Радиохимия, 2019, т. 61, N 5, c. 433-438
433
Сорбция Cs(I) и Np(V) на глинах Острожанского месторождения
(Беларусь)
© А. С. Семенковаа, Т. Р. Поляковаа, Д. К. Коробб, И. Ф. Серегинаа, И. В. Михеева,
В. В. Крупскаяа,в, А. Ю. Романчук*а, С. Н. Калмыкова
а Московский государственный университет им. М. В. Ломоносова, 119991, Москва, Ленинские горы, д. 1;
*e-mail: romanchuk.anna@gmail.com
б Объединенный институт энергетических и ядерных исследований - Сосны НАН Беларуси,
223063, Прилесье Луговослободского с/с Минского р-на Минской обл., д. 47/22
в Институт геологии рудных месторождений, петрографии, минералогии и геохимии РАН,
119017, Москва, Старомонетный пер., д. 35
Получена 29.01.2019, после доработки 13.02.2019, принята к публикации 20.02.2019
УДК 546.798.24
Изучено сорбционное поведение Np(V) и Cs(I) на природной и кислотно-обработанной бентонито-
подобной глине месторождения Острожанское (Беларусь) в широком диапазоне концентраций радио-
нуклида и значений pH суспензии. Показано, что для обоих радионуклидов сорбционное равновесие
достигается в течение первых минут взаимодействия. Сорбционное поведение на глине до и после обра-
ботки различается мало. На основании экспериментальных данных проведено термодинамическое мо-
делирование сорбции Cs(I) и Np(V) на исследуемых глинах.
Ключевые слова: нептуний, цезий, сорбция, ионный обмен, монтмориллонит, каолинит, иллит.
DOI: 10.1134/S0033831119050137
Развитие ядерной промышленности в ХХ веке
Система обращения с РАО на БелАЭС регулиру-
привело к локальному загрязнению ряда территорий
ется постановлением Совета Министров Республики
техногенными радионуклидами. Радиоактивные за-
Беларусь от 02.06.2015 N 460 «Об утверждении Стра-
грязнения при авариях на ПО «Маяк» [1, 2] Черно-
тегии обращения с радиоактивными отходами Бело-
быльской АЭС [3, 4] и АЭС Фукусима [5-7], а также
русской атомной электростанции», согласно которо-
во время испытаний ядерного оружия [8] привели к
му долговременная безопасность системы захороне-
высвобождению значительных количеств радионук-
ния РАО должна обеспечиваться реализацией прин-
лидов в окружающую среду. Кроме того, в ряде стран
ципа многобарьерности, основанного на применении
накопилось большое количество радиоактивных от-
системы барьеров (естественных и инженерных) на
ходов (РАО) и остро стоит проблема безопасного их
пути распространения ионизирующего излучения и
хранения. Глинистые минералы широко распростра-
радиоактивных веществ в окружающую среду.
нены в окружающей среде, а также являются одними
Таким образом, для решения проблемы безопасно-
из наиболее перспективных материалов для создания
го обращения с РАО и ОЯТ вблизи строящейся БелА-
инженерных барьеров при изоляции РАО. Характери-
ЭС планируется строительство ПЗРО согласно кон-
стики глинистых материалов (состав, размер частиц,
цепции мультибарьерной системы защиты. При соз-
примеси и т.д.) значительно влияют на сорбцию ра-
дании системы инженерных барьеров возникает по-
дионуклидов. Поэтому для создании надежной моде-
требность в больших объемах различных буферных и
ли для прогнозирования миграционного поведения
засыпочных материалов. В связи с высокой стоимо-
радионуклидов необходима информация о точных
стью импортных материалов, а также с учетом суще-
механизмах взаимодействия. Понимание миграцион-
ственных затрат на их транспортировку для создания
ного поведения радионуклидов также требуется для
системы инженерных барьеров ПЗРО в Беларуси це-
разработки стратегий реабилитации загрязненных
лесообразно использовать местные минеральные ре-
территорий.
сурсы.
В настоящее время в Республике Беларусь осуще-
Целью данной работы является установление за-
ствляется строительство атомной электростанции
кономерностей взаимодействия различных радионук-
(БелАЭС), первый энергоблок которой будет введен в
лидов с бентонитоподобными глинами месторожде-
эксплуатацию в 2019, второй - в 2020 г. В связи с
ния Острожанское Гомельской области Республики
предстоящей эксплуатацией БелАЭС особую акту-
Беларусь и оценка возможности их использования в
альность приобретает проблема образования и накоп-
качестве инженерных барьеров ПЗРО. На основании
ления РАО и отработанного ядерного топлива (ОЯТ),
экспериментальных данных проводилось моделиро-
представляющих потенциальную опасность для чело-
вание кривых сорбции Cs(I) и Np(V) на образцах при-
века и окружающей среды.
родной и модифицированной бентонитовой глины
434
А. С. Семенкова и др.
указанного месторождения. В условиях окружающей
спектрометрии (МС-ИСП, квадрупольный масс-
среды цезий присутствует в форме моновалентного
спектрометр Agilent 7500C, Agilent Technologies,
катиона Cs+, что обусловливает его высокую раство-
Япония). Результаты обрабатывали с помощью про-
римость и миграционную подвижность. Нептуний
граммного обеспечения ICP-MS Chem-Station (вер-
представляет интерес из-за длительного периода по-
сия G1834B).
лураспада [T1/2(237Np) = 2.13·106 лет] и связанной с
Сорбционные эксперименты проводили в среде
ним высокой радиотоксичностью, а также высокой
0.01 моль/л NaClO4 при соотношении твердой фазы
мобильностью в форме Np(V).
к раствору 1 г/л в случае Cs и 0.5 г/л в случае Np при
комнатной температуре в диапазоне pH 2.0-10.5.
Экспериментальная часть
Исследовали диапазон концентраций Cs от 10-9 до
10-6 моль/л (для получения необходимой концентра-
В работе использованы образцы бентонитопо-
ции цезия к раствору метки 137Cs добавляли необхо-
добных глин месторождения Острожанское Гомель-
димое количество стабильного CsCl). Для Np иссле-
ской области. Образцы природной (БГ-И) и модифи-
дуемый диапазон составил 10-14-10-6 моль/л. При
цированной глины (БГ-Н) были использованы для
работе со следовыми концентрациями использовали
моделирования инволюционных процессов, проте-
короткоживущий 239Np(V), отделенный от материн-
кающих в системе инженерный барьер ПЗРО (под-
ского 243Am методом жидкостной экстракции по ме-
земное захоронение радиоактивных отходов)-грун-
тодике, приведенной в работах [10]. Для образцов с
товые воды в долгосрочной перспективе. В случае
содержанием металла 10-6 моль/л применяли долго-
возникновения протечек для моделирования воздей-
живущий изотоп 237Np (T1/2 = 2.13·106 лет). Значение
ствия отходов (влияния сильнокислой среды) на
pH устанавливали добавлением небольших коли-
глинистый барьер использовали образец кислотно-
честв разбавленных растворов NaOH или HClO4.
модифицированной глины (БГ-Н).
После уравновешивания измеряли равновесное зна-
Исходный образец глины сушили в сушильном
чение pH образцов, которое использовали в дальней-
шкафу при температуре 40°С до постоянной массы
ших расчетах. Раствор отделяли от твердой фазы
и измельчали на планетарной шаровой мельнице PM
центрифугированием при 40000g в течение 15 мин
Retsch 100 с выделением фракции менее 0.63 мм на
(Allegra 64R, Beckman Coulter). Отделенный раствор
аналитической просеивающей машине Retsch AS-
измеряли методом жидкостно-сцинтилляционной
200. Часть образца обрабатывали 10%-ным раство-
спектроскопии (Quantulus-1220, Perkin Elmer). Для
ром HCl при температуре 80-90°C в течение 3 ч
построения изотерм сорбции готовили образцы в
(образец БГ-Н). Полученный образец промывали в
широком диапазоне концентраций Cs по методике,
течение 5 сут дистиллированной водой методом де-
приведенной выше. Для образцов исходной глины
кантации при постоянном контроле значений pH и
(БГ-И) поддерживали значение pH 8.5 ± 0.1, а для
общего солесодержания водных вытяжек, а затем
глины, подвергшейся кислотной обработке (БГ-Н), -
сушили до воздушно-сухого состояния при 100-
pH 9.2 ± 0.1.
115°С и измельчали с последующим отбором фрак-
ции с размером частиц менее 250 мкм.
Моделирование сорбции Cs(I) и Np(V) на глини-
стых минералах проводили с помощью программы
Для данных образцов глины определяли основ-
PHREEQC [11].
ные физико-химические характеристики. Удельную
поверхность образцов определяли методом БЭТ
(ASAP, 2010N, Micromeritics). Минеральный состав
Результаты и обсуждение
образцов глин определяли методом рентгенофазово-
Характеристика образцов глин
го анализа (РФА) с помощью дифрактометра Ultima-
IV (Rigaku). Емкость катионного обмена (ЕКО) оп-
На рис. 1 приведены рентгеновские дифракто-
ределяли по адсорбции метиленового голубого со-
граммы изученных образцов глин. Межплоскостное
гласно методике ГОСТ 28.177-89. Состав обменно-
расстояние (001) монтмориллонита исходной глины
го катионного комплекса определяли путем вытес-
составляет 14.2 Å, что может свидетельствовать о
нения раствором 0.1 моль/л ацетата аммония (сумма
смешанном (преимущественно Ca-Mg) поглощен-
основных катионов Na+, K+, Ca2+ и Mg2+) [9]. Для
ном комплексе. Данные химического анализа погло-
этих измерений 0.1 г каждого образца глины смеши-
щенного комплекса подтверждают этот вывод
вали с 20 мл раствора NH4Ac. После одной недели
(табл. 1). Обработка кислотой приводит к значитель-
перемешивания образцы отделяли центрифугирова-
ному преобразованию структуры монтмориллонита,
нием при 40000g в течение 30 мин. Содержание Na,
при этом другие минералы остаются практически
K, Mg, Ca в маточном растворе определяли метода-
неизмененными. На рис. 1 отчетливо видно, что из-
ми атомно-эмиссионной спектрометрии (ИСП-АЭС,
менения интенсивности и положения рефлексов на-
прибор 720-ES, Agilent Technologies, США) и масс-
блюдаются только для монтмориллонита. В резуль-
Сорбция Cs(I) и Np(V) на глинах Острожанского месторождения (Беларусь)
435
Таблица 1. Характеристики глин БГ-И и БГ-Н
Обра-
Sуд,
ЕКО, мкмоль/100 г (по
Обменный комплекс, мкмоль/г
Состав, мас%
зец
м2/г
метиленовому голубому)
(экстракция NH4Ac)
Na+ 9.5, Mg2+ 89.7, K+ 17.3,
Монтмориллонит 52, кварц 20, каолинит 10,
БГ-И
77
43
Ca2+ 215.6
иллит 9, микроклин 5, альбит 3, кальцит 1
Na+ 0.9, Mg2+ 8.8, K+ 13.1, Ca2+
БГ-Н
178
21
БГ-И, обработанная 10% HCl
2.0
тате кислотной модификации происходит вымыва-
быть использован для моделирования процессов,
ние межслоевых и октаэдрических катионов [12-15],
протекающих в системе инженерный барьер ПЗРО-
способствующее уменьшению заряда слоя и сниже-
грунтовые воды в долгосрочной перспективе.
нию емкости катионного обмена, в том числе и по
отношению к Cs. Вымывание межслоевых катионов
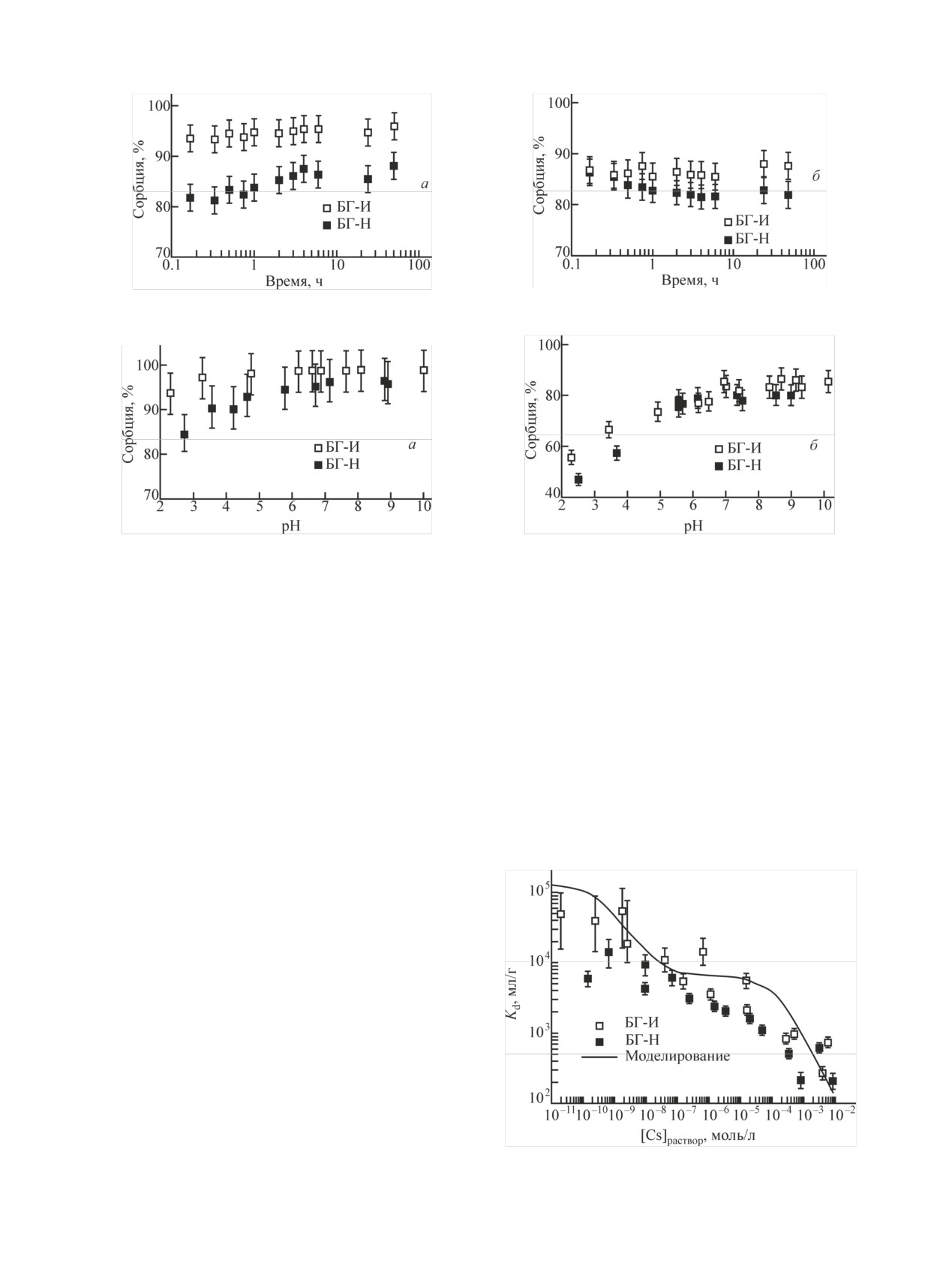
Исследование сорбции Cs(I)
отчетливо прослеживается по уменьшению содержа-
Эксперименты по изучению кинетики сорбции
ния Na+, Mg2+, K+, Ca2+ в составе обменного ком-
Cs+ были проведены при концентрациях 10-9 и 10-6
плекса (табл. 1).
моль/л (рис. 2). Результаты показывают, что сорб-
Частичная деструкция октаэдрических сеток и
ция происходит в первые минуты взаимодействия,
нарушение взаимодействия между собой октаэдри-
а в течение 2 ч сорбция Cs+ достигает состояния
ческих и тетраэдрических сеток проявляются в виде
подвижного равновесия. Наблюдается практически
значительного снижения интенсивности базального
одновременное достижение равновесия в системах
рефлекса (001). Снижение межплоскостного рас-
с образцами исходной и обработанной глин (БГ-И
стояния с 14.3 до 13.3 Å может являться результатом
и БГ-Н). Можно сделать вывод о незначительном
частичного протонирования межслоевого простран-
влиянии кислотной обработки глины на скорость
ства. Вымывание катионов, как межслоевых, так и
достижения равновесия. По прошествии большого
октаэдрических, нарушение взаимодействия кри-
промежутка времени (от 2 до 4 недель) величины
сталлитов и микроагрегатов монтмориллонита меж-
сорбции для обеих концентраций Cs изменяются
ду собой в результате обработки кислотой приводят
незначительно, что свидетельствует об отсутствии
к увеличению микропористости и, как следствие, к
более медленных процессов. Как показано в работе
значительному увеличению удельной поверхности с
[16], присутствие различных примесей, например
77 до 178 м2/г. Результаты количественного анализа
иллита, может приводить к длительному установ-
природных глин приведены в табл. 1.
лению равновесия (в течение недели), однако в
Исходя из минерального состава и показателей
данном случае такого эффекта не наблюдалось.
поверхностных свойств бентонитоподобные глины
На рис. 3 приведены зависимости сорбции Cs+
месторождения Острожанское Гомельской области
от рН на образцах глин БГ-И и БГ-Н при различ-
могут быть использованы в качестве компонента
ных концентрациях металла. При обеих концентра-
инженерного барьера ПЗРО, а образец БГ-H может
циях зависимость сорбции от рН слабая, что под-
тверждает, что взаимодействие происходит по ме-
ханизму ионного обмена. Известно [17, 18], что
сорбция Cs происходит по механизму ионного об-
мена и может быть описана следующим образом:
zB≡XA + zAB ⇄ zA≡XB + zBA,
где ≡X - ионообменный центр на поверхности, A и
B - катионы с зарядами zA и zB соответственно.
Увеличение общей концентрации заметно снижа-
ет сорбцию, что говорит о достижении частичного
насыщения поверхности исследуемых образцов глин
при [Cs] = 10-6 моль/л. При следовой концентрации
Cs (10-9 моль/л) сорбция практически количествен-
Рис. 1. Рентгеновские дифрактограммы образцов природных
ная и слабо зависит от pH, что свидетельствует об
(БГ-И) и кислотно-модифицированных (БГ-Н) глин. Межпло-
ионообменном механизме взаимодействия. Сниже-
скостные расстояния даны в ангстремах. Индикаторы рефлек-
ние сорбции Cs при [Cs] = 10-6 моль/л и pH ниже 4
сов отдельных минеральных фаз: М - монтмориллонит, I - ил-
лит, K - каолинит, Q - кварц, F - полевые шпаты, С - кальцит.
может быть объяснено как конкуренцией между ио-
436
А. С. Семенкова и др.
Рис. 2. Кинетика сорбции Cs+ при 10-9 (а, pH 8.2 ± 0.2) и 10-6 моль/л (б, pH 9.5 ± 0.2) на образцах глин БГ-И и БГ-Н. I = 0.01 моль/л
NaClO4, [глина] = 1 г/л; то же на рис. 3, 4.
Рис. 3. Зависимости сорбции Сs+ от pH на образцах глин БГ-И и БГ-Н при [Cs] = 10-9 (а) и 10-6 моль/л (б).
нами Cs+ и H+, так и (в большей степени) понижени-
монтмориллоните, каолините и иллите [20] (табл. 2).
ем заряда слоя за счет частичного вымывания окта-
Суммарная сорбция на всех трех глинистых минера-
эдрических катионов при растворении глин [13, 14,
лах адекватно описывает полученные эксперимен-
19]. Зависимости сорбции для образцов БГ-И и БГ-Н
тальные данные (рис. 4).
при обеих исследуемых концентрациях практически
Как и в случае кинетических экспериментов, раз-
совпадают (рис. 3). Это свидетельствует об отсутст-
личие между сорбцией на исходной глине и глине
вии существенного влияния кислотной обработки на
после кислотной обработки крайне мало.
сорбцию Cs в рассматриваемых концентрациях.
На рис. 4 представлены изотермы сорбции цезия
Исследование сорбции Np(V)
на образцах БГ-И и БГ-Н. Сорбция Cs+ на монтмо-
Аналогично цезию, кинетика сорбции Np(V) на
риллоните является нелинейной: при низкой концен-
исследованных образцах достаточно быстро (в тече-
трации Cs+ значения Kd значительно выше, чем при
ние 1 ч) достигает подвижного равновесия (рис. 5).
высоких концентрациях Cs+. Ранее, было показано,
Сильные изменения величины сорбции в течение
что на глинистых минералах существуют различные
типы сорбционных центров по отношению к Cs, ко-
торые отличаются силой связывания радионуклида и
общим количеством [18, 19]. При низкой концентра-
ции Cs+ преобладает сорбция на высокоселективных
сорбционных центрах первого типа (Т1). Эти участ-
ки имеют очень небольшую концентрацию, но они
особенно селективны для катионов, таких как K+,
NH+, Rb+ и Cs+. При повышении содержания Cs+
сорбция происходит на участках с более высокой
плотностью, но меньшей селективностью (T2), по-
этому коэффициенты распределения Cs уменьшают-
ся и наблюдается перегиб на изотерме сорбции.
В случае иллита в литературе зачастую выделяют
также сорбционные центра третьего типа (T3).
В данной работе была использована предложенная
ранее термодинамическая модель сорбции Cs на
Рис. 4. Изотерма сорбции Cs на образцах БГ-И и БГ-Н.
Сорбция Cs(I) и Np(V) на глинах Острожанского месторождения (Беларусь)
437
Таблица 2. Параметры, использованные для термодинамического описания сорбции цезия по реакции Cs+ + NaX ⇄
CsX + Na+ [19]
Тип
Монтмориллонит
Каолинит
Иллит
центра
lgK
[центр], мкмоль/м2
lgK
[центр], мкмоль/м2
lgK
[центр], мкмоль/м2
T1
7.59
7·10-4
5.50
5·10-4
6.90
6·10-3
T2
1.68
30.91
2.10
1.99
3.10
0.504
T3
-
-
-
-
1.75
2.016
первого часа, в том числе ее уменьшение, связаны с
pH > 4 основным механизмом взаимодействия Np(V)
изменением pH, который в случае Np(V) (в отличие
с глинистыми минералами является образование
от Cs) сильно влияет на сорбцию (рис. 6). Такое пове-
внутрисферных комплексов с функциональными
дение связано с тем, что по механизму сорбции Np
группами, располагающимися на ребрах алюмосили-
отличается от Cs. Ранее было показано, что при
катных плоскостей (так называемые краевые центры)
[21-23]. Сорбционные свойства краевых центров для
различных глинистых минералов крайне схожи. По-
этому для описания экспериментальных данных при
следовых концентрациях Np(V) была использована
модель, описывающая сорбцию радионуклида на
монтмориллоните [24] и учитывающая следующие
две реакции:
≡SsOH + NpO+ ⇄ ≡SsONpO2 + H+, lg K1 = -2.0;
≡SsOH + NpO+ + H2O ⇄ ≡SsONpO2OH- + 2H+,
lg K2 = -12.0,
где ≡SsOH - краевые «сильные» сорбционные цен-
Рис. 5. Кинетика сорбции Np(V) на образцах глин БГ-И и
тры. Полученное моделирование хорошо согласует-
БГ-Н. I = 0.01 моль/л, [глина] = 0.5 г/л, [Np(V)] = 10-6 моль/л,
pH 5.0 ± 0.2.
ся с экспериментальными данными, что доказывает
предложенный механизм взаимодействия.
Аналогично сорбции Cs кислотная обработка
глины не привела к значительному ухудшению
сорбции Np. Несмотря на значительные отличия
площади поверхности (77 м2/г для БГ-И и 178 м2/г
для БГ-Н, табл. 1), ее влияние на сорбцию Np неоче-
видно.
При повышении концентрации Np(V) до 10-6 моль/л
сорбция на обоих образцах глин уменьшается. Термо-
динамическое описание сорбции в данном концен-
трационном диапазоне на сегодняшний день являет-
ся затруднительным.
В целом полученные результаты показывают, что
бентонитоподобные глины Острожанского месторо-
ждения имеют высокую сорбционную способность
по отношению к Cs(I) и более низкую - к Np(V).
Важно, что даже частичное разрушение структуры
монтмориллонита при кислотном воздействии, ими-
тирующем среду отходов, не привело к заметному
ухудшению сорбционных свойств глин. Проведен-
ное термодинамическое моделирование сорбции ис-
следуемых глин может быть использовано для про-
гнозного моделирования миграции радионуклидов в
условиях ПЗРО.
Сорбционные эксперименты и их моделирование
Рис. 6. Зависимости сорбции Np(V) от pH на образцах глин
БГ-И и БГ-Н при [Np(V)] = 10-14 (а) и 10-6 моль/л (б). I =
выполнены при поддержке РФФИ (проект N 17-53-
0.01 моль/л NaClO4, [глина] = 0.5 г/л.
04049). Минералогические исследования образцов
438
А. С. Семенкова и др.
также выполнены при поддержке РФФИ (проект
[9] Kyllonen J., Hakanen M., Lindberg A. et al. // Radiochim.
Acta. 2014. Vol. 102. P. 919-929.
N 18-29-12115). Авторы признательны С. А. Гарани-
[10] Sill C. W. // Anal. Chem. 1966. Vol. 38. P. 802-804.
ной и С. В. Закусину за содействие в проведении
[11] Parkhurst D. L. Description of input and examples for PHRE-
минералогических исследований. Эксперименталь-
EQC version 3-A computer program for speciation, batch-
ные исследования при помощи рентгеновского ди-
reaction, one-dimensional transport, and inverse geochemical
фрактометра Ultima-IV, Rigaku выполнены на обору-
calculations // US Geological Survey Techniques and Meth-
ods. 2013.
довании, приобретенном за счет Программы разви-
[12] Komadel P. // Appl. Clay Sci. 2016. Vol. 131. P. 84-99.
тия МГУ имени М. В. Ломоносова. Определение
[13] Krupskaya V. V., Zakusin S. V., Tyupina E. A. et al. // Geo-
содержания щелочных и щелочноземельных элемен-
chem. Int. 2019. Vol. 57, N 3. P. 314-330.
тов при экстракции ацетатом аммония выполнены
[14] Krupskaya V. V., Zakusin S. V., Tyupina E. A. et al. // Miner-
при частичной финансовой поддержке Программы
als. 2017. Vol. 49. P. 1-15.
[15] Pentrák M. et al. // Appl. Clay Sci. 2018. Vol. 163. P. 204-
президиума РАН N 36.
213.
[16] Cornell R. M. // J. Radioanal. Nucl. Chem. 1993. Vol. 171.
Список литературы
P. 483-500.
[1] Kryshev I. I., Romanov G. N., Sazykina T. G. et al. // Health
[17] Missana T., García-Gutiérrez M., Benedicto A. et al. //
Phys. 1998. Vol. 74. P. 687-967.
Geochim. Cosmochim. Acta. 2014. Vol. 128. P. 266-277.
[2] Shutov V. N., Travnikova I. G., Bruk G. Ya. et al. // J. Environ.
[18] Fuller A. J., Shaw S., Peacock C. L. et al. // Appl. Geochem.
Radioact. 2002. Vol. 61. P. 91-109.
2014. Vol. 40. P. 32-42.
[3] Lux D., Kammerer L., Rühm W., Wirth E. // Sci. Total Envi-
[19] Poinssot C., Baeyens B., Bradbury M. H. // Clays Clay Miner.
ron. 1995. Vol. 173-174. P. 375-384.
1999. Vol. 63. P. 3217-3227.
[4] Malek M., Hinton T., Webb S. // J. Environ. Radioact. 2002.
[20] Missana T., García-Gutiérrez M., Benedicto A. et al. // Appl.
Vol. 58. P. 129-141.
Geochem. 2014. Vol. 49. P. 95-102.
[5] Buesseler K., Aoyama M., Fukasawa M. // Environ. Sci. Tech-
[21] Benedicto A., Begg J. D., Zhao P. et al. // Appl. Geochem.
nol. 2011. Vol. 45. P. 9931-9935.
2014. Vol. 47. P. 177-185.
[6] Chino M., Nakayama H., Nagai H. et al. // J. Nucl. Sci. Tech-
[22] Zavarin M., Powell B. A., Bourbin M. et al. // Environ. Sci.
nol. 2011. Vol. 48. P. 1129-1134.
Technol. 2012. Vol. 46. P. 2692-2698.
[7] Mukai H., Hirose A., Motai S. et al. // Sci. Rep. 2016. V. 6.
[23] Semenkova A. S., Romanchuk A. Y., Krupskaya V. V. et al. //
P. 21543.
Appl. Geochem. 2018. Vol. 92. P. 1-8.
[8] Aoyama M., Hirose K. // J. Environ. Monit. 2006. Vol. 8.
[24] Bradbury M. H., Baeyens B. // Radiochim. Acta.
2006.
P. 431-439.
Vol. 625. P. 619-625.