Радиохимия, 2019, т. 61, N 5, c. 427-432
427
Численное моделирование выщелачивания алюмофосфатного
стекла в статическом режиме в присутствии бентонита
© К. А. Болдырева, К. В. Мартыновб, Д. В. Крючкова, Е. В. Захароваб, В. М. Ермолаевб
а Институт проблем безопасного развития атомной энергетики РАН,
115191, Москва, Большая Тульская ул., д. 52; *e-mail: kaboldyrev@gmail.com
б Институт физической химии и электрохимии им. А. Н. Фрумкина РАН,
119071, Москва, Ленинский пр., д. 31, корп. 4
Получена 25.09.2018, после доработки 21.12.2018, принята к публикации 24.12.2018
УДК 542.61:666
Представлена численная кинетическая модель выщелачивания алюмофосфатного стекла - аналога
стекломатрицы РАО - в статическом режиме в присутствии бентонита с учетом сорбционных процес-
сов, построенная на основе экспериментальных данных. Модель описывает кинетику растворения стек-
ла в рамках подхода приближения к равновесию с учетом блокирования поверхности продуктами кор-
розии стекла. Сорбция описывается в рамках модели ионного обмена. Моделирование проводили в рас-
четном коде PhreeqC.
Ключевые слова: стекломатрица радиоактивных отходов, алюмофосфатное стекло, радионуклиды,
пункты глубинного захоронения радиоактивных отходов, контейнер изолирующий, барьеры безопасно-
сти, бентонит, выщелачивание, сорбция, PhreeqC.
DOI: 10.1134/S0033831119050125
В Российской Федерации промышленное отвер-
Моделирование выщелачивания стекломатриц
ждение жидких высокоактивных РАО в алюмофос-
широко развито за рубежом, однако созданные
фатное стекло началось в 1987 г. [1]. Наработанные
стройные и малопротиворечивые модели выщелачи-
тысячи тонн остеклованных РАО в настоящее время
вания, учитывающие в том числе широкий ряд про-
размещены во временном хранилище на территории
исходящих химических и физических процессов,
ПО «Маяк». В соответствии с Федеральной целевой
описывают в основном растворение боросиликатных
программой «Обеспечение ядерной и радиационной
стекломатриц, как основных стекол, каптирующих
безопасности на 2016-2025 гг. и на период до
РАО (например, [6-11] и др.). Опыт же геохимиче-
2030 г.» (ФЦП ЯРБ-2) с целью окончательной изоля-
ского моделирования выщелачивания алюмофосфат-
ции от биосферы эти отходы предполагается пере-
ных стекол явно недостаточен. В статье [12] создана
местить в пункт глубинного захоронения РАО
экстраполяционная временнáя модель выщелачива-
(ПГЗРО), создаваемый в недрах Нижнеканского мас-
ния на основе результатов выщелачивания в статиче-
сива в Красноярском крае [2].
ском режиме компонентов стекломатрицы из алюмо-
Методики получения фосфатных матриц за рубе-
фосфатного стекла с имитаторами радионуклидов. В
жом начали разрабатываться еще в 1960-е гг. Натрие-
работах [13, 14] созданы математические модели вы-
воалюмофосфатные стекла исследовались в ФРГ как
щелачивания и коррозии стекла в условиях захороне-
часть процесса PAMELA (солидификация в фосфат-
ния с учетом параметров образования коррозионного
ные стекла и каптирование металлов ЖРО) [3]. Низ-
слоя, однако учет химических процессов в них весь-
кощелочные железо-алюминиево-фосфатные стекла,
ма ограничен.
как было обнаружено, имеют высокую стабильность,
Современный подход к обеспечению безопасно-
даже более высокую, чем у боросиликатных стекол
сти объектов использования атомной энергии пред-
[4]. Тем не менее, основной интерес за рубежом при-
полагает рассмотрение эволюции объекта с учетом
влекают боросиликатные стекла вследствие приня-
всего многообразия процессов, важных для оценки
тия к производству стекломатриц данного типа во
динамики распространения радионуклидов сквозь
многих странах (Бельгия, Великобритания, Герма-
каскад изолирующих барьеров безопасности (ИББ).
ния, США, Франция, Япония) [5]. Отечественная же
Это определяет необходимость комплексного анали-
практика рассматривает натриево-алюмо-фосфатные
за процессов эволюции ИББ от разрушения матрицы
стекла как один из вариантов матриц РАО наряду с
РАО и выщелачивания радионуклидов до оценки
боросиликатными в связи с особенными характери-
выхода радионуклидов за пределы объекта.
стиками РАО, вследствие чего разработка моделей
выщелачивания алюмофосфатного стекла с учетом
Для достоверного анализа необходимо рассматри-
химических процессов становится не только важной,
вать все основные эволюционные процессы и их
но и актуальной. Она и являлась целью настоящей
влияние друг на друга, что в конечном итоге являет-
работы.
ся базовой информацией при моделировании выхода
428
К. А. Болдырев и др.
радионуклидов за пределы объекта. В соответствии с
требованиями МАГАТЭ [15] анализ и моделирова-
Порода
ние особенностей, событий и процессов (ОСП, в ме-
Шликер
Стакан внешний
ждународной терминологии FEPs - Features, Events,
Бетон алюминатный
and Processes), оказывающих влияние на элементы
Стакан средний
системы захоронения, являются обязательными со-
Бентонит пресованный
Стакан внутренний
ставляющими оценки безопасности пункта оконча-
Чехол транспортный
тельной изоляции радиоактивных отходов. Процессы
Пенал ПО «Маяк»
выбираются как на основе отечественной законода-
Бидон
ВАО стекло
тельной базы [16], так и на основе требований
МАГАТЭ после анализа списка ОСП [17].
Основными ИББ ПГЗРО в Нижнеканском масси-
Рис. 1. Схема конструкции контейнера изолирующего КИ.
ве являются бетонно-металлические изолирующие
контейнеры КИ с остеклованными высокоактивными
из стекломатрицы; 3) химических процессов, опреде-
РАО. Контейнеры включают защитный слой из бу-
ляющих возможное равновесное содержание радио-
ферных глинистых материалов на основе бентонита.
нуклидов в получаемом растворе, расчет которых
Схема конструкции контейнера изолирующего для
производится с применением модуля расчета хими-
РАО 1 класса приведена на рис. 1 [18, 19]. После вы-
ческих процессов.
хода из контейнера при его деградации или повреж-
Экспериментальная часть
дении радионуклиды поступают в нарушенные поро-
ды ближней зоны, а затем мигрируют с трещинными
Испытания матричных материалов для РАО на
подземными водами до мест разгрузки, попадая в
выщелачивание обычно проводят в ненасыщенных
биосферу.
условиях с периодической сменой выщелачиваю-
щих растворов, моделирующей проточный режим
Материалом, из которого изготавливаются бидо-
водообмена [21]. Однако в самом ГОСТ Р 52126-
ны, пеналы, чехлы и стаканы, является углеродистая
2003 указано, что метод, устанавливаемый этим
сталь, которая подвержена процессам коррозии, про-
стандартом, «не пригоден для количественной оцен-
текающим в достаточно ограниченные сроки (от 100
ки долговременной стабильности отходов, находя-
до 1000 лет), вследствие чего возникает взаимодейст-
щихся в реальных условиях захоронения», главным
вие стекломатрицы, бентонита и подземной воды с
образом, из-за отсутствия фильтрации подземных
растворенными в ней продуктами коррозии.
вод в ближней зоне пунктов захоронения, защищен-
Достоверность оценки выхода радионуклидов из
ной противофильтрационными барьерами безопас-
стекломатрицы за пределы хранилища будет зави-
ности. Выщелачивание матричных материалов в ста-
сеть от того, насколько полно учтены при экспери-
тическом режиме будет отличаться от проточного
ментальном и численном моделировании факторы,
режима прежде всего тем, что концентрации компо-
влияющие на поведение радионуклидов. Определяю-
нентов (удельные активности радионуклидов) в рас-
щими параметрами, которые требуется знать при
творе могут достигать равновесного насыщения,
расчетном анализе безопасности, являются: радио-
определяемого их произведениями растворимости и
нуклидный состав, активность источника
коэффициентами сорбционного распределения.
(стекломатрицы), параметры выщелачивания стекло-
Вышедший из употребления аналогичный по ме-
матрицы.
тодике ГОСТ 29114-91 [22] содержал следующее:
Изменение основных параметров выщелачивания
«Метод не дает соответствующих данных для созда-
может быть оценено с применением разработанного
ния математических моделей, предсказывающих
расчетно-прогностический комплекса с входящим в
скорость выщелачивания на длительный (сотни и
него блоком анализа химических процессов [20] на
тысячи лет) интервал времени, не пригоден для оп-
основе информации о минеральном и химическом
ределения поведения отвержденных радиоактивных
составах материалов барьеров и порового раствора
отходов в условиях, соответствующих условиям в
(воды, содержащей растворенные примеси). Расчет
хранилищах, расположенных в глубоких геологиче-
скорости и количества радионуклидов, выщелочен-
ских формациях». Тем не менее, в нем указано, что в
ных из матрицы в раствор, выполняется с учетом:
процессе выщелачивания «должны быть проанали-
1) заданных параметров источника, свойств материа-
зированы наиболее представительные компоненты
лов матрицы, характеризующих выход радионукли-
матриц и отходов. Компоненты стекла: Na, Ca, Si
дов в раствор; 2) физических процессов разрушения
(для силикатных материалов) или Na, Al, P (для фос-
матрицы и выхода радионуклидов с учетом конкрет-
фатных материалов)».
ных условий и параметров окружающей среды, мо-
делируемых с применением модулей выщелачивания
Экспериментальное изучение выщелачивания
Численное моделирование выщелачивания алюмофосфатного стекла
429
модельного алюмофосфатного стекла с имитаторами
Модель выщелачивания из алюмофосфатного
элементов РАО в статическом режиме было прове-
стекла
дено в присутствии бентонита, как главного барьер-
Наиболее рациональным подходом к численной
ного материала [23]. Исходными материалами для
оценке выщелачивания является моделирование хи-
экспериментов были алюмофосфатное стекло, при-
мических процессов и кинетики выщелачивания при
родный бентонит и модельная подземная вода.
рассмотрении радионуклидов в составе стекломат-
Многокомпонентное алюмофосфатное стекло с
рицы как находящихся в виде индивидуальных ми-
имитаторами радионуклидов (Sr, Cs, La, Nd), приго-
неральных фаз: оксидов, силикатов, фосфатов, бора-
товленное по методике, описанной в работе [24],
тов. Необходимо определить значение константы
имело плотность не менее 2.3 г/см3. Его элементный
скорости выщелачивания стекла и состав раствора в
состав (мг/г) был определен методом рентгеноспек-
контакте с барьерным бентонитом с учетом влияния
трального микроанализа на сканирующем электрон-
протекающих химических процессов, а также темпе-
ном микроскопе Tescan Vega II XMU с рентгенов-
ратуры.
ским энергодисперсионным спектрометром Oxford
В процессе растворения стекла обычно наблюда-
Instruments INCAx-sight: Na 167, Al 67, P 244, S 1, Ca
ется несоответствие состава раствора составу рас-
6, Cr 1, Fe 10, Ni 8, Sr 13, Cs 5, La 10, Nd 10 (при рас-
творяющейся твердой фазы. Это объясняется обра-
четах доля La и Nd поделена поровну).
зованием твердых продуктов гидролиза матрицы
Бентонит месторождения «10-й Хутор» (Хакас-
стекла, выпадением малорастворимых соединений
сия) с минеральным составом (мас%): Na-Ca-
вторичных фаз (инконгруэнтным растворением).
монтмориллонит 65-75, каолинит 10-15, хлорит 3-4,
На скорость растворения стекломатрицы сущест-
иллит 1-2, кварц 12-15, калиевый полевой шпат 7-8,
венное влияние оказывают температура, кислот-
кальцит, пирит (единичные зерна), имел следующий
ность, а также наличие в растворе ионов, входящих
валовой химический состав (мас%), определенный
в состав стекломатрицы. Реальные параметры, ха-
методом рентгенофлуоресцентного анализа на ваку-
рактеризующие выход радионуклидов, определяют
умном рентгенофлуоресцентном спектрометре по-
на основе экспериментов по измерению концентра-
следовательного действия с дисперсией по длине
ций выщелачиваемых элементов в зависимости от
волны PANalytical Axios Advanced: Na2O 1.31, MgO
продолжительности процесса.
2.44, Al2O3 17.02, SiO2 61.46, K2O 1.24, CaO 1.39,
Схема происходящих в модели процессов пред-
TiO2 0.41, MnO 0.04, Fe2O3 3.39, P2O5 0.08, S 0.06,
ставлена на рис. 2.
потери при прокаливании 10.27, сумма 99.11.
В качестве модельного допущения ведущей фа-
Модельную подземную вода готовили из реаген-
зой при растворении стекла принят фосфат алюми-
тов CaCl2, MgSO4·7H2O и NaHCO3 с учетом химиче-
ния. В модели принимается, что на первом шаге при
ского состава подземных вод на участке пункта за-
растворении стекла его составляющие конгруэнтно
хоронения РАО. Ее состав следующий (мг/л): Na 75,
переходят в раствор (в предположении, что 1 моль
Mg 7, Ca 27, HCO3- 198, Cl- 48, SO42- 27; pH 8.4.
исследованного стекла при молекулярной масса
Образцы стекла измельчали до размера зерен ме-
25 г/моль содержит, моль: Na 0.1815, P 0.197,
нее 0.25 мм. Удельная поверхность измельченных
Al 0.062, Ca 0.00375, Cr 0.00048, Fe 0.00446, Ni
образцов оценена в 200 см2/г. Для температуры вы-
0.0034, Sr 0.0037, Cs 0.00094, La 0.0018, Nd 0.0018,
щелачивания 25°С все материалы загружали вместе
S 0.000781, О 0.7, что соответствует формуле Na0.1815·
в герметичные полипропиленовые пробирки при
P0.197Al0.062Ca0.00375Cr0.00048Fe0.00446Ni0.0034Sr0.0037Cs0.00094
соотношении стекло : бентонит : вода = 0.5 г : 1 г :
La0.0018Nd0.0018S0.00078О0.7). Затем состав раствора пе-
20 см3 и выдерживали при периодическом переме-
шивании. После завершения опытов жидкую фазу
Сорбированные формы:
Ca
отделяли фильтрованием.
Реакции
H2O
обмена с
Na
Катионный состав растворов определяли метода-
катионами
Стекло-
Mg
ми масс-спектрометрии с индуктивно-связанной
Продукты выще-
Бентонит
матрица
плазмой (Perkin Elmer Elan-6100) и атомно-эмисси-
лачивания: PO3-,
K
онной спектрометрии с индуктивно-связанной плаз-
Al3+, Na+, Fe2+
Кальцит,
мой (Perkin Elmer Optima-4300 DV); pH измеряли на
Осаждение ми-
CaCO3
неральных фаз
pH-метре Mettler Toledo MP 220 при комнатной тем-
Образование:
пературе. Значения концентрационных параметров
гиббсит Al(OH)3
Растворение
достаточно быстро стабилизируются, что свидетель-
гидроксиапатит
кальцита
ствует о насыщении выщелачивающих растворов и
Ca5(OH)(PO4)3 и пр.
близости системы к состоянию равновесия.
Рис. 2. Схема моделирования.
430
К. А. Болдырев и др.
ресчитывается исходя из осаждения фаз (продуктов
кальцит; емкость катионного обмена бентонита при-
выщелачивания), пересыщающих раствор. Таким
нята равной 60 мг-экв/100 г; сорбция материалом
образом, реализуется инконгруэнтный характер рас-
бентонитового буфера происходила по механизму
творения (выщелачивания) стекла.
ионного обмена.
В практике моделировании растворения стекло-
Расчеты проводили в рамках разработки методо-
матриц (см., например, работу [11]) нашло примене-
логии расчета эволюции свойств каскада инженер-
ние уравнения кинетики растворения в зависимости
ных барьеров DESTRUCT [20] при помощи вклю-
от степени насыщения раствора по ведущей фазе
ченного в нее расчетного кода геохимического моде-
растворения стекломатрицы (на основе теории пере-
лирования PhreeqC 2.18 [27].
ходного состояния [25]) вида:
В процессе моделирования учтено выпадение ми-
неральных фаз: гиббсита
[Al(OH)3], кальцита
Ri = Skexp(-Ea/RT)(1 - IAP/Ks),
(1)
(СаСО3), гидроксиапатита [Ca5(OH)(PO4)3], оксигид-
где S - контактная площадь, м2; k - действительная
роксидов переходных и редкоземельных металлов
константа скорости реакции; Еа - энергия активации,
[Fe(OH)3, Cr2O3, Ni(OH)2, La(OH)3(am), Nd(OH)3(am)],
Дж/моль; R - универсальная газовая постоянная,
фосфатов
[SrHPO4, Fe3(PO4)2·8H2O, FePO4·2H2O,
Дж/(моль·К); Т - абсолютная температура; IAP/Ks -
LaPO4·10H2O, NdPO4·10H2O]. Растворимость стекло-
отношение текущей концентраций ионов, определяю-
матрицы контролируется осаждением гиббсита и
щих растворение фазы, к концентрациям при насы-
гидроксиапатита, а также растворением кальцита и
щении.
привносом кальция из сорбированных на бентоните
форм (в рамках использованной модели ионного об-
Это уравнение было положено в основу разрабо-
мена - CaX2). Параметры растворимости минераль-
танных моделей выщелачивания алюмофосфатного
ных фаз представлены ниже [использовали базу тер-
стекла. В расчетах были применены 2 модели. Первая
модинамических данных llnl.dat, значения констант
модель основана на уравнении (1), вторая модель от-
реакций растворения для некоторых твердых мине-
личалась учетом торможения коррозии стекла вслед-
ральных фаз (гиббсита, гидроксиапатита, кальцита) в
ствие образования на его поверхности продуктов вы-
расчетах изменяли для того, чтобы учесть отличия
щелачивания (так как растущий измененный припо-
реальной системы от идеализированной].
верхностный коррозионный слой в значительной сте-
пени может влиять на кинетику выщелачивания [26]),
Гиббсит:
согласно следующей зависимости:
Al(OH)3 + 3H+ → Al3+ + 3H2O, lg K = 5.48;
фосфатное стекло (ведущая фаза растворения стекла):
Ri = Skkтexp(-Ea/RT)(1 - IAP/Ks),
(2)
AlPO4 + H+ → Al3+ + HPO2-, lg K = -9.52;
где kт - функция торможения, которая задается сле-
Fe(OH)3:
дующим эмпирическим уравнением:
Fe(OH)3 + 3H+ → Fe3+ + 3H2O, lgK = 5.6556;
kт = 1/[1 + k1∑EQUIi(«продукт коррозии»)]k2,
(3)
Cr2O3:
i
Cr2O3 +2H2O +1.5O2 → 2CrO42- + 4H+, lg K = -9.1306;
где k1,2 - аппроксимирующие коэффициенты; EQUIi
Ni(OH)2:
(«продукт коррозии») - количество i-го образовавше-
Ni(OH)2 + 2H+ → Ni2+ + 2H2O, lgK = 12.7485;
гося продукта коррозии, моль/л.
La(OH)3(am):
La(OH)3 + 3H+ → La3+ + 3H2O, lg K = 23.4852;
Принята следующая параметризация модели.
Nd(OH)3(am):
Константа скорости растворения матрицы 5.02×
Nd(OH)3 + 3H+ → Nd3+ + 3H2O, lgK = 20.4852;
10-5 моль/(м2·с) в модели без блокирования поверхно-
гидроксиапатит:
сти стекла продуктами коррозии, 1.02·10-4 моль/(м2·с)
Ca5(OH)(PO4)3 + 4H+ → H2O + 3HPO2- + 5Ca2+,
в модели с блокированием поверхности стекла продук-
lg K = -12.3746;
тами коррозии (при условии, что состав стекла опи-
кальцит:
сывается указанной выше формулой, а также при
CaCO3 + H+ → Ca2+ + HCO–, lg K = 1.1287;
используемом значении энергии активации). В ба-
SrHPO4:
зового значения энергии активации принято
Sr2+ + HPO42- → SrHPO4, lg K = 2.06;
17000 Дж/моль [14]; k1 = 200, k2 = 1.1. Состав мо-
вивианит:
дельной стекломатрицы и начальный состав водно-
Fe3(PO4)2·8H2O + 2H+ → 2HPO2- + 3Fe2+ + 8H2O,
го раствора приведены выше.
lg K = -4.7237;
При построении модели выщелачивания элемен-
LaPO4·10H2O:
тов из алюмофосфатного стекла в присутствии бен-
LaPO4·10H2O + H+ → HPO2- + La3+ + 10H2O, lgK = 12.3782;
тонита применяли следующие допущения: в качестве
NdPO4·10H2O:
ведущей фазы при растворении стекла выбран фос-
NdPO4·10H2O + H+ → HPO2- + Nd3+ + 10H2O,
фат алюминия (берлинит); в бентоните присутствует
lg K = -12.1782.
Численное моделирование выщелачивания алюмофосфатного стекла
431
Сравнение экспериментальных и расчетных дан-
ных по концентрациям Na, P и Al, а также значени-
ям рН раствора представлены на рис. 3.
Хорошее соответствие расчетных и эксперимен-
тальных результатов наблюдается для натрия и зна-
чений pH. Некоторое несоответствие по фосфору
объясняется возможным недоучетом перекристал-
лизации образовавшихся фосфатов, а также несо-
вершенной параметризацией модели вследствие
недостаточности существующих баз термодинами-
ческих данных, вследствие чего, например, при па-
раметризации модели приходилось корректировать
индексы насыщения минеральных фаз. Результаты
расчетов в обеих моделях (как с учетом блокирова-
ния, так и без учетов блокирования поверхности
выпадающими вторичными фазами) совпадают. Не-
которое несоответствие модельных и эксперимен-
тальных данных по Al, вероятно, объясняется по-
грешностями в ходе экспериментального определе-
ния концентрации Al, а также, вероятно, не учтен-
ными в модели окислительно-восстановительными
Рис. 3. Модельные и экспериментальные данные по концен-
переходами, произошедшими при пробоотборе
трациям Na и P в выщелатах, а также рН (а) и по концентра-
(заметно, что колебания концентрации Al явно кор-
ции Al (б). На а: 1 - Na (модель), 2 - P (модель), 3 - Na
релируют с колебаниями pH).
(эксперимент), 4 - P (эксперимент), 5 - pH (эксперимент), 6 -
pH (модель). На б: 1 - Al (модель), 2 - Al (эксперимент).
Результаты расчетов образования вторичных фаз
гидроксиапатита и гиббсита, определяющих раство-
рение стекломатрицы и вносящих основной вклад в
образующийся коррозионный слой, представлены
на рис. 4. С уменьшением скорости растворения их
содержание выходит на плато. Укажем, что при дан-
ном параметрическом обеспечении модели
(значения констант растворимости из использован-
ной базы термодинамических данных) не наблюда-
лось образования фосфатов железа, никеля, строн-
ция. По расчетам, происходило осаждение гидро-
ксиапатита и фосфатов лантана и неодима. Эти ре-
зультаты продемонстрировали необходимость даль-
Рис. 4. Результаты расчетов образования гидроксиапатита (1)
нейшего уточнения баз термодинамических данных.
и гиббсита (2), а также фосфатов La (3) и Nd (4).
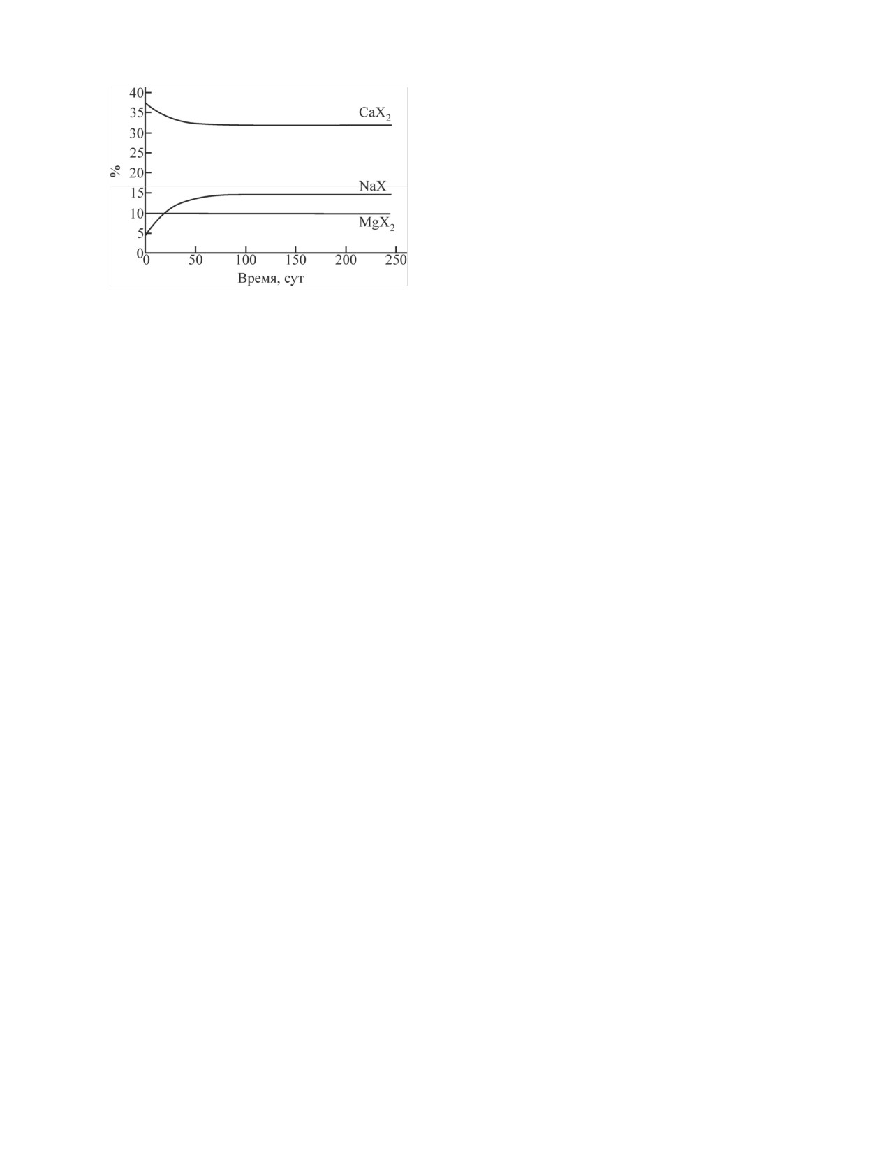
Изменения в ионообменном массиве (количества
сорбированных макрокатионов) отображены на рис. 5.
Реакции ионного обмена, использованные в мо-
Заметно падение содержание сорбированного каль-
делировании, приведены ниже:
ция, в основном за счет перевода его в гидроксиапа-
тит, и рост содержания сорбированного натрия. Со-
Cs+ + X- → CsX, lgK = 2;
держание магния мало изменяется, так как образо-
Na+ + X- → NaX, lg K = 0;
вание фосфатов магния, аналогичных гидроксиапа-
K+ + X- → KX, lgK = 0.7;
титу, не учитывали в моделировании, поскольку
Ca2+ + 2X- → CaX2, lgK = 0.8;
при использовании обнаруженных в литературе
данных по константам образования фосфатных фаз
Mg2+ + 2X- → MgX2, lg K = 0.6;
магния не наблюдалось их образования в модель-
Sr2+ + 2X- → SrX2, lgK = 0.91;
ных условиях. Кривые образования фосфатов Nd и
Fe2+ + 2X- → FeX2, lg K = 0.44;
La практически совпадают вследствие их малой рас-
Ni+2 + 2X- → NiX2, lg K = 0.8,
творимости и практически одинакового содержания
в исходном стекле.
Al(OH)2+ + 2X- → Al(OH)X2, lgK = 0.89;
Al3+ + 3X- → AlX3, lg K = 0.41.
Таким образом, в результате проведенных иссле-
432
К. А. Болдырев и др.
[11] PNNL-13369: Waste Form Release Calculations for the 2001
Immobilized Low-Activity Waste Performance Assessment.
2001.
[12] Мартынов К. В. и др. // Вопр. радиац. безопасности. 2014.
N 2. С. 43-50.
[13] Вашман А. А., Демин А. В., Крылова Н. В. и др. Фосфат-
ные стекла с радиоактивными отходами. М.: ЦНИИато-
минформ, 1997.
[14] Poluektov P. P. et al. // J. Nucl. Mater. 2017. Vol. 484.
P. 357-366.
[15] Features, Events and Processes (FEPs) for Geologic Disposal
of Radioactive Waste. An International Database. Nuclear
Energy Agency Organization for Economic Co-Operation and
Development (OECD), 2000.
[16] Положение о структуре и содержании отчета по обосно-
Рис. 5. Изменения в ионообменном массиве.
ванию безопасности приповерхностных пунктов захоро-
нения радиоактивных отходов РБ-058-10 (утв. приказом
дований и сравнения экспериментальных и расчет-
Федеральной службы по экологическому, технологиче-
скому и атомному надзору от 2 июля 2010 г. N 556).
ных данных определены параметры выщелачивания
[17] Серия изданий МАГАТЭ по нормам безопасности N SSR-
компонентов стекломатрицы (концентрации насы-
5. Захоронение радиоактивных отходов. Вена: МАГАТЭ,
щения и время их достижения) из алюмофосфатно-
2011.
го стекла в присутствии бентонита. Расчетные оцен-
[18] Подготовка проектной документации по строительству
объектов окончательной изоляции радиоактивных отхо-
ки параметров выщелачивания подтверждают экс-
дов (Красноярский край, Нижнеканский массив). Проект-
периментальные данные. Моделирование проде-
ная документация. Раздел 12: Иная документация в случа-
монстрировало необходимость в дальнейшем совер-
ях, предусмотренных федеральными законами. Подраздел
шенствовании параметрического обеспечения баз
1: Радиационная безопасность. Кн. 4: Физико-химические
характеристики барьерных материалов в условиях экс-
термодинамических данных. Полученные результа-
плуатации ПГЗРО. 110-1421-РБ4. ВНИПИпромтехноло-
ты станут основой для моделирования миграции
гии, 2014. Т. 12.1.4. Арх. N А-744-13.
выщелачиваемых радионуклидов за пределы барье-
[19] Отчет по обоснованию безопасности деятельности по
ров безопасности и влияния на безопасность населе-
размещению и сооружению не относящегося к ядерным
ния и окружающей среды.
установкам пункта хранения РАО, создаваемого в соот-
ветствии с проектной документацией на строительство
объектов окончательной изоляции РАО (Красноярский
Список литературы
край, Нижнеканский массив) в составе подземной иссле-
довательской лаборатории. М., 2015.
[1] Ожован М. И., Полуэктов П. П. // Природа. 2010. N 3.
[20] Болдырев К. А., Крючков Д. В., Мартынов К. В. и др. Раз-
С. 3-11.
работка расчетных методов оценки миграции радионук-
[2] Абрамов А. А., Дорофеев А. Н. // Радиоактивные отходы.
лидов за пределы ИББ с учетом их эволюции: Препринт
2017. N 1. С. 10-21.
ИБРАЭ. М., 2017. N IBRAE-2017-11. 23 с.
[3] Van Geel J., Eschrich H., Heimerl W., Grziwa P. Solidifica-
[21] ГОСТ Р 52126-2003: Определение химической устойчи-
tion of High Level Liquid Wastes to Phosphate Glass-Metal
вости отвержденных высокоактивных отходов методом
Matrix Blocks: IAEA-SM-207/83. 1976. Vol. 1. P. 341-359.
длительного выщелачивания. Постановление Госстандар-
[4] Malow G. Testing and Evaluation of the Properties of Various
та России от 30 октября 2003 г. N 305-ст. 13 с.
Potential Materials for Immobilizing High Activity Waste:
[22] ГОСТ 29114-91: Отходы радиоактивные. Метод измере-
EUR Report. 1979.
ния химической устойчивости отвержденных радиоактив-
[5] Grambow B. // Elements. 2006. Vol. 2, N 6. P. 357-364.
ных отходов посредством длительного выщелачивания.
[6] Grambow B. // Mater. Res. Soc. Symp. Proc. 1985. Vol. 44.
[23] Мартынов К. В., Константинова Л. И., Захарова Е. В. //
P. 15-27.
Вопр. радиац. безопасности. 2015. N 4. С. 10-21.
[7] Abraitis P. K. et al. // Appl. Geochem. 2000. Vol. 15, N 9.
[24] Андерсон Е. Б., Белов С. В., Камнев Е. Н. и др. Подземная
P. 1399-1416.
изоляция радиоактивных отходов / Под ред. В. Н. Моро-
[8] Grambow B., Müller R. // J. Nucl. Mater. 2001. Vol. 298,
зова. М.: Горная книга, 2011. 592 с.
N 1-2. P. 112-124.
[25] Aagaard P., Helgeson H. C. // Am. J. Sci. 1982. Vol. 282,
[9] PNNL-19736: Integrated Disposal Facility FY2010 Glass
N 3. P. 237-285.
Testing Summary Report. September 2010.
[26] Neeway J. et al. // J. Nucl. Mater. 2011. Vol. 415, N 1. P. 31-
[10] Bacon D. H., Ojovan M. I., McGrail P., Ojovan N. V. Vitrified
37.
waste corrosion rates from field experiment and reactive
[27] Parkhurst D. L. et al. User’s Guide to PHREEQC (Version
transport modeling // Proc. ICEM’03: 9th Int. Conf. on Envi-
2): A Computer Program for Speciation, Batch-Reaction,
ronmental Remediation and Radioactive Waste Management.
One-Dimensional Transport, and Inverse Geochemical Calcu-
Oxford (England), Examination Schools, Sept. 21-25, 2003.
lations. 1999.