Радиохимия, 2019, т. 61, N 5, c. 397-403
397
Использование унифицированной модели с разбавлением ТБФ для
описания экстракции азотной кислоты и нитратов шестивалентных
актинидов в многокомпонентных нитратных системах
© Е. А. Пузиков*а, Б. Я. Зильбермана, Н. Д. Голецкийа, И. В. Блажеваа, А. С. Кудинова
а Радиевый институт им. В. Г. Хлопина, 197021, Санкт-Петербург, 2-й Муринский пр., д. 28;
*e-mail: egor_puzikov@mail.ru
Получена 10.01.2019, после доработки 25.03.2019, принята к публикации 26.03.2019
УДК 546.791.6+546.799.3/4 +542.61
На основе литературных и собственных экспериментальных данных предложена унифицированная
модель для описания экстракции An(VI) (An = U, Np, Pu, Am) из растворов HNO3 в ТБФ различной кон-
центрации. При этом предполагается параллельное протекание нескольких реакций экстракции и несте-
хиометрического физико-химического взаимодействия компонентов. Рассчитанные значения парамет-
ров зависимости концентрационных констант равновесий от общей концентрации ТБФ позволили рас-
ширить диапазон описываемых моделью концентраций экстрагента (от 2.7 до 100%) и снизить погреш-
ность расчета коэффициентов распределения HNO3 и An(VI). Для описания высаливающего действия
нитратных солей использован параметр кажущейся гидратации катионов этих солей в водной фазе.
Ключевые слова: трибутилфосфат, экстракция, уранилнитрат, плутоний, нептуний, америций, вы-
саливатели, моделирование.
DOI: 10.1134/S003383111905006X
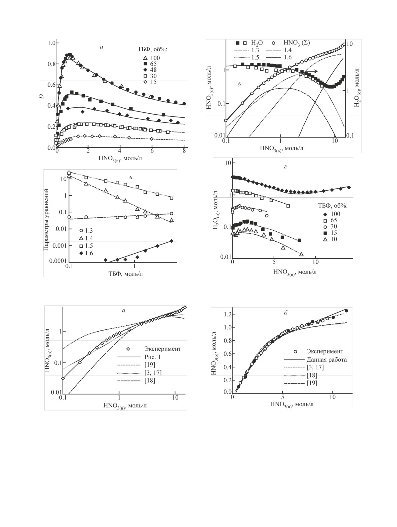
В работе [1] был предложен унифицированный
экстракции моносольвата HNO3 изменено значение
мультиреакционный подход к описанию равновесий
константы равновесия; при этом введена зависи-
с участием ТБФ любой концентрации при экстрак-
мость константы равновесия от общей концентрации
ции РЗЭ из слабокислых нитратных растворов. Це-
ТБФ через параметр a [1]: lgK = lgK100 - alg(CTBP/
лью данной работы является его распространение на
C100), где lgK100 - константа экстракции для 100%-
растворы со свободной HNO3 и шестивалентных
ного ТБФ, lgK - константа экстракции при концен-
актинидов (An) как традиционных участников Пу-
трации ТБФ CTBP.
рекс-процесса. Описанию экстракции трехвалент-
Вместо экстракции HNO3 в виде дисольвата по
ных элементов в таких условиях будет посвящено
реакции H
(aq)
+ NO–(aq) + 2TBP(s) = HNO3·(TBP)2(s)
следующее сообщение.
(индекс aq относится к водной, s - к органической
Ранее с помощью мультиреакционной модели
фазе) было предложено использовать уравнение 1.4
нами была описана экстракция воды, азотной кисло-
(см. таблицу), которое описывает нестехиометриче-
ты и уранилнитрата при концентрации ТБФ 10-65%
скую сольватацию HNO3 гидратированным ТБФ.
[2-4], однако она оказалась непригодной при более
Кроме того, в функции, описывающей диссоциацию
высоких концентрациях ТБФ, включая 100%-ный
HNO3 в воде, содержащейся в органической фазе
ТБФ. Поэтому за основу был взят подход с разбавле-
(см. уравнение 1.5, см. таблицу), были откорректи-
нием 100%-ного ТБФ, как и в работах [1, 5].
рованы показатели степеней и значение параметра
Недостающие экспериментальные данные по экс-
2
FH-H2O. В уравнении реакции присоединения второй
тракции уранилнитрата и других An(VI) взяты из
молекулы HNO3 к моносольвату HNO3 (уравне-
ние 1.6) несколько откорректировано значение кон-
работ [6-12].
станты K2H. Для каждой реакции рассчитан параметр
Экстракция азотной кислоты
а, учитывающий изменение констант при разбавле-
нии ТБФ, а также коэффициент b температурной
Экстракция воды в ТБФ при разбавлении пре-
зависимости константы равновесия lgK(t) = lgK20[1 +
дельными углеводородами была описана ранее в
b(t - 20)/(273 + t)] для реакции 1.6. Константа урав-
работе [2]; параметры уравнений 1.1 и 1.2, приведен-
нения для реакции 1.3 оказалась независящей от
ные в таблице, остались без изменений, но перену-
температуры (коэффициент b равен 0).
мерованы в соответствии с последовательностью
рассмотрения. Описание совместной экстракции
Сопоставление расчетных и экспериментальных
HNO3 и воды (рис. 1, а-г) потребовало уточнения
данных [13, 14] для экстрагента переменного состава
уравнений 1.3-1.6. Все изменения выделены жир-
и для 100%-ного ТБФ представлено на рис. 1, а, г.
ным шрифтом в сводной таблице. В уравнении 1.3
Из них следует, что усовершенствованная модель
398
Е. А. Пузиков и др.
Унифицированные уравнения модели экстракции HNO3 и An(VI) в 100%-ный ТБФа,б
Номер
Константа (параметр)
Параметр a
Температурная поправка b
уравнения
обозначение
HNO3
U
Np
Pu
HNO3
U
Np
Pu
HNO3
U
Np
Pu
1.1
Kd
0.05
β1,H2O
0.0012
2
1.2
β2,H2O
0.11
2
β3,H2O
2
0.2
1.3
KH
0.085
0.2
1.4
K2H
0.035
-1.6
1.5
FH2O-H
2
0.66
-1.0
1.6
K2H
0.0018
1.3
3.0
1.7
Значения параметров см. работу [1]
1.8
2.1
KaqAn(VI)
0.01
2.2
KAn(VI)
6.0
3.8
0.60
-0.52
-0.38
-0.58
-2.8
-0.3
-11.8
2.3
KAn-OH
-
2.4
FH-U(VI)
0.218
2.5
FAn-H2O
2
0.047
1.7
0.2
-1.3
-0.95
-2.5
а Уравнения: 1.1 - димеризация ТБФ в органической фазе, 2TBP = (TBP)2; 1.2 - переход воды в органическую фазу (растворение в
ТБФ) по закону Нернста, DH2O = β1,H2O[TBP] + β2,H2O[(TBP)2] + β3,H2O(β2,H2O[(TBP)2])2; 1.3 - экстракция моносольвата азотной
2
2
2
2
2
кислоты, H(aq) + NO–(aq) + TBP(s) = HNO3·TBP(s);
1.4
- взаимодействие HNO3 с водой в органической фазе, YH2O-TBP =
2
K2H[H+]2.5YH2O[TBP]1.5; 1.5 - диссоциация HNO3 в органической фазе, YH2O-H = FH2O-HYH2O([HNO3·TBP](s))0.7; 1.6 - присоединение
2
2
2
2
второй молекулы HNO3 к моносольвату HNO3 с ТБФ, H3O(aq) + NO–(aq) + HNO3·TBP(s) = (HNO3)2·H2O·TBP(s); 1.7 - пересчет общей
концентрации ТБФ (изменение объема), CTBP/CTBP = (CTBPVTBP + CразбVразб)/(CTBPVTBP + CразбVразб .+ YH2OVH2O + YHVH + ∑YiVi); 1.8 -
2
2
пересчет концентрации воды с учетом гидратации, XH2O = (1/MH2O)(1000ρ - ∑XiMi - XHMH) - ∑niXi (Mi - молярная масса, г/моль;
2
2
Xi - концентрация, моль/л); 2.1 - гидролиз уранилнитрата, UO2+(aq) + H2O(aq) = UO2OH
(aq)
+ H(aq); 2.2 - экстракция дисольвата
уранилнитрата с ТБФ, AnO2+(aq) + 2NO–(aq) + 2TBP(s) = AnO2(NO3)2(TBP)2(s); 2.3 - AnO2OH(aq) + NO–(aq) + TBP(s) + 2H2O(s) =
AnO2OH(NO3)(H2O)2(TBP)(s); 2.4 - соэкстракция HNO3 с уранилнитратом, YH-U(VI) = FH-U(VI)([HNO3·TBP](s)[AnO2(NO3)2(TBP)2](s))0.3;
2.5 - взаимодействие с водой в органической фазе, YAn-H2O = FAn-H2O[AnO2](aq)[NO–](aq)YH2O.
2
2
2
б Выделение жирным шрифтом: пояснение см. в тексте.
более точно описывает экстракцию HNO3 и воды
сутствии различных высаливателей представлено на
чистым ТБФ, а также разбавленным ТБФ вплоть до
рис. 3. Из него следует, что экспериментальные [4] и
его объемной концентрации 10% в парафиновом
расчетные данные совпадают вполне удовлетвори-
разбавителе. При более низких концентрациях ТБФ,
тельно в охваченном диапазоне кислотности (до
не имеющих практического значения, точность мо-
8 моль/л). Для учета действия одно- и двухзарядных
дели заметно ухудшается. По-видимому, здесь сле-
катионов высаливателей взяты те же значения коэф-
дует учитывать вклад экстракции компонентов раз-
фициентов гидратации [1], однако для трехзарядных
бавителем [15] по аналогии с работой [16].
катионов (Al3+, Fe3+) приходится вводить поправку на
зависимость кажущегося коэффициента гидратации
Преимущество представленной выше модели по
от суммарной концентрации протона и катиона выса-
сравнению с предложенными ранее для разбавлен-
ливателя в виде n = (n0 - n1XH + n2X H)/XMe1.3, где для
ного ТБФ [17], в том числе на основе модели А. М.
Al3+ n0 = 7, n1 = 1.8, n2 = 0.13, а для Fe3+ n0 = 8, n1 = 2.7,
Розена [18-20], показано на рис. 2. Следует отме-
n2 = 0.21. Скорее всего, эти поправки связаны с кон-
тить, что модели А. М. Розена для разбавленного и
куренцией с протоном кислоты за координацию во-
неразбавленного ТБФ [18] различаются между со-
ды, а также с возможным гидролизом многозарядных
бой, несмотря на введение коэффициентов активно-
катионов высаливателей, на что было обращено вни-
сти HNO3 в водной фазе, а ее более ранняя версия
мание в работе [23]. Этот вопрос требует отдельного
[22], модифицированная нами для 30%-ного ТБФ
рассмотрения.
[19], оказывается неприменимой для
100%-ного
ТБФ вследствие отсутствия в ней корректного опи-
В литературе практически отсутствуют данные по
сания экстракции воды в зависимости от концентра-
влиянию высаливателей на экстракцию HNO3 более
ции ТБФ.
концентрированными растворами ТБФ. Данные ма-
лодоступной работы (см. справочник [24], c. 38) ука-
Экстракция азотной кислоты
зывают на то, что в присутствии нитрата натрия в
в присутствии высаливателей
сериях с постоянной ионной силой значения парамет-
ра а не изменяются (рис. 4).
Сопоставление экспериментальных и расчетных
данных по экстракции HNO3 30%-ным ТБФ в при-
При более низких концентрациях ТБФ имеются
Использование унифицированной модели с разбавлением ТБФ
399
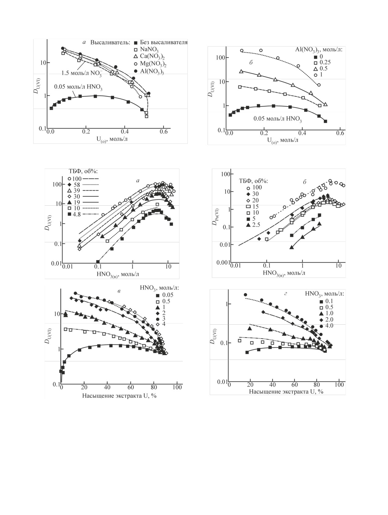
Рис. 1. Экстракция HNO3 (а-в) [12] и воды (г) [13] растворами ТБФ в С13 различной концентрации при 20°С. Точки -
эксперимент, линии - расчет по модели (здесь и далее).
Рис. 2. Сопоставление различных моделей экстракции HNO3 100%-ным (а) и 30%-ным (б) ТБФ.
данные ([4]; [24], c. 43) по влиянию нитрата алюми-
грешность расчета не превышает 3-4%.
ния на экстракцию HNO3 (рис. 5). Они показывают
Экстракция уранилнитрата
удовлетворительное совпадение расчетных и экспе-
из нейтральных растворов
риментальных значений коэффициентов распределе-
ния с погрешностью, не превышающей 8-10% при
Сопоставление экспериментальных и расчетных
концентрации HNO3 менее 1 моль/л. При более вы-
данных по экстракции уранилнитрата из собственных
сокой кислотности и/или концентрации ТБФ по-
растворов трибутилфосфатом при его разбавлении от
400
Е. А. Пузиков и др.
Рис. 5. Экстракция HNO3 в 15%-ный (а) и 10%-ный (б) ТБФ в
присутствии нитрата алюминия. Температура 20°С.
Рис. 3. Экстракция HNO3 в 30%-ный ТБФ в присутствии выса-
ливателей: (а) различные высаливатели при постоянной кон-
центрации нитрат-иона, (б) переменная концентрация высали-
вателей с трехзарядными катионами. Температура 20°С.
Рис. 4. Экстракция HNO3 растворами ТБФ в предельных угле-
водородах различной концентрации в присутствии NaNO3 при
постоянной ионной силе раствора ~3 моль/л ([24], c. 38). Тем-
пература 20°С.
100 до 10% (рис. 6, а) показывает их хорошее совпа-
дение.
Основной вклад в экстракцию уранилнитрата вно-
сит реакция образования дисольвата по уравнению
Рис. 6. Экстракция уранилнитрата из собственных растворов
2.2 в таблице (нумерация уравнений в таблице сохра-
трибутилфосфатом при различной его концентрации. а - зави-
нена в соответствии с работой [3]). При высокой кон-
симость DU от насыщения экстракта, б - зависимость парамет-
центрации ТБФ, а, следовательно, и воды в органиче-
ров уравнений от общей концентрации ТБФ.
Использование унифицированной модели с разбавлением ТБФ
401
Рис. 7. Влияние различных высаливателей при постоянной концентрации нитрат-иона (а) и концентрации нитрата алюминия (б)
на экстракцию уранилнитрата в 30%-ный ТБФ из раствора 0.05 моль/л HNO3.
Рис. 8. Влияние концентрации HNO3 (а, б) и насыщения экстракта ураном (в, г) на экстракцию U(VI) (а, в, г) и Pu(VI) (б) в ТБФ
различной концентрации (а - микроконцентрации уранилнитрата, в - 40%-ный ТБФ, г - 2.7%-ный ТБФ). Температура 20°С.
ской фазе некоторый вклад вносит избирательная
гидролиз катиона уранила (реакция
2.1), однако
сольватация уранилнитрата этой водой (уравне-
вклад UO2OH+ в суммарную экстракцию уранилнит-
ние 2.5), которая снижается с понижением концен-
рата расчетами не выявляется, вследствие чего ранее
трации ТБФ (рис. 6, б). При этом оказывается воз-
предложенное уравнение 2.3 [2] следует исключить.
можным рассчитать параметр а для обеих реакций,
В целом точность расчетов по модели по сравне-
что также отражено в таблице.
нию с работой [2] повысилась благодаря введению
При низкой кислотности возможен частичный параметра а.
402
Е. А. Пузиков и др.
Рис. 9. Влияние HNO3 (а, б) и уранилнитрата (в, г) на экстракцию An(VI) в 30%-ный ТБФ.
Рис. 10. Экстракция уранилнитрата (а) и HNO3 (б) в присутствии 1.5 моль/л NaNO3 в 30%-ный ТБФ. Температура 20°С.
В литературе отсутствуют систематические дан-
Экстракция актинидов(VI) из растворов
ные по экстракции уранилнитрата из нейтральных
азотной кислоты
растворов концентрированными растворами ТБФ.
Данные для 30%-ного ТБФ в условиях подавления
Данные рис. 8 и 9 свидетельствуют о том, что
гидролиза
(0.05 моль/л HNO3) представлены на
предложенные уравнения реакций (см. таблицу) при
рис. 7. Параметры гидратации катионов высаливате-
использовании приведенных значений параметров а
лей приняты такими же, как и для экстракции кисло-
описывают с приемлемой точностью распределение
ты. Здесь также имеет место хорошее совпадение экс-
шестивалентных U, Np и Pu из растворов HNO3 (0.1-
периментальных и расчетных данных по предложен-
10 моль/л) в диапазоне концентраций ТБФ от 2.7 до
ной модели.
100%. При этом влияние концентрации HNO3 на экс-
Использование унифицированной модели с разбавлением ТБФ
403
тракцию макроколичеств уранилнитрата при кон-
[7] Sato T. // J. Inorg. Nucl. Chem. 1958. Vol. 6, N 4. P. 334-
337.
центрациях ТБФ выше 40 об% не могло быть оцене-
[8] Davis W., Mrochek J. // Solvent Extraction Chemistry / Eds
но ввиду отсутствия каких-либо экспериментальных
D. Dyrssen, J.-O. Liljenzin, J. Rydberg. Amsterdam: North-
данных.
Holland, 1967. P. 283-295.
[9] Bernstrom B., Rydberg J. // Acta Chem. Scand. 1957. Vol. 11,
Влияние насыщения органической фазы уранил-
N 7. P. 1173.
нитратом на распределение Np(VI) и Pu(VI) (рис. 9,
[10] Magon L., McKay H. A. C., Wain A. G. // J. Inorg. Nucl.
б-г) описывается без использования дополнитель-
Chem. 1974. Vol. 36, N 12. P. 3849-3851.
[11] Mincher B. J., Martin L. R., Schmitt N. C. // Inorg. Chem.
ных уравнений, что свидетельствует об отсутствии
2008. Vol. 47, N 15. P. 6984-6989.
взаимодействий между сольватами An(VI) и дисоль-
[12] Kamoshida M., Fukasawa T. // J. Nucl. Sci. Technol. 1996.
ватом уранилнитрата.
Vol. 33, N 5. P. 403-408.
[13] Davis W. // Nucl. Sci. Eng. 1962. Vol. 14, N 2. P. 159-168.
Совместная экстракция уранилнитрата и HNO3 в
[14] Davis W., Mrochek J., Hardy С. J. // J. Inorg. Nucl. Chem.
присутствии высаливателей (рис. 10) описывается с
1966. Vol. 28, N 9. P. 2001-2014.
использованием тех же значений параметров гидра-
[15] Федоров Ю. С., Зильберман Б. Я. // Радиохимия. 1986.
T. 18, N 1. C. 33-37.
тации n, что и при их экстракции из собственных
[16] Наумов А. А., Голецкий Н. Д., Зильберман Б. Я., Мур-
растворов (таблица).
зин А. А. // Радиохимия. 2017. T. 59, N 6. C. 525-533.
[17] Puzikov E. A., Zilberman B. Ya., Fedorov Yu. S. et al. // Sol-
vent Extr. Ion Exch. 2015. Vol. 33, N 4. P. 362-384.
Список литературы
[18] Розен А. М., Решетько Ю. В., Зельвенский М. Я. // Атом.
энергия. 1974. T. 37, N 3. C. 187-193.
[1] Пузиков Е. А., Зильберман Б. Я., Голецкий Н. Д., Куди-
[19] Пузиков Е. А., Зильберман Б. Я., Федоров Ю. С. и др. //
нов А. С. // Радиохимия. 2019. T. 61, N 4. C. 324-333.
Радиохимия. 2004. T. 46, N 2. C. 136-143.
[2] Пузиков Е. А., Зильберман Б. Я., Федоров Ю. С. и др. //
[20] Кудинов А. С., Пузиков Е. А., Блажева И. В. и др. // Радио-
Радиохимия. 2013. T. 55, N 3. C. 236-241.
химия. 2017. T. 59, N 2. C. 127-134.
[3] Пузиков Е. А., Зильберман Б. Я., Федоров Ю. С. и др. //
[21] Burns P. E., Hanson C. // J. Appl. Chem. 1964. Vol. 14, N 3.
Радиохимия. 2015. T. 57, N 2. C. 119-123.
P. 117-121.
[4] Пузиков Е. А., Блажева И. В., Зильберман Б. Я. и др. //
[22] Николотова З. И., Картащова Н. А. Экстракция ней-
Радиохимия. 2013. T. 55, N 4. C. 302-308.
тральными органическими соединениями / Под ред. А. М.
[5] Marcus Y. Critical Evaluation of Some Equilibrium Constants
Розена. М.: Атомиздат, 1976. Т. 1.
Involving Organophosphorus Extractants: IUPAC Additional
[23] Зильберман Б. Я., Рябков Д. В., Пузиков Е. А. и др. // Ра-
Publication. Part I: Organophosphorus Extractants. London:
диохимия. 2016. T. 58, N 3. C. 206-210.
Butterworth, 1974. P. 29-40.
[24] Николотова З. И. Экстракция нейтральными органиче-
[6] Землянухин В. И., Савоскина Г. П., Пушленков М. Ф. //
скими соединениями. Актиноиды: Справ. М.: Энерго-
Радиохимия. 1964. T. 6, N 6. C. 714-724.
атомиздат, 1987.