404
Радиохимия, 2019, т. 61, N 5, c. 404-408
Влияние облучения на гидродинамические свойства
экстракционных смесей на основе диамидов дикарбоновых кислот
в разбавителе FS-13
© М. И. Кадыкоa, И. В. Скворцовa, А. В. Ивановб, Е. В. Белова*а, Б. Ф. Мясоедова-в
а Институт физической химии и электрохимии им. А. Н. Фрумкина РАН,
119071, Москва, Ленинский пр., д. 31, корп. 4; *e-mail: bl174@bk.ru
б Химический факультет Московского государственного университета им. М. В. Ломоносова,
119991, Москва, Ленинские горы, д. 1/3
в Межведомственный центр аналитических исследований по проблемам в области физики, химии и биологии при
Президиуме РАН, 117342, Москва, Профсоюзная ул., д. 65, стр. 6
Получена 29.10.2018, после доработки 24.12.2018, принята к публикации 25.12.2018
УДК 541.28:542.61
Исследованы гидродинамические свойства трех перспективных экстракционных смесей: растворы
0.05 моль/л ди(N-этил-4-гексиланилида) 2,2'-бипиридин-6,6'-дикарбоновой кислоты (DYP-7), ди(N-этил-
4-фторанилида) 2,6-пиридиндикарбоновой кислоты [Et(pFPh)DPA)] и ди(N-этил-4-этиланилида) 2,2'-
бипиридин-6,6'-дикарбоновой кислоты (DYP-9) в трифторметилфенилсульфоне (FS-13). Определены
показатели плотности, вязкости, поверхностного натяжения и скорости расслаивания фаз на стадиях
экстракции азотной кислоты, реэкстракции, а также регенерации содовым раствором для этих систем
при воздействии на них ионизирующего излучения. Определены концентрации эктрагентов в облучен-
ных пробах смесей и рассчитаны радиационно-химические выходы их разложения. Показано, что иони-
зирующее излучение повышает значения плотности и поверхностного натяжения при облучении до
дозы 100 кГр с последующим снижении при дальнейшем облучении.
Ключевые слова: диамиды дикарбоновых кислот, трифторметилфенилсульфон (FS-13), гидродина-
мические показатели, экстракция, реэкстракция, регенерация.
DOI: 10.1134/S0033831119050071
В основе современных технологических схем
динамическим характеристикам экстракционных
переработки ОЯТ лежат экстракционные процессы.
процессов. К ним относятся N,N'-диэтил-N,N'-ди(4-
Одним из перспективных процессов, решающих
гексилфенил)диамид
2,2'-бипиридин-6,6'-дикарбо-
проблему минимизации количества высокоактивных
новой кислоты (DYP-7), N,N'-диэтил-N,N'-ди(4-фтор-
отходов (ВАО), образующихся при переработке
фенил)дипиколиламид
[Et(pFPh)DPA] и N,N'-ди-
ОЯТ, является UNEX-процесс. Он используется для
этил-N,N'-ди(4-этилфенил)диамид
2,2'-бипиридин-
совместного извлечения долгоживущих радионукли-
6,6'-дикарбоновой кислоты (DYP-9). Литературные
дов (цезия, стронция и минорных актинидов) из кис-
данные [11-14] показали перспективность диамидов
лых растворов (до 6 моль/л HNO3) ВАО [1-3] с по-
дикарбоновых кислот для использования совместно
мощью экстракционной системы на основе хлориро-
с ХДК в экстракционных системах с FS-13, что в со-
ванного дикарболида кобальта (ХДК), карбамоил-
четании с высокой химической устойчивостью по-
фосфиноксида (КМФО) и полиэтиленгликоля (ПЭГ)
зволяет рассматривать диамиды как перспективные
в полярном разбавителе FS-13 [4].
экстрагенты в модифицированном UNEX-процессе
Для минимизации объема вторичных отходов,
при переработке высокоактивных отходов атомной
возникающих в процессе переработки радиоактив-
промышленности. Для окончательного вывода о воз-
ных отходов, во Франции разработана СНОN-кон-
можности применения этих соединений требуется
цепция, предусматривающая использование в каче-
изучить их гидродинамические свойства и радиаци-
стве разбавителя и экстрагента полностью сжигае-
онную стойкость для оценки безопасности использо-
мых веществ, состоящих только из углерода, водо-
вания в условиях технологических операций.
рода, кислорода и азота. Наличие фосфора в экстра-
генте КМФО в UNEX-процессе не позволяет прово-
В настоящей работе изучена радиационно-хими-
дить переработку вторичных отходов в рамках этой
ческая устойчивость экстракционных систем на ос-
концепции. В качестве экстрагентов для извлечения
нове экстрагентов: диамидов кислот в тяжелом фто-
минорных актинидов предлагаются различные ами-
рированном полярном разбавителе фенилтрифтор-
ды кислот [5-10] в разбавителях, способных раство-
метилсульфоне (FS-13). Структуры экстрагентов
рять эти экстрагенты, а также удовлетворять гидро-
представлены ниже.
Влияние облучения на гидродинамические свойства экстракционных смесей
405
DYР-7
Et(pFPh)DPA
DYР-9
Экспериментальная часть
НNO3 по 10 мин (стадия реэкстракции). После реэкс-
тракции органический раствор регенерировали рас-
В ходе эксплуатации экстракционная смесь
твором 0.5 моль/л Na2CO3 три раза по 10 мин при
(экстрагент в разбавителе) подвергается действию
соотношении объемов органической и водной фаз 1 :
ионизирующего излучения, в результате чего образу-
1. Каждый раз использовали свежий раствор HNO3
ются соединения, замедляющие расслаивание орга-
или Na2CO3. После стадии регенерации отбирали
нической и водной фаз. При исследовании новых
пробы органической и водной фаз по 2 мл для прове-
экстрагентов для UNEX-процесса необходимо уде-
дения хроматографического анализа, также измеряли
лить особое внимание гидродинамическим показате-
время расслаивания водно-органической эмульсии
лям, таким как плотность и вязкость экстрагента,
(скорости расслаивания v1, v2, v3 при трех последова-
скорость расслаивания фаз. Для определения данных
тельных контактах фаз). На всех стадиях регенера-
параметров разработана методика, которая адаптиро-
ции органической фазы определяли ее плотность,
вана под требования настоящего эксперимента [15] и
вязкость и межфазное натяжение при 20°С.
отработана ранее [16]. Погрешность измерений вы-
Скорость расслаивания фаз рассчитывали как от-
шеуказанных характеристик не превышает 10 отн%.
ношение высоты слоя органической фазы (при рав-
Диамиды 2,2'-бипиридин-6,6'-дикарбоновых ки-
ных объемах фаз) ко времени полного расслаивания
слот были синтезированы на химическом факультете
(мм/с). Поверхностное натяжение образцов на грани-
МГУ [17]. Все остальные реагенты были получены
це раздела фаз (органическая фаза/воздух) определя-
из коммерческих источников и использовались без
ли на установке с обратной связью KSV MinitroughTM
дополнительной очистки.
(Финляндия), оборудованной полностью автоматизи-
Влияние ионизирующего излучения на экстрак-
рованными весами Ленгмюра и платиновой пластин-
ционные смеси моделировалось воздействием пучка
кой Вильгельми с периметром 49 мм, по стандартной
ускоренных электронов на линейном ускорителе
методике. Динамическую вязкость образцов рассчи-
УЭЛВ-10-10-С-70 (энергия 8 МэВ, длительность им-
тывали по уравнению Пуазейля (ρ - плотность, t -
пульса 6 мкс, частота повторения импульсов 300 Гц,
время истечения)
средний ток пучка 700 мкА, частота вертикальной
η = η0ρt/(ρ0t0),
развертки пучка 1 Гц, ширина развертки 245 мм).
Пучок ускоренных электронов сканировали вдоль
где η0, ρ0, t0 - характеристики дистиллированной во-
вертикальной оси емкости с раствором экстрагентов
ды.
в разбавителе. Облучение проводили в цилиндриче-
Продукты разложения экстракционных смесей
ском стеклянном реакторе, снабженном гидрозатво-
анализировали на жидкостном хроматографе Аgilent
ром, вращающемся на карусельном столе со скоро-
1260 с УФ детектором и масс-спектрометрическим
стью 16 см/с. Образец экстракционной смеси, насы-
детектором Bruker Maxis Impact с возможностями
щенный три раза по 20 мин равными объемами
химической ионизации, электроспрея и фотоиониза-
3 моль/л НNО3, за один проход сквозь пучок элек-
ции. Для проведения анализа от полученного образца
тронов получал среднюю дозу 10 кГр. Были приго-
отбирали 10 мкл раствора и разбавляли до 1 мл эта-
товлены образцы с поглощенными дозами 100, 250 и
нолом. Далее образцы обрабатывали в ультразвуко-
500 кГр.
вой бане в течение 15 мин, после чего еще раз отби-
Облученные образцы растворов 0.05 моль/л экст-
рали 10 мкл раствора и снова разбавляли до 1 мл эта-
рагентов в разбавителе FS-13 приводили в контакт с
нолом. Объем вводимой пробы составлял 1 мкл. Ре-
раствором 3 моль/л HNO3 (имитация стадии экстрак-
жим хроматографирования: старт - 95% воды-5%
ции элементов), затем органическую фазу встряхива-
ацетонитрила, градиент до 30 мин до 5% воды-95%
ли два раза с равными объемами раствора 0.02 моль/л
ацетонитрила, далее изократические условия 20 мин.
406
М. И. Кадыко и др.
Таблица 1. Плотность, поверхностное натяжение и вяз-
кость необлученных растворов 0.05 моль/л диамидов в
разбавителе FS-13
Плотность,
Поверхностное
Вязкость,
Диамид
г/мл
натяжение, Н/м
мПа·с
DYР-7
1.399
0.029
3.99
Et(pFPh)DPA
1.409
0.029
3.65
DYР-9
1.418
0.028
3.89
Результаты и обсуждение
Опыты проводили с растворами 0.05 моль/л диа-
мидов в разбавителе FS-13. Растворимость диамидов
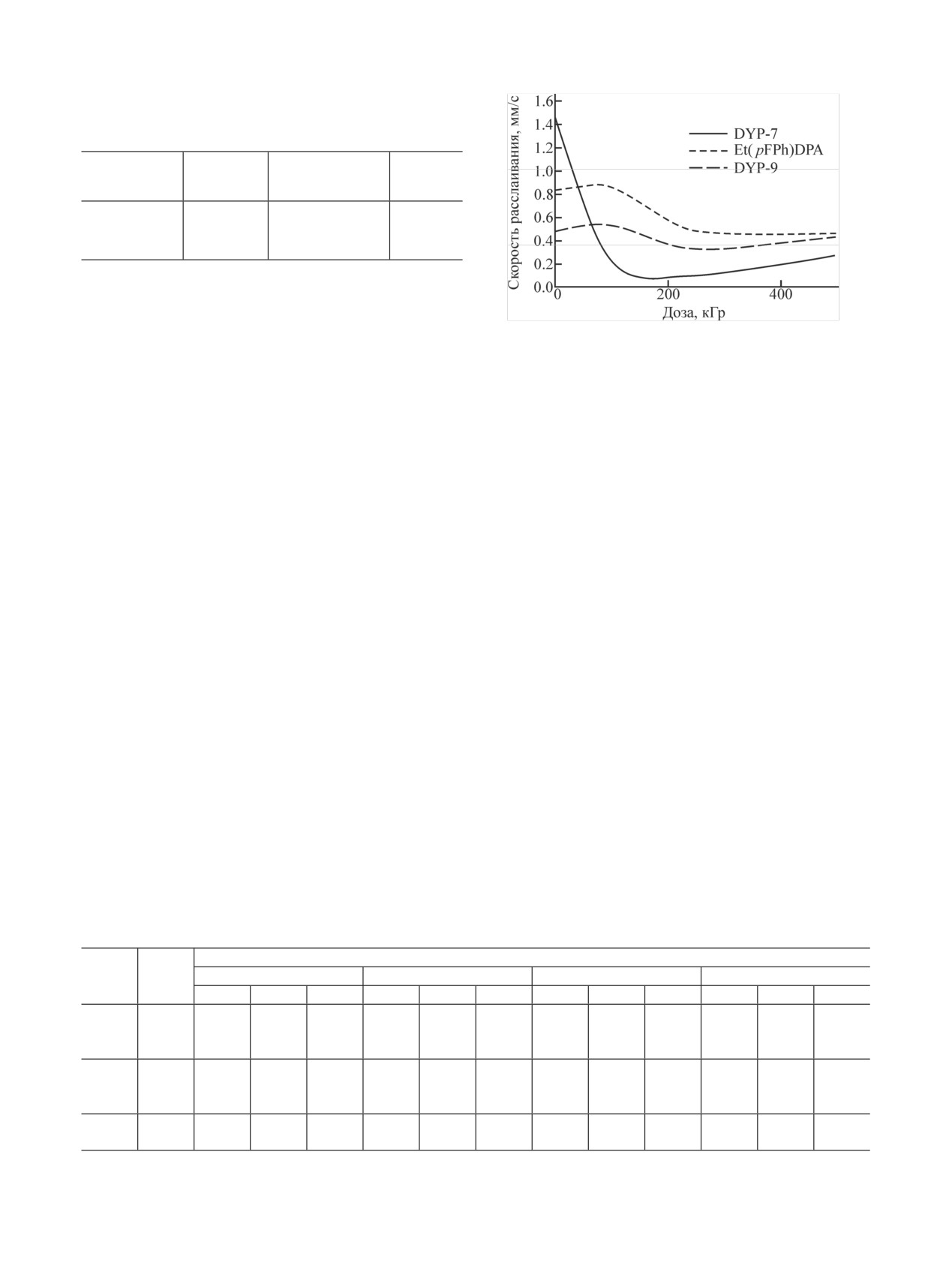
Рис. 1. Изменение скорости расслаивания органической и вод-
достаточна для получения растворов данной концен-
ной фаз на стадии реэкстракции 0.02 моль/л НNО3 при облуче-
трации. Гидродинамические характеристики приго-
нии растворов 0.05 моль/л диамидов в FS-13 ускоренными
товленных необлученных экстракционных смесей
электронами.
приведены в табл. 1.
В табл. 2 приведены результаты изменения ско-
Плотность и динамическая вязкость несколько
рости расслаивания органической и водной фаз на
отличаются от значений для чистого разбавителя
стадиях экстракции, реэкстракции и регенерации в
(ρ20 = 1.41 г/мл, η = 3.6·10-3 Па·c). Значения динами-
зависимости от дозы воздействия ускоренных элек-
ческой вязкости для всех образцов увеличились. Рас-
тронов.
творы Et(pFPh)DPA и DYР-9 по плотности мало от-
личаются от разбавителя. Отличия для DYР-7, воз-
Как видно из данных, скорость расслаивания фаз
можно, связаны с особенностями его строения
на стадии экстракции снижается с дозой облучения,
(присутствие длинного углеводородного заместите-
особенно значительно для DYP-7. Для DYP-9 скоро-
ля -С6Н13). Наличие такого радикала увеличивает
сти расслаивания имеют экспоненциальную зависи-
скорость расслаивания фаз для необлученных сис-
мость от дозы. Скорости расслаивания фаз на стадии
тем (табл. 2). Для всех образцов после насыщения
реэкстракции уменьшаются с увеличением дозы об-
3 моль/л HNO3 определяли содержание HNO3 в про-
лучения для всех диамидов (рис. 1). Типичные зави-
бах методом потенциометрического титрования в
симости скорости расслаивания органической и вод-
ацетоне. Общее содержание HNO3, как свободной,
ной фазы от дозы облучения для всех стадий показа-
так и в виде солей с пиридиновым азотом, в экстрак-
ны на рис. 2 на примере Et(pFPh)DPA. На стадии
ционных смесях после их насыщения составило для
регенерации экстрагента, особенно при дозе
смесей с DYР-7, Et(pFPh)DPA и DYР-9 0.003, 0.003 и
500 кГр, органическая и водная фазы настолько пло-
0.004 моль/л соответственно. На основании этих ре-
хо разделяются из-за обилия осадков, что выделить
зультатов можно предположить, что содержание
свободную органическую фазу удалось лишь за не-
HNO3 в экстракционных смесях не зависит от приро-
сколько часов.
ды экстрагентов и определяется растворимостью
На рис. 3 и 4 приведены значения плотности и
самой HNO3 в разбавителе FS-13.
вязкости рабочего раствора для трех диамидов в за-
Таблица 2. Изменение скорости расслаивания органической и водной фаз (v, мм/с) по мере облучения растворов
0.05 моль/л экстрагентова в разбавителе FS-13 ускоренными электронами на стадиях экстракции 3 моль/л НNО3,
реэкстракции 0.02 моль/л НNО3 и регенерации 0.5 моль/л Na2CO3
Доза, кГр
Опера-
Пара-
0
100
250
500
ция
метр
I
II
III
I
II
III
I
II
III
I
II
III
v1
1.78
0.77
0.35
0.44
0.95
0.36
0.31
0.35
0.54
0.3
0.32
0.3
Экс-
v2
1.97
0.92
0.48
0.22
0.87
0.22
0.24
0.60
0.45
0.22
0.46
0.55
тракция
v3
2.00
0.90
0.49
0.21
0.49
0.31
0.53
0.49
0.59
0.5
0.4
0.42
v1
1.56
0.60
0.60
0.23
0.77
0.75
0.10
0.49
0.70
0.51
0.74
0.49
Реэкс-
v2
1.43
0.93
0.45
0.22
0.88
0.31
0.10
0.48
0.14
0.07
0.31
0.71
тракция
v3
1.39
0.97
0.39
0.23
0.91
0.33
0.09
0.45
0.13
0.24
0.33
0.09
Регене-
v1
0.10
0.23
0.15
0.03
0.18
0.006
0.02
0.06
0.2
0.04
0.3
0.13
рация
v2
0.11
0.19
0.13
0.02
0.34
0.03
0.01
0.06
0.16
0.02
0.29
0.14
а I - DYP-7, II - Et(pFPh)DPA, III - DYP-9.
Влияние облучения на гидродинамические свойства экстракционных смесей
407
Рис. 2. Изменение скорости расслаивания органической и вод-
Рис. 5. Изменение поверхностного натяжения экстракционных
ной фаз на всех стадиях при облучении раствора 0.05 моль/л
смесей в зависимости от дозы облучения ускоренными элек-
диамида Et(pFPh)DPA в FS-13 ускоренными электронами.
тронами.
1 - экстракция, 2 - реэкстракция, 3 - регенерация.
Рис. 3. Изменение плотности экстракционных смесей в зави-
Рис. 6. Изменение концентрации диамидов в разбавителе FS-
симости от дозы облучения ускоренными электронами.
13 в зависимости от дозы облучения растворов.
ды. Этот факт может свидетельствовать в пользу
образования кислых продуктов при облучении раз-
бавителя. Для систем с диамидами DYР-7 и DYР-9,
содержащих алкильные заместители в ароматиче-
ском кольце, фиксируется образование эмульсий.
Этот факт связан с изменениями в структурах ал-
кильных заместителей ароматического кольца при
воздействии ионизирующего излучения и, как след-
ствие, с увеличением динамической вязкости для
этих смесей.
По мере увеличения поглощенной дозы в экс-
Рис. 4. Изменение вязкости экстракционных смесей в зависи-
тракционных смесях происходит накопление про-
мости от дозы облучения ускоренными электронами.
дуктов деструкции растворителя FS-13, основные из
них установлены ранее методом жидкостной хрома-
висимости от поглощенной экстрагентом дозы облу-
тографии [18]. Часть из этих продуктов вымываются
чения. Из полученных данных видно, что плотность
при обработках, а циклические фторсодержащие и
экстрагентов незначительно меняется с ростом дозы
димерные ароматические продукты способны накап-
облучения ускоренными электронами, а вязкость
ливаться, что приводит к снижению качества экс-
плавно возрастает для DYP-9 и Et(pFPh)DPA и более
тракционных систем. Продукты разрушения экстра-
резко для DYP-7.
гентов в облученных пробах после содовой обработ-
Как следует из данных, приведенных на рис. 5,
ки не фиксируются методом жидкостной хромато-
поверхностное натяжение с увеличением дозы облу-
графии. Данные об изменении концентрации экстра-
чения, как и все гидродинамические параметры, уве-
гентов в зависимости от дозы облучения электрона-
личивается. Скорости расслаивания при различных
ми представлены на рис. 6. На основании получен-
видах обработки органических растворов отличают-
ных данных о содержании диамидов в растворах
ся в разы, особенно при промывках растворами со-
после облучения были рассчитаны радиационно-
408
М. И. Кадыко и др.
Таблица 3. Радиационно-химические выходы разложе-
различных обработках, что связано с накоплением
ния диамидов (G, молекул/100 эВ) при облучении рас-
продуктов деградации разбавителя и частичным их
творов 0.05 моль/л экстрагентов в FS-13
выведением из экстракционной системы.
Диамид
100 кГр
250 кГр
500 кГр
Определены концентрации и радиационно-
DYР-7
1.03
0.46
0.36
химические выходы разложения экстрагентов при
Et(pFPh)DPA
0.23
0.24
0.45
воздействии на них ионизирующего излучения. Ус-
DYР-9
2.04
1.02
0.61
тановлено, что из изученных экстрагентов DYР-9
обладает наименьшей радиационной устойчиво-
химические выходы их разложения (табл. 3).
стью, что связано с природой экстрагента.
При дозе 100 кГр деструкции подверглось 24.4%
Работа выполнена при финансовой поддержке
DYР-7, 14.8% Et(pFPh)DPA, 56.4% DYР-9, а при до-
Российского научного фонда (проект 16-19-00191).
зе 500 кГр - 46.6, 74.6 и 85.6% соответственно. Та-
ким образом, из изученных экстрагентов DYР-9 об-
Список литературы
ладает наименьшей радиационной устойчивостью.
Это связано с природой экстрагента. Существенное
[1] Herbst R. S., Law J. D., Todd T. A. et al. // Solvent Extr. Ion
разрушение диамида Et(pFPh)DPA происходит в ин-
Exch. 2002. Vol. 20. P. 429-445.
тервале доз от 250 до 500 кГр, что, возможно, свя-
[2] Law J. D., Herbst R. S., Todd T. A. et al. // Solvent Extr. Ion
занно с накоплением продуктов деструкции, способ-
Exch. 2001. Vol. 19. P. 23-36.
ных под действием ионизирующего излучения обра-
[3] Herbst R. S., Law J. D., Todd T. A. et al. // Sep. Sci. Technol.
2003. Vol. 38. P. 2685-2708.
зовывать реакционноспособные радикалы, которые,
[4] Herbst R. S., Luther T. A., Peterman D. R. et al. // ACS Symp.
в свою очередь, способствуют разрушению экстра-
Ser. 2006. Vol. 943. P. 171-185.
гента.
[5] Charbonnel M. C., Musicas C. // Solvent Extr. Ion Exch.
1989. Vol. 7, no. 6. P. 1007-1025.
Таким образом, нами изучены гидродинамиче-
[6] Shen C., Bao B., Zhu J., et al. // J. Radioanal. Nucl. Chem.
ские свойства трех перспективных экстракционных
Lett. 1996. Vol. 212, N 3. P. 187-196.
смесей на основе диамидов дикарбоновой кислоты в
[7] Nigond L., Condamines N., Cordier P. Y. et al. // Sep. Sci.
разбавителе FS-13. Показано, что после воздействия
Technol. 1995. Vol. 30. P. 2075-2099.
ионизирующего излучения диамиды, содержащие
[8] Nakamura T., Miyake C. // Solvent Extr. Ion Exch. 1995.
Vol. 13, N 2. P. 253-273.
алкильные заместители в ароматическом кольце, при
[9] Sasaki Y., Choppin G. R. // Radiochim. Acta. 1998. Vol. 80,
содовых промывках образуют эмульсии при достиже-
N 2. P. 85-88.
нии динамической вязкости, близкой к 4.0·10-3 Па·c.
[10] Morita Y., Sasaki Y., Tachimori S. // Proc. Int. Conf.
Максимальное значение динамической вязкости на-
Global’2001. Paris (France), Sept. 9-13, 2001, paper 036.
блюдается для экстракционной смеси с DYР-7, содер-
[11] Борисова Н. Е., Коротков Л. А., Иванов А. В. и др. // Ра-
диохимия. 2016. T. 58, N 6. C. 519-527.
жащей гексильный углеводородный фрагмент. Значе-
[12] Alyapyshev M. Yu., Babain V. A., Tkachenko L. I. et al. //
ния поверхностного натяжения на границах раздела
Solvent Extr. Ion Exch. 2014. Vol. 32, N 2. P. 138-152.
фаз для трех диамидов оказались сопоставимы.
[13] Alyapyshev M. Yu., Babain V. A., Tkachenko L. I. et al. //
Solvent Extr. Ion Exch. 2011. Vol. 29, N 4. P. 619-636.
Наблюдается рост плотности и вязкости изучен-
[14] Sinha P. K., Kumar S., Shekhar K. et al. // J. Radioanal. Nucl.
ных смесей с ростом дозы облучения, что свидетель-
Chem. 2011. Vol. 289. P. 899-901.
ствует об образовании в органическом растворе про-
[15] Procedure to Perform Studies with Actinide-Containing Solu-
дуктов димеризации и рекомбинации фрагментов
tions, Irradiation, and Dosimetry. Moscow: IPCE RAS, 2015.
молекул разбавителя и экстрагента, а также ради-
[16] Дживанова З. В., Белова Е. В., Тхоржницкий Г. П. и др. //
Радиохимия. 2015. T. 57, N 2. C. 124-131.
кальных продуктов разложения. Рост плотности и
[17] Borisova N. E., Ivanov A. V., Matveev P. I. et al. // Chem.
вязкости экстрагента вызывает замедление расслаи-
Select. 2018. Vol. 3. P. 1983-1989.
вания фаз, особенно при регенерации. Скорости рас-
[18] Kadyko M., Skvortsov I., Belova E. // Int. Conf. RAD 2017.
слаивания могут различаться в несколько раз при
Budva (Montenegro), June 2017. P. 157.