84
Радиохимия, 2019, т. 61, N 1, c. 84-88
137Cs в донных отложениях олиготрофных озер: механизм миграции
© Н. А. Бакунов, Д. Ю. Большиянов, С. А. Правкин*
Арктический и антарктический научно-исследовательский институт,
199397, Санкт-Петербург, ул. Беринга, д. 38, * e-mail: s.pravkin @aari.ru
Получена 22.12.2017, после доработки 04.04.2018, принята к публикации 05.04.2018
УДК 546.36.02.137
Изучена 5-17-летняя миграция 137Cs в донных отложениях (ДО) 5 олиготрофных озер, находящихся
на следе выпадений «чернобыльского» 137Cs. Результаты послойного анализа уровней 137Cs в кернах ДО
стали объектом исследования, позволившего определить механизм миграции 137Cs и численные харак-
теристики его переноса в толщу ДО водоемов низкой трофии. Экспоненциальное снижение концентра-
ции 137Cs от поверхности керна в глубину ДО оценено слоем полупотерь h. Слой h «чернобыльского»
137Cs составил для ДО олиготрофных озер 1.2-2.3 см. Перенос 137Cs в ДО олиготрофных озер осуществ-
лялся по механизму диффузии. Коэффициенты диффузии (D) «чернобыльского» 137Cs в колонках ДО
озер составили (2.0-4.7)·10-8 см2/с. Коэффициенты диффузии при миграции 137Cs увеличивались от при-
поверхностного слоя донных отложений (~0-2 см) в глубь донного грунта в диапазоне n·(10-9-10-8) см2/с.
Численные характеристики миграции 137Cs (h и D) относятся к ДО олиготрофных озер, в которых поток
седиментов на дно водоемов не превышал 1.8 мм/год. В оз. Суходольское при седиментации 6 мм/год и
экспозиции радионуклида 31 год толща ДО загрязнялась 137Cs по смешанному механизму - диффузии с
места первичного накопления и седиментации взвесей с 137Cs.
Ключевые слова: цезий-137, озеро, донные отложения, миграция, диффузия.
DOI: 10.1134/S0033831119010131
Глубокие олиготрофные озера высоких широт
ния уровней 137Cs в профиле донных отложений
северного полушария являются важным ресурсом
озер, отражавших кратковременную (5-6 лет) или
пресных вод питьевого и промышленного назначе-
более длительную его миграцию в грунтах водо-
ния. Длительное время возможность их загрязнения
емов.
долгоживущими искусственными радионуклидами
Источником загрязнения озер стали повсемест-
(ИРН) считалась маловероятной в согласии с общей
ные выпадения 137Cs из атмосферы в 1961-1964 гг.,
концепцией безопасной работы эксплуатируемых
сформировавшие его техногенный фон на поверхно-
реакторов АЭС [1]. Однако изменения в оценке ве-
сти Земли, и более поздние его выпадения в 1986 г.
роятности таких событий способствовали проведе-
после аварии на ЧАЭС. До этой аварии кумулятив-
нию исследований гипотетического переноса ИРН
ный запас 137Cs в почвах водосборов пояса 60-
от аварийных реакторов АЭС на территории сканди-
70° с.ш. не превышал 1.7 кБк/м2. Этот уровень в
навских и сопредельных с ними стран [2]. Из-за вы-
1986 г. был локально превышен выпадениями 137Cs
сокой чувствительность водоемов Севера к фактору
до 65-130 кБк/м2 на территорию скандинавских
загрязнения ИРН [3-5] сохраняется актуальность
стран [5-7]. До настоящего времени крайняя ограни-
радиоэкологических исследований их миграции в
ченность данных, характеризующих загрязнение
олиготрофных озерах как объектах с низкой устой-
137Cs вод и грунтов дна глубоких олиготрофных
чивостью к загрязнению ИРН. Для таких водоемов
озер, затрудняет оценки состояния кумулятивных
потребность в радиологических прогнозах особенно
запасов 137Cs в таких водоемах и скорости естествен-
велика из-за высокого накопления радионуклидов
ного очищения их с течением времени. Спустя 1.5-
90Sr и 137Cs в пресноводной рыбе - важном пищевом
2 года после выпадения 137Cs на поверхность озер
продукте коренных жителей Севера [3, 4].
радионуклид почти количественно (93-98%) мигри-
Задача исследования сводилась к изучению ми-
рует в донные отложения из-за высоких коэффици-
грации 137Cs в ДО олиготрофных озер и определе-
ентов распределения (Kd) 137Cs в системе вода-дно
нию численных характеристик этого процесса по
(103-105 л/кг). Кумулятивный запас 137Cs на дне ста-
данным наблюдений за послойным распределением
новится источником поддержания загрязнения озер-
137Cs в колонках ДО водоемов с низкой трофией и
ных вод и водоемов, сопряженных по стоку.
невысокой скоростью отложения седиментов.
Экспериментальная часть
Объектами исследования являлись уровни 137Cs в
донных отложениях олиготрофных озер и процессы,
Для изучения миграции 137Cs в донных отложе-
влияющие на миграцию 137Cs в толщу донных отло-
ниях водоемов была сформирована выборка из 6
жений. Глубокие и большие озера субарктических
олиготрофных озер Скандинавского п-ова и Карель-
районов России, Финляндии, Швеции и Канады от-
ского перешейка, в которых проводили послойные
носятся к олиготрофным водоемам. Методология
определения 137Cs в колонках донных грунтов (см.
исследования основывалась на изучении распределе-
таблицу). В таблице приведены координаты озер,
137Cs в донных отложениях олиготрофных озер
85
Характеристики озер и показатели миграции 137Cs: слой полупотерь h 137Cs и коэффициент диффузии
Глубина озера,
Обмен
Глубина
137Cs, слой h,
D 137Cs,
Озеро, координата, ссылка
Н
макс/Нср, м
вод, лет
станции, м
см
см2/с, ·108
Ставсватн, 59°38' с.ш., 8°07' в.д. [8]
17/6.2
1.1
5
2.1
4.7 ± 4.5
О. Неадалсватн, 62°46' с.ш., 09°0' в.д. [8]
18/3.9
0.6
3
1.2
2.5 ± 2.3
Вехкаярви, 61°28' с.ш., 26°55' в.д. [9]:
20/12
8.0
cтанция 1
15
2.1
3.9 ± 2.9
cтанция 2
7
1.5
3.5 ± 2.5
Сииккаярви [9]:
22/5
1.4
станция 1
11
2.3
2.0 ± 1.1
станция 2
5
1.5
3.9 ± 3.1
Ладожское оз.:а
230/47
11
станция 55, 60°47' с.ш., 31°32' в.д. [10]
67
1.2
0.4
станция 56, 60°47' с.ш., 31°32' в.д. [10]
67
1.2
0.6
Суходольское оз., 60°41' с.ш., 30°03' в.д.
17/4
<0.1
8
3.3
5.7 ± 1.2
а Коэффициент диффузии 137Cs для Ладожского оз. приведен для слоя 0-2 см.
характеристики их свойств и результаты наших рас-
Изменение концентраций 137Cs в слоях ДО (рис. 1,
четов миграции 137Cs. При повышенном выпадении
2) аппроксимировано экспоненциальной функцией с
«чернобыльского» 137Cs на озера (56-130 кБк/м2)
целью количественной оценки его миграции
вклад глобального 137Cs (1.7 кБк/м2) в загрязнение
Ci = C0exp(-0.693i/h),
(1)
водоемов становится незначительным. Поэтому при
где Ci - концентрация 137Cs в слое i, Бк/кг; i - расстоя-
анализе распределения 137Cs в профиле ДО таких
ние до поверхности керна, см; C0 - концентрации
озер следовым количеством глобального 137Cs мож-
137Cs в верхнем слое ДО, Бк/кг; h - слой ДО, в кото-
но было пренебречь. Результаты наблюдений за
ром концентрация 137Cs снижается в два раза (слой
137Cs в ДО [6, 8-10] использовались в расчетах пока-
полупотерь), см. Результаты определений h приведе-
зателей миграции для установления количествен-
ны в таблице. Из-за высокой корреляции (R = 0.95)
ных характеристик этого процесса. Работы [8, 9],
между уровнями 137Cs в профиле ДО и глубиной
привлекаемые нами при изучении механизма мигра-
грунта результаты расчета по уравнению (1) удовле-
ции 137Cs в олиготрофных озерах, ограничивались
творительно согласовывались с опытом. Численные
мониторингом содержания 137Cs в ДО озер, в них не
рассчитывали коэффициенты диффузии 137Cs в ДО
и не оценивали скорость очищения ДО от 137Cs. В
наших исследованиях колонки ДО отбирали пробо-
отборником фирмы UWITEC (Австрия) диаметром
60 мм. Образцы кернов с Ладожского оз. разделяли
на слои 0-2 см [10]. В работах [6, 9] профиль дон-
ных отложений с озер Финляндии разделяли на
слои 0-2 см. В донных отложениях из озер Норве-
гии шаг послойного разделения колонок был более
подробным и неравномерным [8]. 137Cs в образцах
ДО определяли методом γ-спектрометрии [10, 11].
Минимальная детектируемая радиоактивность пре-
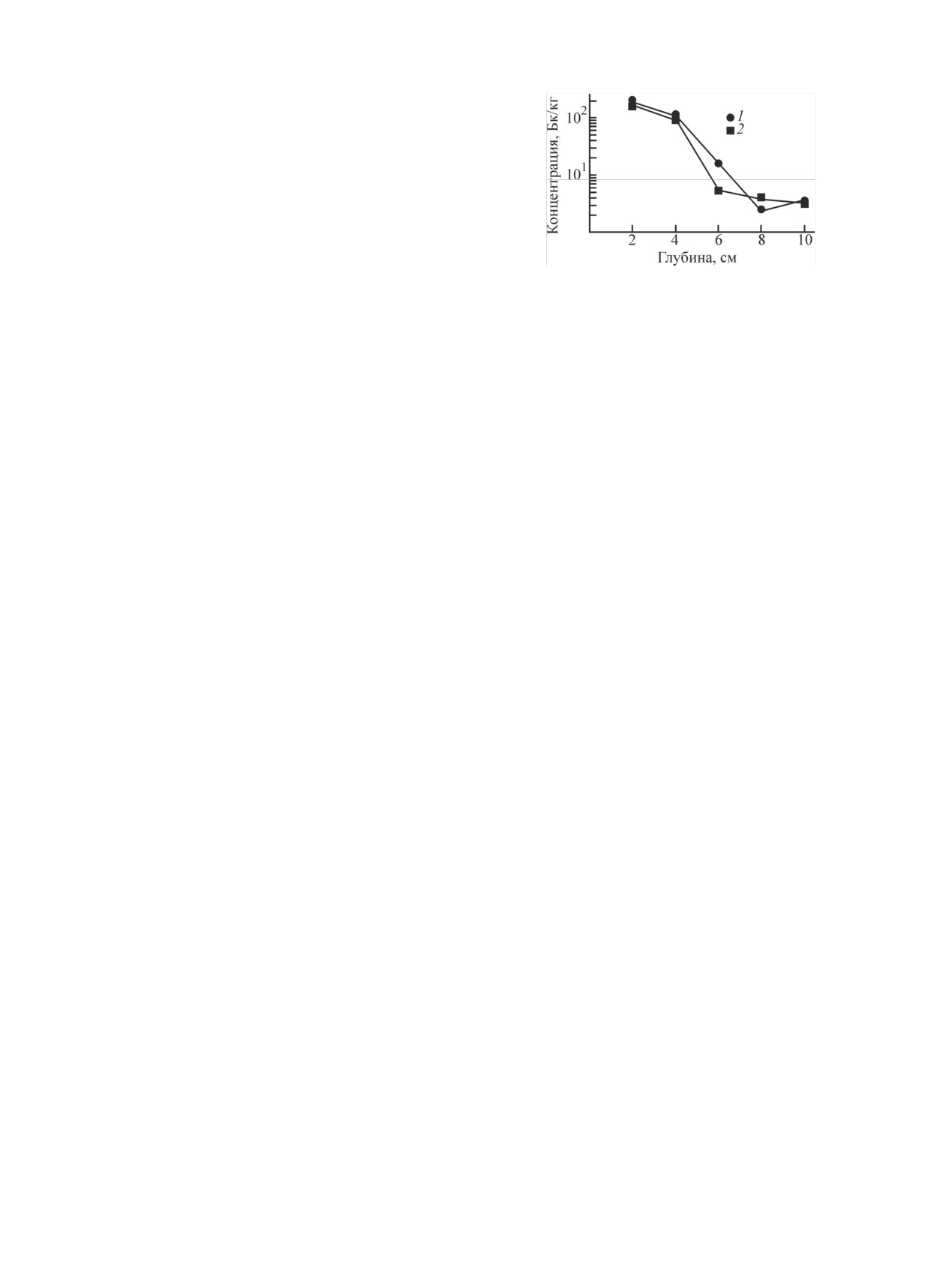
Рис. 1. Профиль 5-летней миграции «чернобыльского» 137Cs в
паратов 137Cs составила 0.2 Бк/проба, а относитель-
ДО озер [8]. 1 - оз. Ставсватн, 2 - оз. О. Неадалсватн.
ная ошибка их измерений не превышала 30%.
Результаты и обсуждение
При низкой седиментации (<1-2 мм/год), свойст-
венной олиготрофным озерам, и высоких коэффици-
ентах распределения Kd 137Cs в системе вода-донные
отложения (103-105 л/кг) его накопление в грунтах
дна на длительное время определяет загрязнение во-
доема. Миграция 137Cs прослеживалась в толще ДО
озер (рис. 1, 2) на глубину 11 и 16 см. Тренд «чер-
нобыльского» 137Cs в профиле ДО отражает умень-
Рис. 2. Профиль 12-летней миграции «чернобыльского» 137Cs в
шение концентрации от поверхностных слоев грунта
ДО озер [9]. 1 - оз. Сииккаярви, станция 1; 2 - оз. Вехкаярви,
к глубже лежащим слоям.
станция 1.
86
Н. А. Бакунов и др.
значения C0 и h для отдельных озер приведены ниже.
Для озера альпийского типа Ставсватн (Stavsvatn)
[8] значение С0 равно 1328.8 Бк/кг сухой массы. Слой
h составил 2.1 см. Значения С0 и h для озера О. Не-
адалсватн (O. Neadalsvatn) равны 1244 Бк/кг и 1.2 см
соответственно. Усредненное значение h для этих
озер 1.7 ± 0.6 см. По показателю h озера различались
в ~1.7 раза. За 5 лет экспозиции 137Cs (1986-1991 гг.) в
ДО озер альпийского типа проявились различия в
скорости его миграции в толщу донных отложений.
Рис. 3. Профиль 137Cs в донных отложениях Ладожского оз.
Станция: 1 - 56, 2 - 55.
При большей средней глубине и времени обмена вод
(см. таблицу) оз. Ставсватн характеризовалось более
составляло 14000-20000 Бк/кг сухой массы, то в ДО
медленной миграцией 137Cs в толщу донных отложе-
Ладожского оз. оно не превышало 200 Бк/кг [10]. На
ний, чем оз. О. Неадалсватн. Породы берегов этих
рис. 3 представлен тренд снижения 137Cs в профиле
озер - граниты и гнейсы [8] - устойчивы к выветрива-
ДО Ладожского оз. Пробы ДО (2008 г.) взяты из рав-
нию. Поэтому поступление в водоемы продуктов эро-
нинного участка дна центрального района водоема с
зии берегов было крайне низким и не могло вносить
глубины 67 м. В ДО станций 55 и 56 следовые коли-
значительного вклада в поглощение из воды 137Cs
чества 137Cs в количестве 3 Бк/кг прослеживались до
терригенной взвесью. В финских озерах [9] Вехкаяр-
глубины 8-10 см [10]. В профиле ДО Ладоги (рис. 3)
ви (Vehkajärvi) и Сииккаярви (Siikkajärvi) отбор ДО
сохранялась ранее наблюдаемая тенденция (рис. 1, 2)
проводили на станциях, различающихся глубинами 7,
уменьшения содержания 137Cs от поверхности к ниж-
15 и 5, 11 м соответственно. Озера Вехкаярви и Сиик-
ним слоям колонки донного грунта. Слой полупотерь
каярви характеризовались низкой седиментацией -
h 137Cs (станции 55 и 56) составил 1.2 см. На глубоких
0.6 и 1.8 мм/год соответственно [6]. Концентрации
станциях при низкой температуре дна
3.5-4.0°С
137Cs в ДО понижались от верхних слоев колонки к
уменьшается скорость диффузии 137Cs в донных от-
нижним слоям (рис. 2). Для озера Вехкаярви парамет-
ложениях. В опытах работы [14] с уменьшением тем-
ры уравнения (1) (станция 1, Н = 15 м) составили С0 =
пературы дна на 10°С коэффициенты диффузии 137Cs
13572 Бк/кг сухой массы и h = 2.1 см. Для станции 2
уменьшались в 2-2.5 раза. Низкие температуры спо-
(Н = 7 м) С0 = 35000 Бк/кг сухой массы и h = 1.5 см.
собствовали сохранению загрязнения верхнего слоя
Среднее значение h для двух станций равно 1.8 ± 0.4
донных отложений Ладоги цезием-137. Поэтому в
см. Для проб ДО, отобранных с глубин 5 и 11 м в оз.
профиле ДО (рис. 3) основной запас 137Cs приходится
Сииккаярви, показатель h составил 2.3 и 1.5 см при
на приповерхностный слой 0-4 см. Вид профиля 137Cs
среднем 1.90 ± 0.6 см. Несмотря на значительное раз-
в ДО олиготрофных озер (рис. 1-3) и наличие гради-
личие в морфогидрологических характеристиках оз.
ента концентрации между слоями ДО позволяли до-
Вехкаярви и Сииккаярви (см. таблицу), миграция 137Cs
пустить, что ведущим механизмом миграции 137Cs в
в толщу ДО этих водоемов осуществлялась с неболь-
толщу ДО является диффузия. В однородной среде
шим различием в скорости: показатель h изменялся в
поток диффундирующих ионов подчиняется распре-
узких пределах. В то же время в оз. Сииккаярви с пе-
делению Гаусса [15, 16]. Расчет коэффициента диф-
реходом от бентали водоема (Н = 11 м) к его литора-
фузии D [16] в донных отложениях озер выполнен с
ли величина h уменьшилась с 2.30 до 1.5 см. От глу-
использованием выражения
боководных районов озер к мелководью содержание
D = b/[(lnε)·4t],
(2)
наиболее тонких гранулометрических частиц ила,
глины в ДО снижается, а более грубых - возрастает
где b = x2 - x2; ε = С1/С2; D - коэффициент диффузии,
[10]. Для ДО оз. Вехкаярви и Сииккаярви наблюдается
см2/с; х1 и х2 - произвольно взятые слои профиля
лишь тенденция увеличения слоя полупотерь h с по-
концентраций 137Cs с отметкой слоя, см; С1 и С2 -
вышением средних глубин водоемов и времени обме-
концентрации 137Cs, соответствующие слоям х1 и х2;
на вод. В целом глубина миграции 137Cs в ДО озер
t - время миграции, с.
ограничилась слоями 14-16 и 16-18 см. Загрязнение
Значение коэффициента диффузии (см. таблицу)
дна финских озер [6] «чернобыльским» 137Cs сложи-
выше для оз. Ставсватн, чем для оз. О. Неадалсватн.
лось при выпадении на побережье 51 и 59 кБк/м2. На
По-видимому, в оз. Ставсватн в условиях замедленно-
юге Карельского перешейка в пункте Зеленогорск
го обмена вод свойства грунтов могли отличаться от
выпадения 137Cs не превышали 5.4 кБк/м2 [12, 13]. Из-
таковых оз. О. Неадалсватн. Кроме температуры на
за большего выпадения 137Cs на финские озера, чем
диффузию 137Cs влияют дисперсность грунта и влаж-
на Ладогу, уровни 137Cs в поверхностном слое ДО
ность [14-16]. Сведений об этих характеристиках дон-
сильно различались. Если в поверхностном слое (0-2
ных отложений в работе [8] нет. Априори можно ут-
см) ДО оз. Вехкаярви [9] содержание 137Cs в 2003 г.
верждать, что в озере с более быстрым обменом вод
137Cs в донных отложениях олиготрофных озер
87
есть условия к большей потере тонкодисперсных
зок к таковому для донных отложений оз. О. Неадал-
фракций седиментов и обеднению ими грунтов озер-
сватн (рис. 1, 3).
ной котловины.
Диффузия 137Cs в верхнем слое ДО изучаемых
Многолетняя (1986-2002 гг.) диффузия 137Cs в
олиготрофных озер протекала в окислительных ус-
ДО оз. Вехкаярви и Сииккаярви характеризовалась
ловиях среды. В ДО Ладоги [17] для 6 колонок из 8
близкими значениями D (см. таблицу). Расчеты ко-
отметка положения редокс-потенциала приходилась
эффициентов диффузии 137Cs показали, что коэффи-
на слой 6-7 см. Смена в ДО олиготрофных озер
циенты увеличиваются от поверхностного слоя ко-
окислительных условий на восстановительные не
лонки (~0-2 см) к нижележащим слоям от n·10-9 до
влияла на миграцию 137Cs. Тренд уровней 137Cs в ДО
n·10-8 см2/с. Ранее [14] увеличение коэффициента D
озер (рис. 1-3) не нарушался по мере миграции 137Cs
с глубиной слоев ДО отмечались в мелководных
в толщу донного грунта.
(Н = 2 м) эвтрофных озерах южного Урала. Коэффи-
В оз. Вехкаярви и Сииккаярви, обладающих низ-
циент диффузии 137Cs в ДО оз. Вехкаярви (станция
ким накоплением осадков (≤1.8 мм/год), «черно-
1) изменялся от 0.8·10-8 до 9.2·10-8 см2/с при среднем
быльский» 137Cs в течение 17 лет мигрировал в ДО
(3.9 ± 2.9)·10-8 см2/с. Для станции 2 этого озера коэф-
водоемов по механизму диффузии. Для озер с боль-
фициент D составил (3.5 ± 2.5)·10-8 см2/с.
шей седиментацией взвесей и более длительной экс-
В ДО оз. Сииккаярви (станция 1) интервал D со-
позицией 137Cs в водоеме допускалось наличие сме-
ставил 0.7·10-8-4.9·10-8 см2/с при среднем
(2.0
±
шанного механизма загрязнения толщи ДО. С увели-
1.1)·10-8 см2/с. Среднее значение D для двух станций
чением времени экспозиции 137Cs в водоемах над
равно (3.0 ± 1.3)·10-8 см2/с. В опытах с донными от-
слоем первоначального накопления
«чернобыль-
ложениями [14] и почвами [15] коэффициенты диф-
ского» 137Cs формируется слой с низким содержани-
фузии 137Cs возрастали с увеличением влажности
ем 137Cs. Такой слой образуется за счет естественно-
образцов. Коэффициент диффузии 137Cs при влажно-
го поступления седиментов с 137Cs и сорбции радио-
сти почвы 40% достигал 0.5·10-7 см2/с [15].
нуклида из воды грунтами дна.
Ситуация с загрязнением дна Ладожского оз.
Влияние длительной экспозиции (31 год) «чер-
137Cs принципиально отличается от таковой для
нобыльского» 137Cs в водоеме на загрязнение его дна
финских и норвежских озер. В них уровень глобаль-
изучалось на примере оз. Суходольского (60°41'
ного 137Cs был незначительным и не влиял на расчет
с.ш., 30°03' в.д.), расположенного на Карельском
коэффициента диффузии с помощью выражения (2).
перешейке. Колонка ДО взята с глубины 8 м, на ко-
Уровни выпадения глобального и «чернобыльского»
торую приходится значительная площадь дна озер-
137Cs на Ладожское оз. находились в соотношении,
ной котловины. Оз. Суходольское площадью 44.4 км2
близком к 1 : 1 [13]. Между датами поступления ра-
питается водами р. Вуокса и имеет сток по р. Бурная.
дионуклидов водоем разрыв составляет 22 года. Ком-
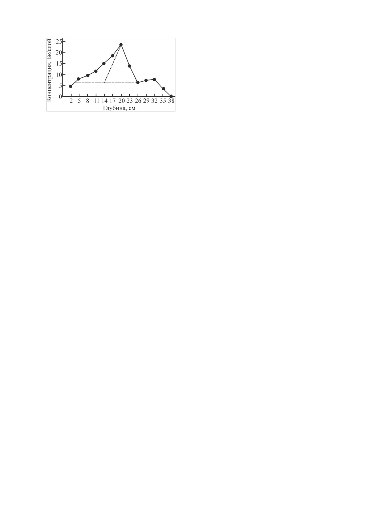
На рис. 4 представлены наши результаты послойно-
бинированное загрязнение 137Cs озера и неодинаковое
го определения 137Cs в колонке ДО. Колонку ДО, за
время поступления радионуклидов в водоем не по-
исключением верхнего слоя грунта (0-2 см), разде-
зволяют корректно определить коэффициент диффу-
ляли на секции с шагом 0-3 см. Определяли массу
зии для всего профиля ДО по формуле (2). Однако
каждого слоя. Результаты измерений препаратов
для слоя ДО (0-2 см) приближенная оценка D
137Cs на рис. 4 даны в расчете на сухую массу слоя.
«чернобыльского» 137Cs возможна на основе следую-
Профиль уровней 137Cs в ДО оз. Суходольского от-
щих допущений. За 44 года (1964-2008 гг.) часть гло-
личается от таковых на рис. 1-3 наличием двух мак-
бального 137Cs в слое 0-2 см распалась, часть мигри-
симумов концентрации 137Cs на отметках середины
ровала за пределы слоя. Кроме того, сам слой сфор-
слоев 18.5 и 30.5 см соответственно. Первый пик
мировался за счет седиментов (~0.5 мм/год), когда
относится к выпадениям «чернобыльского» 137Cs на
уровни глобального 137Cs в воде были низкими. По-
водоем в 1986 г. При экспозиции 31 год скорость
этому можно допустить, что в поверхностном слое
седиментации составила 0.6 см/год. Второй пик 137Cs
0-2 см преимущественно находится «чернобыль-
на отметке 30.5 см связан с поступлением в озеро
ский» 137Cs. Для станции 55 (Н = 67 м) в слоях ДО 0-
глобального радионуклида в 1961-1964 гг. Седимен-
2 и 2-4 см уровни 137Cs составили 177 и 90 Бк/кг [10].
тация, оцениваемая по глобальному 137Cs, составила
В расчете по уравнению (1) отметки глубины слоев
0.58 см/год при времени экспозиции 53 года. Рас-
взяты как 1 и 3 см. По расчету коэффициент D «чер-
стояние между пиками 137Cs разного генезиса соста-
нобыльского» 137Cs равен 4.3·10-9 см2/с. Для станции
вило 12 см. Высота пика (рис. 4) «чернобыльского»
56 при содержании 137Cs в упомянутых слоях 190 и
137Cs в ~3 раза выше глобального радионуклида.
111 Бк/кг соответственно D = 5.9·10-9 см2/с. Эти зна-
Введение поправки на распад глобального 137Cs к
чения коэффициента диффузии близки к таковым
дате наблюдений за «чернобыльским» радионукли-
(n·10-9 см2/с) для поверхностного слоя озер Вехкаяр-
дом (2017 г.) уменьшает величину соотношения до
ви и Сииккаярви. В целом вид тренда уровней 137Cs
1.3 раза. Большее выпадение на водосбор оз. Сухо-
в ДО Ладоги, взятых с глубины 67 м, наиболее бли-
дольского «чернобыльского» 137Cs по сравнению с
88
Н. А. Бакунов и др.
коэффициентами от n·10-9 до n·10-8 см2/с при средних
значениях (2-4)·10-8 см2/с. В озерах с низкой седимен-
тацией (≤1.8 мм/год) изменения содержания 137Cs в
донных отложений оценивались слоем полупотерь h
(см), в котором содержание 137Cs снижалась в два
раза. Миграция 137Cs в ДО озер на глубину 14-16 см
характеризовалась слоем полупотерь h от 1.2 до 2.3 см.
Для алевритовых илов с Ладожского озера, взятых с
глубины 67 м, слой полупотерь h составил 1.2 см.
Низкие температуры придонных вод бентали озера и
Рис. 4. Профиль 137Cs в донных отложениях Суходольского оз.
грунтов дна снижали скорость миграции 137Cs. Про-
филь ДО 4 олиготрофных озер с «чернобыльским»
глобальным отразилось на величине отношения ра-
137Cs не содержал подповерхностного максимума его
дионуклидов в грунтах дна. Отсутствие пика «чер-
концентрации при времени миграции в водоемах 5 и
нобыльского» 137Cs в профиле ДО олиготрофных
12 лет. При экспозиции 31 год 137Cs в оз. Суходоль-
озер (рис. 1-3) обусловлено медленной диффузией
ское и повышенной седиментации (0.6 см/год) в про-
радионуклида, низким седиментогенезом (≤1.8 мм/
филе ДО озера на отметках 18.5 и 30.5 см наблюда-
год) и короткой (5, 17 лет) экспозицией в водоемах.
лись пики концентрации «чернобыльского» и гло-
В ДО оз. Суходольского профиль концентраций
бального 137Cs соответственно. Характеристики ми-
137Cs асимметричен из-за продолжающегося поступ-
грации 137Cs - слой полупотерь h и коэффициент диф-
ления на дно водоема седиментов с низким содержа-
фузии D - можно использовать в оценках очищения
нием 137Cs. Их в озеро поставляют воды р. Вуокса и
донных отложений олиготрофных озер в ситуации с
поверхностный сток. Приближенно вклад седиментов
поступлением 137Cs в водоемы воздушным путем.
в загрязнение дна «чернобыльским» 137Cs можно оце-
нить по допущению ведущей роли диффузии в фор-
Список литературы
мировании уровней 137Cs в ДО водоема. На миграцию
[1] Маргулис У. Я. Атомная энергия и радиационная безопас-
«чернобыльского» 137Cs по диффузионному механиз-
ность. М.: Энергоатомиздат, 1983. 160 с.
[2] Mahura A., Baklanov A., Rigina O. Y. et al. // 5th Int. Conf.
му указывает наличие градиента концентрации в вос-
on Environmental Radioactivity in the Arctic and Antarctic.
ходящем и нисходящем направлениях от слоя (17-
St. Petersburg, 2002. P. 119-123.
20 см) максимального содержания 137Cs. Потоку диф-
[3] Бакунов Н. А., Саватюгин Л. М., Фролов И. Е. // Арктика:
фундирующих ионов свойственно распределение Га-
экология и экономика. 2011. N 1. С. 82-93.
усса. Поэтому левая (восходящая) ветвь будет удалена
[4] Saxen R., Koskelainen U. Radioactivity of Surface Water and
Freshwater Fish in Finland in 1988-1990: Suppl. 6 to Annual
от моды распределения (слой 17-20 см) на такое же
Report STUK-A94.
расстояние, как и нисходящая правая. Ее ожидаемое
[5] АМАР Assessment 2009: Radioactivity in the Arctic. Oslo,
положение относительно моды распределения на
2010. Р. 35-38.
рис. 4 обозначено пунктиром. Область переноса 137Cs
[6] Ilus E., Saxen R. // J. Environ. Radioact. 2005. Vol. 82.
P. 199-221.
в ДО по механизму диффузии занимает лишь часть
[7] Brittain J. E., Borgstrom R. // Hydrobiologia. 2010. Vol. 642.
общего поля миграции. Тогда по разности вклад седи-
P. 5-15.
ментов в загрязнение дна «чернобыльским» 137Cs ра-
[8] Wathne B. M., Patrick S. T., Monteith D., Barth H. Acidification
вен 43%. По теоретическим оценкам [18], при коэф-
of Mountain Lakes: Palaeolimnology and Ecology (AL:PE 1
Report). Eur. Commission Report EUR 16129 EN. 1995.
фициенте диффузии примеси 0.75·10-7 см2/с и скоро-
[9] Saxen R., Ilus E. // Sci. Total Environ. 2008. Vol. 394. P. 349-360.
сти седиментации ≥1.0 см/год осаждение взвесей в
[10] Большиянов Д. Ю., Бакунов Н. А., Макаров А. С. // Лито-
водоеме становится ведущим механизмом очищения
логия и полезные ископаемые. 2014. N 2. С. 178-185.
вод и загрязнения дна. Для оз. Суходольского при се-
[11] Бакунов Н. А., Большиянов Д. Ю., Макаров А. С. // Радио-
химия. 2017. Т. 59, N 5. С. 475-480.
диментации 0.6 см/год наличие смешанного механиз-
[12] Бакунов Н. А., Большиянов Д. Ю., Макаров А. С. // Вод.
ма загрязнения дна водоема «чернобыльским» 137Cs
ресурсы. 2012. Т. 39, N 5. С. 521-529.
является ожидаемым, так как в озеро поступают взве-
[13] Гритченко З. Г., Иванова Л. М., Тишков В. П., Цвет-
си с водами р. Вуоксы и продуктами абразии берегов.
ков О. С. // Радиохимия. 2001. Т. 43, N 3. С. 281-284.
[14] Сафронова Н. Г., Питкянен Г. Б., Погодин Р. И. // Проб-
Таким образом, нами изучена миграция 137Cs в тол-
лемы радиоэкологии водоемов-охладителей атомных элек-
щу донных отложений (ДО) олиготрофных озер Скан-
тростанций. Свердловск: УрО АН СССР, 1978. С. 95-98.
динавского п-ова и Карельского перешейка со средни-
[15] Прохоров В. М. Миграция радиоактивных загрязнений в
почвах. Физико-химические механизмы и моделирование.
ми глубинами от 3.9 до 47 м в целях определения ско-
М.: Энергоиздат, 1981. 96 с.
рости очищения ДО от 137Cs и выяснения механизма
[16] Поляков Ю. А. Радиоэкология и дезактивация почв. М.:
его миграции. Уровни 137Cs в профиле ДО олиготроф-
Атомиздат, 1970. 304 с.
[17] Семенович Н. И. Донные отложения Ладожского озера.
ных озер постепенно снижались от поверхностных
М.; Л., Наука, 1966. 124 с.
слоев грунта в толщу отложений. 137Cs мигрировал в
[18] Сухоручкин А. К. // Метеорология и гидрология. 1985.
ДО озер в течение 5-17 лет по механизму диффузии с
N 7. С. 76-81.