Радиохимия, 2019, т. 61, N 5, c. 439-445
439
Оценка влияния физико-химических факторов
на процессы выщелачивания радионуклидов из грунта
© А. М. Раимканова*a, А. К. Айдархановаa, О. Н. Ляховаa, З. Б. Сержановаa
а Институт радиационной безопасности и экологии Национального ядерного центра Республики Казахстан,
071100, Курчатов Восточно-Казахстанской обл., Бейбіт атом 2, зд. 23; *e-mail: raimkanova@nnc.kz
Получена 30.10.2018, после доработки 27.05.2019, принята к публикации 02.06.2019
УДК 539.163:542.61
Определена степень выщелачивания радионуклидов из грунта в районе «Атомного озера» (Казахстан).
По мере увеличения времени взаимодействия грунта с выщелачивающим раствором возрастает концен-
трация 3Н и 90Sr в водных вытяжках. Уменьшение перехода 239+240Pu в раствор с течением времени мо-
жет быть вызвано образованием в процессе выщелачивания коллоидов и их последующим осаждением
или сорбцией на компонентах почвы. Несмотря на относительно высокое начальное содержание γ-из-
лучающих радионуклидов (137Cs, 241Am, 152,154Eu, 60Со) на уровне от n·102 до n·104 Бк/кг в грунте, при
изучении выщелачивания содержание данных радионуклидов в водных вытяжках оказалось ниже пре-
дела обнаружения используемой методики и составило <1 Бк/л. Изучено влияние на процесс выщелачи-
вания гранулометрического состава почвы, pH среды, степени минерализации и химического состава
воды. Проведенные исследования дают основание полагать, что переход техногенных радионуклидов
из грунта в воду путем выщелачивания является одним из основных механизмов радиоактивного за-
грязнения вод «Атомного озера».
Ключевые слова: радионуклиды, выщелачивание из грунта, «Атомное озеро».
DOI: 10.1134/S0033831119050149
Многими исследованиями и наблюдениями по-
ла (%): для 144Ce - 0.9, 137Cs - 4.2, 106Ru - 4.1, 95Zr,
казано, что для долговременного прогнозирования
95Nb - 0.9 [3].
поведения техногенных радионуклидов в окружаю-
Одной из важнейших задач при изучении радиа-
щей среде необходимы данные о выщелачивании.
ционной обстановки в районе «Атомного озера»
Степень выщелачивания радионуклидов (в процен-
является исследование и прогнозирование поведе-
тах от исходного содержания в образце) рассчита-
ния радионуклидов в окружающей среде, в частно-
на в ряде работ, объектом исследований которых
сти, в уточнении механизма поступления техноген-
являлась зона Чернобыльской АЭС. Выщелачива-
ных радионуклидов в воды исследуемого водоема.
ние проводили растворами различного состава из
На основании данных проведенных работ можно
почвы и частиц радиоактивных выпадений, а также
заключить, что вероятными источниками формиро-
из техногенных новообразований. Так, например, в
вания загрязнения вод «Атомного озера» являются
работе [1] первоначально в качестве выщелачиваю-
процессы, связанные с выщелачиванием радионук-
щего раствора использовали водную вытяжку почв
лидов из береговых грунтов и их последующее пе-
(чернозем) из района ЧАЭС, далее проводили се-
ремешивание в водной среде. Данные исследова-
рию опытов по выщелачиванию дистиллированной
ния актуальны для оценки вклада зоны навала
водой, аммонийно-ацетатным буфером (pH 4.8),
грунта в радионуклидное загрязнение вод «Атом-
раствором 1 моль/л HCl. Степень выщелачивания
ного озера».
из топливосодержащих частиц дистиллированной
водой (%) лежала в интервалах: для 106Ru - (2.1-
Экспериментальная часть
11)·10-3, 137Cs
- (1.3-3.6)·10-2, 144Ce - (0.87-15)×
10-3. При использовании буферного раствора сте-
Объект исследования
пень выщелачивания (%) составила: для 106Ru -
(2.7-19)·10-2; 137Cs
- (0.9-2.4)·10-2, 144Ce - (1.0-
«Атомное озеро», расположенное на площадке
9.0)·10-2. На порядок выше была степень выщела-
«Балапан», образовано в результате экскавацион-
чивания радионуклидов из частиц раствором
ного взрыва 15.01.1965 г. мощностью 140 кт на
1 моль/л HCl. Обработку образцов почвы в работе
месте слияния рек Шаган и Ашису, в результате
[2] проводили водными вытяжками опада листьев,
которого образовалась воронка глубиной более
сосновых веток и хвои, торфа. Максимальная сте-
100 м и диаметром 400 м, заполнившаяся водой [4].
пень выщелачивания установлена при использова-
Наиболее загрязненным является участок в непо-
нии водной вытяжки опада листьев. Она составля-
средственной близости от воронки «Атомного озе-
440
А. М. Раимканова и др.
Таблица 1. Начальное содержание техногенных радионуклидов в грунте
Содержание радионуклидов, кБк/кг
Точка отбора
Фракция, мм
3Н
90Sr
239+240Pu
137Cs
241Am
152Eu
154Eu
60Со
1.0-0.5
52 ± 5
8.4 ± 0.8
7.0 ± 0.7
5.9 ± 0.6
0.46 ± 0.05
2.1 ± 0.2
0.7 ± 0.07
0.48 ± 0.05
Т.1
0.5-0.25
87 ± 9
8.9 ± 0.9
1.4 ± 0.1
6.4 ± 0.6
0.38 ± 0.04
1.7 ± 0.2
0.55 ± 0.06
0.40 ± 0.04
1.0-0.125
14.0 ± 1.0
22.0 ± 2.0
1.5 ± 2.0
14.0 ± 1.0
1.8 ± 0.2
7.7 ± 0.8
2.6 ± 0.3
1.6 ± 0.2
Т.2
0.125-0.05
17.0 ± 2.0
1.9 ± 2.0
2.0 ± 2.0
17.0 ± 2.0
1.0 ± 0.1
4.2 ± 0.4
1.4 ± 0.1
1.1 ± 0.1
<0.05
19.0 ± 2.0
1.9 ± 2.0
2.2 ± 2.0
18.0 ± 2.0
0.9 ± 0.1
3.3 ± 0.3
1.1 ± 0.1
0.9 ± 0.1
ра» - зона навала, где фиксируется максимальное
радионуклидов 241Am, 137Cs, 152Eu, 154Eu, 60Со в об-
содержание радионуклидов в почве. Объектом ис-
разцах грунта и водных вытяжках определяли
следований являлась зона навала грунта вокруг
γ-спектрометрическим методом
[6]. Содержание
«Атомного озера». Удельная активность техноген-
239+240Pu и 90Sr в образцах грунта и в водных вытяж-
ных радионуклидов в грунте навала (кБк/г) соста-
ках определяли α- и β-спектрометрическими мето-
вила 100 по 3Н, 4 по 241Am, 15 по 137Cs, 17 по
дами после предварительного радиохимического
239+240Pu,
10 по 90Sr, 20 Бк/кг по 152Eu и 13 Бк/кг
выделения [7, 8]. Концентрацию 3Н в грунте после
по154Eu [5].
автоклавного разложения и в водных вытяжках
определяли согласно методике β-спектрометри-
Методология исследований
ческих измерений [9]. Предел обнаружения радио-
Отбор проб берегового грунта проводили в се-
нуклидов составил (Бк/л): 3Н 13, 90Sr 0.5, 239+240Pu
верном направлении от «Атомного озера» на двух
0.1, γ-излучающие радионуклиды 1. Погрешность
последовательных участках, находящихся на рас-
измерений (%) не превышала: 3Н 10, 90Sr 15-25,
стоянии 50 и 100 м от береговой линии и характе-
239+240Pu 30, γ-излучающие радионуклиды 10-25.
ризующихся высокими уровнями радиоактивного
Результаты радионуклидного анализа грунта
загрязнения. Гранулометрический анализ показал,
представлены в табл. 1.
что почвы исследуемой территории характеризу-
ются преобладанием глинистой фракции, состав-
В качестве выщелачивающего раствора исполь-
ляющей около 60% массы почвы. На долю илистой
зовали дистиллированную воду. Соотношение
фракции приходится 15% массы почвы. Массовая
грунта и выщелачивающего раствора на всех эта-
доля песчаной фракции составляет порядка 25%.
пах эксперимента поддерживали равным 1 : 2. Под-
По классу почвы «Атомного озера» относятся к
готовленные навески воздушно-сухой пробы грун-
песчаному тяжелому суглинку.
та массой 100 г помещали в мерные колбы вмести-
мостью 500 см3 и заливали дистиллированной во-
На каждом участке отбирали одну пробу (Т.1,
дой объемом 200 см3, периодически перемешивали.
Т.2) на глубину 0-10 см с площади 100 см2. Экспе-
Время контакта твердой фазы с раствором состав-
рименты проводились в целях определения степе-
ляло 1, 3, 6 ч, 20, 30, 45, 60, 75, 90 сут. При иссле-
ни выщелачивания радионуклидов
(3Н,
90Sr,
довании влияния физико-химических факторов,
239+241Pu, 137Cs, 241Am, 152Eu, 60Со) и исследования
время контакта твердой фазы с раствором состав-
влияния на выщелачивание физико-химических
ляло 1, 10 и 20 сут. Подготовленные водные вы-
факторов (размеры частиц грунта, pH среды, хими-
тяжки фильтровали через фильтр «синяя лента»,
ческий состав выщелачивающих растворов). Ото-
полученные фильтраты анализировали на содержа-
бранные образцы грунта высушивали до воздушно-
ние исследуемых радионуклидов.
сухого состояния, удаляли включения (камни, кор-
Для количественной оценки выщелачивания
ни растений и т.п.) и гомогенизировали. Далее с
определяли степень выщелачивания i-го радионук-
использованием метода «сухого» рассева проводи-
лида как отношение активности (Аi) в растворе к
ли разделение грунта на фракции с помощью сит
активности этого радионуклида в исходном образ-
различного диаметра (1, 0.5, 0.25, 0.125, <0.05 мм).
це грунта.
В каждой разделенной фракции определяли на-
Следующим этапом являлось исследование
чальное содержание техногенных радионуклидов
влияния размера частиц грунта на выщелачивание.
для дальнейших расчетов степени выщелачивания.
Эксперименты проведены с фракциями грунта 1-
Лабораторные работы по определению содержания
0.125, 0.125-0.05, <0.05 мм. Из каждой фракции
техногенных радионуклидов в образцах грунта и
отбирали навески массой 100 г, которые заливали
водных вытяжках проводили в соответствии с ме-
дистиллированной водой объемом 200 мл.
тодическими указаниями и инструкциями на пове-
ренном лабораторном оборудовании. Содержание
Эксперименты по изучению влияния pH среды
Оценка влияния физико-химических факторов на процессы выщелачивания радионуклидов из грунта
441
Таблица 2. рН выщелачивающих растворов
Выщелачивающий
pH при концентрации, г/л
раствор
0.1
1.0
10
CaCl2
5.81
6.02
8.84
MgSO4
5.98
6.05
6.23
Na2CO3
10.47
11.02
11.49
NaHCO3
7.97
8.34
8.37
на выщелачивание проводили следующим образом:
значение рН в диапазоне нейтральных, слабоще-
лочных сред (рН 7, 9) достигали добавлением в
дистиллированную воду NaOH, слабокислых
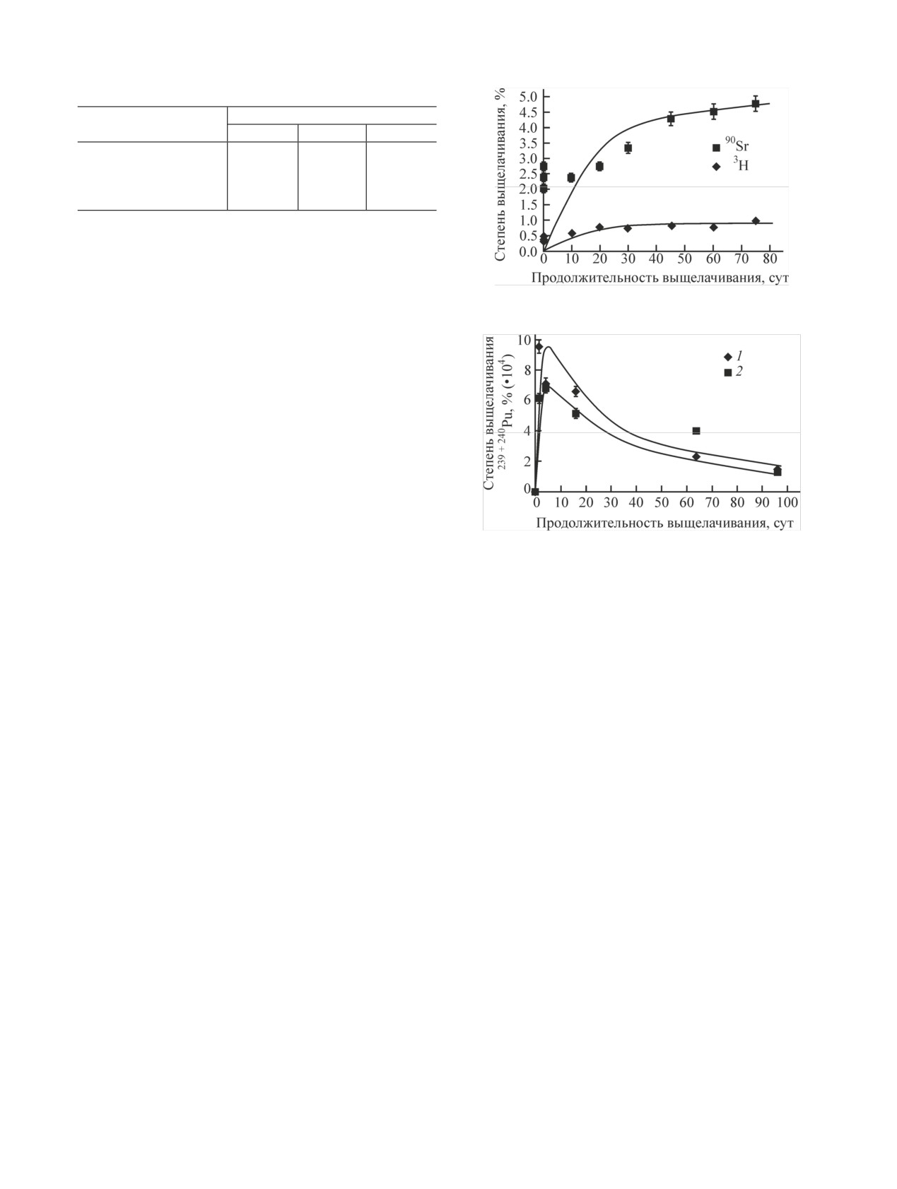
Рис. 1. Степень выщелачивания 3Н и 90Sr.
(pH 5) - добавлением HNO3.
Согласно литературным данным, природа рас-
творов существенно влияет на выщелачивание ра-
дионуклидов. Химический состав водных объектов
Семипалатинского испытательного полигона весь-
ма разнообразен, диапазон минерализации в них
колеблется от 1 до 20 г/л.
Для изучения влияния химического состава вы-
щелачивающих растворов использовали соли
CaCl2, MgSO4, Na2CO3, NaHCO3, катионы и анионы
которых являются макрокомпонентами природных
вод. Указанные вещества растворяли в дистиллиро-
ванной воде до концентрации 0.1, 1, 10 г/л. В под-
Рис. 2. Степень выщелачивания 239+240Pu. Образец Т.1, фрак-
ция: 1 - 0.5-0.25, 2 - 1.0-0.5 мм.
готовленных растворах измеряли pH; результаты
представлены в табл. 2.
медианный диаметр радиоактивных частиц состав-
Результаты и обсуждение
лял 3000-4000 мкм. Однако на этом же гребне на-
ходились и шлаковые конгломераты [4]. Поэтому
Степени выщелачивания радионуклидов
относительно малая степень выщелачивания 3Н
обусловлена прочной фиксацией в техногенных
В результате выщелачивания содержание γ-из-
новообразованиях. На выщелачиваемость 3Н суще-
лучающих радионуклидов в водных вытяжках со-
ственно влияют формы его нахождения в грунте.
ставило ниже предела обнаружения используемой
Так, в работе
[10] доказано, что 3Н в грунте
методики
(<1 Бк/л). Таким образом, для γ-из-
«Атомного озера» в основном сосредоточен в свя-
лучающих радионуклидов рассчитаны оценочные
занных формах, а именно в форме кристаллически
значения (Аi = 1 Бк/л), характеризующие степени
связанного 3Н. Менее всего 3Н фиксируется в виде
выщелачивания из разных фракций грунта, кото-
свободной воды. Предполагается, что при выщела-
рые составили (%): для 137Cs - <0.1, для 241Am -
чивании 3Н дистиллированной водой в раствор пе-
<1.5, для 152Eu - <0.4, для 60Со - <1.4.
реходят лишь водорастворимые формы (3Н в по-
Выщелачивание 3H, 90Sr. Согласно результа-
верхностно-адсорбированной воде, 3Н в межслое-
там анализа (рис. 1), по мере увеличения времени
вой воде).
взаимодействия грунта с выщелачивающим раство-
Выщелачивание
239+240Pu. Особый интерес
ром концентрация 3H и 90Sr в водных вытяжках
представляют результаты, полученные при выще-
возрастала. Анализ динамики выщелачивания 3Н и
лачивании 239+240Pu (рис. 2).
90Sr показал, что степень выщелачивания исследуе-
мых радионуклидов при контакте твердой фазы с
Согласно представленным данным, в течение
раствором на 75-е сутки составили 0.9 и 4.5%, со-
первых 4 сут взаимодействия грунта с водой сте-
ответственно. На процесс выщелачивания влияет
пень выщелачивания 239+240Pu повышалась, затем
исходное физико-химическое состояние радионук-
начинала постепенно падать и на 96-е сутки кон-
лидов в выпадениях, а также характер радиоактив-
центрация радионуклида в водных вытяжках нахо-
ного загрязнения почв. В результате экскавацион-
дилась ниже предела обнаружения используемой
ного взрыва происходило быстрое выпадение круп-
методики. Предполагается, что такое поведение
ных частиц непосредственно в зоне навала грунта,
239+240Pu обусловлено протеканием двух конкури-
442
А. М. Раимканова и др.
рующих процессов: выщелачивания и осаждения за
счет коллоидообразования или сорбции на поверх-
0.125-0.05 мм
ности частиц почвы. Степень выщелачивания
239+240Pu из различных фракций грунта приблизи-
тельно одинакова и на 75-е сутки составила 2.5·10-4
(фракция 0.5-0.25 мм) и 1.8·10-4% (фракция 1.0-
0.5 мм).
Исследование влияния
физико-химических факторов
Влияния размера частиц грунта. Результаты
б
выщелачивания радионуклидов 3H и 90Sr в зависи-
0.125-0.05 мм
мости от размера частиц грунта представлены на
рис. 3. Из полученных данных следует, что с уве-
личением времени контакта фаз выщелачиваемость
3H из более крупных фракций грунта возрастала,
для мелкой фракции с размерами частиц менее
50 мкм максимальный переход 3H наблюдался в
первые моменты контакта фаз (рис. 3, а). Различие
в выщелачиваемости 3Н из разных фракции грунта,
возможно, объясняется гранулометрическим соста-
вом почв. Песчаные фракции обладают высокой
Рис. 3. Изменение степени выщелачивания 3H (а) и 90Sr (б) в
водопроницаемостью, слабой водоудерживающей
зависимости от размера частиц грунта.
способностью. Данные свойства песчаной фракции
а
благоприятно способствует выщелачиванию легко-
доступной формы 3Н. Глинистая фракция из-за вы-
сокой пластичности сильно набухает и слабо про-
пускает влагу, т.е. обладает свойством впитывать и
удерживать воду. Поэтому с течением времени на-
блюдается тенденция к понижению выщелачива-
ния 3Н из более мелкой фракции.
С уменьшением размера фракции грунта проч-
ность закрепления ими 90Sr повышается, поэтому
наблюдается максимальный переход 90Sr в рас-
твор с течением времени из более мелкой фракции
(рис. 3, б).
Влияние pH среды. Результаты выщелачива-
ния радионуклидов 3H и 90Sr в зависимости от рН
среды представлены на рис. 4. Согласно получен-
ным данным, максимальный переход 3Н в раствор
при разных значениях pH среды наблюдался на
10-е сутки контакта фаз, относительно высокая вы-
щелачиваемость 3Н прослеживалась в слабощелоч-
ной среде (рис. 4, а).
Радионуклид 90Sr преимущественно выщелачи-
Рис. 4. Изменение степени выщелачивания 3H (а) и 90Sr (б) в
вался в кислой среде. Такое поведение, возможно,
зависимости от рН среды.
объясняется тем, что при увеличении кислотности
почвенной среды повышалась растворимость мно-
ные моменты контакты фаз (рис. 5). Степень выще-
гих малорастворимых почвенных солей, следова-
лачивания 137Cs в нейтральной и слабощелочной
тельно, мобильность 90Sr увеличивалась (рис. 4, б).
средах составила 0.03 и 0.12% соответственно. Из
В ходе эксперимента количественно определено
полученных данных следует, что изменение среды
содержание 137Cs в растворе при pH 7 и 9 в началь-
от кислой интервала (pH 5) к нейтральной и слабо-
Оценка влияния физико-химических факторов на процессы выщелачивания радионуклидов из грунта
443
Рис. 5. Изменение степени выщелачивания 137Cs в зависимости
от рН среды.
щелочной (pH 7-9) повышает эффективность вы-
щелачивания 137Cs.
Влияние химического состава выщелачиваю-
щих растворов. Сравнение степени выщелачива-
ния в зависимости от природы выщелачивающего
раствора показало, что для каждого радионуклида
процесс индивидуален. Ниже приведены результа-
ты выщелачивания 3Н (рис. 6, а-г).
Ранее при изучении выщелачивания 3Н дистил-
лированной водой установлено, что с течением
времени степень его выщелачивания увеличива-
лась. В условиях проведенных экспериментов при
использовании выщелачивающих растворов, отли-
чающихся по компонентному и концентрационно-
му составу, наибольшая эффективность выщелачи-
вания наблюдалась при использовании раствора
СаСl2. Выщелачивание солями MgSO4, Na2CO3,
NaHCO3 носило неоднозначный характер, обуслов-
ленный возможными вторичными процессами пе-
рераспределения выщелоченных радионуклидов
между твердой и жидкой фазами за счет гидролиза
рассматриваемых солей.
Результаты опытов по выщелачиванию 90Sr в
зависимости от химического состава выщелачи-
вающего раствора представлены на рис. 7.
Согласно представленным данным, при выщела-
чивании растворами солей CaCl2, MgSO4 степень
выщелачивания 90Sr повышалась по мере увеличе-
ния концентрации солей. Выщелачивание 90Sr рас-
Рис. 6. Изменение степени выщелачивания 3H в зависимости
от химического состава выщелачивающих растворов. a -
творами данных солей, возможно, обусловлено
CaCl2, б - MgSO4, в - Na2CO3, г - NaHCO3.
тем, что 90Sr в почве занимает преимущественно
обменные позиции, замещая кальций и магний, яв-
ляющихся его элементами-аналогами. Выщелачи-
вается с глубиной и составляет от 14 до 20 г/л. По-
вание 90Sr в присутствии карбоната и гидрокарбо-
вышенное содержание катионов Na, Ca и Mg, веро-
ната натрия не прослеживалось, удельное содержа-
ятно, способствует выщелачиванию 3Н и 90Sr. Кон-
ние его в растворах составило меньше 1 Бк/л.
центрация данных радионуклидов в воде «Атом-
ного озера» увеличивается также по глубине.
По химическому составу вода «Атомного озера»
является соленой, степень минерализации увеличи-
Результаты выщелачивания 137Cs в зависимости
444
А. М. Раимканова и др.
новлено возрастание концентрации 3Н и 90Sr в вод-
ных вытяжках по мере увеличения времени взаи-
модействия грунта с выщелачивающим раствором.
Уменьшение перехода 239+240Pu в раствор с течени-
ем времени может быть вызвано образованием в
процессе выщелачивания коллоидов и их после-
дующим осаждением или сорбцией на компонен-
тах почвы. Несмотря на относительно высокое на-
чальное содержание γ-излучающих радионуклидов
(137Cs, 241Am, 152,154Eu, 60Со) в грунте на уровне от
n·102 до n·104 Бк/кг, при изучении выщелачивания
содержание данных радионуклидов в водных вы-
тяжках оказалось ниже предела обнаружения ис-
пользуемой методики и составило <1 Бк/л.
Среди почвенных характеристик наибольшее
влияние на процесс выщелачивания оказывает гра-
нулометрический состав. Можно полагать, что раз-
личия в выщелачивании 3Н и 90Sr из различных по
размеру фракций обусловлены не только неодина-
ковой площадью поверхности этих частиц, но хи-
мическими свойствами самих радионуклидов.
Рис. 7. Изменение степени выщелачивания 90Sr в зависимости
от химического состава выщелачивающих растворов. a
-
Установлено влияние pH на выщелачивание
CaCl2, б - MgSO4.
радионуклидов. Благоприятной для проявления
процессов выщелачивания 90Sr являлась слабокис-
от химического состава выщелачивающего раство-
лая среда, для 3Н и 137Cs - слабощелочная.
ра представлены в табл. 3.
Выявлено, что на интенсивность выщелачива-
В условиях модельных экспериментов установ-
ния радионуклидов большое влияние оказывает
лено, что CaCl2 и MgSO4 не влияют на выщелачи-
степень минерализации и химический состав воды.
вание 137Cs в диапазоне их концентраций от 0.1 до
Радионуклиды 90Sr и 137Cs преимущественно выще-
10 г/л, содержание 137Cs составило ниже предела
лачивались в присутствии солей, катионы которых
обнаружения используемой методики (<1 Бк/л).
являлись их природными аналогами. Интересен
Измеримые значения содержания 137Cs в вытяжках
тот факт, что 3Н более активно выщелачивался в
зафиксированы при выщелачивании растворами
присутствии CaCl2, который не подвергается гид-
солей натрия. Возможно, с увеличением концен-
ролизу. Данный процесс характерен для остальных
трации сопутствующего катиона в растворе умень-
изученных солей MgSO4, Na2CO3, NaHCO3, в при-
шается количество 137Cs, сорбированного твердой
сутствии которых не выявлено особой закономер-
фазой почвы.
ности выщелачивания 3Н.
Таким образом, в ходе проведенных исследова-
Таким образом, размеры фракций грунта, реак-
ний определена степень выщелачивания радионук-
ция среды и химический состав выщелачивающего
лидов из грунтов в районе «Атомного озера». Уста-
раствора определяют степень выщелачивания ра-
Таблица 3. Изменение степени выщелачивания 137Cs в
дионуклидов, являющуюся количественным пока-
зависимости от химического состава выщелачивающих
зателем, необходимым для долговременного про-
растворов
гнозирования поведения техногенных радионукли-
дов в окружающей среде. Проведенные исследова-
Содержание 137Cs в водных вы-
Выщелачи-
Концен-
ния дают основание полагать, что переход техно-
тяжках, Бк/л, при продолжи-
вающий
трация,
тельности выщелачивания, сут
генных радионуклидов из грунта в воду путем вы-
раствор
г/л
1
10
20
щелачивания является одним из основных меха-
0.1
<3
6.5 ± 1.0
<3
низмов радиоактивного загрязнения вод «Атом-
Na2CO3
1
7.0 ± 3
<3
2.1 ± 1
ного озера».
10
<3
<3
5.2 ± 1
Список литературы
0.1
<3
<3
3.2 ± 1
NaHCO3
1
<3
<3
3.0 ± 1
[1] Авдеев В. А., Кривохатский А. С., Савоненков В. Г., Смир-
10
<3
<3
<3
нова Е. А. // Радиохимия. 1990. Т. 32, N 2. С. 55-59.
Оценка влияния физико-химических факторов на процессы выщелачивания радионуклидов из грунта
445
[2] Смирнова Е. А., Дубасов Ю. В., Савоненков В. Г. // Тр. Ра-
[7] Методика определения изотопов плутония-239+240,
диевого ин-та им. В. Г. Хлопина. 2009. Т. XIV. C. 118-124.
стронция-90, америция-241 в объектах окружающей сре-
[3] Авдеев В. А., Бирюков Е. И., Кривохатский А. С. и др. //
ды: МИ 06-7-98. Алматы, 1998.
Радиохимия. 1990. Т. 32, N 2. С. 59-64.
[8] Методика измерения активности радионуклидов с ис-
[4] Мирные ядерные взрывы: обеспечение общей и радиаци-
пользованием сцинтилляционного бета-спектрометра с
онной безопасности при их проведении
/ Под рук.
программным обеспечением
«Прогресс». Менделеево,
В. А. Ло-гачева. М.: ИздАТ, 2001. 519 с.
2004. 20 с.
[5] Айдарханов А. О., Лукашенко С. Н., Субботин С. Б. и
[9] ISO 9698 РК: Тритий. Качество воды - определение ак-
др. // Актуальные вопросы радиоэкологии Казахстана: Сб.
тивности трития, соответствующей данной концентра-
тр. Ин-та радиационной безопасности и экологии за 2007-
ции - жидкостной метод сцинтилляционного счета. 1989.
2009 гг. Павлодар: Дом печати, 2010. Вып. 2. С. 9-55.
Учетная регистрация в Республике Казахстан N 116/149
[6] МИ 5.06.001.98 РК: Активность радионуклидов в объем-
от 07.03.2000.
ных образцах. Методика выполнения измерений на
[10] Serzhanova Z. B., Aidarkhanova A. K., Lukashenko S. N.
γ-спектрометре: МИ 2143-91. 18 с.
еt al. // J. Environ. Radioact. 2018. Vol. 192. Р. 621-627.