ЖЭТФ, 2022, том 161, вып. 2, стр. 281-295
© 2022
ПРОБЛЕМА ПОВЫШЕНИЯ РАБОЧЕЙ ЧАСТОТЫ
В ЧЕРЕНКОВСКИХ ПЛАЗМЕННЫХ ИСТОЧНИКАХ
ЭЛЕКТРОМАГНИТНОГО ИЗЛУЧЕНИЯ
И. Н. Карташов*, М. В. Кузелев**
Московский государственный университет им. М. В. Ломоносова
119991, Москва, Россия
Поступила в редакцию 15 сентября 2021 г.,
после переработки 11 октября 2021 г.
Принята к публикации 11 октября 2021 г.
Исследована возможность повышения рабочей частоты существующих плазменных черенковских СВЧ-
излучателей на релятивистских электронных пучках большой плотности. Рассмотрены высокочастот-
ная и низкочастотная поверхностные волны незамагниченной трубчатой плазмы большой плотности в
волноводе и определены условия их возбуждения электронными пучками. Вычислены коэффициенты
пространственного усиления поверхностных волн в режимах одночастичного и коллективного эффектов
Черенкова. Получены нелинейные уравнения пространственного усиления волн и рассчитаны эффектив-
ности усиления поверхностных волн. Показано, что повышение на порядок рабочей частоты действующих
плазменных излучателей вполне реально и достигается всего лишь повышением плотности используемой
плазмы.
DOI: 10.31857/S0044451022020134
В настоящее время обсуждается возможность со-
здания существенно более высокочастотных плаз-
менных излучателей с рабочей частотой ω ∼ 1012
1. ВВЕДЕНИЕ
рад/c и больше. Повышение рабочей частоты в реа-
лизованных на сегодняшний день плазменных излу-
В плазменной СВЧ-электронике в качестве
чателях неизбежно влечет за собой использование
электродинамических систем применяются отрезки
более плотной плазмы, что приводит к необходи-
плазменных волноводов с излучателем на одном
мости изменения основных теоретических моделей
из торцов. В успешно реализованных на сегодняш-
плазменной СВЧ-электроники. Во-первых, плотную
ний день плазменных излучателях (усилителях и
плазму замагнитить сложно, поскольку требуется
генераторах) используется замагниченная плазма
создание очень сильного внешнего магнитного поля
трубчатой геометрии. Работают такие излучатели
в достаточно большом объеме плазменного волново-
в СВЧ-диапазоне, т. е. на частотах ω порядка
да. Поэтому приходится исходить из того, что плаз-
1010-1011 рад/c. Отличительной особенностью
ма является слабо замагниченной (или вообще неза-
плазменных излучателей является то, что их
магниченной) [8-10]. Традиционно в большинстве
рабочая частота сопоставима с электронной ленг-
теоретических исследований, посвященных расчету
мюровской частотой плазменного заполнения, т. е.
конкретных плазменных излучателей, плазма пред-
ωp ∼ α·(1010-1011) рад/c, где α — несколько единиц
полагалась замагниченной полностью [2,11]. Во-вто-
[1-3]. По спектру выходного сигнала плазменные
рых, глубина проникновения поперечного электро-
СВЧ-источники работают как в режиме генерации
магнитного поля в плотную незамагниченную плаз-
[4] и усиления [5] монохроматического сигнала с пе-
му может оказаться меньше ее толщины, реализу-
рестраиваемой частотой, так и в режиме усиления
емой в плазменных излучателях с трубчатой плаз-
шумов [6,7].
мой. Поэтому оказывается неприменимой традици-
онно и эффективно используемая при расчетах при-
* E-mail: igorkartashov@mail.ru
боров плазменной СВЧ-электроники модель беско-
** E-mail: kuzelev@mail.ru
нечно тонкой плазмы [11-13]. Электромагнитные
281
9
ЖЭТФ, вып. 2
И. Н. Карташов, М. В. Кузелев
ЖЭТФ, том 161, вып. 2, 2022
свойства волн в слоистых структурах с изотроп-
εij(ω, r) = εp(ω, r)δij, i, j = r, ϕ, z,
(4)
ной плазмой и в магнитоактивной плазме газового
εp(ω, r) = 1 - ω2p(r)/ω2 (столкновениями и тепло-
ВЧ-разряда, их возбуждение внешней неоднородной
вым движением электронов пренебрегаем, движе-
электромагнитной волной и спиральными антенна-
ние ионов не учитываем). Из уравнений Максвелла
ми рассматривалось в [14, 15]. Настоящее исследо-
с тензором диэлектрической проницаемости (4) сле-
вание в первую очередь направлено на учет конеч-
дует уравнение для комплексной амплитуды E(r) в
ности толщины трубчатой плазмы в традиционных
формуле (3):
схемах плазменной СВЧ-электроники при условии,
что плазма является незамагниченной.
(
)
1
d
εp(ω, r) dE
В любом из известных черенковских плазменных
r
-
r dr
χ2(ω, r) dr
излучателей обязательно имеется некоторое внеш-
εp(ω, r) l2
нее магнитное поле, необходимое для получения
-
E - εp(ω,r)E = 0,
(5)
и транспортировки сильноточного релятивистско-
χ2(ω, r) r2
го электронного пучка. Незамагниченность плазмы
где χ2(ω, r) = k2z - εp(ω,r)ω2/c2. В дальнейшем
предполагает выполнение неравенств
рассматривается азимутально симметричный слу-
Ω2e ≪ ω2, Ωeω2p ≪ ω3,
(1)
чай l = 0.
Пусть трубчатая плазма с постоянной плотно-
второе из которых, с учетом того, что ω и ωp од-
стью расположена в области r ∈ [r1, r2]. Уравнение
ного порядка, фактически эквивалентно первому.
(5) справедливо как в плазме, так и в вакуумных об-
Здесь Ωe — электронная циклотронная частота. Чем
ластях волновода r ∈ [0, r1) и r ∈ (r2, R), где R — ра-
плотнее плазма, тем выше частота ω и тем лучше
диус волновода. Непосредственно из уравнения (5)
выполняются неравенства (1). Напротив, плотности
получаются следующие граничные условия на гра-
используемых в плазменных излучателях электрон-
ницах трубчатой плазмы:
ных пучков малы по сравнению с плотностями плаз-
мы. Поэтому, предполагая выполненными неравен-
{ εp(ω, r) dE}
{E}r=r1,2 = 0,
= 0,
(6)
ства
χ2(ω, r) dr
r=r1,2
Ω2e ≫ ω2bγ-3, |δku|2,
(2)
причем в вакуумных областях εp(ω, r) = 1, а в облас-
δb < c/ωb,
ти плазмы εp(ω, r) = εp = 1-ω2p/ω2 с постоянной ωp.
электронный пучок считаем бесконечно тонким и
Еще одно граничное условие E(R) = 0 записывается
полностью замагниченным. Здесь ωb — ленгмюровс-
на идеально проводящей границе волновода.
кая частота электронов пучка, u — их скорость, γ =
Плотность тока бесконечно тонкого трубчато-
= (1 - u2/c2)-1/2, δb — толщина трубчатого пучка, а
го замагниченного электронного пучка определим
δk — пространственный инкремент резонансной че-
формулой
ренковской пучково-плазменной неустойчивости.
jz(t, z, r) = δbδ(r - rb)jb(t, z; rb),
(7)
2. ОПИСАНИЕ МОДЕЛИ
где jb(t, z; rb) — функция, для нахождения которой
требуются уравнения динамики пучка, а параметри-
Рассмотрим взаимодействие прямолинейного
ческая зависимость от радиуса трубчатого пучка rb
электронного пучка с волной E-типа волновода
обусловлена тем, что на электроны пучка действует
кругового поперечного сечения, в котором нахо-
поле (3) именно в точке r = rb. Наличие в волно-
дится радиально неоднородная плазма. Направим
воде тока с плотностью (7) приводит к следующему
ось z вдоль оси волновода, совпадающей с направ-
скачку азимутальной составляющей индукции маг-
лением движения пучка, и определим продольную
нитного поля волны:
составляющую напряженности электрического поля
4π
формулой
{Bϕ(t, z, r)}r=r
=
δbjb(t, z; rb).
(8)
b
c
1
Ez(t, z, r) =
[E(r) exp(-iωt+ikzz+ilϕ) + c.c.] , (3)
Азимутальная составляющая индукции магнитного
2
поля определяется формулой вида (3) с комплекс-
где r, ϕ, z — цилиндрические координаты, l
=
ной амплитудой
= 0, 1, . . . — номер азимутальной моды. Тензор ди-
электрической проницаемости плазмы возьмем в ви-
ω dE
B(r) = -iεp(ω, r)
(9)
де [16]
cχ2(ω, r) dr
282
ЖЭТФ, том 161, вып. 2, 2022
Проблема повышения рабочей частоты...
Подставляя формулу вида (3) с комплексной ампли-
χ2p = k2z - εpω2/c2, а A, B, C, D — постоянные. Под-
тудой (9) в (8) и считая, что электронный пучок про-
становка (13) в граничные условия (6) приводит к
ходит по одной из вакуумных областей волновода,
следующей системе уравнений:
находим следующие граничные условия для функ-
AI0(χ0r1) - BI0(χpr1) - CK0(χpr1) = 0,
ции E(r) на электронном пучке:
χpAI1(χ0r1) - εpχ0 (BI1(χpr1) -
}
{ dE
4πi
{E}r=r
= 0,
=
δbχ20 〈jb(rb)〉 ,
(10)
- CK1(χpr1)) = 0,
b
dr
ω
(15)
r=rb
BI0(χpr2) + CK0(χpr2) - DF0(χ0r2) = 0,
где
εpχ0 (BI1(χpr2) - CK1(χpr2)) -
) = 0,
-χpDF1(χ0r2
∫
ω
где
〈jb(rb)〉 =
jb(t, z; rb)exp(iωt - ikzz) dt
(11)
π
0
K0(χ0R)
F1(χ0r) = -K1(χ0r) - I1(χ0r)
(16)
I0(χ0R)
— пространственно-временная фурье-гармоника
плотности тока пучка, χ20
= k2z - ω2/c2. В (10)
Равенство нулю определителя системы (15) дает
добавлено очевидное условие непрерывности на
дисперсионное уравнение для определения спектров
электронном пучке самой функции E(r). В линей-
частот плазменного волновода. Запишем его в ви-
ном приближении для вычисления функции (11)
де [16, 17]
можно воспользоваться известным выражением
для проводимости пучка электронов, полученным в
D0(ω, kz) ≡ εpχ0S1I0(χ0r1)-χpS0I1(χ0r1) = 0, (17)
гидродинамической модели [11, 16], что дает
где
4πi
ω2bγ-3
〈jb(rb)〉 = -
E(rb).
(12)
ω
(ω - kzu)2
S0 = εpχ0F0(χ0r2)×
× (I0(χpr1)K1(χpr2) + K0(χpr1)I1(χpr2)) +
Процедура вычисления функции (11) в нелинейной
+χpF1(χ0r2)×
теории будет описана ниже.
× (I0(χpr1)K0(χpr2) - K0(χpr1)I0(χpr2)) ,
(18)
S1 = εpχ0F0(χ0r2)×
× (I1(χpr1)K1(χpr2) - K1(χpr1)I1(χpr2)) +
3. ОСОБЕННОСТИ ПОВЕРХНОСТНЫХ
ВОЛН ВОЛНОВОДА С
+χpF1(χ0r2)×
НЕЗАМАГНИЧЕННОЙ ТРУБЧАТОЙ
× (I1(χpr1)K0(χpr2) + K1(χpr1)I0(χpr2)) .
ПЛАЗМОЙ
Полагая далее A = 1, из первых трех уравнений
Перейдем теперь к выводу дисперсионного урав-
системы (15) получаем следующие выражения для
нения и формулы для собственной функции E(r)
постоянных B, C, D:
волн плазменного волновода с трубчатой незамагни-
(
ченной плазмой конечной толщины. Наличие пучка
χ
B=χpr1
I1(χ0r1)K0(χpr1) +
пока не учитываем. Ограниченное при r = 0 реше-
χ0εp
)
ние уравнения (5) запишем в виде
+ I0(χ0r1)K1(χpr1)
,
(
E(r) =
χ
⎧
C =χpr1
-
I1(χ0r1)I0(χpr1) +
(19)
χ0εp
⎨
AI0(χ0r),
r<r1,
)
BI0(χpr) + CK0(χpr), r1 < r < r2,
(13)
+ I0(χ0r1)I1(χpr1)
,
=⎪⎩
DF0(χ0r),
r2 < r < R,
I0(χpr2)
K0(χpr2)
D=B
+C
где
F0(χ0r2)
F0(χ0r2
)
K0(χ0R)
Последние формулы вместе с формулой (13) опреде-
F0(χ0r) = K0(χ0r) - I0(χ0r)
,
(14)
ляют собственные функции плазменного волновода.
I0(χ0R)
283
9*
И. Н. Карташов, М. В. Кузелев
ЖЭТФ, том 161, вып. 2, 2022
Рис. 1. Частоты поверхностных волн трубчатой плазмы
«малой» плотности в волноводе. Штриховая линия — све-
товая прямая ω = kz c
Рассмотрим характерные численные примеры.
Зафиксируем следующие параметры плазменного
волновода: R = 2 см, r1 = 1 см, r2 = 1.2 см, а
плазму сначала возьмем небольшой плотности ωp =
= 30·1010 рад/с. Дисперсионные кривые ω(kz) плаз-
менных волн в области ω < kzc представлены на
рис. 1. Видны две дисперсионные кривые, соответ-
ствующие двум поверхностным волнам трубчатой
Рис. 2. Собственные функции высокочастотной (а) и низ-
плазмы. Верхняя кривая в неинтересующую нас об-
кочастотной (б) поверхностных волн в случае плазмы «ма-
ласть ω > kzc не продолжена.
лой» плотности
Поверхностные волны, дисперсионные кривые
которых представлены на рис. 1 и которые будем на-
зывать низкочастотной и высокочастотной поверх-
ностными волнами, различаются своими собствен-
ными функциями E(r). Собственная функция вы-
сокочастотной поверхностной волны, рассчитанная
в точке ω = 17 · 1010 рад/с и kz = 6.72 см-1 диспер-
сионной кривой, представлена на рис. 2а. Из приве-
денного рисунка следует, что поляризованная плаз-
ма в высокочастотной поверхностной волне являет-
ся двойным слоем, в котором заряды на внутренней
и внешней границах плазменной трубки противопо-
ложны. На следующем рис. 2б изображена собствен-
ная функция низкочастотной поверхностной волны
в точке ω = 17 · 1010 рад/с и kz = 8.99 см-1. Из
этого рисунка следует, что в низкочастотной поверх-
Рис. 3. Частоты поверхностных волн трубчатой плазмы
ностной волне плазменная трубка поляризована как
«большой» плотности в волноводе
простой слой.
В интересующем нас случае более плотной плаз-
мы (ωp = 130 · 1010 рад/с) наблюдается существен-
ку в случае плотной плазмы глубина проникновения
ная особенность — разница между частотами высо-
поля в плазму меньше толщины плазмы (c/ωp ≈
кочастотной и низкочастотной поверхностных волн
≈ 0.02 см, δp = r2 -r1 = 0.2 см), заряды на противо-
стала весьма малой (рис. 3), что и понятно. Посколь-
положных границах плазменной трубки мало влия-
284
ЖЭТФ, том 161, вып. 2, 2022
Проблема повышения рабочей частоты...
Рис. 5. Частоты одночастичного черенковского резонанса
пучка с поверхностными волнами волновода с незамагни-
ченной трубчатой плазмой
частичного вынужденного эффекта Черенкова [18]).
На рис. 5 приведены зависимости x этих частот для
волновода с указанными выше радиусами и пучка со
скоростью u = 2.6·1010 см/с от плазменной частоты.
Из рис. 5 следует, что с точки зрения выпол-
нимости условий черенковского резонанса различий
между высокочастотной и низкочастотной поверх-
Рис. 4. Собственные функции высокочастотной (а) и низ-
ностными волнами волновода с плотной трубчатой
кочастотной (б) поверхностных волн в случае плазмы
плазмой фактически нет. Однако считать, что при
«большой» плотности
увеличении плотности плазмы неустойчивости на
этих волнах сливаются в некую единую неустойчи-
вость, нельзя. Дело в том, что у высокочастотной
ют друг на друга. Поэтому характер поляризации
и низкочастотной поверхностных волн существенно
плазмы не имеет большого значения.
различаются собственные функции (рис. 4). Поэто-
му возбуждается электронным пучком всегда толь-
Существенные изменения при большой плотнос-
ко какая-то одна волна. Если пучок проходит внут-
ти плазмы наблюдаются и в структуре собственной
ри плазменной трубки, причем достаточно близко к
функции E(r). На рис. 4а функция E(r) представ-
внутренней границе плазмы, то возбуждаться будет
лена в случае высокочастотной поверхностной вол-
высокочастотная поверхностная волна. Если же пу-
ны (ω = 70 · 1010 рад/с и kz = 29.8 см-1). Видно,
чок проходит вне плазменной трубки, то будет воз-
что поле сосредоточено вблизи внутренней грани-
буждаться низкочастотная поверхностная волна.
цы плазменной трубки, а значит, именно на этой
границе локализованы поверхностные поляризаци-
онные заряды. Поле низкочастотной поверхностной
волны, рассчитанное в точке ω = 70 · 1010 рад/с и
4. ВЫЧИСЛЕНИЕ ИНКРЕМЕНТОВ
ПРОСТРАНСТВЕННОГО УСИЛЕНИЯ
kz = 30.78 см-1 дисперсионной кривой, представле-
ПОВЕРХНОСТНЫХ ВОЛН
но на рис. 4б. Видно, что поле поверхностной волны
НЕЗАМАГНИЧЕННОЙ ТРУБЧАТОЙ
сосредоточено вблизи внешней границы плазменной
ПЛАЗМЫ
трубки.
Если в дисперсионном уравнении (17) положить
Рассмотрим геометрию плазменно-пучковой си-
kz
= ω/u, то получится уравнение относительно
стемы уже реализованную в экспериментах [19,20]:
частоты ω, решения которого определяют возмож-
бесконечно тонкий трубчатый электронный пучок
ные рабочие частоты плазменного излучателя на
проходит внутри плазменной трубки, т. е. rb < r1 <
электронном пучке малой плотности (режим одно-
< r2 < R. Запишем решение уравнения (5) в виде
285
И. Н. Карташов, М. В. Кузелев
ЖЭТФ, том 161, вып. 2, 2022
E(r) =
W0(ω, kz) 4πi
A=
δbrbχ20 〈jb(rb)〉,
(26)
⎧
D0(ω, kz) ω
⎪
AI0(χ0r),
r<rb,
⎪
⎨
где
BI0(χ0r) + CK0(χ0r), rb < r < r1,
(20)
W0(ω, kz) = χpS0T1 - εpχ0S1T0,
(27)
=⎪⎪
PI0(χpr) + QK0(χpr), r1 < r < r2,
⎪
а D0(ω, kz) — дисперсионная функция, определен-
⎩ DF0(χ0r),
r2 < r < R.
ная в (17).
Соотношение
(26) можно рассматривать как
Подстановка решения (20) в граничные условия (6)
уравнение возбуждения плазменного волновода
и (10) приводит к следующей системе уравнений:
электронным пучком. Если нет пучка (например,
AI0(χ0rb) - BI0(χ0rb) - CK0(χ0rb) = 0,
δb = 0), то не возбуждается и волновод, т. е. A = 0.
Исключением является случай D0(ω, kz) = 0, что
AI1(χ0rb) - BI1(χ0rb) + CK1(χ0rb) =
как раз и является дисперсионным уравнением
4πi
=-
δbχ0 〈jb(rb)〉 ,
(17), определяющим собственные частоты волн
ω
плазменного волновода.
BI0(χ0r1) + CK0(χ0r1)-
Подставляя в соотношение (26) выражение (12)
-PI0(χpr1) - QK0(χpr1) = 0,
(21)
и учитывая, что E(rb) = AI0(χ0rb), получаем сле-
χp (BI1(χ0r1) - CK1(χ0r1)) -
дующее дисперсионное уравнение для комплекс-
ных спектров исследуемого плазменного волновода
-εpχ0 (PI1(χpr1) - QK1(χpr1)) = 0,
с пучком:
PI0(χpr2) + QK0(χpr2) - DF0(χ0r2) = 0,
εpχ0 (PI1(χpr2) - QK1(χpr2)) -
D0(ω, kz) = -δbrbχ20I0(χ0rb)W0(ω, kz)×
-χpDF1(χ0r2) = 0.
ω2bγ-3
×
(28)
(ω - kzu)
2
Из первых двух уравнений системы (21) находим
Имея задачу исследовать пространственное уси-
4πi
ление поверхностных волн в плазменном волново-
B=A+
δbrbχ20K0(χ0rb)〈jb(rb)〉,
ω
(22)
де с пучком, будем решать уравнение (28) относи-
4πi
C =-
δbrbχ20I0(χ0rb)〈jb(rb)〉 .
тельно комплексного волнового числа kz(ω) при ве-
ω
щественной частоте ω. Полагая, как это обычно де-
лается при черенковском взаимодействии пучков с
Из последних двух уравнений системы (21) имеем
волнами любой природы [11,18]
χpr2
P =D
(εpχ0K1(χpr2)F0+χpK0(χpr2)F1),
εpχ0
kz = ω/u + δk,
|δk| ≪ ω/u,
(29)
(23)
χpr2
Q=D
(εpχ0I1(χpr2)F0 - χpI0(χpr2)F1).
преобразуем уравнение (28) к кубическому уравне-
εpχ0
нию для комплексного коэффициента усиления δk:
Подставляя далее (22) и (23) в третье и четвертое
(
)
∂D0(ω, kzω)
уравнения системы (21), получаем следующую си-
D0(ω, kzω) +
δk δk2 =
∂kzω
стему:
(
)
∂W′0(ω, kzω)
χpr2
4πi
= -δbrb W′0(ω, kzω) +
δk
×
AI0(χ0r1)-D
S0 = -
δbrbχ20T0 〈jb(rb)〉,
∂kzω
εpχ0
ω
(24)
ω2bγ-3
4πi
×
,
(30)
AI1(χ0r1)-Dr2S1 = -
δbrbχ20T1 〈jb(rb)〉,
u2
ω
где kzω = ω/u, а W′0(ω, kz) = χ20I0(χ0rb)W0(ω, kz ).
где
Пусть выполнено условие одночастичного черен-
ковского резонанса (т. е. плазменная волна находит-
T0 = I0(χ0r1)K0(χ0rb) - K0(χ0r1)I0(χ0rb),
(25)
ся в черенковском резонансе с электроном [18, 21])
T1 = I1(χ0r1)K0(χ0rb) + K1(χ0r1)I0(χ0rb).
D0(ω, kzω) = 0,
(31)
Окончательно из (24) находим выражение для ам-
плитуды A, определяющее по формулам (20) и (3)
и плотность пучка настолько мала, что вторым сла-
поле в месте нахождения пучка:
гаемым в скобках в правой части дисперсионного
286
ЖЭТФ, том 161, вып. 2, 2022
Проблема повышения рабочей частоты...
уравнения (30) можно пренебречь. Тогда для комп-
Левая часть дисперсионного уравнения (34) запи-
лексного коэффициента усиления на частоте одно-
сана в «канонической» форме уравнения связанных
частичного черенковского резонанса получаем сле-
волн — волн плазмы и волн пучка [2]. Коэффициент
дующее выражение:
связи волн содержится в величине θ(ω, kz ), но выде-
√
лить его аналитическое выражение, так же как и
1-i
3 ω0
ω2bγ-3
аналитические выражения для частот плазменных
δk(ω0) =
δbrb
×
2
u
ω2
0
волн (аналогов Ωb), не удается.
(
)-1
1/3
При выполнении неравенства Ω2b ≪ ω2 ∼ |kzu|2
∂D0(ω0, k0)
спектр медленной волны плотности заряда пучка
× W′
0
(ω0, k0) k0
,
(32)
∂k0
можно определить формулой1)
(
)
где ω0 — решение уравнения (31) (т. е. одна из час-
Ωb(ω, kzω)
kb(ω) = kzω
1+
(37)
тот, представленных на рис. 5), а k0 = ω0/u. Коэф-
z
ω
фициент усиления (32) имеет обычную для любого
Частота резонанса волн ωb0 определяется из уравне-
одночастичного вынужденного эффекта Черенкова
(
)
ния D0
ω, kbz(ω)
= 0. На резонансной частоте ре-
структуру. Условием применимости решения (32),
шение уравнения (34) ищется в виде
т. е. условием одночастичности усиления, является
неравенство
kz(ωb0) = kb0 + δk,
(38)
1
∂W′0(ω0, k0)
δk(ω0)
1.
(33)
где kb0 = kbz(ωb0). Подставляя (38) в уравнение (34),
≪
W′0(ω0, k0)
∂k0
находим следующее выражение для резонансного
Последующие расчеты покажут, что левая часть
коэффициента усиления в режиме коллективного
(33) меньше единицы, хотя и незначительно (для тех
вынужденного эффекта Черенкова:
параметров, которые, исходя из экспериментальных
данных, мы выбрали при расчетах).
1
ω2bγ-3
δk(ωb0) = -i
δbrbχ2
×
В принципе, уравнение (28) описывает и коллек-
2
0uΩb(ωb0, kb0)
тивный вынужденный эффект Черенкова на высо-
)-1
1/2
кочастотной и низкочастотной поверхностных плаз-
(∂D0(ωb0,kb0)
× θ(ωb0, kb0)
(39)
менных волнах. Действительно, используя выраже-
∂kb0
ния (17) и (27), преобразуем это уравнение к виду
Условием применимости решения (39), т. е. условием
D0(ω, kz)Db(ω, kz) = -δbrbχ20ω2bγ-3θ(ω, kz),
(34)
коллективности усиления, является неравенство
где
|δk(ωb0)u| ≪ Ωb(ωb0, kb0).
(40)
Db(ω, kz) = (ω - kzu)2 - Ω2b(ω, kz)
(35)
есть дисперсионное уравнение, определяющее час-
Неравенство (40), по сути противоположное (33),
тоты волн тонкого замагниченного электронного
при использованных в настоящей работе конкрет-
пучка в волноводе [2], а
ных параметров системы выполнено не было.
Найдем теперь комплексные собственные функ-
Ω2b(ω, kz) = δbrbχ20ω2bγ-3I20(χ0rb)×
)
ции плазменно-пучкового волновода. Эти функции,
(K0(χ0rb)
K0(χ0R)
определяемые формулой (20), можно вычислить при
×
-
,
I0(χ0rb)
I0(χ0R)
помощи системы (21), полагая одну из амплитуд из-
(
вестной. Продемонстрируем менее громоздкий ме-
θ(ω, kz) = I20(χ0rb) εpχ0S1I0(χ0r1) ×
тод вычисления собственных функций E(r). Запи-
шем функцию
(K0(χ0rb)
K0(χ0r1)
×
-
+
I0(χ0rb)
I0(χ0r1)
))
(36)
E(r) =
K0(χ0R)
(K0(χ0rb)
⎧
+
-1
+
I0(χ0R) I0(χ0rb)
⎨
BI0(χ0r) + CK0(χ0r),
r<r1,
PI0(χpr) + QK0(χpr),
r1 < r < r2,
(41)
+χpS0I1(χ0r1)×
=⎪⎩
DF0(χ0r),
r2 < r < R,
(K0(χ0rb)
K1(χ0r1)
×
+
-
I0(χ0rb)
I1(χ0r1)
)))
1) Как известно [18, 22], неустойчивость и усиление имеют
K0(χ0R)
(K0(χ0rb)
место только при резонансе плазменной волны с медленной
-
-1
волной пучка.
I0(χ0R) I0(χ0rb)
287
И. Н. Карташов, М. В. Кузелев
ЖЭТФ, том 161, вып. 2, 2022
частично совпадающую с решением (20). Подстанов-
ка (41) в граничные условия на границах плазмен-
ной трубки дает следующую систему уравнений:
BI0(χ0r1) + CK0(χ0r1)-
-PI0(χpr1) - QK0(χpr1) = 0,
χp (BI1(χ0r1) - CK1(χ0r1)) -
-εpχ0 (PI1(χpr1) - QK1(χpr1)) = 0,
(42)
PI0(χpr2) + QK0(χpr2) - DF0(χ0r2) = 0,
εpχ0 (PI1(χpr2) - QK1(χpr2)) -
-χpDF1(χ0r2) = 0.
Выражая из системы (42) постоянные C, P, Q, D че-
Рис. 6. Коэффициенты усиления поверхностных плазмен-
рез B, имеем
ных волн для случая плазмы «малой» плотности
C = BΘ-1[χpI1(χ0r1)(UI0(χpr1) +
+ V K0(χpr1))+εpχ0I0(χ0r1)(-UI1(χpr1) +
построения собственной функции достаточно перво-
+ V K1(χpr1))],
го соотношения (45). Собственная функция опреде-
εp
χpr2
(43)
ляется формулой
D=BΘ-1
,
P =D
U,
r1r2
εpχ0
E(r) = AI0(χ0r), r < rb,
χpr2
Q=D
V,
εpχ0
I0(χ0rb)
E(r) = A
×
I0(χ0rb) + C1K0(χ0rb)
где
(46)
⎧
⎨
I0(χ0r) + C1K0(χ0r),
rb < r < r1,
U = χpF1(χ0r2)K0(χpr2)+
P1I0(χpr) + Q1K0(χpr),
r1 < r < r2,
+εpχ0F0(χ0r2)K1(χpr2),
×⎪⎩
D1F0(χ0r),
r2 < r < R.
V = -χpF1(χ0r2)I0(χpr2)+
(44)
+εpχ0F0(χ0r2)I1(χpr2),
Здесь C1, P1, Q1, D1 — величины (43), взятые при
Θ = χpK1(χ0r1)(UI0(χpr1)+V K0(χpr1)) -
B = 1.
Рассмотрим некоторые примеры вычисления ко-
-εpχ0K0(χ0r1)(-UI1(χpr1)+V K1(χpr1)).
эффициентов усиления Im δk(ω) и соответствующих
Если решение (41) справедливо вплоть до оси
собственных функций поверхностных волн в плаз-
волновода r = 0, то должно быть C = 0, откуда и из
менных волноводах с пучком. Зафиксируем следую-
(43) следует дисперсионное уравнение (17) плазмен-
щие параметры R = 2 см, r1 = 1 см, r2 = 1.2 см,
ного волновода. Если есть пучок, то решение (41)
rb = 0.9 см, δb = 0.1 см, u = 2.6 · 1010 см/с, ωb =
справедливо только при r > rb. При r < rb решение
= 1010 рад/с и зададим, как и прежде, два значения
записывается в виде E(r) = AI0(χ0r), и из гранич-
плазменной частоты — низкую ωp = 30 · 1010 рад/с
ных условий (10) с учетом (12) следуют соотноше-
и высокую ωp = 130 · 1010 рад/с.
ния
В случае ωp = 30 · 1010 рад/с (рис. 6) наблюда-
ются две отдельные области усиления — низкочас-
AI0(χ0rb) = B (I0(χ0rb) + C1K0(χ0rb)) ,
тотная и высокочастотная, в которых происходит
B (I1(χ0rb) - C1K1(χ0rb)) - AI1(χ0rb) =
усиление соответствующих поверхностных волн. На
(45)
частотах максимального коэффициента усиления
ω2bγ-3
= -δbχ0
AI0(χ0rb),
левая часть неравенства (33) была равна 0.64 на
(ω - kzu)2
низкой частоте и 0.36 на высокой. Очевидно, что
где C1 совпадает с первым выражением (43), взятым
при этом говорить о реализации одночастичного вы-
при B = 1. Из (45) получается дисперсионное урав-
нужденного эффекта Черенкова в «чистом» виде не
нение (28) плазменного волновода с пучком. Если
приходится. Хотя скорее всего механизм усиления
решение дисперсионного уравнения известно, то для
преимущественно является одночастичным.
288
ЖЭТФ, том 161, вып. 2, 2022
Проблема повышения рабочей частоты...
Рис. 8. Коэффициент усиления поверхностной плазменной
волны для случая плазмы «большой» плотности
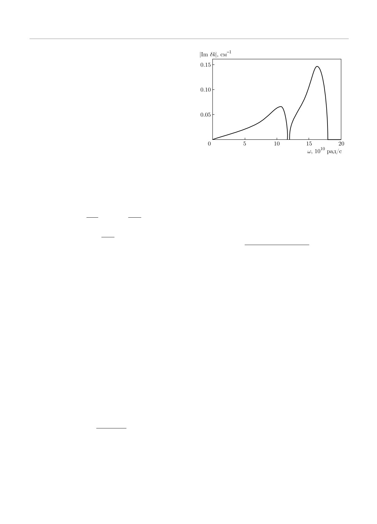
Совершенно иная картина наблюдается в случае
плазмы «большой» плотности ωp = 130 · 1010 ра-
д/с (рис. 8). Имеется только одна частотная область
усиления, причем весьма узкая. Это обусловлено
совместным действием двух факторов: слиянием ко-
эффициентов усиления из-за сближения резонанс-
ных частот и уменьшением коэффициента усиления
одной из волн из-за того, что ее собственная функ-
Рис. 7. Структуры поля поверхностных волн для случая
ция в точке прохождения пучка мала. Второй фак-
«малой» плотности плазмы: а — низкочастотная волна,
тор является определяющим2). Обращает на себя
б — высокочастотная волна
внимание факт достаточно большого коэффициен-
та усиления — порядка 0.2 см-1 в максимуме. Левая
часть неравенства (33) составляет 0.73, т. е. режим
Для вычисления соответствующих собственных
усиления, видимо, переходный от одночастичного к
функций необходимо в (46) подставить ω и kz, свя-
коллективному.
занные дисперсионным уравнением плазменно-пуч-
Согласно рис. 8 максимум усиления при ωp =
кового волновода. Пусть вещественная частота ω
= 130 · 1010 рад/с приходится на ω = 58 · 1010 рад/с,
из области усиления задана. Тогда из дисперсион-
при этом kz (ω) ≈ (22.4 - 0.18i) см-1. Подставляя
ного уравнения определяется комплексная величи-
эти значения в формулы (46), вычислим собствен-
на kz (ω). Как видно на рис. 6, максимум усиле-
ную функцию усиливаемой волны (рис. 9). Сравни-
ния в низкочастотной области приходится пример-
вая этот рисунок с рис. 4, видим, что структура поля
но на ω
= 10.3 · 1010 рад/с, при этом kz(ω) ≈
соответствует собственной функции высокочастот-
≈ (3.99 - 0.066i) см-1. Результат вычисления соб-
ной поверхностной волны плотной плазмы — поле
ственной функции представлен на рис. 7а и вполне
локализовано вблизи внутренней границы плазмен-
соответствует собственной функции низкочастот-
ной трубки (рис. 4а). Результаты расчетов показы-
ной поверхностной волны. Небольшой излом гра-
вают, что для выбранной геометрии плазменно-пуч-
фика функции E(r) (особенно ее мнимой части —
ковой системы (пучок внутри плазменной трубки)
штриховая линия) приходится на координату пучка
при большой плотности плазмы всегда усиливает-
rb = 0.9 см. Максимум усиления в высокочастотной
области приходится примерно на ω = 16.3 · 1010 ра-
2) При очень большой плотности электронного пучка опре-
д/с, при этом kz (ω) ≈ (6.55 - 0.149i) см-1. Соответ-
деляющим может оказаться фактор близости частот высоко-
ствующий результат вычисления собственной функ-
частотной и низкочастотной поверхностных волн. При этом
разложения левой части дисперсионного уравнения (28) с
ции представлен на рис. 7б и вполне соответствует
точностью до линейных по δk членов будет недостаточно.
собственной функции высокочастотной поверхност-
Требуется более сложное рассмотрение, которому мы пред-
ной волны.
полагаем посвятить отдельную работу.
289
И. Н. Карташов, М. В. Кузелев
ЖЭТФ, том 161, вып. 2, 2022
Используя выражение E(rb) = I0(χ0rb)A, пере-
пишем формулу (26) в виде
4πi
D0(ω, kz)E(rb) =
δbrbW′0(ω, kz)〈jb(rb)〉,
(50)
ω
где W′0(ω, kz) — функция, введенная в (30). Обоб-
щением последней формулы на случай, когда ам-
плитуда плотности тока пучка зависит от координа-
ты z, является следующее псевдодифференциальное
уравнение:
D0(ω,kz)E(z, rb) =
4πi
=
δbrbW′0(ω,kz)〈jb(z; rb)〉,
(51)
ω
Рис. 9. Структура поля усиливаемой волны для случая
«большой» плотности плазмы
где
kz = -id/dz — оператор волнового числа.
Операторным аналогом (29) являются выраже-
ния
ся высокочастотная поверхностная волна. Следует
ω
d
ω2
ω d
k2
kz =
-i
,
z
=
- 2i
,
(52)
ожидать, что в случае электронного пучка, прохо-
u
dz
u2
u dz
дящего вне плазменной трубки, должна усиливаться
в которых оператор дифференцирования действует
поверхностная волна с собственной функцией типа
только на медленные амплитуды. С использованием
представленной на рис. 4б.
(52) псевдодифференциальное уравнение (51) мож-
но свести к следующему дифференциальному урав-
нению:
5. НЕЛИНЕЙНЫЙ РЕЖИМ УСИЛЕНИЯ
ПОВЕРХНОСТНЫХ ВОЛН В ВОЛНОВОДЕ С
∂D0(ω, kzω) dE(z, rb)
D0(ω, kzω)E(z, rb) - i
=
НЕЗАМАГНИЧЕННОЙ ТРУБЧАТОЙ
∂kzω
dz
ПЛАЗМОЙ
4πi
=
δbrb ×
ω
В линейном приближении высокочастотная со-
(
)
∂W′0(ω, kzω) d
ставляющая плотности тока пучка определяется
× W′0(ω, kzω) - i
〈jb(z; rb)〉 .
(53)
∂kzω
dz
формулой, аналогичной формуле (3) (см. (7) и (11)):
Уравнение (53) есть уравнение для зависящей от ко-
1
jb(t, z; rb) =
[〈jb(rb)〉 exp(-iωt + ikzz) + c.c.].
(47)
ординаты z амплитуды напряженности поля E(z, rb)
2
волны, возбуждаемой током 〈jb(z; rb)〉. Плазма в
Формулу (47) можно записать по-другому:
этом уравнении фигурирует через диэлектрическую
проницаемость εp, поэтому плазма описывается в
jb(t, z; rb) =
линейном приближении, что общепринято в теории
1
резонансных черенковских неустойчивостей элект-
=
[〈jb(z; rb)〉 exp(-iωt + ikzωz) + c.c.] ,
(48)
2
ронных пучков в плазме [11,24]. Условием примени-
мости линейного приближения для плазмы является
где kzω = ω/u и введена медленная амплитуда, учи-
неравенство, приведенное в (29) [25-27].
тывающая нарастание возмущений за счет развития
Для вычисления в нелинейном режиме усреднен-
неустойчивости. В линейном приближении [23]
ной плотности тока пучка 〈jb(z; rb)〉 используем ме-
тод интегрирования по начальным данным [25, 28],
∑
согласно которому функция jb(t, z; rb) в выражении
〈jb(z; rb)〉 =
αn(ω)exp[iδkn(ω)z],
(49)
n=1
(7) определяется формулой
∫
где δkn(ω) — корни кубического уравнения (30), а
jb(t, z; rb) = en0bu δ[t - T(z, t0)] dt0,
(54)
αn(ω) — некоторые коэффициенты. Формула (48)
справедлива и в нелинейном режиме, но для вы-
где n0b — невозмущенная плотность электронов пуч-
числения функции 〈jb(z; rb)〉 требуются нелинейные
ка, t0 — время влета электрона в область взаимодей-
уравнения.
ствия через плоскость z = 0, а T(z, t0) — время, за
290
ЖЭТФ, том 161, вып. 2, 2022
Проблема повышения рабочей частоты...
которое электрон, влетевший в момент времени t0,
Граничные условия для уравнений (62) следуют из
окажется в точке z. Подставляя (54) в выражение
условий (57) и выражений (58) и (60) и имеют вид
(11), получаем
τ (z = 0) = τ0,
V (z = 0) = 0.
(63)
〈jb(z; rb)〉 =
Уравнения (53) и (62) вместе с выражением (61) об-
∫
(
)
ω
ω
разуют замкнутую систему, описывающую усиление
= en0bu
exp iωT(z, t0) - i
z dt0.
(55)
π
u
поверхностных плазменных волн в волноводе с неза-
0
магниченной линейной трубчатой плазмой и тон-
Величина T (z, t0) является решением уравнений
ким релятивистским электронным пучком. Помимо
движения, в которых в качестве независимой пере-
условий влета электронов пучка (63) система долж-
менной выбрана координата z
на быть дополнена условием возбуждения волны на
входе усилителя
dT
1
dP
=
,
V
= eEz(T, z, rb),
(56)
dz
V
dz
E(z = 0, rb) = E0
(64)
где V (z, t0) — скорость в точке z электрона, влетев-
шего в волновод в момент t0, P(z, t0) — релятивист-
Введем обозначения
ский импульс электрона пучка, а Ez(T, z, rb) — поле
(3) на траектории электрона. Уравнения (56) инте-
ω2bγ-3
δ(ω) =
δbrb
W′0(ω, kzω) ×
грируются со следующими условиями влета:
ω2
T (z = 0) = t0, P (z = 0) = muγ.
(57)
(
)-1
1/3
∂D0(ω, kzω)
× kzω
,
Вводя изменение скорости электрона пучка
∂kzω
[
]
(
)-1
V =u-V,
(58)
∂D0(ω, kzω)
(65)
s = sign W′(ω, kzω) kzω
,
0
∂kzω
считая, что
V | ≪ u и используя выражение (3), пре-
(
)-1
образуем уравнения движения (56) к виду
∂D0(ω, kzω)
(
)
Δ(ω) = D0(ω, kzω) δ(ω)kzω
,
∂kzω
dT
1
V
=
1+
,
dz
u
u
δ(ω)
∂W′0(ω, kzω)
d(ω) =
kzω
W′0(ω, kzω)
∂kzω
dP
e 1
(59)
=
×
dz
u 2
[
(
)
]
и используем безразмерные переменные
ω
× E(z, rb)exp
-iωT(z, t0) + i
z
+ c.c. .
u
ω
eE(z, rb)
ξ=
δ(ω)z, ε(ξ) =
,
Введем новую функцию
u
δ2(ω)muωγ3
y0 = ωτ0,
(66)
τ (z, τ0) = T (z, t0) - z/u, τ0 = t0
(60)
˜(z, τ0)
y(ξ, y0) = ωτ(z, τ0), η(ξ, y0) =
и выразим импульс электрона пучка через измене-
δ(ω)u
ние его скорости
V (z, τ0). Тогда выражение (55) пре-
образуется к виду
В новых переменных нелинейные уравнения запи-
шутся в виде
∫
ω
〈jb(z; rb)〉 = en0bu
exp(iωτ(z, τ0)) dτ0,
(61)
dy(ξ, y0)
π
= η(ξ, y0),
0
dξ
dη(ξ, y0)
а уравнения движения (59) запишутся следующим
= -(1 + μ(ω)η(ξ,y0))3/2 ×
образом:
dξ
1
dτ
V
=
,
×2[ε(ξ)exp(-iy(ξ,y0))+c.c.],
(67)
(
)
dz
u2
dε(ξ)
d
(
)3/2
+ iΔ(ω)ε(ξ) = -s
1 - id(ω)
ρ(ξ),
V
e
u2
V
dξ
dξ
(62)
=-
1+2
γ2
×
dz
muγ3
c2
u
∫
1
1
ρ(ξ) =
exp(iy(ξ, y0)) dy0,
×
[E(z, rb) exp (-iωτ(z, τ0)) + c.c.].
π
2
0
291
И. Н. Карташов, М. В. Кузелев
ЖЭТФ, том 161, вып. 2, 2022
где
2
u
μ(ω) = 2
γ2δ(ω)
(68)
c2
— параметр релятивизма электронного пучка. Урав-
нения (67) применимы во всем диапазоне частот, как
в областях усиления поверхностных волн, так и вне
зон усиления, где они описывают волны плотности
заряда электронного пучка. Заметим, что частота
ω в величине δ(ω) из (65) может быть любой. В
резонансе, при ω = ω0, величина δ(ω0) определя-
ет согласно формуле (32) резонансный коэффици-
ент усиления при одночастичном вынужденном эф-
фекте Черенкова пучка малой плотности. При дру-
Рис. 10. Пространственная динамика амплитуд при усиле-
гих частотах уравнения (67) описывают динамику
нии низкочастотной поверхностной волны в плазме «ма-
нерезонансной пучковой неустойчивости с простран-
лой» плотности
ственным инкрементом, определяемым дисперсион-
ным уравнением (30), и, таким образом, δ(ω) просто
обозначение.
∫
Надо иметь в виду, что комплексная амплитуда
1
dy0
√
-
E(z, r) не является в «чистом» виде амплитудой
2π
1 + μ(ω)η(ξ,y0)
плазменной волны. В ней содержится вклад, обу-
0
словленный высокочастотным пространственным
μ(ω)
s
зарядом пучка. Чтобы разделить в уравнениях (67)
-
|ε′(ξ)|2 =
8
Δ(ω)d(ω) - 1
вклады от пучка и плазмы в амплитуду поля ε(ξ)
введем новую функцию:
μ(ω)
s
=1-
|ε′(ξ = 0)|2,
(72)
8
Δ(ω)d(ω) - 1
ε′(ξ) = ε(ξ) - isd(ω)ρ(ξ).
(69)
Определим эффективность пучково-плазменного
взаимодействия как относительное изменение
После перехода к ε′(ξ) второе и третье уравнения
системы (67) преобразуются к виду
средней кинетической энергии электронов пучка
γ - 〈γ(ξ,y0)〉
dη(ξ, y0)
КПД =
,
(73)
= -(1 + μ(ω)η(ξ,y0))3/2 ×
γ-1
dξ
× (Fb(ξ, y0) + Fp(ξ, y0)) ,
(70)
где γ(ξ, y0) — релятивистский фактор электрона,
dε′(ξ)
влетевшего в момент времени y0, в точке ξ волново-
+ iΔ(ω)ε′(ξ) = s[Δ(ω)d(ω) - 1]ρ(ξ),
dξ
да, а угловые скобки означают усреднение по всем
электронам, влетевшим в волновод за период 2π/ω.
где
Выражая скорость электрона через безразмерную
величину η(ξ, y0), преобразуем (73) к виду
1
Fb(ξ, y0) =
isd(ω)×
⎛
⎞
2
∫
γ
1
dy0
× (ρ(ξ) exp[-iy(ξ, y0)] - c.c.) ,
(71)
КПД =
⎝1-
√
⎠.
(74)
γ-1
2π
1+μ(ω)η(ξ, y0)
1
0
Fp(ξ, y0) =
(ε′(ξ) exp[-iy(ξ, y0)] + c.c.) .
2
Используя далее интеграл (72), получим следующее
В правой части первого уравнения (70) в явном виде
выражение для эффективности усиления:
выделены сила высокочастотного пространственно-
го заряда пучка Fb(ξ, y0) и сила со стороны поля
1
γ
s
КПД = -
μ(ω)
×
плазменной волны Fp(ξ, y0).
8
γ - 1 Δ(ω)d(ω) - 1
Из уравнений (70) несложно получить следую-
× (|ε′(ξ)|2 - |ε′(ξ = 0)|2).
(75)
щий первый интеграл:
292
ЖЭТФ, том 161, вып. 2, 2022
Проблема повышения рабочей частоты...
Рис. 11. Эффективности усиления низкочастотной по-
верхностной волны в случае плазмы «малой» плотности:
Рис. 12. Пространственная динамика амплитуд при усиле-
сплошная кривая — на частоте максимального усиления;
нии высокочастотной поверхностной волны в плазме «ма-
штриховая — на несколько большей частоте; пунктирная —
лой» плотности
на несколько меньшей частоте
Рассмотрим теперь результаты численного мо-
делирования нелинейной динамики усиления. Огра-
ничимся системами с теми же параметрами, что и
в линейном приближении. Начнем со случая ωp =
= 30·1010 рад/с и усиления низкочастотной поверх-
ностной волны на частоте максимального усиления
ω = 10.3 · 1010 рад/с. На рис. 10 в зависимости от
размерной координаты z показана пространствен-
ная динамика безразмерной амплитуды напряжен-
ности электрического поля |ε(z)| и амплитуды воз-
мущения плотности заряда пучка |ρ(z)|. Если ам-
плитуда напряженности поля приводится в относи-
тельных единицах, то амплитуда возмущения плот-
Рис. 13. Эффективности усиления высокочастотной по-
ности пучка, в силу формул (54) и (55), фактичес-
верхностной волны в случае плазмы «малой» плотности:
ки приведена в абсолютных единицах — абсолют-
сплошная кривая — на частоте максимального усиления;
ное возмущение плотности есть n0b|ρ(z)|. Поэтому
штриховая — на несколько большей частоте; пунктирная —
на несколько меньшей частоте
при |ρ(z)| ≲ 2 возмущения плотности пучка близки
к максимуму (пучок замодулирован полностью).
Динамика амплитуд такая же, как при извест-
ного усиления эффективность достигает 15 %. На
ном явлении захвата электронов пучка плазмен-
несколько большей частоте ω = 11 · 1010 рад/с эф-
ной волной [26], что свидетельствует в пользу того,
фективность существенно выше, что обусловлено
что механизмом неустойчивости является именно
большим значением скорости электронов пучка от-
одночастичный вынужденный эффект Черенкова.
носительно скорости плазменной волны [11]. Однако
Заметим, что уравнения (70) в точности перейдут
при дальнейшем увеличении частоты усиление сры-
в «классические» уравнения, описывающие захват
вается, что обусловлено выходом частоты за верх-
электронов пучка ленгмюровской волной [11, 27],
нюю границу зоны усиления (рис. 6). При уменьше-
если в уравнении для η(ξ, y0) пренебречь силой
нии частоты (ω = 9.5 · 1010 рад/с) эффективность
высокочастотного пространственного заряда пучка
падает.
Fb(ξ, y0). В нашем случае на стадии насыщения она
Примерно так же выглядит усиление при ωp =
примерно в четыре раза меньше силы со стороны
= 30 · 1010 рад/с и высокочастотной поверхностной
плазменной волны.
волны (рис. 12) на частоте максимального усиления
На рис. 11 представлены результаты для эф-
ω = 16.3 · 1010 рад/с. Из-за увеличения коэффи-
фективности усиления (75). На частоте максималь-
циента усиления нелинейное насыщение наступает
293
И. Н. Карташов, М. В. Кузелев
ЖЭТФ, том 161, вып. 2, 2022
Рис. 15. Эффективность усиления поверхностной волны в
Рис. 14. Пространственная динамика амплитуд при усиле-
случае плазмы «большой» плотности
нии поверхностной волны в плазме «большой» плотности
6. ЗАКЛЮЧЕНИЕ
на меньшем расстоянии при z ∼ 55 см. Динамика
эффективностей усиления представлена на рис. 13.
Прослеживаются примерно те же закономерности,
Основываясь на приведенных выше результа-
что и при усилении низкочастотной поверхностной
тах теоретических исследований, можно сделать
волны.
следующий важный вывод: экспериментально
Наконец, рассмотрим усиление поверхностных
реализованные на сегодняшний день мощные че-
волн в случае плотной плазмы ωp = 130·1010 рад/с.
ренковские плазменные источники СВЧ-излучения
В этом случае, как было установлено ранее, имеет-
могут быть успешно использованы для получения
ся всего одна область усиления. Пространственная
электромагнитного излучения с частотой в несколь-
динамика амплитуд на частоте максимального уси-
ко раз, а то и на порядок, большей той частоты, на
ления ω = 58 · 1010 рад/с представлена на рис. 14.
которую они были рассчитаны. Причем потребуется
Виден существенно менее регулярный ход ампли-
для этого минимальная доработка существующих
туд волн на стадии после насыщения. Более того,
экспериментальных установок — увеличение плот-
после насыщения амплитуда возмущения плотности
ности плазмы, что легко реализуется технически
пучка резко уменьшается, что говорит об ином ме-
и не связано с какими-либо дополнительными фи-
ханизме нелинейного насыщения. Значительно воз-
нансовыми вложениями. Фактически одно и то же
росла сила высокочастотного пространственного за-
устройство может быть одинаково эффективным в
ряда пучка — силы Fb и Fp примерно сравнялись.
очень большом частотном диапазоне. Единственная
Известно, что если сила пространственного заряда
экспериментальная трудность связана с тем, что
превышает силу со стороны поля излучаемой волны,
при значительном увеличении частоты потребуется
то механизмом нелинейного насыщения является са-
кардинальная и весьма затратная перестройка сис-
мозахват [11] или опрокидывание волны плотности
темы диагностики электромагнитного излучения.
заряда пучка. В случае рис. 14 самозахват проявля-
По-видимому, именно по этой причине на имеющих-
ется несомненно.
ся экспериментальных установках не проводились
исследования с плазмой очень большой плотности.
Эффективность усиления на частоте ω
=
= 58 · 1010 рад/с представлена на рис. 15. От-
Благодарности. Авторы выражают благодар-
личительной особенностью является то, что при
ность О. Т. Лозе, инициировавшему проведенные
незначительном отклонении частоты ω от часто-
теоретические исследования, за полезные обсужде-
ты максимального усиления наблюдается резкое
ния и интерес к работе.
уменьшение эффективности, что связано как с ма-
лой шириной зоны усиления, так и с начинающим
Финансирование. Работа выполнена в рамках
проявляться изменением механизма взаимодей-
Договора №313/1689-Д от 16.09.2019 г. с ГК Рос-
ствия пучка с плазменной волной.
атом.
294
ЖЭТФ, том 161, вып. 2, 2022
Проблема повышения рабочей частоты...
ЛИТЕРАТУРА
15.
И. Н. Карташов, М. В. Кузелев, ЖЭТФ 158, 738
(2020).
1.
П. С. Стрелков, УФН 189, 494 (2019).
16.
А. Ф. Александров, Л. С. Богданкевич, А. А. Ру-
2.
М. В. Кузелев, А. А. Рухадзе, П. С. Стрелков,
хадзе, Основы электродинамики плазмы, Высшая
Плазменная релятивистская СВЧ-электроника,
школа, Москва (1988).
ЛЕНАНД, Москва (2018).
17.
М. В. Кузелев, А. А. Рухадзе, Труды института
3.
A. B. Buleyko, N. G. Gusein-zade, and O. T. Loza,
общей физики им. А. М. Прохорова 72, 3 (2016).
Phys. Wave Phen. 26, 317 (2018).
18.
М. В. Кузелев, А. А. Рухадзе, УФН 152, 285
4.
Д. К. Ульянов, Р. В. Баранов, О. Т. Лоза, С. Е. Ер-
(1987).
нылева, И. Л. Богданкевич, ЖТФ 83, 113 (2013).
19.
I. L. Bogandkevich, S. E. Andreev, N. G. Gusein-za-
5.
П. С. Стрелков, И. Е. Иванов, Е. Д. Диас Михайло-
de, and D. K. Ulyanov, J. Russ. Laser Res. 40, 435
ва, Д. В. Шумейко, Физика плазмы 47, 257 (2021).
(2019).
6.
A. B. Buleyko, A. V. Ponomarev, O. T. Loza,
20.
С. Е. Андреев, И. Л. Богданкевич, Н. Г. Гусейн-за-
D. K. Ulyanov, and S. E. Andreev, Phys. Plasm. 28,
де, Д. К. Ульянов, Физика плазмы 45, 645 (2019).
023303 (2021).
21.
В. Л. Гинзбург, Теоретическая физика и астрофи-
7.
A. B. Buleyko, A. V. Ponomarev, O. T. Loza,
зика, Наука, Москва (1981).
D. K. Ulyanov, K. A. Sharypov, S. A. Shunailov, and
M. I. Yalandin, Phys. Plasmas 28, 023304 (2021).
22.
М. В. Незлин, Динамика пучков в плазме, Энер-
гоиздат, Москва (1982).
8.
И. Л. Богданкевич, В. О. Литвин, О. Т. Лоза, Кр.
сообщ. по физике 43, 19 (2016).
23.
М. В. Кузелев, А. А. Рухадзе, Методы теории
волн в средах с дисперсией, Наука, Москва (2007).
9.
S. E. Ernyleva and O. T. Loza, Phys. Wave Phen. 25,
56 (2017).
24.
А. А. Иванов, Физика сильнонеравновесной плаз-
мы, Атомиздат, Москва (1977).
10.
V. O. Litvin and O. T. Loza, Phys. Wave Phen. 25,
52 (2017).
25.
Ю. В. Бобылев, М. В. Кузелев, Нелинейные явле-
11.
М. В. Кузелев, А. А. Рухадзе, Электродина-
ния при резонансных взаимодействиях электрон-
мика плотных электронных пучков в плазме,
ных пучков с плазмой, Наука, Москва (2008).
ЛЕНАНД, Москва (2018).
26.
Р. И. Ковтун, А. А. Рухадзе, ЖЭТФ 58, 1709
12.
М. В. Кузелев, Физика плазмы 28, 544 (2002).
(1970).
13.
И. Н. Карташов, М. В. Кузелев, А. А. Рухадзе,
27.
В. Д. Шапиро, В. И. Шевченко, ЖЭТФ 60, 1023
Физика плазмы 35, 194 (2009).
(1971).
14.
И. Н. Карташов, М. В. Кузелев, ЖЭТФ 156, 355
28.
Ю. В. Бобылёв, М. В. Кузелев, А. А. Рухадзе, Ра-
(2019).
диотехника и электроника 47, 166 (2002).
295