Радиохимия, 2019, т. 61, N 2, c. 159-167
159
Перспективы создания генератора 225Аc/213Bi с использованием
гидроксидных неорганических сорбентов
© Н. Д. Бетенекова, Е. И. Денисов*а, А. Н. Васильевб, С. В. Ермолаевб, Б. Л. Жуйковб
а Уральский федеральный университет им. Б. Н. Ельцина, 620002, Екатеринбург, ул. Мира, д. 19;
* e-mail: eidenisov@urfu.ru
б Институт ядерных исследований РАН, 117312, Москва, пр. 60-летия Октября, д.7а
Получена 26.03.2018, после доработки 27.11.2018, принята к публикации 28.11.2018
УДК 546.797+546.87
Изучены сорбционные свойства гидроксидных неорганических сорбентов марки «Термоксид-5»
(Т-5) и «Термоксид-39» (Т-39), подвергнутых термической обработке при температуре от 100 до 950°С,
по отношению к радионуклидам подсемейства 225Ac в широкой области кислотности и солевого состава
раствора. Показано, что сорбенты марки Т-5 и Т-39 принципиально пригодны для создания как прямо-
го, так и обратного генератора 225Ac/213Bi с активностью в сотни мКи 225Ac.
Ключевые слова: неорганические сорбенты, гидроксиды титана и циркония, сорбция, генератор
225Ac/213Bi, прямой и обратный генераторы короткоживущих радионуклидов, радиационная устойчи-
вость.
DOI: 10.1134/S0033831119020138
Для терапии онкологических заболеваний ши-
вести в ближайшем будущем [5, 7]. Клиническая
роко применяют различные β- и α-активные радио-
практика подтвердила преимущества этих α-излу-
нуклиды. Терапевтическое воздействие радионук-
чающих препаратов в виде более высокой эффектив-
лидов обусловлено деструктивным по отношению
ности при меньшей токсичности для пациентов по
к раковым клеткам ионизирующим излучением.
сравнению с аналогичными β-эмиттерами.
При этом наибольшей эффективностью обладают
Следует отметить, что 225Ac в результате цепоч-
α-излучающие радионуклиды, сочетающие высо-
ки последовательных распадов испускает четыре α-
кую линейную передачу энергии (~100 кэВ/мкм) и
частицы и две β-частицы, при этом дочерний 221Fr
короткий пробег в биологических тканях (50-90
имеет сравнительно большой период полураспада
мкм). Использование специфических векторов дос-
(4.9 мин) (рис. 1). Этого времени может быть дос-
тавки таких радионуклидов позволяет контролиро-
таточно для того, чтобы вырванный из актинийсо-
вать селективность терапии, что в сочетании с вы-
держащей молекулы за счет отдачи после испуска-
сокой цитотоксичностью α-излучения обеспечива-
ния первой α-частицы атом Fr удалился от места
ет адресное уничтожение даже отдельных раковых
назначения терапии на значительное расстояние.
клеток.
Такого недостатка не имеет 213Bi, поэтому он более
предпочтителен для терапии.
Одними из наиболее перспективных α-эмит-
теров являются 225Ac (Т1/2 =10 сут) и продукт его
На регулярной основе 225Ac получают генера-
распада - 213Bi (Т1/2 = 46 мин) (рис. 1). Препараты
торным способом из 229Th, который, в свою оче-
213Bi и 225Ac на основе антитела HuM195mAb про-
редь, выделяют из выдержанного 233U, однако об-
тив лейкемии (AML) [1, 2], а также препараты 213Bi
ращение с 233U ограничено требованиями нерас-
на основе антитела 9.2.27mAb против злокачест-
пространения делящихся материалов, и запасы его
венной меланомы [3, 4] и пептида Substance P про-
невелики. Суммарный ежегодный объем производ-
тив глиомы [5] успешно прошли фазу I клинических
ства 225Ac составляет примерно 63 ГБк (1.7 Ки) [8].
Эта величина достаточна для лечения лишь 100-
испытаний. Препарат
213Bi-HuM195mAb прошел
200 пациентов [9], что не может удовлетворить
фазу I/II клинических испытаний против AML [6].
растущую потребность в 225Ac.
Ряд доклинических и клинических испытаний ра-
диофармпрепаратов с 213Bi и 225Ac планируется про-
Иной метод получения 225Ac облучением при-
α, 2.09%
209Tl
β-
α
α
α
β-
2.2 мин
225Ac
221Fr
217At
213Bi45.6 мин
209Pb
209Bi.
9.9 сут
4.9 мин
32.3 мс
α
3.25 ч
стаб.
β, 97.91%
4.2 мкс
213Po
Рис. 1. Схема распада 225Ac.
160
Н. Д. Бетенеков и др.
Таблица
1. Основные физико-химические свойства
225Ac прочно удерживается сорбентом, а
213Bi
сорбентов Т-5(450) и Т-39(950)
элюируют различными комплексообразователями
Параметр
Т-5(450)
Т-39(950)
[15, 16, 18, 19].
Химический состав, мол%
95% TiO2,
96% ZrO2,
2. Прямой генератор, в котором материнский
5% ZrO2
4% Y2O3
225Ac прочно удерживается сорбентом, а 213Bi нака-
Удельная поверхность, м2
150
17
пливается и концентрируется за счет отделения и
Механическая прочность, кг/см2
300 ± 60
620 ± 120
распада короткоживущего 221Fr на втором сорбенте
Размер гранул, мм
0.2-0.4
0.063-0.1
[23].
Фазовый состав
Анатаз
Флюорит,
a = 5.12 Å
3. Обратный генератор, в котором периодически
накапливающийся 213Bi селективно сорбируют из
родного Th протонами средних энергий (свыше
раствора 225Ac, а затем десорбируют для использо-
100 МэВ) [10, 11] был предложен в Институте
вания [17, 20, 21].
ядерных исследований РАН. Процедура химиче-
Прямой генератор наиболее удобен в клиниче-
ского выделения 225Ac [12] разработана там же с
участием МГУ им. М. В. Ломоносова и НИФХИ
ском применении, однако при наличии
227Ac в
им. Л. Я. Карпова. По этому методу имеется воз-
225Ac ужесточаются требования к содержанию
227Ac и продуктов его распада в элюате 213Bi. Об-
можность получать большое количество 225Ac (бо-
лее 1 Ки за один 10-дневный сеанс) и в дальней-
ратный генератор может обеспечить такую очист-
ку, кроме того, в этом случае радиационная нагруз-
шем изготавливать генераторы 225Ac/213Bi с высо-
ка на сорбент минимальна.
кой активностью. Аналогичные работы проводятся
и в других институтах, обладающих соответствую-
Исходная активность 225Ac {не более 2-4 ГБк
щими ускорителями протонов (Брукхейвенская и
(50-100 мКи) [24]} пока ограничивается как воз-
Лос-Аламосская национальные лаборатории в
можностями его производства, так и радиационной
США [13], TRIUMF в Канаде [14]). Недостатком
устойчивостью сорбентов, используемых в генера-
данного метода является наличие изотопной при-
торе. В то же время в некоторых случаях имеется
меси долгоживущего 227Ac (Т1/2 = 21.7 года) - око-
необходимость в увеличении активности вводимо-
ло 0.1% на момент окончания облучения [10], что
го в организм 213Bi {4-6 ГБк и выше (100-150 мКи)
затрудняет прямое применение 225Ac, однако не
[24]}. С ростом активности растут радиационные и
препятствует его использованию для генератора
радиолитические нагрузки на сорбент [25], поэто-
225Ac/213Bi.
му использование более радиационно-устойчивых
неорганических сорбентов
[26] для генератора
В литературе описаны генераторные системы
225Ac/213Bi на основе как ионообменных (AG MP-50,
225Ac/213Bi представляется обоснованным.
AG 1; BioRad)
[15-18], так и экстракционно-
Целью настоящей работы является анализ пер-
хроматографических смол (Actinide Resin, UTEVA
спектив создания генератора 225Ac/213Bi с использо-
Resin; Triskem Int.) [19, 20]. Наиболее исследован-
ванием подвергнутых термической обработке гид-
ным считается генератор 225Ac/213Bi на основе ка-
роксидных неорганических сорбентов, отличаю-
тионообменной смолы типа AG MP-50, именно с
щихся особенно высокой радиационной устойчиво-
использованием таких генераторов проводятся
стью.
клинические испытания.
В противоположность обычно используемым
Экспериментальная часть
генераторным системам, в которых материнский
Исследовали неорганические сорбенты класса
радионуклид удерживается на генераторной колон-
ке (прямой генератор), а более короткоживущий
гидроксидов: сорбенты марок «Термоксид-5» (Т-5)
дочерний изотоп периодически вымывается, авто-
и «Термоксид-39» (Т-39) производства НПФ «Тер-
ры работ [17, 21, 22] разработали системы так назы-
моксид» (г. Заречный), а также для сравнения -
ваемых многоколоночных селективно-инверси-
сильноосновные аниониты Lewatit МР-500 и Purolite
онных генераторов (MSIG), в которых дочерний
А-460.
радионуклид прочно сорбируется, а материнский
Основные физико-химические свойства сорбента
остается в растворе (обратный генератор).
Т-5(450) и Т-39(950) приведены в табл. 1, здесь и
При этом все предложенные генераторные сис-
везде далее в скобках указана температура обработ-
темы 225Ac/213Bi можно классифицировать следую-
ки.
щим образом.
Сорбенты марок «Термоксид» получают золь-
1. Прямой генератор, в котором материнский
гель-методом [26]. Для получения мелкодисперс-
Перспективы создания генератора 225Аc/213Bi
161
ных гранул сорбента Т-39 использовали ультразву-
Таблица 2. Ядерно-физические характеристики 207Bi,
ковое диспергирование золя в раствор аммиака. При
225Ac и 228Ac [29]
исследовании сорбционных свойств образцы сор-
Радио-
Энергия,
Выход на
T1/2
Номер ППП
бентов Т-5 отжигали при температурах 100-900°С,
нуклид
кэВ
распад, %
Т-39 - при 950°С в течение 6 ч.
1
76.54
72.7
207Bi
32.9 года
2
569.698
97.76
Все сорбционные эксперименты проведены в
3
1063.656
74.6
стеклянной посуде марки Пирекс. В экспериментах
1
338.4
18
использовали реактивы марок х.ч. и ч.д.а. В качест-
228Ac
6.6 ч
2
968.8
23
ве фонового электролита использовали растворы
1 (по 221Fr)
218
11.6
225Ac
9.9 сут
хлорида аммония или натрия, а также нитрата на-
2 (по 213Bi)
440
26.1
трия. Для стабилизации значения рН хлоридных
растворов в опытах с сорбентом Т-5 использовали
стеклянный флакон, добавляли раствор с требуе-
буферные смеси: для pH от 3 до 7 готовили ацетат-
мым значением pH и перемешивали на шейкере в
ный буферный раствор, с рН более 7 - боратный
течении 1 недели. Отличия в методике приводятся
буферный раствор по методике [27].
дополнительно при описании соответствующего
Для моделирования поведения 213Bi и 225Ac ис-
эксперимента.
пользовали метки: 207Bi (в 1 моль/л HNO3), 90Sr/90Y
Для определения доли Bi, связанного с частица-
(в 0.1 моль/л HCl). Высушенные радиоактивные
ми размером более 2-3 мкм, водный раствор висму-
препараты 90Sr-90Y в кюветах объемом по 0.5 мл
та (1 моль/л NH4Cl в присутствии ацетатного буфе-
измеряли на радиометре УМФ-1500 сразу после
ра) с установленным значением pH фильтровали
окончания экспериментов и по прошествии 2 недель
самотеком через два бумажных фильтра «синяя лен-
при наступлении равновесия в генетической паре
та» и определяли относительное уменьшение актив-
90Sr-90Y. Первое измерение при определенных усло-
ности 207Bi.
виях дает информацию о поведении 90Y, второе - о
поведении 90Sr. В отдельных экспериментах исполь-
Степень сорбции S сорбентом, стеклом и долю
зовали 225Ac и 228Ac. 228Ac выделяли из раствора
фракции взвешенных частиц рассчитывали по фор-
228Ra, для разделения 228Ac и 228Ra использовали
мулам:
смолу Ln-resin [28]. 225Ac получали облучением при-
родного Th протонами с энергией 110 МэВ и выде-
Sсорбент = Iсорбент /Iисх.точка,
(1)
ляли по известной методике [11] в Институте ядер-
Sстекло = IстеклоK/Iисх.точка,
(2)
ных исследований РАН.
α = Iфильтра/Iисх.точка,
(3)
Радионуклиды 207Bi,
225Ac и 228Ac определяли
методом γ-спектрометрии [γ-спектрометр с детекто-
где I - скорости счета сорбента, исходной активно-
ром NaI(Tl), 63 × 63] во всех фазах, участвующих в
сти в точечной геометрии, стекла вмещающей по-
процессе межфазного распределения: в растворах,
суды, бумажного фильтра, имп/с; K - коэффициент
непосредственно на стекле колбы, на фильтре и в
пересчета из точечной геометрии в объемную при
сорбенте. При спектрометрическом определении
одинаковых активностях.
207Bi погрешность единичного измерения составляет
10-20%. При радиометрическом определении 90Sr
Значение Kd рассчитывали по формуле
погрешность единичного измерения составляет
Kd = SV/[(1 - S)m],
(4)
~20%, 90Y - ~30%.
Учитывали влияние геометрии на скорость счета,
где V - объем раствора, мл; m - масса сорбента, г.
находили коэффициент пересчета (K) для перехода
Для изучения динамики сорбции сорбент мас-
от одной геометрии к другой при одинаковой актив-
сой 0.3 г того или иного гранулометрического со-
ности, но при разной скорости счета: K = Iточка/Iобьем >
става загружали в стеклянную колонку с внутрен-
1, где I - регистрируемая скорость счета в точечной и
ним диаметром ~4 мм. Под небольшим избыточ-
объемной геометрии.
ным давлением через сорбент пропускали раствор
Радионуклиды 207Bi, 228Ac и 225Ac идентифициро-
с меткой или десорбирующий раствор со скоро-
вали по пикам полного поглощения (ППП), энергии
стью 1 мл/мин. Элюат собирали порциями, кото-
которых приведены в табл. 2.
рые незамедлительно измеряли на γ-спектрометре.
Сорбцию исследуемых радионуклидов в статиче-
Степень десорбции рассчитывали по формуле
ских условиях различными сорбентами изучали по
следующей методике. Навеску сорбента помещали в
D = Iсорбент после/Iсорбент до,
(5)
162
Н. Д. Бетенеков и др.
где D - степень десорбции, I - скорость счета сор-
бента после и до десорбции, имп/с.
Кинетические зависимости представлены в ко-
ординатах -ln(1 - F)-t. Степень достижения равно-
весия F определяли по формуле F = St/S, где St -
степень сорбции в момент времени t, S - степень
сорбции в равновесных условиях.
Результаты и обсуждение
Из табл. 1 видно, что прокаленный образец Т-39
приобрел существенно более высокую механиче-
скую прочность по сравнению с Т-5, а, следователь-
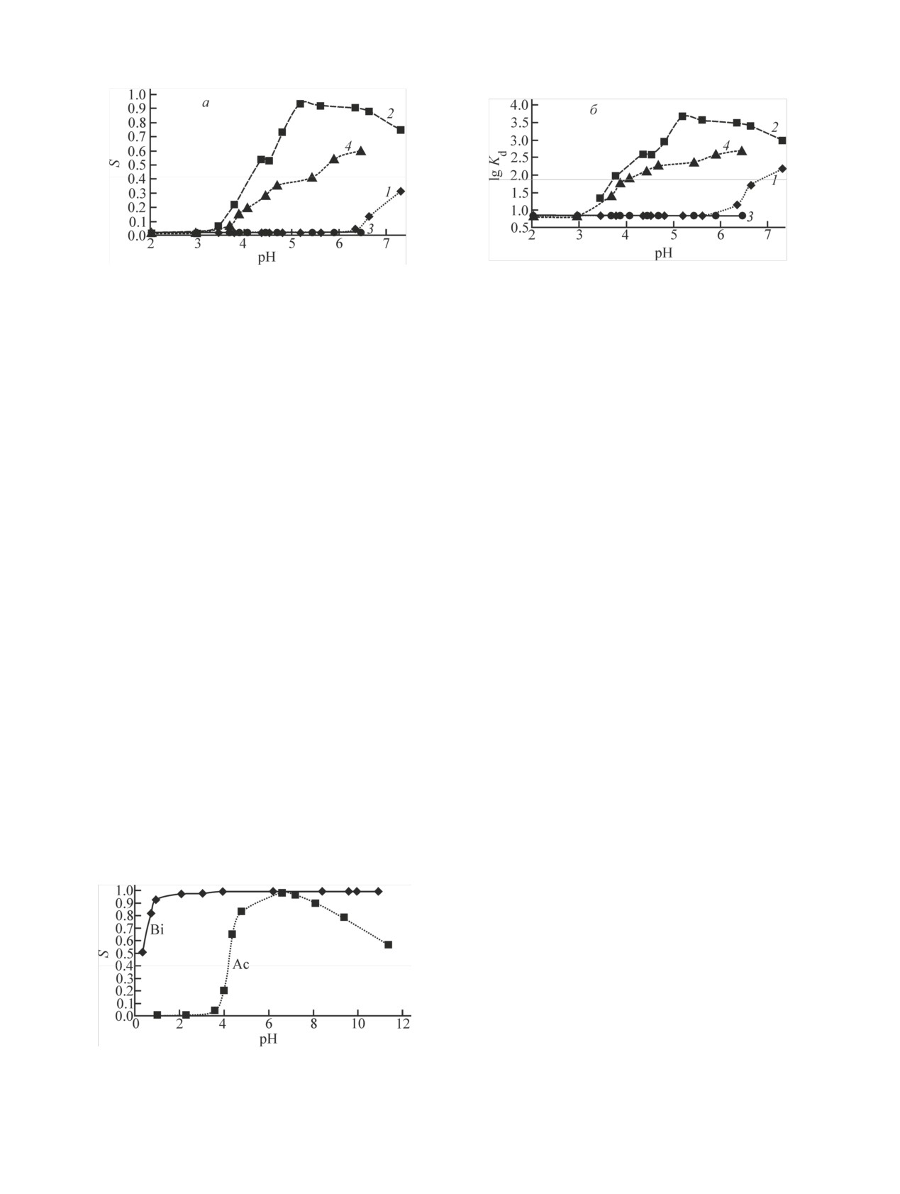
Рис. 2. Зависимость степени сорбции 207Bi от pH. Сорбент: 1 -
но, и большую радиационную устойчивость, при
А-460, 2 - Т-5(450), 3 - Т-5(900), 4 - МР-500; раствор ~1 моль/
л NH4Cl; соотношение фаз, V/m, мл/г: 1, 4 - 100; 2, 3 - 660;
этом сохранил достаточно высокую удельную по-
время контакта фаз 1 неделя.
верхность.
В работе [30] для сорбента Т-5 методом потен-
циометрического титрования установлено три типа
ионогенных групп с различными значениями пока-
зателей рKа и рKb: для кислотных групп рK1 = 7.8 ±
0.5, рK2 = 10.2 ± 0.5, рK3 = 11.0 ± 0.2; для основных
групп рK4 = 6.5 ± 0.2, рK5 = 4.5 ± 0,2, рK6 = 2.7 ± 0.2.
Сорбент Т-5 отличается высокими значениями об-
менной емкости. Так, после обработки при 100°С
суммарная емкость по всем кислотным и основным
группам примерно равна 1.0 ммоль/г. При увеличе-
нии температуры обработки сорбентов Т-5 до 800°С
Рис. 3. Зависимость доли взвесей 207Bi от рН при последователь-
емкость по кислотным и основным группам умень-
ной фильтрации (2 фильтра синяя лента) одного и того же раство-
шается более чем на порядок, при этом остается
ра после выдержки раствора в течение 3 ч (1) и 2 недель (2).
только по одной обменной группе с емкостью по
катионам 0.03 и анионам 0.05 ммоль/г.
вание и сорбцию радионуклидов материалом посу-
Аналогичные результаты получены и для сор-
ды. Необходимо найти условия, при которых можно
бента Т-39, который также проявляет катионооб-
селективно удерживать на сорбенте либо Ac
менные свойства в щелочной среде и анионообмен-
(вариант прямого генератора), либо Bi (обратный
ные в кислой среде. При температуре обработки
генератор).
сорбентов Т-39 950°С емкость по катионам состав-
Как видно из рис. 2, все зависимости степени
ляет 0.02, а по анионам - 0.03 ммоль/г.
сорбции 207Bi от pH как неорганическими, так и ор-
Эти данные позволяют расчетным методом пред-
ганическими сорбентами выглядят сходным обра-
сказывать изменение рН водных растворов при кон-
зом. В слабокислой среде степень сорбции макси-
такте с навеской сорбента при заданном соотноше-
мальна и приближается к единице, а при увеличении
нии массы сорбента (m) и объема раствора (V), что
рН - уменьшается.
имеет важное технологическое значение.
С использованием метода фильтрации через бу-
С учетом того, что данные неорганические сор-
мажные фильтры определена доля Bi в водных рас-
бенты проявляют амфотерные свойства, являются
творах, связанного с частицами размером более 2-
слабокислотными катионитами и слабоосновными
3 мкм, а также определена зависимость степени
анионитами, в экспериментах использовали водные
сорбции Bi стеклом посуды в зависимости от рН.
растворы в широком диапазоне значений рН, кон-
Полученные данные представлены на рис. 3 и 4.
центраций солевого фона и комплексообразовате-
Для объяснения полученных закономерностей
лей.
проведены расчеты форм состояния Bi в хлоридных
Для достижения поставленной цели необходимо
и нитратных растворах с различными значениями рН
исследовать сорбцию Ac и Bi сорбентами Т-5 и Т-39
с использованием программы MEDUSA [31], резуль-
при различных значениях pH, десорбцию Bi кислы-
таты расчетов представлены на рис. 5. Из рис. 5 сле-
ми растворами, а также возможное коллоидообразо-
дует, что в хлоридных слабокислых растворах с
Перспективы создания генератора 225Аc/213Bi
163
pH 5.2
pH 2.9
Рис. 6. Кинетические зависимости сорбции 207Bi неорганиче-
Рис. 4. Зависимость степени сорбции 207Bi стеклом посуды от
ским сорбентом Т-5(900) при различных значениях рН. Рас-
pH в присутствии различных сорбентов:
1
- А-460,
2
-
твор ~1 моль/л NH4Cl, соотношение фаз V/m = 200 мл/г.
Т-5(450), 3 - Т-5(900), 4 - МР-500; раствор ~1 моль/л NH4Cl;
смачиваемая площадь стекла, см2: 1, 4 - 26; 2, 3 - 43; время
pH следует, скорее всего, связать с повышенной
контакта фаз 1 неделя.
сорбционной способностью гидроксокомплексов
висмута по отношению к любым поверхностям. При
понижении ионной силы раствора (сорбция из рас-
твора 0.1 моль/л NH4Cl) область образования частиц
оксихлорида висмута сдвигается влево, и отрица-
тельно заряженные хлоридные комплексы домини-
руют лишь при pH < 4.
Данные по коллоидообразованию Bi в подобных
условиях были приведены еще в начале прошлого
столетия в классических работах Панета и Годлев-
ского [32]. Ими было установлено, что продукты
распада Rn - изотопы Po, Bi и Pb - проявляют в
нейтральных растворах коллоидные свойства. Экс-
периментально доказано [32], что при pH > 5 суще-
ствуют как истинные, так и псевдоколлоиды.
На рис. 6 приведены данные по кинетике сорб-
ции Bi сорбентом Т-5(900) при pH 2.9 и 5.2 из хло-
ридных растворов. Первое значение pH выбрано как
соответствующее максимальной величине сорбции
всеми сорбентами в условиях отсутствия коллоидо-
образования и сорбции Bi стенками посуды. Значе-
ние pH 5.2 близко к максимуму сорбции стенкой
Рис. 5. Результаты расчета с помощью программы MEDUSA
посуды и проявления висмутом коллоидных
форм состояния Bi (10-10 моль/л) в растворах с различными
свойств.
значениями рН при 25°С: а - NH4Cl, С = 1 моль/л; б - NaNO3,
С = 1 моль/л. На а: 1 - BiCl3, 2 - BiCl, 3 - BiOCl, 4 - Bi(OH)+,
Полученные данные свидетельствуют о том, что
5 - Bi(OH)3, 6 - Bi(OH). На б: 1 - Bi3+, 2 - Bi(NO3)2+, 3 -
ход зависимостей сорбции от рН (рис. 2) и кинети-
Bi(NO3)+, 4 - Bi(OH)2+, 5 - Bi(OH)2+, 6 - Bi(OH)3, 7 - Bi(OH)4.
ческих кривых (рис. 6) типичен для гидроксидных
сорбентов и гидролизующегося сорбата [33, 34].
Одинаковый ход кинетических зависимостей при
ионной силой 1 моль/л и рН < 5 доминируют отри-
рН 2.9 и 5.2, вероятнее всего, связан с медленным
цательно заряженные хлоридные комплексы, что
превращением хлоридных комплексов в сорбирую-
заставляет предполагать одинаковый механизм по-
щиеся гидроксокомплексы висмута при рН 2.9 и с
глощения Bi как анионообменными смолами, так и
медленным превращением коллоидных и сорбиро-
гидроксидными сорбентами. В нейтральных раство-
ванных стеклом посуды форм в сорбирующиеся
рах при рН около 6 возможно образование истин-
гидроксокомплексы висмута при рН 5.2. Иначе го-
ных коллоидных частиц оксихлорида висмута, при
воря, наблюдается внешнекинетическое торможе-
рН более 6.5 начинают доминировать гидроксоком-
ние процесса сорбции Bi гидроксидными сорбента-
плексы висмута. Очевидно, что наблюдаемые зави-
ми [33, 34].
симости (рис. 3, 4) образования висмутом взвешен-
ных форм состояния и сорбции стеклом посуды от
В нитратных растворах гидролиз Bi происходит
164
Н. Д. Бетенеков и др.
Рис. 7. Зависимость сорбции от pH в координатах S-pH (а) и lgkd-pH (б) при различной температуре прокаливания сорбента Т-5.
1 - 90Sr, Т-5(450); 2 - 90Y, Т-5(450); 3 - 90Sr, Т-5(900); 4 - 90Y, Т-5(900). Раствор ~1 моль/л NH4Cl, соотношение фаз V/m = 330 мл/г,
время контакта фаз 1 неделя.
при более низком значении pH (рис. 5, б). При кон-
статических условиях (рис. 8). Сорбцию 207Bi и 228Ac
центрации нитрат-иона 1 моль/л уже при pH > 2 в
сорбентом марки Т-5(450) в зависимости от рН ис-
растворе доминируют гидроксокомплексы висмута.
следовали по иной методике без использования бу-
ферных растворов. В качестве исходного раствора
Из рис. 7 видно, что сорбция 90Y и, по-видимому,
использовали меченные 207Bi и 228Ac растворы 0.5 и
Ac начинается для сорбентов Т-5(450) и Т-5(900)
0.1 моль/л HNO3, значение рН которых пошагово
практически при одном и том же значении рН > 3.
изменяли титрованием раствором 0.1 моль/л NaOH.
Для сорбента Т-5(450) с ростом рН сорбция 90Y ста-
При каждом значении рН начиная с рН 0.5 интен-
новится практически количественной при рН 5-6,
сивно перемешивали 20 мл раствора в течение
тогда как при рН > 7 сорбция 90Y начинает умень-
20 мин на встряхивателе для установления сорбци-
шаться. Cорбция 90Y на сорбенте Т-5(900) в тех же
онного равновесия с 1 г одного и того же сорбента
условиях значительно меньше 60%. Подобные зако-
Т-5(450). Затем раствор отделяли от сорбента декан-
номерности сорбции 90Y получены и для сорбента
тацией и методом γ-спектрометрии определяли зна-
Т-39(950).
чение степени сорбции, объединяли раствор с сор-
Характер зависимостей сорбции 90Sr от рН суще-
бентом и снова титровали 0.1 моль/л NaOH до сле-
ственно иной. В этом случае наблюдается сущест-
дующего значения рН и т.д.
венный сдвиг рН начала сорбции 90Sr вправо в зави-
Из рис. 8 видно, что сорбция 207Bi при рН 2 из
симости от температуры обработки сорбента.
нитратных растворов (I ≈ 0.1 моль/л) становится
Значение Kd 90Y (и, вероятно, Ac) в диапазоне рН
практически количественной и далее не изменяется
от 5 до 6.5 существенно выше 103 мл/г, что позволя-
с ростом рН. Это подтверждает результаты модели-
ет проводить в этом диапазоне рН насыщение сор-
рования (рис. 5, б) и говорит о том, что прочность
бента Т-5 актинием, при этом целесообразно ис-
связи Bi с сорбентом Т-5 очень велика, и как ней-
пользовать сорбент Т-5 с возможно меньшей темпе-
тральные, так и щелочные растворы не могут обес-
ратурой прокаливания.
печить десорбцию Bi. Из рис. 8 также следует, что
зависимость степени сорбции 228Ac сорбентом Т-5
На основании полученных для 90Y результатов
от рН такая же, что и для 90Y на том же сорбенте
для выбранного сорбента Т-5(450) исследована
(рис. 7).
cорбция Bi и Ac в зависимости от pH (0.5-11.5) в
Мы также исследовали сорбцию 225Ac в статиче-
ских условиях сорбентом Т-5 из хлоридных раство-
ров (рис. 9). На основании полученных выше дан-
ных выбрали диапазон значений pH (5.5-7.3) со зна-
чительной сорбцией Ac (от 0.9 до 1.0). Результаты
сорбции 225Ac согласуются с данными для 228Ac и
90Y. При pH 6.5-7.3 Kd Ac достигает 2·103 мл/г, что
соответствует степени сорбции, близкой к 1.0.
Полученные данные, казалось бы, говорят о воз-
можности создания прямого генератора 225Ac/213Bi
по варианту 1 с использованием сорбента Т-5 по
Рис. 8. Сорбция 207Bi и 228Ac сорбентом марки Т-5(450) в
зависимости от рН. Нитратный раствор (I
≈ 0.1 моль/л),
аналогии с генератором, основанном на использова-
соотношение фаз V/m = 20 мл/г, время контакта фаз 20 мин.
нии сильнокислотных катионообменных смол [9].
Перспективы создания генератора 225Аc/213Bi
165
ния в обратном генераторе. В этом случае сорбцию
Bi следует проводить при рН 1-2 из азотнокислых
растворов, в которых образование гидроксоком-
плексов происходит при более низком значении pH,
чем в солянокислых.
Также полученные значения Kd 225Ac - до 2·103 мл/г
(сорбент T-5, 1 моль/л NH4Cl) -позволяют предпола-
гать пригодность исследуемых гидроксидных сор-
бентов для создания прямого генератора, в котором
материнский актиний прочно удерживается сорбен-
том, а 221Fr легко смывается с этого сорбента рас-
Рис. 9. Зависимость коэффициента распределения 225Ac от рН
для сорбента марки Т-5(450). Раствор - буфер ~1 моль/л
твором 1 моль/л NH4Cl и может быть количествен-
NH3/NH4Cl, соотношение фаз V/m = 40 мл/г.
но извлечен на второй колонке с ферроцианидным
сорбентом (проверено в отдельных экспериментах с
137Cs), при этом 213Bi накапливается и концентриру-
ется за счет отделения и распада короткоживущего
221Fr на второй колонке. В этом случае удерживание
сорбентом материнского Ac должно быть выше,
чем для прямого генератора по варианту 1, посколь-
ку существенно увеличиваются объемы элюата,
прокачиваемого через сорбент в режиме рециркуля-
ции.
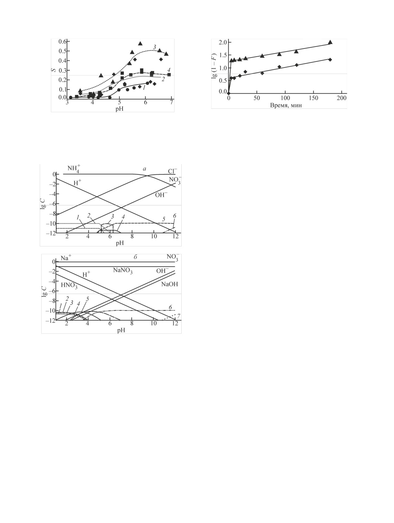
Однако поиск условий селективной десорбции
213Bi с генератора 225Ac/213Bi с использованием сор-
бента Т-5 не привел к желаемым результатам. Ис-
Рис. 10. Зависимость степени десорбции Bi с сорбента Т-5 с
различной температурой прокаливания, насыщенного висму-
пользование растворов 0.2 моль/л ЭДТА и цитрата
том при различных значениях рН, от объема 1 моль/л HCl
натрия с рН ≈ 3 и ≈ 5.3 показало возможность вы-
(N.
- число колоночных объемов). 1 - Т-5(450), рН 3.0; 2 -
мывания Bi не более 40-50%. Более полное вымы-
Т-5(450), рН 5.2; 3 - Т-5(900), рН 3.0; 4 - Т-5(900), рН 5.2.
вание Bi удается достичь только при использовании
раствора 1 моль/л HCl (рис. 10). Как видно из
рис. 10, фронт вымывания Bi с Т-5 с различной тем-
пературой прокаливания раствором 1 моль/л HCl
сильно затянут, за 10 колоночных объемов (к.о.)
вымывается только 70-75% Bi, кроме того, этим же
раствором будет неизбежно десорбироваться и Ac.
Дополнительные доказательства в пользу невоз-
можности создания классического прямого генера-
тора с использованием слабокислотных гидроксид-
ных сорбентов получены в экспериментах с мелко-
зернистым сорбентом Т-39(950). В отличие от пре-
Рис. 11. Динамика сорбции 207Bi сорбентом Т-39(950) с разме-
ром сферических гранул 65-80 мкм в зависимости от рН и
дыдущих экспериментов данные рис. 11 получены в
состава раствора. 1 - 0.1 моль/л NaNO3; 2 - 0.1 моль/л NaCl +
условиях динамики сорбции. Как видно из рис. 11,
0.1 моль/л KI; соотношение фаз V/m = 20 мл/г.
при рН > 1 сорбция 207Bi сорбентом Т-39(900) про-
текает количественно из растворов
0.1 моль/л
NaNO3, тогда как в растворах смеси хлоридов и ио-
Такой генератор с закрепленным на сорбенте 225Ac
дидов в кислой среде сорбция Bi отсутствует, а в
должен позволять проводить многократную селек-
нейтральных растворах становится полной. Это, с
тивную десорбцию 213Bi и назван прямым генерато-
одной стороны, говорит о перспективности исполь-
ром. В этом варианте генератора 225Ac/213Bi для об-
зования кислых растворов хлоридов, или смеси хло-
ласти pH 5.5-7.3 (1 моль/л NH4Cl) необходимо по-
ридов и иодидов, для эффективной десорбции Bi с
добрать условия селективной десорбции Bi с сор-
сорбента Т-39(950). С другой стороны, эти же дан-
бента.
ные говорят о невозможности разделения Ac и Bi в
Ввиду склонности Bi к гидролизу исследуемые
нейтральных растворах с использованием изучен-
гидроксидные сорбенты пригодны для использова-
ных гидроксидных сорбентов.
166
Н. Д. Бетенеков и др.
на полимерной матрице - низкой радиационной и
радиолитической стойкости. Прямые и обратные
генераторы на их основе являются альтернативой
для используемых в настоящее время прямых гене-
раторов на основе катионообменного сорбента AG
MP-50. Возможно, именно такие прямые и обрат-
ные генераторы на основе неорганических сорбен-
тов с высокой активностью 225Ac (сотни мКи) спо-
собны обеспечить широкое применение 213Bi в ме-
дицине.
Рис. 12. Кривые десорбции Bi с сорбента Т-39(950) раствором
1 моль/л HCl: 1 - интегральная, 2 - дифференциальная.
Исследование выполнено за счет гранта Россий-
ского научного фонда (проект N 17-73-10465) с ис-
Селективная сорбция Bi гидроксидными сорбен-
пользованием оборудования Центра коллективного
тами в кислых нитратных растворах соответствует
пользования ИЯИ РАН (Соглашение с Минобрнау-
началу гидролиза Bi (рис. 5, б) и объясняется особо
ки N 14.621.21.0014, уникальный идентификатор
высокой специфичностью гидроксидных сорбентов
работ RFMEF162117X0014).
к гидролизованным ионам [33, 34].
Для десорбции Bi с сорбента Т-39(950) примерно
Список литературы
в одинаковой степени подходят растворы 1 моль/л
HCl и 0.1 моль/л HCl + 0.1 моль/л HI (рис. 12).
[1] Jurcic J. G. et al. // Blood. 2002. Vol. 100. P. 1233-1239.
[2] Miederer M. et al. // J. Nucl. Med. 2004. Vol. 45. P. 129-137.
Полученные данные однозначно свидетельству-
[3] Allen B. J. et al. // Curr. Radiopharm. 2008. Vol. 1. P. 240-
ют о невозможности создания прямого генератора
250.
[4] Allen B. J. // Phys. Med. Biol. 2007. Vol. 52. P. L15-L19.
225Ac/213Bi в варианте 1 с использованием изучен-
[5] Chérel M., Barbet J. Alpha Emitting Radionuclides and Ra-
ных гидроксидных сорбентов, тогда как в вариан-
diopharmaceuticals for Therapy: IAEA-TM-44815. 2013.
те 2 прямого генератора и обратном генераторе
[6] Rosenblat T. L. et al. // Clin. Cancer Res. 2010. Vol. 16, N 21.
(вариант 3) их использование обещает быть пер-
P. 5303-5311.
спективным.
[7] https://clinicaltrials.gov/
[8] Apostolidis C. et al. // Anal. Chem. 2005. Vol. 77. P. 6288-
В случае варианта 2 предполагается сорбировать
6291.
Ac и Bi сорбентом T-5(450) из растворов с pH 5.5-
[9] Morgenstern A., Bruchertseifer F., Apostolidis C. // Curr.
Radiopharm. 2011. Vol. 4. P. 295-305.
7.3 (1 моль/л NH4Cl), а затем в течение необходимо-
[10] Ermolaev S. V., Zhuikov B. L., Kokhanyuk V. M. et al. // Ra-
го промежутка времени в режиме рециркуляции
diochim. Acta. 2012. Vol. 100. P. 1-7.
элюировать с колонки 221Fr с одновременным его
[11] Жуйков Б. Л., Калмыков С. Н., Ермолаев С. В. и др. // Ра-
концентрированием на второй колонке с ферроциа-
диохимия. 2011. Т. 53, N 1. C. 66-72.
нидным сорбентом. При распаде 221Fr можно полу-
[12] Aliev R. A. et al. // Solvent Extr. Ion Exch. 2014. Vol. 32, N 5.
P. 468-477.
чить конечный продукт 213Bi на ферроцианидном
[13] Weidner J. W. et al. // Appl. Radiat. Isot. 2012. Vol. 70, N 11.
сорбенте, который десорбируют раствором 1 моль/л
P. 2602-2607.
HCl.
[14] Hoehr C. et al. // Phys. Procedia. 2017. Vol. 90. P. 200-208.
[15] Boll R. A., Mirzadeh S., Kennel S. J. et al. // J. Label. Compd.
Для варианта 3 с обратным генератором опти-
Radiopharm. 1997. Vol. 40. P. 341.
мальной является селективная сорбция Bi из раство-
[16] McDevitt M. R., Finn R. D., Sgouros G. et al. // Appl. Radiat.
ра 0.01-0.1 моль/л HNO3 сорбентами T-5(450) или
Isot. 1999. Vol. 50, N 5. - P. 895.
Т-39(950), а затем десорбция 1 моль/л HCl или
[17] Bray L. A., Tingey J. M., DesChane J. R. et al. // Ind. Eng.
Chem. Res. 2000. Vol. 39, N 9. P. 3189.
0.1 моль/л HCl + 0.1 моль/л HI. Из этих двух сорбен-
[18] Гусева Л. И., Догадкин Н. Н. // Радиохимия. 2009. Т. 51,
тов предпочтение следует отдать Т-39(950), кото-
N 2. С. 148-152.
рый имеет существенно меньший размер гранул и
[19] Wu C., Brechbiel M. W., Gansow O. A. // Radiochim. Acta.
при рН 1 позволяет достигать 100%-ного извлече-
1997. Vol. 79. P. 141.
[20] McAlister D. R., Horwitz E. P. // Appl. Radiat. Isot. 2009.
ния Bi из 5 мл раствора с помощью навески сорбен-
Vol. 67, N 11. P. 1985.
та 50 мг. Для указанной навески сорбента Т-39(950)
[21] Цупко-Ситников В. В. Актиний-225: получение радионук-
объем сорбента составит 0.025 мл (насыпная масса
лида, электромиграционные и ядерно-спектроскопиче-
сорбента 2 г/см3), тогда в соответствии с данными
ские исследования: Дис
к.х.н. Дубна, 1997.
рис. 12 в 10 к.о. (0.25 мл) можно десорбировать бо-
[22] Bray L. A., DesChane J. R. Patent US 5749042. 1998.
[23] Ермолаев С. В., Скасырская А. К. // Тез. докл. VIII Всерос.
лее 90% Bi. Неорганические гидроксидные сорбен-
конф. по радиохимии «Радиохимия-2015». Железногорск,
ты лишены существенного недостатка экстракцион-
2015. С. 442.
но-хроматографических и ионообменных сорбентов
[24] Morgenstern A., Krolicki L., Kunikowska J. et al. // J. Nucl.
Перспективы создания генератора 225Аc/213Bi
167
Med. 2014. Vol. 55, Suppl. 1. P. 390.
ред. А. А. Моисеева. М.: Энергоатомиздат, 1987.
[25] McDevitt M. R. et al. //Appl. Radiat. Isot. 1999. Vol. 50.
[30] Шарыгин Л. М. Термостойкие неорганические сорбенты.
P. 895-904.
Екатеринбург: УрО РАН, 2012. 300 с.
[26] Денисов Е. И., Бетенеков Н. Д. // Радиохимия. 2018. T. 60,
[31] Puigdomenech I. MEDUSA: Make Equilibrium Diagrams
N 4. C. 332-339.
Using Sophisticated Algorithms. 2010.
[27] Лурье Ю. Ю. Справочник по аналитической химии. М.:
[32] Старик И. Е. Основы радиохимии. M.: Наука, 1969.
Химия, 1979. 5-е изд.
[33] Бетенеков Н. Д., Денисов Е. И., Шарыгин Л. М. // Радио-
[28] Horwitz E. P., Bloomquist C. A. // J. Inorg. Nucl. Chem. 1975.
Vol. 37. P. 425-434.
химия. 2016. T. 58, N 1. C. 59-66.
[29] Схемы распада радионуклидов. Энергия и интенсивность
[34] Денисов Е. И., Бетенеков Н. Д. // Радиохимия. 2016. T. 58,
излучения. Рекомендации МКРЗ. Публикация 38 / Под
N 6. C. 540-547.