324
Радиохимия, 2019, т. 61, N 4, c. 324-333
Описание экстракции нитратов редкоземельных элементов
из слабокислых растворов концентрированными
растворами трибутилфосфата
© Е. А. Пузиков*а, Б. Я. Зильбермана, Н. Д. Голецкийа, А. С. Кудинова
а Радиевый институт им. В. Г. Хлопина, 194021, Санкт-Петербург, 2-й Муринский пр., д. 28;
* e-mail: egor_puzikov@mail.ru
Получена 27.08.2018, после доработки 25.03.2019, принята к публикации 26.03.2019
УДК 546.65:542.61
На основе литературных данных разработана математическая модель экстракции нитратов РЗЭ (от
La до Lu, а также Y) в широком диапазоне концентраций в слабокислых ([H+] << [РЗЭ]) системах в ТБФ
с учетом его разбавления парафинами, в том числе в присутствии высаливателей. При этом предполага-
ется параллельное протекание нескольких реакций комплексообразования в водной и органической
фазах и нестехиометрического физико-химического взаимодействия компонентов. В модели учитывает-
ся образование трисольвата, тетрасольвата и гидратосольвата РЗЭ, а также соэкстракция цериевых и
иттриевых РЗЭ в виде ионной пары и эффект самовысаливания, обусловленный кажущейся гидратаци-
ей Ln3+ в водной фазе. Модель учитывает влияние нитратов аммония, натрия и алюминия в качестве
высаливателей. Описано также влияние температуры на экстракцию РЗЭ этих системах. Погрешность
расчета коэффициентов распределения ≤10%.
Ключевые слова: трибутилфосфат, экстракция, нитраты РЗЭ, высаливатели, моделирование.
DOI: 10.1134/S0033831119040075
Введение
гидрометаллургической переработки руд в присутст-
вии высаливателей с применением растворов ТБФ
В нашей обобщающей работе [1] была предложе-
высокой концентрации вплоть до 100%-ного ТБФ.
на математическая модель экстракции разбавленным
Для адекватного моделирования в области высо-
трибутилфосфатом (ТБФ) воды, азотной кислоты, а
ких концентраций ТБФ нами был изменен подход в
также нитратов шести- и четырехвалентных актини-
том плане, что за базовое состояние был принят
дов с применением мультиреакционного подхода.
100%-ный ТБФ с его разбавлением по аналогии с
Последний заключается в предположении, что ис-
разбавлением азеотропа HNO3 в работе [3]. Такой
следуемые объекты находятся в различных химиче-
подход тем более логичен, что в перспективе позво-
ских формах в водной и органической фазах, равно-
лит описывать влияние на экстракцию различных по
весие между которыми определяет суммарный коэф-
природе разбавителей как разбавление одного и того
фициент распределения. При этом равновесные кон-
же вещества (ТБФ) в виде расходящихся лучей [4]
центрации компонентов рассчитывают путем совме-
от точки, соответствующей чистому веществу. Это
стного решения уравнений материального баланса с
позволит в перспективе описывать на единой основе
использованием закона действующих масс в концен-
влияние различных разбавителей на экстракцию эле-
трационном виде. В работе [2] была предложена
ментов разбавленным ТБФ, что ранее было сделано
двухуровневая система нумерации уравнений типо-
лишь в рамках модели «прямого счета» А. М. Розена
вых химических реакций, используемых в модели.
[5], созданную в свое время в условиях ограничен-
Модель была ориентирована на описание экстрак-
ных вычислительных ресурсов. Их возросшие воз-
ции компонентов из азотнокислых растворов отра-
можности позволили нам предложить модель экс-
ботавшего ядерного топлива (ОЯТ) с помощью раз-
тракции компонентов ОЯТ и азотной кислоты, бази-
бавленного ТБФ (преимущественно 30%-ного ТБФ в
рующуюся на представлении о множестве парал-
парафиновом разбавителе) и позволяла использовать
лельно протекающих реакций [1], но применительно
ее для сравнительно близких концентраций ТБФ
к разбавленному ТБФ.
(15-40% ТБФ), но не была ориентирована на более
В данной работе описываются эффекты высали-
высокие концентрации экстрагента.
вания и самовысаливания при экстракции РЗЭ из
Упомянутая модель не охватывала экстракцию
слабокислых водных растворов в 100%-ный ТБФ и
трехвалентных актинидов и продуктов деления, по-
при его разбавлении. В дальнейшем предполагается
скольку их экстрагируемость в 30%-ный ТБФ срав-
использовать такой унифицированный мультиреак-
нительно невелика, а основной массив данных по их
ционный подход для описания подобных равнове-
межфазному распределению относится к областям
сий в других системах.
Описание экстракции нитратов редкоземельных элементов
325
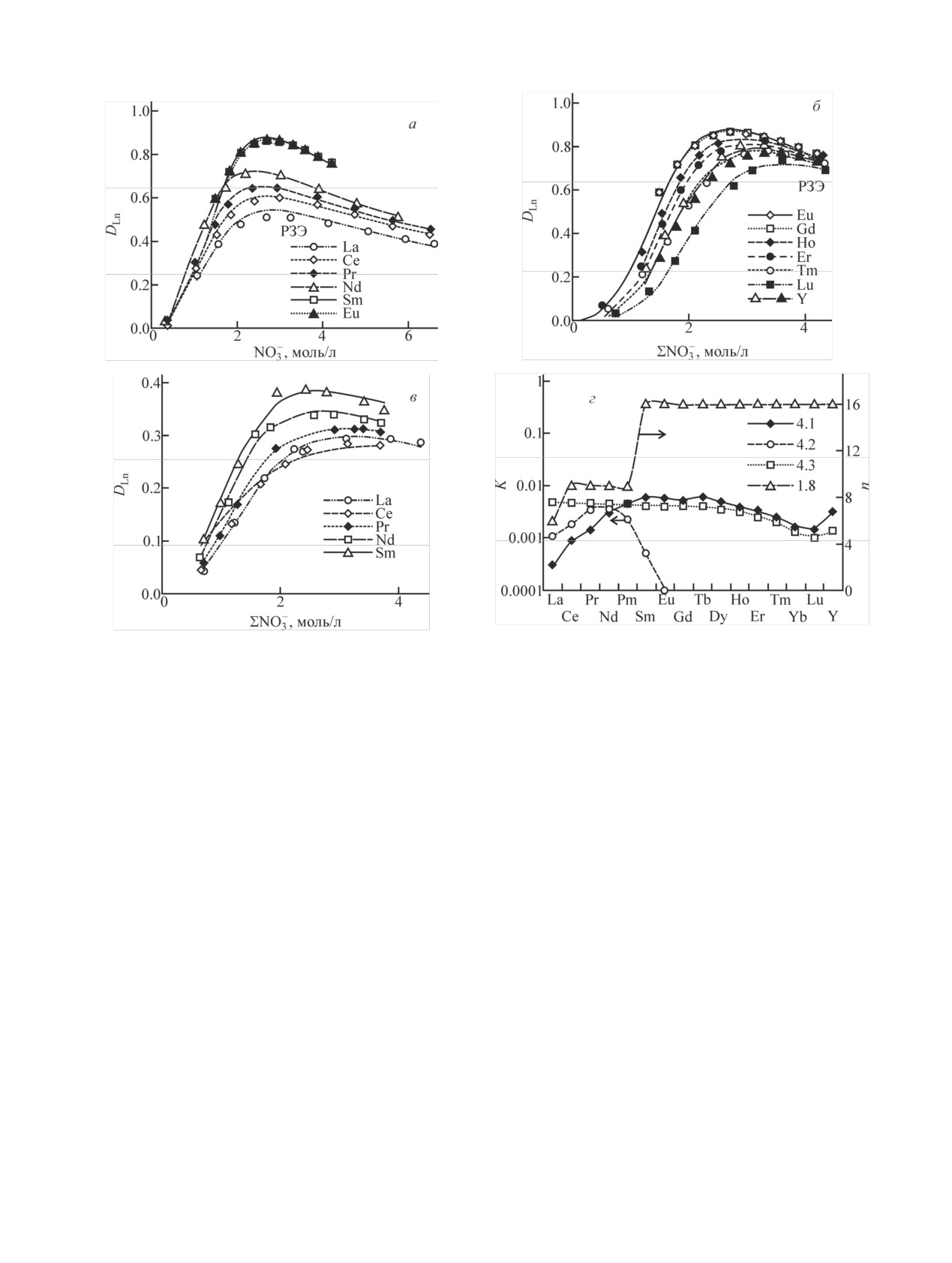
Рис. 1. Изотермы экстракции нитратов цериевых (а, в) и иттриевых (б) РЗЭ в 100%-ный ТБФ (а, б) и в 50%-ный ТБФ с С13 (в), а
также значения параметров уравнений в табл. 1 для каждого элемента (г). Здесь и далее: линии - расчет, точки - эксперименталь-
ные (литературные) данные.
Литературные базы данных приводятся по ходу
ем их нитратов был приближенно принят равным
изложения материала. Учитывая возможный гидро-
60 мл/моль.
лиз катионов РЗЭ в нейтральных растворах, обраба-
Экстракция нитратов индивидуальных РЗЭ
тывали данные в области pH не выше 2, где по лите-
из их слабокислых растворов
ратурным данным гидролиз катионов пренебрежимо
мал.
Основой для разработки модели послужили лите-
ратурные данные [6-8]. На рис. 1 приведены изотер-
Разработка унифицированной модели
мы экстракции нитратов индивидуальных РЗЭ из их
Проведенные оптимизационные расчеты показа-
водных растворов, подкисленных до pH 2, для кото-
ли, что существенной переработки ранее предло-
рых имеется достаточно данных по экстракции рас-
женной модели и метода расчета констант уравне-
творами 50 и 100 об% ТБФ. Для наглядности и со-
ний экстракционного равновесия [1] не потребова-
поставимости изотермы экстракции представлены
лось. Однако оказалось необходимым учесть отно-
как функции от концентрации нитрат-иона в водном
сительное изменение общей концентрации ТБФ
растворе, которая в данном случае представляет со-
(CTBP/СTBP) при экстракции, рассчитывая его с ис-
бой утроенную концентрацию РЗЭ. Литературные
пользованием мольных объемов компонентов орга-
экспериментальные данные нанесены на рисунок
нической фазы по уравнению 1.7 из работы [1]
точками, а линиями - результаты расчетов по разра-
CTBP/CTBP = (CTBPVTBP + CразбVразб)/(CTBPVTBP + CразбVразб +
ботанной модели. При промежуточных и более низ-
ких концентрациях ТБФ достоверные данные отсут-
+ YH2OVH2O + YHVH + YLnVLn),
2
2
ствуют. Наибольший объем информации относится к
где Y - концентрация компонента в органической
европию, который занимает среднее положение в
фазе; V - мольные объемы, мл/моль: ТБФ - 274,
ряду РЗЭ. К сожалению, такие данные, как правило,
парафиновый разбавитель C13 - 228, H2O - 18,
не охватывают область высококонцентрированных
HNO3 - 42. В случае экстракции РЗЭ мольный объ-
растворов [>1.5 моль/л Ln(NO3)3].
326
Е. А. Пузиков и др.
Таблица 1. Систематизированные уравнения математической модели экстракции трехвалентных РЗЭ в ТБФ и при
его разбавлении парафинами. Параметр а отражает влияние общей концентрации ТБФ, параметр b - влияние темпе-
ратуры на константы равновесий
Значение для РЗЭ
Уравнениеа
Параметр
a
La
Ce
Pr
Nd
Pm
Sm
Eu
Gd
Tb
Dy
Ho
Er
Tm
Yb
Lu
Y
1.7
VLn
~60 мл/моль
1.8
nLn, 1.8
6
9
9
9
9
12
16
16
16
16
16
16
16
16
16
16
K4.1·103
0.20
0.88
1.5
3.1
4.45
6.0
5.7
5.7
5.7
5.05
4.0
3.2
2.7
1.6
1.0
2.9
-0.48
4.1
b
4.1
1.7
2
1.7
1.7
-
1.7
1.7
1.6
1.5
1.5
1.4
1.3
1.3
1.3
1.2
2.2
K4.2·103
1.1
2.0
3.5
3.6
2.0
0.5
0.1
-0.57
4.2
b
4.2
2.2
3.5
3.6
3.2
K4.3·103
5.0
4.9
4.7
4.6
4.5
4.2
4.0
4.0
4.0
3.6
3.3
2.5
2.1
1.3
1.0
1.4
-3.3
4.3
b
4.3
3.2
3
2.3
1.8
-
1.2
1.1
1.0
0.8
0.7
0.5
0.6
0.5
0.5
0.4
1.9
4.4
K4.4·104
-
0.8
1.0
1.2
-
5.3
4.0
3.7
Нет данных
2
а Уравнения: 1.7 - CTBP/CTBP = (CTBPVTBP + CразбVразб.)/(CTBPVTBP + CразбVразб + YH2OVH2O + YHVH + YLnVLn), 1.8 - XH
2
O = (1/MH
2
O)(1000ρ -
2
2
2
2
∑XiMi - XHMH) - ∑niXi (Mi - молярная масса, г/моль; Xi - концентрация, моль/л), 4.1 - Me3(aq) + 3NO–(aq) + 3TBP(s) = Me(NO3)3(TBP)3(s),
4.2 - Me3(aq) + 3NO–(aq) + 4TBP(s) = Me(NO3)3 (TBP)4(s), 4.3 - Me3(aq) + 3NO–(aq) + mH2O·TBP(s) = Me(NO3)3(H2O·TBP)m(s), 4.4 - Ln3∑(aq) +
Ln3i(aq) + 6NO–(aq) + 3TBP(s) + 1.5H2O = [Ln∑(NO3)2(TBP)3(H2O)1.5][Lni(NO3)4](s). Индекс (s) указывает на органическую фазу.
При описании экстракции индивидуальных РЗЭ
концентрации ТБФ CTBP, а параметр a отражает угол
наклона зависимости логарифма константы от лога-
приходится принимать во внимание не только клас-
рифма относительной концентрации ТБФ (рис. 3),
сическое взаимодействие с образованием трисоль-
вата нитрата РЗЭ, описываемое уравнением
4.1
причем значения а совпадали для всех РЗЭ, для ко-
(табл. 1), но и образование тетрасольвата (уравне-
торых имелись соответствующие данные. Это дела-
ние 4.2), роль которого снижается по мере роста
ет модель потенциально пригодной для описания
атомного номера РЗЭ. Возможно, в этом взаимодей-
влияния различных разбавителей через параметр а в
ствии участвует вода. Вклад реакции 4.3 с участием
привязке к константе каждого базового уравнения
воды как растворителя заметен только при низкой
концентрации металла и не превышает 10%. По-
следнее обусловлено низкими коэффициентами рас-
пределения РЗЭ, выходящими за пределы области
достоверных значений. Существенную роль играет
также связывание воды ионами РЗЭ в водной фазе,
ранее введенное нами для высаливателей (урав-
нение 1.8); при этом эффективное число молекул
воды (n), координируемое ионом металла, сущест-
венно выше, чем в кристаллогидрате. Значения
плотности водной фазы (ρ) рассчитывали также с
учетом мольных объемов растворенных компонен-
тов [9]. Значения констант равновесий и параметров
нестехиометрических взаимодействий представле-
ны в сводной табл. 1 и на рис. 1, г, а примеры изме-
нения их вклада для нитратов Ce и Eu с ростом кон-
центрации элементов - на рис. 2. На нем видно, что
для Ce(NO3)3 характерна форма тетрасольвата, а
трисольват и гидратосольват существуют по краям
области насыщения, тогда как для Eu(NO3)3 во всем
диапазоне преобладает трисольват.
При разбавлении ТБФ за точку отсчета принима-
ются значения констант или параметров равновесия
для 100%-ного ТБФ, а экстракцию при его более
низких молярных концентрациях рассчитывали че-
рез его разбавление по уравнению lgK = lgK100 -
alg(CTBP/C100), где lgK100 - константа экстракции
Рис. 2. Вклад различных реакций при экстракции нитратов
для 100%-ного ТБФ (C100 = 3.65 моль/л - концентра-
Ce (а) и Eu (б) в 100%-ный ТБФ из их водных растворов раз-
ция чистого ТБФ), lgK - константа экстракции при
личной концентрации.
Описание экстракции нитратов редкоземельных элементов
327
Таблица 2. Составы концентратов РЗЭ
Номер
Высали-
Доля элемента в концентрате, мас%
Ссылка
концентрата
ватель
La
Ce
Pr
Nd
Sm
Eu
Gd
Tb
Dy
Ho
Er
Tm
Yb
Lu
Y
См. рис. 9, 10 в [11]
-
20
40
8.8
30
0.85
-
0.35
[11]
См. рис. 11 в [11]
-
26
52.7
3
15
1.7
-
1.0
-
0.4
-
0.2
1
-
10
1
14.4
2.6
18.6
6
31
16.4
2
-
17
1.8
21.8
4.6
31.7
7.6
15.4
0.1
[12, 13]
3
-
6.66
2.43
9.35
1.82
11.6
2.17
6.32
0.24
0.45
0.35
58.6
5
-
10.8
0.72
5.43
0.63
82.5
[18]
-
NH4NO3
28
52
5
13
1
0.5
0.3
0.2
равновесия. По смыслу он подобен коэффициенту
активности сольвата металла [10], если принять чис-
тый экстрагент за своего рода стандартное состоя-
ние, несмотря на его пребывание в виде жидкости, с
тем отличием, что эффект смешения сухих экстра-
гента и разбавителя не принимается во внимание,
что значительно упрощает расчеты.
Экстракция нитратов РЗЭ из их концентратов
Более сложным случаем является экстракция
РЗЭ при их совместном присутствии в виде концен-
тратов, составы которых приведены в табл. 2. Име-
ется три группы таких данных [11-13], первая из
которых касается в основном цериевых земель, а
вторые две - иттриевых. Обработка этих данных
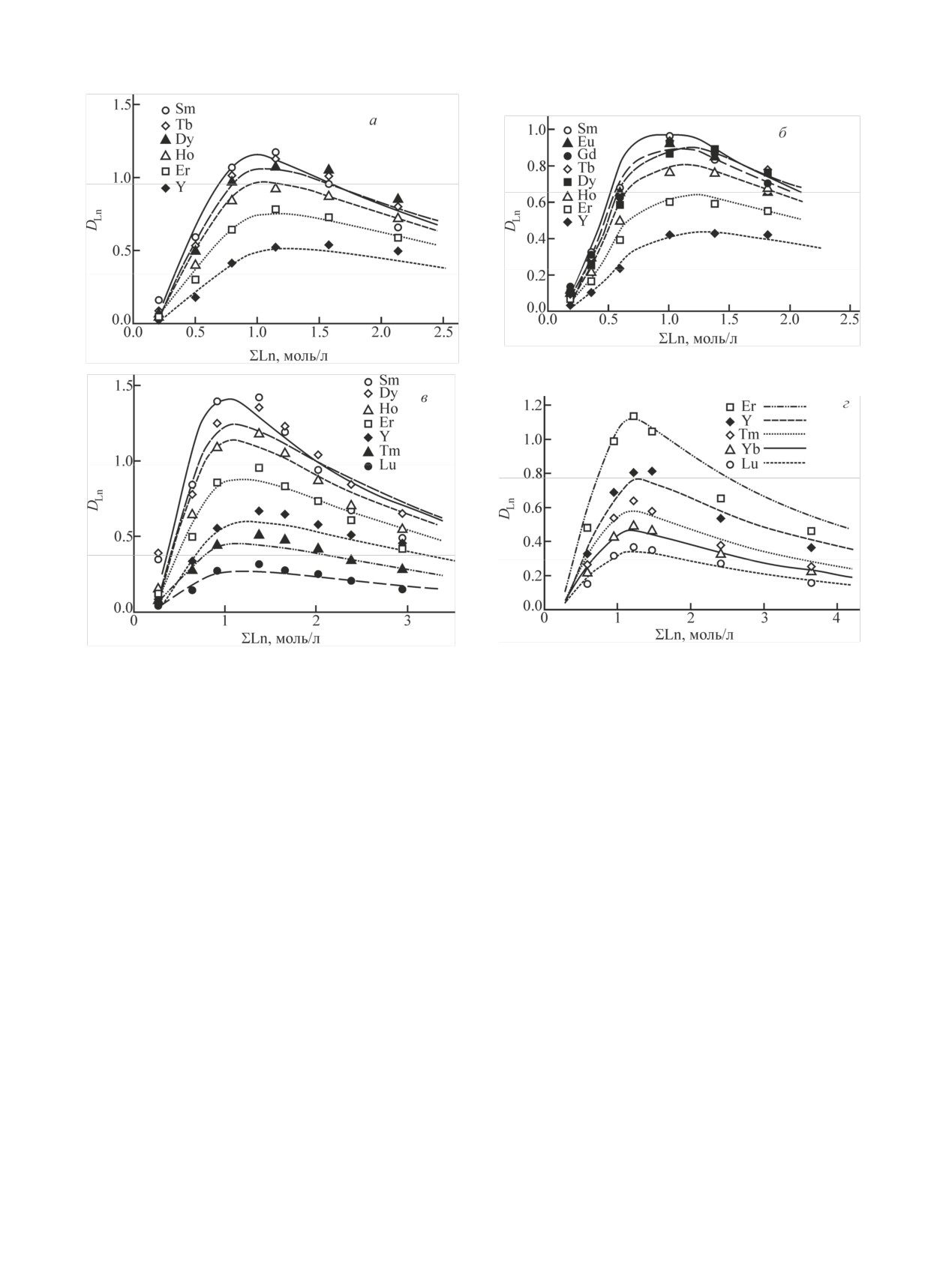
приведена на рис. 4 и 5. Совместное распределение
РЗЭ хорошо описывается приведенными выше
уравнениями и их константами для индивидуаль-
ных РЗЭ при их сопоставимых концентрациях. Од-
нако, когда элементы на стыке цериевой и иттрие-
вой подгрупп оказываются в роли микрокомпонен-
тов [11], а в концентрате лантан и церий составляют
более 50% (табл. 2), извлечение микрокомпонентов
в области концентраций, соответствующей макси-
мальным значениям коэффициента распределения,
оказывается заметно выше прогноза (рис. 4, в), что
указывает, по-видимому, на соэкстракцию РЗЭ се-
редины ряда и иттриевых РЗЭ (Ln(i)) с трисольватом
цериевых РЗЭ (Ln(Σ)) в виде ионной пары с включе-
нием воды (табл. 1, уравнение 4.4). Этот эффект
Рис. 4. Зависимость коэффициентов распределения РЗЭ церие-
вой подгруппы от их суммарной концентрации в водной фазе
Рис. 3. Зависимость констант уравнений экстракции Eu от
при их экстракции в 100%-ный (а, в) и 70%-ный (б) ТБФ [11] при
концентрации ТБФ.
учете соэкстракции лантанидов (а, б) и без ее учета (в).
328
Е. А. Пузиков и др.
Рис. 5. Зависимость коэффициентов распределения РЗЭ иттриевой подгруппы от их суммарной концентрации в водной фазе [11,
12]. Номер концентрата: а - 1, б - 2, в - 3, г - 4.
требует уточнения с проведением тщательных до-
тов распределения РЗЭ в присутствии высаливате-
полнительных исследований с парами индивидуаль-
лей начинается с 0.002 моль/л Ln, тогда как при бо-
ных веществ для определения констант взаимодей-
лее низких концентрациях при указании микрокон-
ствий каждой пары. Для упрощения модели в дан-
центраций результат становится неопределенным.
ной работе рассчитаны значения K4.4 для соэкстрак-
Совместное действие неэкстрагируемого нитрата
ции индивидуальных РЗЭ с суммой остальных бо-
высаливателя при наличии самовысаливания макро-
лее легких РЗЭ из водного раствора.
количеств РЗЭ выборочно отражено на рис. 7, а-г
[15-17]. В этих расчетах следует ориентироваться
Экстракция РЗЭ из растворов высаливателей
на суммарную концентрацию нитрат-иона в водной
Влияние высаливателей на экстракцию РЗЭ в
фазе и на способность высаливателей связывать в
ТБФ в чистом виде можно изучать только в области
ней воду, повышая тем самым кажущуюся концен-
их микроконцентраций, не вызывающих самовыса-
трацию экстрагируемого элемента (уравнение 4.6,
ливания. Граница этой области, по данным работы
табл. 1 и 3). Наибольшее влияние оказывает трехза-
[14], при экстракции нитратов лантана, гадолиния и
рядный нитрат алюминия, который связывает более
гольмия в 20-, 40- и 60%-ный ТБФ из раствора
6 молекул воды на 1 моль соли, тогда как одноза-
4 моль/л LiNO3 приходится на диапазон их концен-
рядные катионы связывают по 1 молекуле воды.
траций 0.005-0.05 моль/л (рис. 6) в соответствии с
Эти выводы не могут быть подтверждены для дру-
общей тенденцией изменения коэффициента рас-
гих концентраций ТБФ, поскольку такие данные
пределения, который проходит через максимум при
практически отсутствуют.
0.0005-0.001 моль/л РЗЭ. Такой характер зависимо-
Особое внимание следует уделить экстракции
сти может быть связан с образованием плохо экст-
РЗЭ при высаливании их нитратом лития, посколь-
рагируемых полиядерных гидроксокомплексов с
ку в этом случае, по-видимому, имеет место кажу-
повышением концентрации РЗЭ. Пока надо принять
щаяся сверхстехиометрическая экстракция РЗЭ
во внимание, что область достоверных коэффициен-
(соотношение ТБФ : Ln в органической фазе оказы-
Описание экстракции нитратов редкоземельных элементов
329
Рис. 6. Влияние малых концентраций La (а), Gd (б) и Ho (в) в водной фазе на их экстракцию в 20-, 40- и 60%-ный ТБФ [14] из
4 моль/л LiNO3. Цифрами обозначена концентрация ТБФ в органической фазе, моль/л.
Σ
Рис. 7. Зависимости коэффициентов распределения макроконцентраций Eu (а, г), Tm (б) и Nd (в) от суммарной концентрация
нитрат-иона при их экстракции 100%-ным ТБФ в присутствии нитратов аммония (а, б), натрия (в) и алюминия (г).
вается меньше 3, табл. 4). Указанный эффект усили-
(TBP)], аналогичной известной комплексной кисло-
вается с уменьшением радиуса иона РЗЭ и со сни-
те Hx[Ln(NO3)3+x(TBP)n] [18, 19]. При этом авторы
жением общей концентрации ТБФ. Так, при экс-
работы [11] предполагали, что n = 3, как и в ней-
тракции иттрия в 20%-ный ТБФ из 5.4 моль/л LiNO3
тральном сольвате. На наш взгляд, n = 1, а значение
с полным насыщением экстракта иттрием отноше-
x зависит от концентрации катиона высаливателя, в
ние ТБФ : Y ≈ 1. Вероятно, такая картина может
частности H+ или Li+. При этом со снижением кон-
быть обусловлена преобладанием в экстракте ком-
центрации ТБФ достаточно круто падает концен-
плексной соли РЗЭ с литием [11] типа Li[Y(NO3)4·
трация экстрагированной воды, что резко снижает
330
Е. А. Пузиков и др.
Таблица 3. Параметры гидратации и экстракции выса-
ливателей на 1 моль/л нитрат-иона в уравнениях 1.8
Вариант уравнения
Высаливатель
nMe,1.8
1.81
LiNO3
2.1
1.82
NH4NO3
0.8
1.83
NaNO3
1.0
1.84
Mg(NO3)2
-
1.85
Ca(NO3)2
1.5
1.86
Al(NO3)3
2.0
1.87
Fe(NO3)3
2.1
коэффициент распределения нитрата лития, кото-
Рис. 8. Экстракция высаливателей в 100%-ный ТБФ в отсутст-
рый, вероятно, экстрагируется в виде гидратосоль-
вие РЗЭ.
ватов [20, 21] (рис. 8).
В свою очередь, снижение экстрагируемости
нитрата лития при разбавлении ТБФ способствует
переходу упомянутой выше комплексной соли РЗЭ
и лития в экстракт из концентрированного раствора
высаливателя в водной фазе, где имеет место силь-
ное нитратное комплексообразование [18, 22].
«Сверхстехиометрическая» экстракция значи-
тельно слабее в случае цериевых РЗЭ, где она про-
является только в сильноразбавленном ТБФ, тогда
как в чистом ТБФ и при относительно небольшом
его разбавлении DCe заметно ниже расчетного для
аналогичной системы с нитратом алюминия, харак-
теризуемой примерной равным кажущимся коэффи-
циентом гидратации. Известно, что нитратное ком-
плексообразование у цериевых РЗЭ является более
Рис. 9. Зависимости коэффициентов распределения РЗЭ це-
слабым в сравнении с иттриевыми РЗЭ, и поэтому
риевой и переходной подгрупп в 100%-ный ТБФ от их сум-
марной концентрации в равновесной водной фазе в присутст-
сдвиг в сторону экстракции комплексного аниона
вии снижающегося количества нитрата аммония [23].
является для них менее выраженным [19]. К сожале-
нию, количественно эти эффекты не могут быть
описаны моделью в настоящее время ввиду ограни-
трата в 100%-ный ТБФ (табл. 2). Высаливателем
ченности экспериментальных данных.
являлся нитрат аммония, причем его концентрация
понижалась с ростом суммарной молярной концен-
Экстракция нитратов РЗЭ из их концентратов
трации РЗЭ. Результат обработки этих данных с ис-
в присутствии высаливателей
пользованием вышеуказанных уравнений вполне
В работе [23] приводится математическое описа-
удовлетворителен, что отражено на рис. 9. Данные
ние экспериментальных данных, полученных одним
для более сильных высаливателей [11] носят отры-
из авторов в дипломной работе, которая посвящена
вочный характер и не могут быть однозначно ин-
экстракции цериевых РЗЭ из соликамского концен-
терпретированы.
Таблица 4. Сопоставление расчетных и экспериментальных данных при экстракции нитратов Y и Ce(III) (M) в ТБФ
(разбавитель - бензол) на фоне 5.4 моль/л LiNO3
CTBP
Эксперимент
Расчет
Максимальная
TBP/M(о)
M
общая,
CM в фазе, моль/л
СM(o),
концентрация
экспери-
D
D
расчет
моль/л
(в)
(о)
моль/л
[M(NO3)3(TBP)3]
мент
3.65
1.19
1.31
1.10
1.17
0.98
1.17
2.68
3.01
2.56
1.19
0.85
0.92
0.81
0.68
0.82
2.89
3.03
Y
1.83
1.17
0.87
0.74
0.57
0.49
0.58
2.02
3.07
0.73
1.22
0.65
0.54
0.22
0.18
0.23
1.07
3.15
3.65
0.88
0.72
0.81
1.05
1.19
1.17
4.90
3.34
2.56
0.88
0.56
0.64
0.72
0.82
0.82
4.37
3.40
Ce
1.83
0.88
0.48
0.55
0.51
0.58
0.58
3.65
3.47
0.91
0.87
0.35
0.40
0.24
0.28
0.29
2.51
3.66
Описание экстракции нитратов редкоземельных элементов
331
Рис. 11. Изотермы экстракции нитрата неодима при различной
температуре (а) [17] и влияние температуры на константы рав-
новесий реакций 4.1-4.3 (б) при экстракции в 100%-ный ТБФ в
присутствии нитратов натрия или алюминия. На а через запя-
тую указаны концентрация NaNO3 (моль/л) и температура (°С).
молярная концентрация ТБФ, однако емкость экст-
рагента по лантану остается неизменной вследствие
снижения роли экстракции в форме тетрасольвата
(уравнение 4.2) при возрастании роли трисольвата
(уравнение 4.1) (рис. 10, б).
В присутствии высаливателей (нитраты натрия и
Рис. 10. Изотермы экстракции нитрата лантана при различной
алюминия) [16, 17] характер температурных зависи-
температуре (а) [24], влияние температуры на константы рав-
новесий реакций 4.1-4.3 (б) при экстракции в 100%-ный ТБФ,
мостей при экстракции цериевых РЗЭ не изменяется
а также расчетное распределение экстрагированных форм от
(рис. 11).
насыщения экстракта (в) при 80°С.
Для иттриевых РЗЭ прямые экспериментальные
данные приведены для гольмия (рис. 12). Однако
Влияние температуры на экстракцию РЗЭ
для остальных они могут быть восстановлены с ис-
из слабокислых растворов
пользованием так называемых термодинамических
Из данных, приведенных на рис. 10 [24], следует,
констант образования трисольвата РЗЭ при разных
что экстрагируемость лантана в ТБФ заметно падает
температурах, приведенных в работах [16, 17].
с ростом температуры, причем эффект снижается с
Обработка всех данных показывает (рис. 13), что
ростом концентрации элемента (рис. 10, а). Темпе-
значения коэффициента b для констант уравнения
ратурные зависимости логарифмов констант урав-
4.1 линейно снижаются от значения 1.9 до 1.3. Урав-
нений 4.1-4.3 (рис. 10, б) удовлетворительно описы-
нение 4.2, как указывалось выше, вырождается для
ваются уравнением [2]
иттриевых РЗЭ. Для цериевых РЗЭ значения коэф-
фициентов b для уравнения 4.2 лежат в интервале
lg K(t) = lg K20[1 + b(t - 20)/(273 + t)].
2.2-3.5, проходя через максимум. Для констант
При этом с ростом температуры медленно снижа-
уравнения 4.3 это значение нелинейно падает с
ется плотность органической фазы и соответственно атомным номером РЗЭ в интервале 3.2-0.5 (рис. 13).
332
Е. А. Пузиков и др.
протекании большого числа равновесных взаимо-
действий одного компонента в водной и органиче-
ской фазах, причем эти взаимодействия связаны
уравнениями материального баланса по каждому
компоненту системы. В данной работе это описание
ограничено слабокислыми растворами нитратов
чистых РЗЭ и их смесей, а также присутствием
нейтральных нитратных солей в качестве высалива-
телей.
Показано, что экстракция макроконцентраций
РЗЭ (выше 0.005 моль/л) в слабокислой среде при
любой концентрации ТБФ описывается системой из
трех уравнений параллельно протекающих экстрак-
ционных взаимодействий с образованием трисольва-
та, тетрасольвата и гидратосольвата (уравнения 4.1,
4.2 и 4.3 соответственно) при учете кажущейся гид-
ратации РЗЭ и высаливателей в водной фазе с помо-
щью параметра уравнения 1.8. Уравнения примени-
мы в присутствии различных высаливателей (в част-
ности, нитратов аммония, натрия, кальция и алюми-
ния), за исключением нитрата лития, где возможно
образование солевых форм ацидокомплексов
(ионных пар) в обеих фазах. Преобладающим взаи-
Рис. 12. Изотермы экстракции нитрата гольмия при различной
модействием, характерным для всех РЗЭ, является
температуре (а) [16], а также влияние температуры на констан-
образование трисольвата и гидратосольвата, тогда
ты равновесий уравнений 4.1 и 4.3 (б) при экстракции в 100%-
ный ТБФ в присутствии нитрата алюминия. На а через запятую
как образование тетрасольвата заметно проявляется
указаны концентрация Al(NO3)3 (моль/л) и температура (°С).
лишь у первых РЗЭ цериевой подгруппы.
Одновременно с ростом номера элемента возрас-
тает склонность к экстракции в виде анионного ком-
плекса, что проявляется в случае соэкстракции ит-
триевых РЗЭ с превосходящим количеством церие-
вых РЗЭ (уравнение 4.4) и соэкстракции РЗЭ в раз-
личной мере с нитратом лития. Этот эффект подле-
жит прямой экспериментальной проверке с отдель-
ными парами РЗЭ. Вместе с тем, эффект экстракции
РЗЭ в виде анионного комплекса не доходит до их
димеризации в экстракте или соэкстракции с други-
ми нейтральными высаливателями.
Разбавление ТБФ парафинами (в принципе, лю-
бым разбавителем) описывается показателем а зави-
Рис. 13. Изменение температурного коэффициента b для урав-
симости логарифма константы реакции от логариф-
нений 4.1-4.3 по ряду РЗЭ.
ма относительной концентрации ТБФ.
Температурная зависимость констант равновесия
Для реакции 4.4 (соэкстракция иттриевых и церие-
описывается обычным уравнением для каждой реак-
вых РЗЭ) отсутствует база данных при различных
ции и каждого элемента с помощью параметра b,
температурах. Итоговые результаты отражены в
значение которого для базовой реакции 4.1 (образо-
сводной табл. 1.
вание трисольвата РЗЭ) медленно снижается по ряду
РЗЭ. Для уравнения 4.2 кривая ограничивается фак-
Заключение
тически четырьмя элементами (La-Nd) и характери-
На примере РЗЭ предложена и применена к ши-
зуется наличием максимума (как и для самой кон-
рокому массиву экспериментальных данных унифи-
станты), но далее вырождается сама реакция 4.2.
цированная математическая модель экстракции в
Применительно к уравнению 4.3 соответствующая
ТБФ и растворы, полученные его разбавлением. Мо-
кривая имеет монотонно падающий характер, обу-
дель базируется на представлениях о параллельном
словленный, по-видимому, относительным ростом
Описание экстракции нитратов редкоземельных элементов
333
роли экстракции РЗЭ в виде гидратосольвата с повы-
[5] Кудинов А. С., Пузиков Е. А., Блажева И. В. и др. // Радио-
химия. 2017. T. 59, N 2. C. 127-134.
шением температуры.
[6] Пяртман А. К., Копырин А. А. // Радиохимия. 1997. T. 39,
Зависимости коэффициентов распределения всех
N 2. C. 149-154.
РЗЭ от концентрации нитрат-иона (рис. 1) имеют
[7] Кудрова А. В. Фазовые равновесия в системах нитраты
редкоземельных металлов(III)-вода-три-н-бутилфосфат-
максимум при 2-3 моль/л NO–, однако взаимное рас-
разбавители (экстрагенты) различных классов: Дис
положение и вид этих зависимостей для последова-
к.х.н. СПб.: СПбГТИ(ТУ), 2004. 211 с.
тельного ряда РЗЭ заметно отличаются от привыч-
[8] Bednarczyk L., Siekierski S. // Solvent Extr. Ion Exch. 1989.
ного вида таковых при экстракции микроконцентра-
Vol. 7, N 2. P. 273-287.
[9] Dash D., Kumar Sh., Mallika C., Mudali U. K. // J. Solution
ций РЗЭ из растворов HNO3. Последние имеют мак-
Chem. 2015. Vol. 44, N 9. P. 1812-1832.
симум и минимум для РЗЭ цериевой группы, тогда
[10] Пушленков М. Ф., Шувалов О. Н. // Радиохимия. 1963.
как для РЗЭ иттриевой группы экстремумы сглажи-
T. 5, N 5. C. 536-543.
ваются и зависимость превращается в монотонно
[11] Корпусов Г. В., Ескевич И. В., Патрушева Е. Н. и др. //
возрастающую. При этом кривые для почти всех
Экстракция. Теория. Применение. Аппаратура / Под ред.
А. П. Зефирова. М., 1962. Вып. II. С. 117-140.
цериевых РЗЭ (начиная с празеодима) и для все ит-
[12] Пяртман А. К., Копырин А. А., Кескинов В. А., Солоду-
триевых РЗЭ пересекаются примерно в той же об-
хин С. С. // Радиохимия. 1992. T. 34, N 6. C. 39-47.
ласти 2-3 моль/л NO–.
[13] Пяртман А. К., Копырин А. А., Кескинов В. А., Солоду-
хин С. С. // Радиохимия. 1992. T. 34, N 6. C. 48-55.
Суммарная погрешность расчета коэффициентов
[14] Прояев В. В., Копырин А. А., Бурцев И. В. и др. // Радиохи-
распределения ≤10%.
мия. 1987. T. 29, N 6. C. 763-767.
[15] Пяртман А. К., Копырин А. А., Солодухин С. С. и др. Деп.
Описание экстракции микроконцентраций РЗЭ и
ВИНИТИ N 1116-В91. 1990. 46 с.
ряда трансурановых элементов, заметно экстраги-
[16] Пяртман А. К., Копырин А. А., Шувалов А. Н. Математи-
руемых трибутилфосфатом, в том числе в присутст-
ческое и термодинамическое описание фазовых равнове-
вии HNO3
и ее смешанных растворов с солевыми
сий в экстракционных системах, содержащих нитраты
высаливателями, будет дано в следующем сообще-
редкоземельных металлов(III) и иттрия(III), нитрат алю-
миния(III) и три-н.-бутилфосфат: Учеб. пособие. СПб.:
нии.
СПбГТИ, 2001. 36 с.
В дальнейшем планируется опробовать данный
[17] Пяртман А. К., Копырин А. А., Кескинов В. А., Шувалов А. Н.
подход к моделированию для описания экстракции
Деп. ВИНИТИ N 3611-В98. 1998. 36 с.
[18] Шека З. А., Крисс Е. Е., Сенявская Э. И. // Редкоземель-
других компонентов растворов отработавшего ядер-
ные элементы / Под ред. Д. И. Рябчикова. М.: Наука,
ного топлива и ряда других редких металлов, а так-
1963. С. 240-245.
же ряда веществ, вовлекаемых в технологические
[19] Михлин Е. Б., Корпусов Г. В. // ЖНХ. 1967. T. 12, N 6.
процессы их извлечения и разделения.
C. 1633-1637.
[20] McKay H. A. C., Healy T. V. // Progress in Nuclear Energy.
Ser. III: Process Chemistry. London: Pergamon, 1958. Vol. 2.
Список литературы
P. 546-556.
[21] Тебелев А. Г., Мелкая Р. Ф. // Радиохимия. 1976. T. 18,
[1] Puzikov E. A., Zilberman B. Ya., Fedorov Yu. S. et al. // Sol-
N 6. C. 864-869.
vent Extr. Ion Exch. 2015. Vol. 33, N 4. P. 362-384.
[22] Шмидт О. В., Зильберман Б. Я., Фёдоров Ю. С. и др. //
[2] ПузиковЕ. А., Зильберман Б. Я., Федоров Ю. С. и др. //
Радиохимия. 2002. T. 44, N 5. C. 428-433.
Радиохимия. 2015. T. 57, N 2. C. 119-123.
[23] Родыгина Л. С., Афонин М. А. // Тез. докл. V научно-
[3] Зильберман Б. Я., Рябков Д. В., Пузиков Е. А. и др. // Ра-
технической конф. «Неделя науки-2015» (25-27 марта
диохимия. 2016. T. 58, N 3. C. 206-210.
2015 г.) СПб.: СПбГТИ(ТУ), 2015. c. 185.
[4] Федоров Ю. С., Зильберман Б. Я., Поверкова Л. Я. // Ра-
[24] Михлин Е. Б., Михайличенко А. И., Вдовина Л. В. // Радио-
диохимия. 2000. T. 42, N 5. C. 417-422.
химия. 1981. T. 23, N 3. C. 347-353.