент проводили с использова-
водоеме составляет около 74·1015 Бк, основная часть
нием раствора 0.1 моль/л NH4Cl. Показано, что коэф-
радионуклидов депонирована в техногенных и при-
фициенты десорбции немного выше, чем для мо-
родных илах [2]. Придонные взвеси состоят на 90%
дельной воды (137Cs 22.7·10-4, 90Sr 10.4·10-3 кг/л). Ко-
из неорганических веществ, поступивших с берегов
эффициент десорбции стронция был примерно на
534
А. К. Рожкова и др.
Таблица 1. Характеристики исследуемых растворов
Состав раствора
pH
Ионная сила
Концентрация, моль/л
Сода (Na2CO3)
11.1
0.3
0.1
Вода, имитирующая по своему составу подземную воду
NaHCO3 4.6·10-3, CaSO4 1.4·10-3,
8.1
0.018
данного районаа
MgSO4 2.0·10-3, KCl 2.0·10-4
Ацетатный буферный раствор (CH3COONa+CH3COOH)б
5.6
6.66
Na+ 6.63, CH3COO- 6.68
Кислота (HNO3)
3.0
1·10-3
1·10-3
а Раствор готовили по стандартной методике [5] относительно pH (8.0-8.4).
б Раствор готовили по стандартной методике [6].
порядок выше, чем цезия, что указывает на большую
в непосредственной близости от места сброса ра-
подвижность 90Sr по сравнению с 137Cs.
диоактивных отходов.
В 2008 г. был проведен более детальный анализ -
Для определения параметров выщелачивания
рассчитана исходная радиоактивность осадка, изучен
радионуклидов из илов техногенного водоема В-17
состав подземной воды, которой проводилось вымы-
были приготовлены 4 раствора (табл. 1) с различ-
вание радионуклидов из осадка. В результате экспе-
ным составом и показателями рН.
римента по десорбции природной водой (рН 7.3) вы-
Флакон с навеской донного осадка (0.1 г) и рас-
мыто 7.2% 137Cs и 48.5% 90Sr от исходной активно-
твором (45 мл) помещали на шейкер (155 об/мин).
сти. При десорбции нитратным раствором природ-
Через 1, 3, 5 и далее каждые 24 ч отбирали аликво-
ной подземной воды (1.7 г/л по нитрат-иону) вымыто
13.2% цезия и 50.7% стронция от исходной активно-
ту объемом 1.5 мл, центрифугировали (20 мин,
сти. Был рассчитан коэффициент распределения
21000 об/мин). Раствор отделяли от осадка и изме-
137Cs и 90Sr для нитратного раствора (9.7 и 1.2 м3/кг
ряли с использованием γ-спектрометра (GC 3818
соответственно) и для природной воды
(15.0 и
HPGe Canberra с полупроводниковым детектором
1.4 м3/кг соответственно). В данных исследованиях
из сверхчистого германия), затем измеряли общую
было получено три основных вывода.
α,β-активность с использованием жидкостно-сцин-
тилляционного спектрометра (Tri-Carb
2700TR).
1. Зависимости вымываемой активности от номе-
Осадок также измеряли на γ-спектро-метре для
ра порций десорбирующих растворов для 137Cs и 90Sr
являются экспоненциальными. Часть 90Sr (50%) и
расчета коэффициентов распределения. Через неде-
137Cs (7-13%) присутствует в техногенных илах в
лю центрифугировали весь флакон с осадком
подвижных формах и вымывается при условии по-
(20 мин, 8000 об/мин), заменяли новой порцией
вышенного солесодержания и в случае пресной во-
исследуемого раствора и повторяли эксперимент.
ды. Трансурановые элементы практически не вымы-
Для анализа и сравнения параметров выщелачи-
ваются из техногенных илов.
вания радионуклидов по следующей формуле рас-
2. Нитратный раствор обеспечивает значительно
считывали процент выщелачивания
лучшую десорбцию из илов изотопа 137Cs, чем чис-
тая подземная вода (отличие в два раза).
Kвыщел = (A/Aисх)·100%,
3. Для 137Cs и 90Sr наблюдается закономерное уве-
где А [Бк/мл] - активность аликвоты, Аисх [Бк/г] -
личение коэффициента десорбции при проведении
исходная активность осадка.
эксперимента, что свидетельствует о наличии значи-
мого количества фиксированных (невымываемых)
Исходную активность осадка для γ-излучающих
форм данных радионуклидов (приблизительно 40-
радионуклидов предварительно рассчитывали для
50% для 90Sr и 90% - для 137Cs) [4].
конкретной навески ила, исследуемой в каждом экспе-
рименте. Исходную активность α,β-излучающих ра-
С момента последних опубликованных данных
дионуклидов брали относительно общей активности
прошло 10 лет. Интерес представляет динамика из-
для данного осадка согласно результатам работы [7].
менения подвижности радионуклидов с течением
времени. Целью работы является установление пара-
Коэффициент распределения радионуклида при
метров десорбции γ-излучающих радионуклидов
выщелачивании (Kd, мл/г) в условиях проведенного
137Cs и 241Am и их изменение во времени, а также
эксперимента для каждой i-й порции выщелачиваю-
определение механизмов сорбции радионуклидов на
щего раствора рассчитывали по формуле
донных осадках В-17. Для этого проведены экспери-
менты по последовательному выщелачиванию.
Kd = (Si-1 - CiV)/(mCi),
Экспериментальная часть
где Si-1 - активность радионуклида в навеске пробы
В 2013 г. были отобраны пробы донного осадка
илов после обработки предшествующей порцией
из водоема В-17. Место отбора проб располагается
выщелачивающего раствора (i - 1), Бк; Сi - концен-
Выщелачивание радионуклидов из донных осадков водоема В-17 ПО «Маяк»
535
трация радионуклида в i-й порции десорбата, Бк/мл;
V - объем одной порции выщелачивающего раство-
ра, мл; m - навеска пробы илов, г.
Процент выщелачивания для каждой точки опре-
деляли однократно. Погрешность эксперимента
включает в себя статистическую ошибку счета
(приборная погрешность)
0.2-2%, эффективность
обнаружения 2.5-4.5%, погрешность измерения объ-
ема 1-3%. В сумме погрешность не превышала 5%
от полученных результатов.
Расчет погрешностей для коэффициентов распре-
деления выполняли с помощью статистической об-
работки данных. Выборка была достаточной для оп-
ределения среднеквадратичного отклонения и расче-
та погрешностей по правилу 3σ.
После анализа параметров десорбции был прове-
ден эксперимент по последовательному выщелачива-
нию радионуклидов из донных осадков по методу
Тесье [8]. Во флакон помещали 0.05 г донного осадка
водоема В-17 ПО «Маяк», отношение осадок : раствор
составляло 1 : 20. Обменную фракцию получали пу-
тем перемешивания смеси 0.05 г донного осадка и
1 мл раствора 1 моль/л MgCl2 (pH 7.5) при комнатной
Рис. 1. Кинетика выщелачивания 137Cs первым (а) и вторым
температуре в течение 1 ч. Фракцию, связанную с кар-
(б) раствором. 1 - раствор соды, 2 - вода, 3 - буферный рас-
бонатами, получали путем перемешивания смеси ос-
твор, 4 - кислота.
татка с предыдущей фракции с 1 мл раствора 1 моль/л
NaAc, доведенного до рН 4.7 ледяной CH3COOH,
Для оценки статистических погрешностей экс-
при комнатной температуре в течение 3.5 ч. Для по-
перимент проводили с тремя образцами. После ка-
лучения фракции, связанной с железо-марганцовыми
ждой обработки фракции флаконы центрифугиро-
оксидами, осадок, полученный на предыдущей ста-
вали (16000 об/мин, 25 мин). Раствор отделяли от
дии, экстрагировали раствором 0.04 моль/л NH2OH·
осадка в отдельную пробирку Эппендорфа.
HCl (до рН 2.1 доводили 25%-ной HOAc) при 96°С в
течение 6 ч. Фракцию, связанную с органическим
Результаты и обсуждение
веществом, получали путем перемешивания смеси
остатка с предыдущей стадии с 2 мл 30%-ного рас-
Десорбция радионуклидов из донных отложений В-17
твора H2O2 (до pH 1.8 раствор H2O2 доводили раство-
ром 0.02 моль/л HNO3) при 85°С в течение 2 ч. Оса-
На рис. 1 приведены зависимости процента вы-
док, полученный на предыдущем этапе, экстрагиро-
щелачивания 137Cs от времени для двух растворов
вали последующим добавлением 2 мл 30%-ного H2O2
(раствор меняли раз в неделю). Для всех четырех
(pH 1.8) при 85°С в течение 3 ч. В данной фракции
растворов выщелачивание 137Cs становится постоян-
использовали соотношение осадок : раствор = 1 : 40,
ным через 24 ч в случае первого цикла выщелачива-
так как H2O2 - сильный окислитель и при нагревании
ния. Для второго цикла распределение выщелачива-
разлагается (1 мл недостаточно для выщелачивания).
ния во времени иное: в буферном растворе и кислоте
Для получения нерастворимой фракции осадки с пре-
выщелачивание прекращается через 94 ч, в воде -
дыдущей стадии переносили из флаконов в тефлоно-
через 160 ч, в растворе соды - через 24 ч.
вые стаканы для дальнейшего растворения в концен-
Изучение кинетики выщелачивания 90Sr показало
трированных кислотах (HF, HNO3, HCl). Разложение
(рис. 2, а, б), что как в первом, так и во втором рас-
нерастворимого остатка проводили в плавиковой ки-
творе выщелачивание прекратилось через 24 ч.
слоте, небольшими порциями добавляли HNO3конц и
HClконц до полного растворения осадка. Для растворе-
В результате обработки осадка первым раствором
ния остаточного органического вещества добавляли
происходит достаточно быстрый смыв исследуемых
по каплям H2O2. После растворения осадка получен-
радионуклидов с поверхности. При обработке вто-
ный раствор упаривали до образования влажных со-
рым раствором происходит более длительное выще-
лей. Соли растворяли в 1 мл 3 моль/л HNO3, получен-
лачивание радионуклидов. Для определения меха-
ные растворы измеряли на γ-спектрометре.
низма выщелачивания была изучена зависимость от
536
А. К. Рожкова и др.
Рис. 2. Кинетика выщелачивания 90Sr первым (а) и вторым (б) раствором. 1 - буферный раствор, 2 - кислота, 3 - раствор соды, 4 -
вода.
Рис. 3. Зависимость выщелачивания 137Cs (а) и 90Sr (б) от pH. Раствор: 1 - первый, 2 - второй; I - буферный раствор, II - кислота,
III - вода, IV - раствор соды.
рН среды. В целом процент выщелачивания Sr по
137Cs характерен и наиболее вероятен механизм ион-
сравнению с Cs выше.
ного обмена. В буферном растворе ионная сила наи-
большая по сравнению с остальными исследуемыми
Как видно из рис. 3, зависимости степени выще-
растворами (табл. 1); следовательно, предположив
лачивания 137Cs и 90Sr от pH не наблюдается. Поэто-
механизм ионного обмена, мы ожидали наибольший
му для дезактивации осадков можно применять рас-
процент выщелачивания в ацетатном буферном рас-
твор, наиболее подходящий для окружающей среды
творе, что и подтвердилось в эксперименте.
с pH 8.6 для изучаемого водоема, так как малейшее
изменение pH сильно сказывается на клетках живых
Для 90Sr можно предположить механизм ком-
организмов, обитающих в водоеме.
плексообразования с ацетат-анионами. Большая кон-
центрация CH3COO- способствует реакции с катио-
Отсутствие зависимости выщелачивания радио-
нами Sr2+, характерной для химии Sr(II).
нуклидов от pH позволяет сделать предположение о
На рис. 4 представлены коэффициенты распреде-
механизме сорбции. Для однозарядного катиона
ления 137Cs. Наименьший коэффициент распределе-
ния наблюдается в буферном растворе и растворе
соды, что свидетельствует о легком по сравнению с
остальными растворами выщелачивании 137Cs из
донных осадков. Для воды, наоборот, коэффициент
распределения максимален, что говорит о неэффек-
тивности выщелачивания радиоактивного цезия
водой.
В табл. 2 и 3 соотнесены процент выщелачивания
и абсолютная активность. Несмотря на слишком
низкий процент выщелачивания, в пересчете на аб-
Рис. 4. Коэффициенты распределения 137Cs. I - буферный рас-
солютную активность каждая проба является сильно
твор, II - кислота, III - вода, IV - раствор соды.
радиоактивно-загрязненной, что позволяет рассчи-
Выщелачивание радионуклидов из донных осадков водоема В-17 ПО «Маяк»
537
Таблица 2. Удельная активность 137Cs в вытяжках
Первый раствор
Второй раствор
Раствор
активность, Бк/мл
процент выщелачивания
активность, Бк/мл
процент выщелачивания
Буферный раствор
920 ± 127
0.348 ± 0.007
109 ± 12
0.042 ± 0.022
Кислота
38 ± 14
0.014 ± 0.008
22 ± 7
0.009 ± 0.008
Вода
42.0 ± 1.0
0.017 ± 0.001
29 ± 6
0.011 ± 0.008
Сода
413 ± 60
0.160 ± 0.014
169 ± 15
0.065 ± 0.011
Таблица 3. Удельная активность 90Sr в вытяжках
Первый раствор
Второй раствор
Раствор
активность, Бк/мл
процент выщелачивания
активность, Бк/мл
процент выщелачивания
Буферный раствор
3086 ± 90
2.06 ± 0.22
21 ± 5
0.010 ± 0.008
Кислота
128 ± 9
0.090 ± 0.017
175 ± 5
0.120 ± 0.009
Вода
21.7 ± 1.9
0.010 ± 0.003
12 ± 8
0.010 ± 0.001
Сода
13 ± 5
0.010 ± 0.009
24 ± 9
0.020 ± 0.001
Таблица 4. Удельная активность 241Am в вытяжках
ром растворе ацетатного буфера ни один α-
Время
Активность
излучающий радионуклид обнаружен не был, данный
Выщелачивание, %
выщелачивания, ч
пробы, Бк/мл
вывод подтвержден с помощью ЖС спектрометрии.
1
34.7
0.66
В табл. 4 сопоставлены активность 241Am и про-
5
46.6
0.88
цент выщелачивания для нескольких последователь-
97
55.6
1.06
но отобранных аликвот первого буферного раствора.
Активность полученных образцов превышает допус-
тать тысячные доли процента. Согласно НРБ-
тимые уровни вмешательства (НРБ-99/2009) для дан-
99/2009 [9], уровни вмешательства (УВ) составляют:
ного радионуклида (6.9·10-4 Бк/мл) на 6 порядков.
для 137Cs - 11·10-3, для 90Sr - 4.9·10-3 Бк/мл. По Cs
загрязнение пробы превышает нормы на 3-4 поряд-
Последовательное выщелачивание 137Cs
ка, по Sr - на 4-6 порядков. Водный раствор, имити-
и 241Am из донных отложений В-17
рующий подземную воду, коэффициент распределе-
ния для которого наименьший, превышает нормы по
Для определения форм нахождения были выбра-
загрязнению на 3 порядка, что показывает необходи-
ны два радионуклида - 137Cs и 241Am, удельную ак-
мость контроля и недопущение попадания данного
тивность определяли по γ-линиям спектров (661 кэВ
загрязнения в подземные воды.
для 137Cs, 59 кэВ для 241Am). Цезий-137 является ос-
новным дозообразующим радионуклидом исследуе-
Выщелачивание α-излучающих радионуклидов
мого водоема и хорошо детектируется при малых
процентах выщелачивания. Америций-241 - единст-
На рис. 5 представлена кинетика выщелачивания
венный α-излучающий радионуклид, зафиксирован-
241Am в буферном растворе. Америций-241 был обна-
ный при эксперименте десорбции, он является био-
ружен только в первом растворе, что может свиде-
логически доступным по отношению к гидробио-
тельствовать о смыве 241Am с поверхности частиц
нтам водной среды.
осадка. Погрешность расчетов процента выщелачива-
Первые три фракции - водорастворимая, обмен-
ния также достаточно велика, поэтому судить о дей-
ная и карбонатная - по физико-химическим характе-
ствительном выщелачивании 241Am нельзя. В других
ристикам являются наиболее подвижными и биоло-
исследуемых растворах (сода, кислота, вода) и вто-
гически доступными, поэтому содержание радио-
нуклидов в этих фракциях представляет наиболь-
ший интерес для оценки опасности загрязнения дон-
ных отложений и миграции радионуклидов с гидро-
бионтами водоема. Эксперимент по десорбции пока-
зал, что содержание 137Cs в водорастворимой фрак-
ции менее 1% от общей активности осадка; 241Am не
был обнаружен.
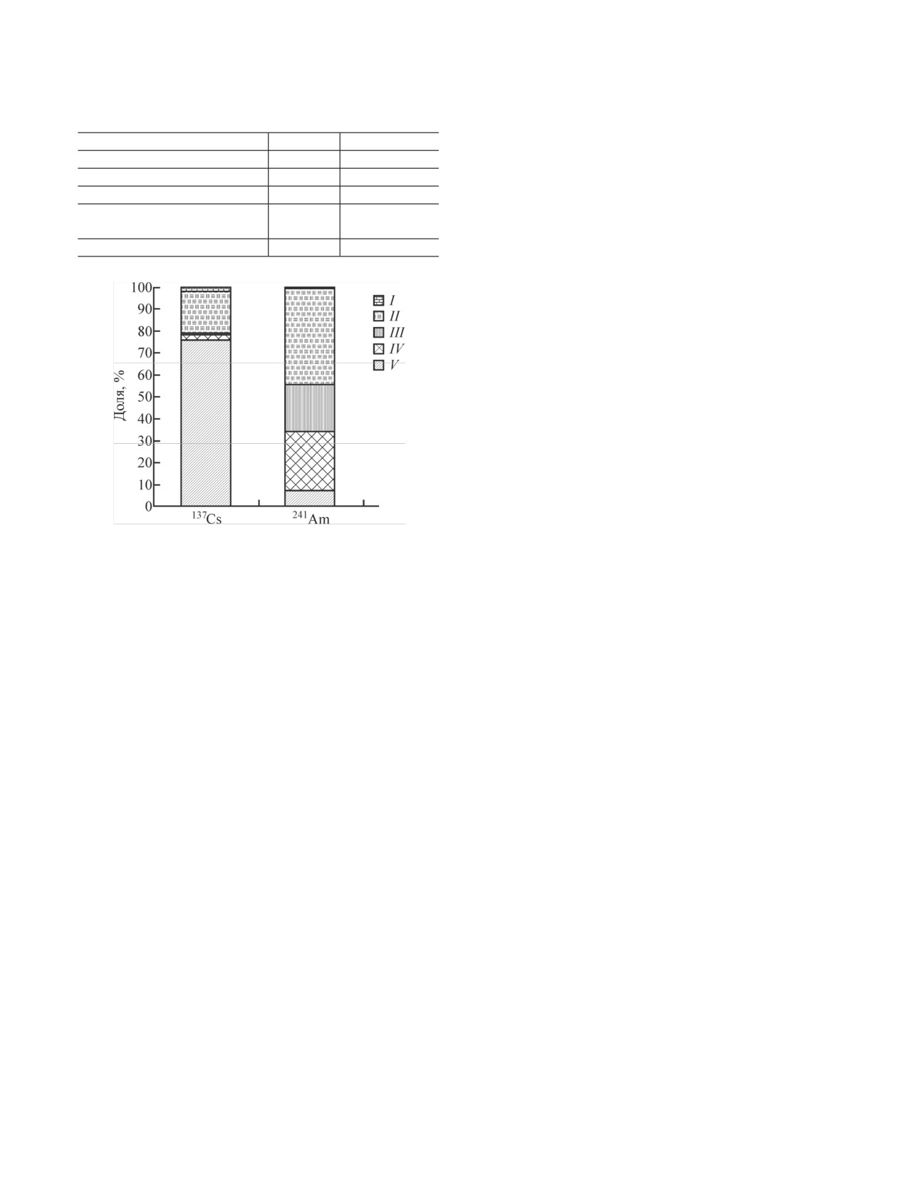
Результаты эксперимента (рис. 6) показали наи-
большее содержание 137Cs в нерастворимом остат-
ке - 43.3%, что может свидетельствовать о возмож-
ности встраивания атомов Cs в структуру глинистых
Рис. 5. Выщелачивание 241Am в первом буферном растворе.
минералов, разрушение которых достигается дейст-
538
А. К. Рожкова и др.
Таблица 5. Содержание 137Cs и 241Am во фракциях дон-
ности соединений, извлекаемых на следующих ста-
ного осадка водоема В-17
диях. Металлы извлекаются из образца при рН око-
ло 5. Содержание металлов в данной фракции может
Название фракции
137Cs, %
241Am,%
зависеть от состава донного осадка, а именно варьи-
Обменная
1.0 ± 0.1
Не обнаружен
роваться от количества карбонатных минералов [10,
Карбонатная
11.0 ± 0.7
32.7 ± 2.6
13]. Для исследуемого образца донного осадка
Железо-марганцовые оксиды
0.5 ± 0.1
15.4 ± 0.9
11.0% радиоцезия содержится в карбонатной фрак-
Связанная с органическим
1.3 ± 0.1
19.5 ± 1.1
ции. Обнаружена наибольшая часть Am (32.7%).
веществом
Комплексообразование Am с карбонатами характер-
Нерастворимый остаток
43 ± 3
5.6 ± 0.3
но для химии этого элемента и используется для его
отделения в других областях радиохимии [14]. Мак-
симальное количество Am, связанного с карбонат-
ными комплексами, подтверждено многими иссле-
дователями [15, 16].
Фракция, связанная с железо-марганцевыми
оксидами. Фракция является легко и умеренно вос-
станавливаемой, здесь выщелачиваются оксиды мар-
ганца и аморфные оксиды железа и алюминия. По
физико-химической подвижности такие соединения
умеренно и трудно мобилизуемые при средней био-
доступности. Восстанавливаемый материал почвы в
основном состоит из оксидов железа и марганца, в
частности, известных для фиксации металлов в сле-
довых количествах [17]. Fe-Mn оксиды нестабильны
в восстановительных условиях. Выщелачивание ме-
Рис. 6. Процентное распределение 137Cs и 241Am во фракциях
таллов, связанных с железо-марганцевыми оксида-
донного осадка водоема В-17. Фракции: I - обменная, II -
ми, проводится при низких показателях рН (pH 2),
карбонатная, III - железо-марганцевые оксиды, IV - связанная
что указывает на низкую биодоступность радионук-
с органическим веществом, V - нерастворимый осадок.
лидов, с ними связанных. Обнаружена значительная
часть Am (15.4%). Наибольшее содержание Am
вием сильных кислот, таких как HF, HClO4, HCl и
обычно наблюдается во фракциях, связанных с кар-
HNO3.
бонатами (преобладающая), железо-марганцевыми
Рассмотрим формы нахождения и содержание
оксидами и с органическим веществом. В среднем
исследуемых радионуклидов в каждой фракции
количество Am во фракциях, связанных с Fe-Mn
(табл. 5).
оксидами и органическим веществом, примерно
Обменная фракция. Обменные катионы удер-
одинаково. Содержание может отличаться из-за хи-
живаются в образце за счет слабых электростатиче-
мического состава почвы.
ских взаимодействий, их поведение определяют
Фракция, связанная с органическим вещест-
процессы ионного обмена. Изменение ионного со-
вом (окисляемая фракция). Двукратным выщелачи-
става среды и понижение рН раствора приводят к
ванием раствором H2O2, подкисленным HNO3 до рН
мобилизации обменных ионов
[10]. Физико-
2, при соотношении Т : Ж = 1 : 40 экстрагируются
химически эта фракция является подвижной и био-
устойчивые органические соединения и сульфиды,
логически легкодоступной. Низкий процент содер-
соли гуминовых кислот и фульвокислот. Биологиче-
жания Cs и отсутствие Am в этой фракции подтвер-
ски фракция труднодоступная и физико-химически
ждают небольшую возможность перехода исследуе-
трудномобилизуемая. Для цезия нехарактерно свя-
мых радионуклидов из осадка в воду. Однако даже
зывание в комплексы с органическими соединения-
при низком содержании 137Cs в обменной фракции -
ми донных отложений [18]. Америций в процентном
1.0% от общей активности 137Cs в осадке- получен-
соотношении находится приблизительно в таком же
ный раствор, удельная активность которого
количестве, что и во фракции, связанной с железо-
365 Бк/мл, является радиоактивно загрязненным и
марганцевыми оксидами.
превышает установленные НРБ-99/2009 нормы [9].
Нерастворимый остаток. В остаточной фракции
Карбонатная фракция. В некоторых методиках
наблюдается наибольшее количество цезия, что ха-
последовательного выщелачивания данная фракция
рактеризует изоморфное замещение натрия и калия
также называется кислоторастворимой [11, 12]. На
в кристаллической структуре глинистых минералов.
данной стадии извлекаются металлы, соосажденные
Физико-химически фракция является неподвижной
с карбонатами, а также адсорбированные на поверх-
и биологически недоступной, что свидетельствует о
Выщелачивание радионуклидов из донных осадков водоема В-17 ПО «Маяк»
539
максимальной сорбции цезия донными осадками как
осадков. При высоких удельных активностях дон-
«геохимическим барьером».
ных осадков, несмотря на низкий процент десорб-
ции (<1%) любым раствором (кроме сильных кислот
Таким образом, нами проведены эксперименты
и 1 моль/л NaAc), контактирующий раствор будет
по выщелачиванию радионуклидов из донных осад-
также превышать допустимые нормы (НРБ-99/2009)
ков В-17 ПО «Маяк», определены формы нахожде-
на порядки.
ния 137Cs и 241Am. В результате опыта по десорбции
выявлено выщелачивание 137Cs (0.009-0.348%), 90Sr
Исследование выполнено за счет гранта Россий-
(0.01-2.06%). Определены кинетические параметры
ского научного фонда (проект N 16-13-00049).
выщелачивания: первый смыв происходит в течение
24 ч для 137Cs и 90Sr во всех исследованных раство-
Список литературы
рах; вторым раствором выщелачиваются: 137Cs за
[1] Пряхин Е. А., Тряпицина Г. А., Дерябина Л. В. и др. //
время от 24 до 160 ч, 90Sr - за 24 ч. Рассчитаны коэф-
Вопр. радиац. безопасности. 2011. Спецвыпуск N 2. С. 5-
фициенты распределения (мл/г) для четырех раство-
23.
ров: сода - 20, вода - 9000, буферный раствор - 27,
[2] Стукалов П. М. // Вопр. радиац. безопасности. 2000. N 1.
C. 50-60.
кислота - 3800. Процесс выщелачивания 137Cs и 90Sr
[3] Стукалов П. М., Симкина Н. А. // Вопр. радиац. безопас-
не зависит от рН, но зависит от ионной силы раство-
ности. 2003. N 1. С. 59-68.
ра. Радиоактивность итоговых растворов превышает
[4] Стукалов П. М., Симкина Н. А. // Вопр. радиац. безопас-
УВ для 137Cs (11 Бк/л) минимум на три порядка, для
ности. 2008. N 2. С. 44-60.
90Sr (4.9 Бк/л) - минимум на 4 порядка, для 241Am
[5] Heber M. A. Short-term methods for estimating the chronic
toxicity of effluents and receiving waters to freshwater organ-
(0.69 Бк/л) - на 6 порядков (НРБ-2009/99).
isms // US Environmental Protection Agency, Environmental
Детальные сведения о формах нахождения иссле-
Monitoring Systems Laboratory, 1994. P. 25-27.
дуемых радионуклидов показал эксперимент после-
[6] Государственный стандарт качества ОФС 42-0072-07 //
Государственная фармакопея XII. Минздрав РФ, 2007.
довательного выщелачивания по методу Тесье [8].
Ч. 1.
137Cs возможно перевести в растворимую форму
[7] Кузьменкова Н. В., Власова И. Э., Рожкова А. К. и др. //
только под действием сильных кислот-окислите-
Вопр. радиац. безопасности. 2017. N 1. С. 54-66.
лей - бóльшая часть 137Cs обнаружена в нераствори-
[8] Tessier A., Campbell P. G. C., Bisson M. // Anal. Chem.
мом остатке (43%), это может указывать на основ-
1979. Vol. 51. P. 844-851.
[9] НРБ 99/09: Нормы радиационной безопасности. Заре-
ной механизм сорбции в донные осадки - встраива-
гистр. в Минюсте РФ 14 августа 2009 г. Рег. N 14534.
ние в структуру глинистых минералов. В донных
[10] Федотов П. С., Спиваков Б. Я. // Успехи химии. 2008.
осадках сорбция 241Am идет по механизму комплек-
Т. 77. С. 690-703.
сообразования преимущественно с карбонатами и в
[11] Ure A. M., Quevauviller Ph., Muntau H., Griepink B. // Int. J.
меньшей степени с органическим веществом и желе-
Environ. Anal. Chem. 1993. Vol. 51. P. 135-151.
[12] Rauret G., Lopez-Sanchez J. F., Sahuquillo A. et al. // J. Envi-
зо-марганцевыми оксидами. Полученные результаты
ron. Monit. 1999. Vol. 1. P. 57-61.
совпадают с результатами исследований на других
[13] Sheppard M. I., Thibault D. H. // Soil Sci. Soc. Am. J. 1992.
водоемах вблизи территории ПО «Маяк». В частно-
Vol. 56. P. 415-423.
сти, исследования форм нахождения радионуклидов
[14] Мясоедов Б. Ф., Гусева Л. И., Лебедев И. А., Милюко-
в водоемах В-10 и В-11 выявили основное содержа-
ва М. С., Чмутова М. К. Аналитическая химия трансплу-
тониевых элементов. М.: Наука, 1972. 185 c.
ние Cs и минимальное - Am в труднорастворимой
[15] Bunzl K., Flessa H., Kracke W., Schimmack W. // Environ.
фракции [19].
Sci. Technol. 1995. Vol. 29. P. 2513-2518.
Результаты последовательного выщелачивания
[16] McDonald P., Vives i Batlle J., Bousher A. et al. // Sci. Total
Environ. 2001. Vol. 267. P. 109-123.
всегда зависят от многих факторов и могут быть ин-
[17] Jenne E. A. // Adv. Chem. 1968. Vol. 73. P. 337-387.
терпретированы по-разному, однако нахождение
[18] Mori M., Tsunoda K.-i., Aizawa S. et al. // Sci. Total Environ.
цезия в биологически недоступной и физико-
2016. Vol. 575. P. 1247-1254.
химически неподвижной фракции указывает на не-
[19] Павлоцкая Ф. И., Новиков А. П., Горяченкова Т. А. и др. //
возможность потенциальной дезактивации донных
Радиохимия. 1998. Т. 40, N 5. С. 462-467.