ЖЭТФ, 2022, том 161, вып. 2, стр. 253-265
© 2022
УСРЕДНЕНИЕ ТЕРМОЭЛЕКТРИЧЕСКИХ СРЕД:
НЕПРЕРЫВНОСТЬ ТЕРМОЭЛЕКТРИЧЕСКОГО ПОТЕНЦИАЛА
А. С. Старковa,b, И. А. Старковa*
a Санкт-Петербургский государственный электротехнический университет «ЛЭТИ» им. В. И. Ульянова (Ленина)
197376, Санкт-Петербург, Россия
b Национальный исследовательский университет информационных технологий, механики и оптики
197101, Санкт-Петербург, Россия
Поступила в редакцию 23 июня 2021 г.,
после переработки 9 сентября 2021 г.
Принята к публикации 2 октября 2021 г.
Рассматривается задача о нахождении эффективных термоэлектрических характеристик композитных
сред, а именно: тепло- и электропроводности, термоэдс и добротности. Предполагается, что характер-
ный размер включений достаточно велик (больше 20-30 нм), что позволяет пренебречь туннелированием
заряда и рассеянием фононов на границах различных сред. Исследованы слоистые, волокнистые и зер-
нистые композиты. Приведено подробное обоснование выбора граничных условий, основанное на прин-
ципе Пригожина. В качестве примера исследованы свойства композитной среды, состоящей из матрицы
MgAg0.97Sb1, в которую помещены включения из SnSe цилиндрической или сферической формы.
DOI: 10.31857/S0044451022020110
используется в различных областях, но в силу необ-
ратимости термодинамических процессов, лежащих
в ее основе, обладает сравнительно малой термо-
динамической эффективностью. Значительное уве-
1. ВВЕДЕНИЕ
личение эффективности термоэлектрического пре-
образования энергии было достигнуто в середине
Твердотельное охлаждение по сравнению с тра-
XX века, когда было предложено использовать по-
диционными (парокомпрессионными) методами об-
лупроводниковые материалы [4]. В дальнейшем эф-
ладает рядом преимуществ. Используемые матери-
фективность повышалась очень медленно, со сред-
алы являются экологически безопасными в отличие
ней скоростью примерно 0.5 % в год. Ввиду этого
от множества хладагентов, применяющихся в насто-
основной проблемой при разработке охлаждающих
ящее время в холодильной технике. В твердотель-
технологий XXI века является нахождение высоко-
ных охладителях нет движущихся частей, поэтому
эффективных калорических и термоэлектрических
они более компактны, надежны и практически бес-
материалов, обеспечивающих высокую производи-
шумны. Существует два вида твердотельного охла-
тельность устройств охлаждения и термостабилиза-
ждения: на калорических эффектах [1-3] и термо-
ции. Одной из возможностей устранения недостат-
электрическое [4-6]. Первое является гораздо более
ков твердотельного охлаждения является объедине-
эффективным, но имеет множество существенных
ние обоих способов твердотельного преобразования
недостатков. Охлаждение на магнитокалорическом
энергии. Вариантом совместного использования ка-
эффекте основано на использовании дорогостоящих
лорических и термоэлектрических явлений может
материалов [2]. Электрокалорическое охлаждение
служить использование термоэлектрических клю-
требует высокоэффективных тепловых ключей [1].
чей в охладителях на калорических эффектах [8,9].
Охлаждение на мультикалорическом эффекте суще-
Другим способом увеличения эффективности явля-
ствует только в виде теоретических разработок [7].
ется наноструктурирование [10-12], в частности, ис-
Термоэлектрическое преобразование энергии хоть и
пользование нанокомпозитов [13, 14]. Композитные
материалы разделяются на слоистые, волокнистые
* E-mail: ferroelectrics@ya.ru
253
А. С. Старков, И. А. Старков
ЖЭТФ, том 161, вып. 2, 2022
и зернистые. Слоистые композиты изготавливаются
может быть получено, если в итоговых формулах
из чередующихся слоев различных материалов, ко-
считать основные физические характеристики сло-
торые могут объединяться в сверхрешетки. Волок-
ев тензорными величинами. Основной целью явля-
нистые и зернистые композиты состоят из матрицы
ется корректная постановка задачи со строгим обос-
и армирующих включений (тонких волокон или час-
нованием граничных условий и исследование эф-
тиц). Для сверхрешеток из калорических материа-
фективности композитной структуры в зависимости
лов влияние взаимодействия полей различной при-
от процентного содержания включений (отношений
роды на ее физические характеристики легко мо-
толщин слоев). Для термоэлектрических материа-
жет быть описано матричным методом усреднения
лов эффективность определяется добротностью Z
(ММУ) [15-17]. Поскольку формулы для эффектив-
(число Иоффе, figure of merit) или безразмерным
ной среды, получаемые ММУ, являются частным
фактором ZT = Tσα2/k [4-6], где T — абсолют-
случаем формул для периодических сред, для слои-
ная температура, σ и k — коэффициенты электро-
стых композитов приближение эффективной среды
и теплопроводности соответственно, α — коэффи-
становится все более точным при уменьшении тол-
циент Зеебека (термоэдс). Хорошо известно, что в
щины слоев. Для волокнистых и зернистых компо-
отсутствие взаимодействия электрического и тепло-
зитов строгих методов расчета не существует. Ос-
вого полей (α = 0) композитная среда может быть
новную роль в получении усредненных характери-
заменена на некоторую эффективную, физические
стик играют приближенные методы, основанные на
характеристики которой не зависят от координаты.
некоторых физических допущениях. Среди них от-
В этом случае нахождение усредненных (эффектив-
метим наиболее распространенные методы Максвел-
ных) значений электро- и теплопроводности ника-
ла Гарнетта и Бруггемана. Расчет же термоэлектри-
ких трудностей не вызывает [18, 20]. Даже для изо-
ческих композитных сред представляет собой более
тропных слоев слоистое тело является анизотроп-
сложную задачу. Связано это со следующими об-
ным, и теплопроводности вдоль k∥ и поперек k⊥
стоятельствами. Во-первых, уравнения, описываю-
слоев различаются. Также не совпадают коэффици-
щие физические поля в термоэлектриках, являются
енты σ∥ и σ⊥. Значения этих коэффициентов для
нелинейными и образуют систему. И во-вторых, на
всей структуры определяются значениями этих же
границах различных термоэлектриков следует учи-
коэффициентов для отдельных слоев и приведены,
тывать некоторые новые физические явления, ко-
например, в [20,21] (см. также ниже формулы (18)).
торых нет в неограниченных телах. К таким явле-
Для термоэлектрических материалов (α = 0) такие
ниям следует отнести туннелирование заряда через
формулы для частного случая двухслойных сред
границу [18] и дополнительное рассеяние фононов и
были получены в [21,22]. Общий случай многослой-
носителей заряда [19].
ной среды рассмотрен в настоящей работе. Кроме
структур, состоящих из произвольного числа плос-
В данной работе рассматриваются все три вари-
ких слоев, рассматривается усреднение тонких ци-
анта композитных сред из термоэлектрических ма-
линдрических и сферических термоэлектрических
териалов. Толщина любого слоя и размер включе-
слоев, являющихся основой для наноматрешек [23].
ний должны превышать некую величину, которая
зависит от материала и оценивается в 20-30 нм.
Следует подчеркнуть, что общий случай усред-
Это ограничение вызвано условием, чтобы харак-
нения термоэлектрических сред рассматривался ра-
терный размер включений был больше длины сво-
нее в [24, 25], но для граничных условий, при ко-
бодного пробега как носителей заряда, так и фо-
торых возникают поверхностные потоки. В данной
нонов. При этом предположении можно пренебречь
работе приводится вывод корректных условий из
туннелированием заряда и рассеянием фононов на
принципа Пригожина неравновесной термодинами-
границе. Данное условие не выполняется для сверх-
ки, и процедура усреднения проводится для полу-
решеток со слоями толщиной 3-10 нм [13,14], для ко-
ченных граничных условий. Подобные граничные
торых были получены наилучшие результаты. Тем
условия использовались в [26,27] при описании рас-
не менее матричный метод усреднения в силу его
пределения термоэлектрического поля в эллипсои-
простоты может с успехом применяться для описа-
де и сфероиде. Кроме того, в настоящей работе
ния решеток с достаточно толстыми слоями. Для
матричный метод усреднения обобщается на случай
простоты последующих рассуждений каждый слой
нелинейных уравнений, что позволяет без особых
или включение считается изотропным, хотя обоб-
трудов находить усредненные значения α, σ, k в слу-
щение на случай произвольной анизотропии легко
чае, когда эти величины являются тензорными.
254
ЖЭТФ, том 161, вып. 2, 2022
Усреднение термоэлектрических сред. . .
2. УСРЕДНЕНИЕ СЛОИСТЫХ
Термоэлектрический потенциал может быть найден
ТЕРМОЭЛЕКТРИЧЕСКИХ СРЕД
независимо от теплового поля. Уравнение для его
определения имеет вид ΔΦ = 0, где Δ — опера-
2.1. Уравнения термоэлектричества
тор Лапласа. После нахождения Φ для получения
Для описания теплового и электрического полей
распределения температуры следует решить послед-
будем использовать температуру T , потенциал элек-
нее уравнение системы (3), которое также является
трического поля ϕ, а также связанные с ними вели-
уравнением Лапласа. Таким образом, решение си-
чины: напряженность электрического поля E, элек-
стемы (3) сводится к последовательному решению
трический ток j и тепловой поток q. Эти величины,
двух уравнений Лапласа. Отсюда сразу следует, что
согласно принципам неравновесной термодинамики
усреднение коэффициентов тепло- и электропровод-
[28, 29], связаны между собой соотношениями
ности для слоистой структуры происходит независи-
{
мо друг от друга, поэтому для нахождения их эф-
E = ρj + αgradT,
фективных значений можно использовать правила
q = αTj - kgradT,
усреднения диэлектриков. Трудности могут возни-
{
кать только при усреднении коэффициента термо-
j = σE - ασgradT,
эдс, который характеризует степень взаимодействия
q = ασTE - (k + α2σT)gradT,
теплового и электрического полей.
(1)
⎧
⎪
αT q
⎨
gradT =
j-
,
2.2. Условия на границе двух
k(
k
)
термоэлектриков
α2T
α
⎪
⎩ gradϕ = - ρ +
j+
q.
k
k
Для корректного вывода граничных условий об-
ратимся к одному из основных принципов неравно-
Здесь ρ = 1/σ — удельное сопротивление. Три сис-
весной термодинамики — принципу Пригожина [30].
темы в (1) являются эквивалентными, различаются
Теорема Пригожина утверждает, что скорость про-
только выбором переменных в левой части и все ис-
изводства энтропии внутри открытой системы в ста-
пользуются для последующих преобразований. По-
ционарном состоянии положительна и минимальна.
мимо соотношений (1) должны выполняться усло-
Обозначим через Xi термодинамические силы, а че-
вия сохранения заряда и энергии:
рез Ji — термодинамические потоки. При малых
отклонениях от положения равновесия потоки яв-
div j = 0, div q + j · grad ϕ = 0.
(2)
ляются линейными функциями термодинамических
сил:
В соответствии со сказанным выше, при нахож-
∑
дении параметров эффективной среды отбросим
Ji =
LikXk,
(4)
k=1
джоулево тепло j · grad ϕ во втором уравнении (2).
причем кинетические коэффициенты Lik при отсут-
Оно квадратичным образом зависит от напряжен-
ствии магнитного поля должны удовлетворять сле-
ности электрического поля, которая предполагается
дующему условию симметрии: Lik = Lki. В матрич-
инфинитезимально малой. Перейдем от электричес-
ном виде соотношение (4) запишем как J = LX,
кого потенциала ϕ к термоэлектрическому по фор-
где J и X — вектор-столбцы, J = (J1, J2, . . . , Jn)tr,
муле Φ = ϕ+αT и будем предполагать, что коэффи-
X = (X1,X2,...,Xn)tr, а L — квадратная матрица
циенты α, σ, k не зависят от температуры и элект-
с элементами Lik. Индекс tr означает транспониро-
рического поля. Это предположение означает, что
вание. Производство энтропии в этом приближении
эффектом Томсона будем пренебрегать. Тогда сис-
квадратичным образом зависит от термодинамичес-
тема уравнений (1), (2) упростится и запишется в
ких сил:
виде
⎧
∫
⎪
j = -σ gradΦ,
dS
∑
⎪
=
LikXiXk dV,
⎨
dt
div σ grad Φ = 0,
V i=1k=1
(3)
(5)
q = -ασT gradΦ - kgradT,
∫
⎪
dS
⎪
⎩
j2
= XtrLX dV.
div k grad T +
= 0.
dt
σ
V
В системе (3) только уравнение для теплового по-
Согласно принципу Пригожина связь между силами
тока содержит обе неизвестные функции T и Φ.
и потоками (4) может быть найдена из условия ми-
255
А. С. Старков, И. А. Старков
ЖЭТФ, том 161, вып. 2, 2022
нимальности производства энтропии (5). В соответ-
то система уравнений (9) распадается на множество
ствии с формулами (4), (5) производство энтропии
отдельных уравнений, которые имеют вид
также может быть записано в виде
∫
∫
div L′kk grad U′k
= 0.
(10)
dS
∑
=
XiJi dV = XtrJ dV.
(6)
dt
Тогда на границах раздела должны быть непрерыв-
V i=1
V
ны сама функция U′k и нормальная к границе ком-
понента вектора L′kk grad U′k. Для уравнений термо-
Для вывода уравнений и граничных условий удоб-
электричества, как следует из уравнений (3), в ка-
нее формула (4), которая позволяет использовать
честве U′k выступают Φ и T . Отвечающее электри-
вариационные методы. В некоторых случаях (§§ 6,
ческому току слагаемое в производстве энтропии в
7 гл. 10 [31]) соотношение (6) позволяет проще опре-
соответствии с формулой (8) записывается в виде
делить силы и потоки. Если от термодинамических
сил Xi перейти к новым термодинамическим силам
∫
(gradΦ)2
Yi по формулам, которые в матричной записи име-
σ
dV.
(11)
2
ют вид X = CY с симметричной матрицей C, то
производство энтропии примет вид
Отсюда из принципа Пригожина вытекает непре-
рывность на границах различных сред как термо-
∫
dS
электрического потенциала Φ, так и нормальной со-
= Y trL′Y dV, L′ = CtrLC.
(7)
dt
ставляющей вектора grad Φ, т. е. электрического то-
V
ка j. В противном случае на границе возникают по-
Обычно считают матрицу C унитарной: C-1 = Ctr,
верхностные токи.
Рассмотрим теперь ситуацию, когда меняются
а матрицу L′ — диагональной, что позволяет упро-
стить некоторые выкладки. Эти условия будем счи-
силы, а потоки остаются неизменными [24, 25]. С
точки зрения неравновесной термодинамики это ме-
тать в дальнейшем выполненными. Из формулы (7)
вытекают законы преобразования потоков J и про-
тодически неправильно, но ошибкой не является,
хотя может приводить к некорректным результа-
изводства энтропии:
там. Так как в подходе работы [24] потоки не ме-
∫
dS
няются, то граничные условия для них совпадают с
J′ = L′Y,
= Y trJ′ dV.
(8)
dt
граничными условиями, вытекающими из принци-
V
па Пригожина. В свою очередь, граничные условия
для потенциальных функций (непрерывность исход-
Таким образом, в неравновесной термодинамике при
ных потенциалов Ui) просто постулируются, а не вы-
изменении сил также меняются и потоки.
водятся. Требование непрерывности электрического
В дальнейшем для определенности будем пола-
потенциала ϕ приводит к разрыву термоэлектриче-
гать, что силы имеют вид Xi = - grad Ui, где Ui —
ского потенциала Φ и к появлению нефизических по-
некоторые потенциальные функции, из которых со-
верхностных токов. При этом производство энтро-
ставим столбец U. Именно этот случай реализуется
пии не является минимальным, и принцип Приго-
в теории термоэлектричества. При сделанном пред-
жина не выполняется. Значит, подход [24,25] следу-
положении о термодинамических силах уравнения
ет считать ошибочным, а выводы этих работ — не
для потоков имеют вид законов сохранения:
соответствующими действительности. Ввиду этого
∑
в дальнейшем на границе раздела сред будем требо-
div Ji = 0, Ji = -
Lik gradUk.
(9)
вать непрерывность следующих четырех величин:
k=1
(Φ, T, jn, qn).
(12)
Граничные условия вытекают либо из общей фор-
мы первой вариации для интегральной части в (6)
Здесь jn, qn — нормальные составляющие соответст-
[32], либо из условия ограниченности слагаемых в
вующих векторов.
(9), понимаемых в смысле обобщенных функций.
И в том, и в другом случае требуется непрерыв-
2.3. Матричный метод усреднения для
ность нормальной к границе составляющей векто-
∑n
слоистых термоэлектриков
ров потоков Ji и функций
Lik gradUk. Если
k=1
же производство энтропии линейным преобразова-
Исследование системы уравнений (1), (2) нач-
нием U = CU′ приведено к диагональному виду (7),
нем с периодической слоистой структуры, изобра-
256
ЖЭТФ, том 161, вып. 2, 2022
Усреднение термоэлектрических сред. . .
∂Φ
= -ρjx,
∂x
∂T
αT
1
=
jx -
qx,
∂x
k
k
∂jx
∂Φ
(13)
∂x
=σ∂y,
(
)
∂qx
α2T
= -j2
x
ρ+
-
∂x
k
α
∂2Φ
∂2T
-
jxqx + ασT
k
∂y2
+k∂y2.
Здесь индекс x указывает на соответствующую ком-
поненту вектора. В системе (13) оставлена зависи-
Рис. 1. Периодическая система термоэлектрических слоев
мость только от одной координаты вдоль слоев — y,
так как зависимость от второй продольной коорди-
наты точно такая же и не добавляет новой инфор-
мации об усредненных характеристиках рассматри-
ваемой структуры. В матричной форме система (13)
женной на рис. 1. Период состоит из n слоев. Каж-
может быть записана в виде
дый слой характеризуется постоянными σi, ki, αi,
∂U
где i — номер слоя. Толщину i-го слоя обозначим
= A(U).
(14)
∂x
через hi = xi - xi-1, а относительную толщину —
через ϑi = hi/xn,
∑ϑi = 1. Для достаточно тол-
Здесь A(U) — операторная матрица, определяемая
стых слоев hi > 20 нм можно пренебречь рассеянием
правой частью системы (13). Важным свойством
фононов, туннелированием и энергетической фильт-
матрицы A является то, что в нее не входят произ-
рацией носителей на границах [4] и ограничиться
водные по координате x. Для линейных уравнений
условиями непрерывности для величин из (12) на
A(U) = A0U с некоторой операторной матрицей A0,
границах x = xi, i = 1, 2, . . . , n - 1.
не зависящей от U. В этом случае решение U мо-
жет быть получено при помощи матричной экспо-
Кроме того, величины в (12) должны быть пери-
ненты [15], задаваемой своим рядом Маклорена. В
одическими: их значения при x = 0 и x = xn долж-
рассматриваемом нелинейном случае также можно
ны совпадать. Условия периодичности, как и любые
искать решение (14) в виде ряда Маклорена. Для
другие граничные условия при x = 0 и x = xn, не
первых членов этого ряда имеем
влияют на усредненные характеристики [15], поэто-
му в дальнейшем их не будем учитывать.
U (x) = U(0) + A(U(0))x +
dA
x2
+
A(U(0))
+...
(15)
Для нахождения усредненных характеристик
dU
2
U =U(0)
описанной периодической структуры воспользуемся
ММУ [16], который изначально использовался при
Если же коэффициенты матрицы A(U) зависят так-
решении задач теории упругости [15]. Преимуще-
же от координаты x, то линейное слагаемое в (15)
∫
ством ММУ при нахождении эффективных пара-
следует заменить на
A(U(0), x) dx. Ограничиваясь
метров слоистых сред является возможность огра-
первыми двумя слагаемыми в (15), для каждого
ничиться операциями с матрицами и не решать ни-
слоя получаем приближенную формулу, связываю-
каких дифференциальных уравнений. Ранее он ис-
щую значения столбца неизвестных в начале и конце
пользовался только для усреднения структур, опи-
периода:
сываемых линейными уравнениями. Применим этот
∑
метод к нелинейным уравнениям (1). Для этого из
U (xn) = U(0) + Ai(U0)hi + . . .
(16)
величин, непрерывных на границах раздела сред,
i=1
составим столбец U
= (ϕ, T, jx, qx)tr. Из системы
уравнений (1) выразим производные от компонент
Сравнивая правую часть в (16) с аналогичным раз-
U по x и перепишем систему в виде
ложением для эффективной среды, для эффектив-
257
А. С. Старков, И. А. Старков
ЖЭТФ, том 161, вып. 2, 2022
ного значения матрицы A(U) при наличии зависи-
Первая из формул (18) справедлива в случае кусоч-
мости от x и при ее отсутствии получаем следующие
но-постоянных физических характеристик слоистой
выражения:
системы, а вторая, более общая, — для коэффициен-
тов, меняющихся вдоль координаты x. Полученные
∫
xi
∑
формулы (18) полностью описывают эффективную
Aeff (U0) =
Ai(U0, x)dx,
термоэлектрическую среду и позволяют вычислить
i=1x
i-1
(17)
ее добротности Z∥ и Z⊥. Эти формулы применимы
∑
не только для периодических, но и для произволь-
Aeff (U0) =
Ai(U0)ϑi.
ных слоистых структур.
i=1
Если рассматриваются цилиндрические или сфе-
Если общая толщина системы остается постоян-
рические слои, уравнения которых в цилиндриче-
ной, а число периодов стремится к бесконечности, то
ской или сферической системе координат задаются
невыписанными слагаемыми в (16) можно пренеб-
уравнениями r = ri, i = 0, 1, . . . , n, а толщины за-
речь. Это утверждение доказано только в линей-
даются соотношениями li = ri+1 - ri, то и для та-
ном случае при некоторых ограничениях на матри-
ких структур применим ММУ. Для них усреднение
цу A0 [16], но естественно ожидать, что оно оста-
проходит по кольцам или по шаровым слоям. Соот-
ется в силе и для нелинейных задач, для которых
ветственно, при интегрировании возникает дополни-
ряд (15) сходится в некоторой норме. Если слоис-
тельный множитель r или r2, который приводит к
тую среду заменить на эффективную с постоянными
изменению правил усреднения (18), (19) [16,20]. До-
физическими характеристиками, то формула (16)
статочно простые, но громоздкие выкладки показы-
по-прежнему должна быть справедливой. С физи-
вают, что формулы (18) остаются в силе, если пра-
ческой точки зрения, это предположение означает,
вило усреднения (19) для направления, перпенди-
что температура T , потенциал ϕ, ток j и поток теп-
кулярного слоям, заменить на одно из следующих.
ла q мало меняются поперек произвольного слоя, а
Для цилиндрических слоев усредненные характери-
их зависимость от координаты в каждом слое мож-
стики некоторой величины a находятся по формуле
но приближенно считать линейной. Для нелиней-
∑
1
ной системы уравнений данный подход приводит к
a=
ln(ri+1/ri) ai.
(20)
ln(rn/r0)
некоторым интегральным соотношениям, связыва-
i=1
ющим термоэлектрические характеристики с темпе-
Для сферических слоев формула нахождения сред-
ратурой и электрическим полем. Для того чтобы из
них имеет вид
этих соотношений получить искомые эффективные
(
)
значения α, σ, k, сделаем несколько упрощающих
∑
1
1
предположений. Будем полагать, что задаваемые на
ã=
-
ai.
(21)
rn - r0i=1
ri
ri+1
внешних границах электрическое и температурное
поля не очень велики. Тогда изменение температу-
Таким образом, при усреднении цилиндрических
ры T также можно считать малым по сравнению
или сферических слоев в формуле (19) нужно пра-
с самой температурой. Считая данное предположе-
вило a для некоторой величины a заменить на пра-
ние выполненным и сравнивая формулу (16) с ана-
вило a (20) или ã (21) соответственно. В качестве
логичной формулой эффективной среды, получаем
величины a может выступать α, ρ, σ или k. Пере-
искомые формулы для эффективных характеристик
ход от формул усреднения плоскослоистых термо-
периодической среды:
электрических сред к аналогичным формулам для
(
)
(
)
цилиндрических и сферических слоев совпадает с
1
1
α
=
,
α⊥ =
k⊥, ρ⊥ = ρ,
подобной процедурой в отсутствие взаимодействия
k⊥
k
k
теплового и электрического полей [16,20].
(18)
ασ
При αi = 0 формулы (18) переходят в хорошо из-
σ∥ = σ, α∥ =
,
k∥ = k.
вестные формулы теплоемкости и электропроводно-
σ∥
сти слоистых сред [20]. Наличие термоэдс не меняет
Здесь черта над величиной означает ее взвешенное
теплопроводность поперек слоев k⊥. Теплопровод-
среднее по слоям. Например,
ность вдоль слоев k∥, наоборот, зависит от коэффи-
∫
xi
циентов Зеебека αi и коэффициентов электропро-
∑
∑
k= ϑiki, k=
ki(x)dx.
(19)
водности σi. Кроме того, термоэлектрическая до-
i=1
i=1x
бавка к k∥ оказывается пропорциональной темпера-
i-1
258
ЖЭТФ, том 161, вып. 2, 2022
Усреднение термоэлектрических сред. . .
туре и может быть как положительной, так и от-
могут быть выписаны и для анизотропных сфери-
рицательной. Коэффициенты Зеебека для разных
ческих и цилиндрических слоев [33]. Заметим, что
направлений усредняются по-разному. Для направ-
учет анизотропии не приводит к заметному увели-
ления, перпендикулярного слоям, помимо значений
чению числа Иоффе [34].
этого коэффициента в слоях, на усредненное зна-
чение влияют только коэффициенты теплопровод-
2.4. Возможность увеличения
ности. В направлении, параллельном слоям, коэф-
термоэлектрической добротности для
фициент α∥ определяется через αi и коэффициен-
слоистых сред
ты электропроводности. Формулы для эффективно-
го сопротивления вдоль и поперек слоев для термо-
Выведенные формулы (18) позволяют решить
вопрос о целесообразности добавления еще одного
электрических сред полностью совпадают с форму-
лами для нахождения сопротивления цепи при по-
слоя с известными термоэлектрическими свойства-
следовательном и параллельном соединении отдель-
ми. Пусть имеется изначальный слой относительной
ных сопротивлений.
толщины ϑ1 и к нему добавили второй слой относи-
Одним из преимуществ ММУ является то, что
тельной толщины ϑ2 = 1 - ϑ1. Введем новые тер-
моэлектрические коэффициенты β = α/k, κ = 1/k.
его можно использовать и для нахождения эф-
фективных характеристик анизотропных материа-
Эффективные значения этих коэффициентов и так-
же ρe линейно зависят от ϑ2, а именно:
лов, причем сложность расчетов при этом не силь-
но увеличивается. Если считать кинетические ко-
βe = β1 + (β2 - β1)ϑ2, κe = κ1 + (κ2 - κ1)ϑ2,
эффициенты тензорными величинами σij , αij , kij ,
i, j = 1, 2, 3, то для эффективных значений коэф-
ρe = ρ1 + (ρ2 - ρ1)ϑ2.
фициентов электропроводности и теплопроводности
Тогда изменение термоэлектрической добротности
σeij, keij получаем согласно [33] следующие выраже-
при изменении ϑ2 можно охарактеризовать коэф-
ния:
(
)
(
)
фициентом L, который определим следующим об-
1
1
σ1i
разом:
=
,
σe1i =
σe11,
σe11
σ11
σ11
1
dZ
δβ
δρ
δκ
(
)
L(ϑ1) ≡
-
(23)
σ
1iσi1
σe1iσei1
Z dϑ2
=2βe
- ρe
κe
σeii = σii -
+
,
σ11
σe
11
Здесь введены обозначения δβ = β2 - β1, δκ = κ2 -
(
)
(
)
(22)
- κ1, δρ = ρ2 - ρ1. После приведения к общему зна-
1
1
k1i
=
,
ke1i =
ke11,
менателю дробей в правой части равенства (23) ока-
ke11
k11
k11
зывается, что числитель является линейной функ-
(
)
k
ke1ike
цией ϑ2. Отсюда вытекает, что условием увеличе-
1iki1
i1
keii = kii -
+
,
i = 2,3.
ния добротности по сравнению со значениями Z1
k11
ke
11
и Z2 является положительность L(0) и отрицатель-
Если в тензорах σij и kij отличны от нуля только
ность L(1). Простой анализ выражения (23) показы-
диагональные элементы (σij = 0, kij = 0, i = j),
вает, что одновременное выполнение двух этих усло-
то формулы (22) переходят в выведенные ранее для
вий при любых физически осуществимых парамет-
изотропной среды формулы (18). Из формул (22)
рах в (23) невозможно. А вот обратная ситуация,
следует, что усреднение происходит по трем прави-
когда L(0) < 0, а L(1) > 0, возможна. Следователь-
лам. Коэффициенты поперек слоев (σ11 и k11) усред-
но, зависимость Z(ϑ2) может иметь минимум, но не
няются по правилу взвешенного среднего гармони-
может иметь максимум на промежутке [0; 1]. Зна-
ческого и их среднее значение не зависит от других
чит, термоэлектрическая добротность двухслойной
коэффициентов. Среднее значение коэффициентов,
системы не превосходит большее значение из термо-
содержащих один индекс 1, определяется не толь-
электрических добротностей каждого из слоев. Этот
ко значениями этих коэффициентов в слоях, но и
вывод является чрезвычайно важным. Из него сле-
значениями коэффициентов с индексом 11. Нако-
дует, что увеличение термоэлектрической добротно-
нец, эффективные значения кинетических коэффи-
сти в слоистой системе возможно, только если тол-
циентов, определяющих поведение термоэлектрика
щина слоев будет меньше 20 нм, когда предлагаемая
вдоль слоев, задается значениями всех компонент
модель усреднения перестает работать из-за возрас-
соответствующего тензора. Аналогичные формулы
тания роли фононов и носителей зарядов. Получен-
259
А. С. Старков, И. А. Старков
ЖЭТФ, том 161, вып. 2, 2022
ное в работе [22] увеличение добротности для двух-
слойной системы вызвано ее зависимостью от вели-
чины подаваемого напряжения, точнее, от величи-
ны джоулева тепла. Оно является весьма малым и
имеет место при небольших значениях относитель-
ной толщины дополнительного слоя. Эксперимен-
тального подтверждения полученных в [22] теорети-
ческих результатов получить не удалось. Напомним,
что в предлагаемом на основе ММУ подходе усред-
ненные характеристики считались при инфините-
зимально малых напряженностях. На наш взгляд,
возможное увеличение добротности, вызванное ко-
нечным значением напряженности электрического
поля, точнее, величиной джоулева тепла, не явля-
ется устойчивым к малым возмущениям, вызыва-
емым различными физическими факторами. Вви-
ду этого использование зависимости эффективных
свойств композитных сред от электрического поля
не может привести к увеличению Ze реальных сло-
истых термоэлектрических сред.
Численные расчеты также показывают, что
увеличения термоэлектрической добротности
невозможно добиться для цилиндрических и
сферических слоев, но строгим доказательством
этого утверждения авторы не располагают. Ввиду
этого структуры типа наноматрешек не являются
перспективными для получения высокодобротных
термоэлектрических материалов. Возможно только
использование включений типа ядро-оболочка. До-
Рис. 2. Система цилиндрических (а) и сферических (б)
бавление к этому типу включений еще нескольких
включений в неограниченную матрицу
слоев приведет только к уменьшению эффективнос-
ти композитного материала.
ные вне включений будем снабжать индексом m,
внутри — индексом i. Включения располагаются
3. УСРЕДНЕНИЕ ВОЛОКНИСТЫХ И
во внешнем электрическом и температурном полях
ЗЕРНИСТЫХ КОМПОЗИТНЫХ
ϕ∞ = -E∞r cosθ, T∞ = -q∞r cosθ. Постоянные E∞
ТЕРМОЭЛЕКТРИЧЕСКИХ СРЕД
и q∞ имеют смысл напряженности электрического
поля и теплового потока на большом удалении от
3.1. Постановка задачи
включения. Искомые значения потенциалов ϕ, Φ и
Из вида уравнений (2) и граничных условий
температуры T должны удовлетворять уравнениям
(12) сразу следует, что электрическая проводимость
(1)-(3). При удалении от включения они должны
усредняется независимо от других характеристик.
стремиться к заданным значениям:
Для ее нахождения можно использовать хорошо
известные формулы Максвелла Гарнетта и Бруг-
ϕ→ϕ∞, T →T∞,
гемана. Ввиду этого ограничимся нахождением αe
(24)
Φ → Φ∞ = ϕ∞ + αmT∞, r → ∞.
и ke для включений цилиндрической и сферичес-
кой формы. Вначале разберем случай одиночного
На межфазной границе r = r0 должны выполнять-
включения. Будем одновременно рассматривать ци-
ся граничные условия (12), которые в рассматрива-
линдрическое и сферическое включения в центре
емом случае заключаются в непрерывности следую-
цилиндрической или сферической системы коорди-
щих величин:
нат (r, θ) (см. рис. 2). Радиусы цилиндра и шара
обозначим через r0. Термоэлектрические постоян-
(Φ, jr, T, qr).
(25)
260
ЖЭТФ, том 161, вып. 2, 2022
Усреднение термоэлектрических сред. . .
Решение поставленной задачи (24), (25) будем ис-
кать в виде
(
)
rd+10
Φm =
-(E∞ + αmq∞)r + A
cosθ,
rd
Φi = -Br cosθ,
(
)
(26)
rd+10
Tm =
-q∞r + C
cosθ,
rd
Ti = Dr cosθ
с некоторыми неизвестными постоянными A, B, C,
D. Постоянная d = 1 для цилиндра и d = 2 для сфе-
ры. Неизвестные функции, записанные в виде (26),
удовлетворяют уравнению Лапласа и условиям на
бесконечности (24). Обратимся теперь к граничным
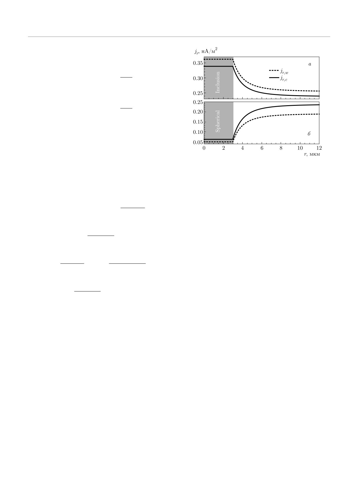
Рис. 3. Координатные зависимости радиальной состав-
ляющей тока для различных моделей граничных усло-
условиям (25). При подстановке (26) в (25) получаем
вий — непрерывность термоэлектрического (jr,c) и непре-
систему линейных уравнений, из которой находим
рывность электрического (jr,w ) потенциалов. Расчеты вы-
искомые коэффициенты:
полнены для матрицы MgAg0.97Sb1 и сферических вклю-
σi - σm
чений p-SiGe (а), SnSe (б). Кривая jr,w не является непре-
A = a(E∞ + αmq∞), a =
,
рывной, поскольку на границе раздела сред при r = r0
σi + dσm
имеет дельтообразную особенность, которая не отобража-
B = b(E∞ + αmq∞),
ется на графике
(1 + d)σm
b=
,
σi + dσm
и SnSe (αi = 210 мкВ/K, σi = 9.2 · 103 Ом-1 · м-1,
C = C1q∞ + C2b(E∞ + αmq∞),
(27)
ki = 1.1 Вт · м-1 · K-1 [38]).
ki - km
(αm - αi)σiT
Результаты расчетов радиальной составляющей
C1 =
,
C2 =
,
ki + dkm
ki + dkm
тока (jr,c) и ее аналога (jr,w) по формулам (27) пред-
D = D1q∞ + D2b(E∞ + αmq∞),
ставлены на рис. 3. Наибольшая относительная раз-
ность токов jr,w и jr,c при комнатной температуре
(1 + d)k
D1 =
m, D2 =C2.
составила 6.5 % для включений p-SiGe и 20 % для
ki + dkm
SnSe. Отметим, что эта величина пропорциональ-
Полученное решение (26), (27) можно использо-
на абсолютной температуре и для высоких темпера-
вать для нахождения эффективных характеристик
тур может составлять несколько десятков процен-
композитной среды со случайно расположенными
тов. Графики радиальных составляющих тока для
цилиндрическими или сферическими включениями
двух моделей ведут себя примерно одинаково, что
типа ядро-оболочка.
приводит к близким значениям для физических ха-
Выше были описаны два различных подхода к
рактеристик усредненной среды. Более того, они мо-
граничным условиям. В первом требовалось непре-
гут быть получены друг из друга простой заменой
рывность электрического потенциала ϕ, во вто-
кинетических коэффициентов. Тем не менее непре-
ром — непрерывность термоэлектрического потен-
рывность потенциала ϕ приводит к разрыву тер-
циала Φ. Для сравнения этих подходов рассчитаем
моэлектрического потенциала Φ на границе разде-
радиальную составляющую тока jr в двух случаях.
ла двух сред. Вследствие этого нормальная состав-
Будем считать, что термоэлектрический шар поме-
ляющая тока в соответствии с формулами (1) яв-
щен только в электрическое поле (E∞ = 5 кВ/м,
ляется обобщенной функцией и содержит дельтооб-
q∞ = 0, r0 = 3 мкм, d = 2). В качестве мате-
разную особенность на границе. При этом диверген-
риала матрицы был выбран MgAg0.97Sb1 (αm
=
ция тока имеет особенность в виде производной от
= 220 мкВ/K, σm = 4.76 · 104 Ом-1 · м-1, km =
дельта-функции. Это означает, что граница раздела
= 0.81 Вт · м-1 · K-1 [35, 36]), в качестве напол-
является источником тока. Следовательно, непре-
нителя
— p-SiGe (αi
= 115.12 мкВ/K, σi
=
рывность ϕ ведет к нефизической картине для тока
= 8.58 · 104 Ом-1 · м-1, ki = 2.37 Вт · м-1 · K-1 [37])
и при определенных условиях (например, при вы-
261
А. С. Старков, И. А. Старков
ЖЭТФ, том 161, вып. 2, 2022
соких температурах) может приводить к серьезной
ется независимо от других физических характерис-
погрешности.
тик. В эффективное значение коэффициента Зеебе-
ка входят как значения этого коэффициента в мат-
рице и включении, так и теплопроводность и элект-
3.2. Усреднение нанокомпозитов со случайно
ропроводность.
расположенными включениями
Эффективные характеристики композитной сре-
3.3. Обсуждения и результаты
ды будем находить по методу Бруггемана [10,11,39].
Рассмотрим некоторую элементарную ячейку. Обо-
На основе формул (28) и (31) были проведе-
значим объемы, занимаемые матрицей и включени-
ны численные расчеты двухфазных композитных
ем в ячейке, через Vm и Vi, а относительные объе-
сред. Были рассчитаны эффективные термоэлект-
мы — через νm = Vm/V и νi = Vi/V , νi +νm = 1. Эф-
рические характеристики для двух возможных ва-
фективная электропроводность, как показано вы-
риантов включений SnSe — цилиндрических и сфе-
ше, определяется только значениями σm и σi. В
рических — в матрицу MgAg0.97Sb1. Результаты рас-
этом случае уравнение для определения σe в под-
четов зависимости эффективных значений электро-
ходе Бруггемана хорошо известно и имеет вид
проводности, коэффициента Зеебека, теплопровод-
ности и добротности от концентрации включений
σm - σe
σi - σe
+νi
= 0.
(28)
представлены на рис. 4.
νm σm + dσe
σi + dσe
Как и следовало ожидать, термоэлектрическая
Обобщим данный подход для нахождения коэф-
эффективность в рассматриваемой модели эффек-
фициентов αe и ke, полагая σe известным. Плот-
тивной среды оказалась монотонной функцией от
ность дипольных моментов включения в эффектив-
концентрации включений и не превосходит наи-
ной среде согласно (26), (27) имеет вид
большей эффективности компонент [10,26,27]. Для
электро- и теплопроводности композитных сред для
ki - ke
(αi - αe)σiσe(1 + d)
усредненных значений этих величин могут быть по-
Ci =
q∞ +
×
ki + dke
(ki + dke)(σi + dσe)
лучены более точные оценки. А именно, эффектив-
× (E∞ + αeq∞)T.
(29)
ная теплопроводность композита лежит между взве-
шенным средним и взвешенным гармоническим теп-
Совершенно аналогично находится плотность ди-
лопроводностей компонент [20]. Аналогичные оцен-
польных моментов для материала матрицы в эф-
ки справедливы для сопротивления и электропро-
фективной среде:
водности. Важным обстоятельством является то,
что эти оценки являются абсолютными и не зависят
km - ke
(αm - αi)σmσe(1 + d)
от модели усреднения. По-видимому, эффективные
Cm =
q∞ +
×
km + dke
(km + dke)(σm + dσe)
значения термоэдс и термоэлектрической добротно-
× (E∞ + αeq∞)T.
(30)
сти также могут быть оценены подобным образом.
Отсюда следует, что для сред, которые позволяют
Потребуем вслед за Бруггеманом, чтобы полный ди-
использовать приближение эффективной среды, не
польный момент ячейки равнялся 0. Отсюда полу-
следует ждать увеличения термоэлектрической доб-
чаем уравнение νiCi + νmCm = 0. Приравнивая ко-
ротности. Для увеличения числа Иоффе следует ис-
эффициенты при линейно независимых параметрах
пользовать зависимость кинетических коэффициен-
Q∞ и E∞, приходим к уравнениям, позволяющим
тов от размеров для наноразмерных включений (на-
находить эффективные значения теплопроводности
ноструктурирование [6,10,11]). Так, для нанострук-
и термоэдс:
турированных кремниевых нанопроволок параметр
ZT увеличился в 60 раз по сравнению с объемным
ki - ke
km - ke
+νm
= 0,
материалом [40]. В наноструктурированном матери-
νi ki + dke
km + dke
але имеется множество границ между наночасти-
(αe - αi)σi
(31)
цами, поэтому естественно ожидать существенного
νi (ki + dke)(σi + dσe)+
уменьшения фононной теплопроводности по сравне-
(αe - αm)σm
+νm
= 0.
нию с исходными материалом. Рассеяние фононов
(km + dke)(σm + dσe)
на границах нановключений размером 10-20 нм в
Из приведенных формул следует, что теплопровод-
твердом растворе Bi2Te3 может уменьшить тепло-
ность, так же как и электропроводность, усредня-
проводность кристаллической решетки на 20-30 %
262
ЖЭТФ, том 161, вып. 2, 2022
Усреднение термоэлектрических сред. . .
Рис. 4. Зависимости приведенной дифференциальной термоэдс αe (а), теплопроводности ke (б), электропроводности
σe (в), термоэлектрической эффективности ZT (г) от концентрации включений различной формы при T = 300 K
[19]. При этом изменение электропроводности на 10-
ложенная модель не является полной и не объясня-
15 % меньше, что приводит к увеличению отноше-
ет зависимость свойств композитной среды от раз-
ния σ/k и термоэлектрической добротности. Несо-
меров включений, которая наблюдается в экспери-
мненно, что аналогичный эффект должен иметь ме-
менте. Ввиду этого первоочередной задачей теории
сто для случая различных материалов нановключе-
является исследование этой зависимости. Необходи-
ний и матрицы.
мым условием является учет трех основных меха-
низмов, способствующих увеличению термоэлектри-
ческой добротности: рассеяние фононов на границах
4. ВЫВОДЫ
включений, энергетическая фильтрация носителей
вследствие наличия потенциальных барьеров меж-
Систематическое использование термоэлектри-
ду включениями, туннелирование электронов меж-
ческого потенциала Φ позволило перейти от систе-
ду наноструктурными элементами.
мы уравнений к одному уравнению, содержащему
только этот потенциал. В результате удалось упро-
Задача усреднения термоэлектрических сред
стить описание различного вида включений в тер-
является более сложной, чем близкая к ней за-
моэлектрической среде. Основными преимущества-
дача нахождения эффективной диэлектрической
ми описанного выше подхода к описанию термо-
проницаемости. Вызвано это как наличием взаимо-
электрических явлений является простота, строгая
действия теплового и электростатического поля, так
обоснованность, возможность модификации. Пред-
и нелинейностью уравнений термоэлектричества.
263
А. С. Старков, И. А. Старков
ЖЭТФ, том 161, вып. 2, 2022
Основное нелинейное слагаемое, с физической точ-
8.
N. Mathur and A. Mischenko, US Patent
ки зрения, есть джоулево тепло, пропорциональное
No. WO2006056809A1 (2006).
квадрату электрического тока. В настоящей работе
9.
U. S. Ghoshal, U.S. Patent No. 6.595.004 (2003).
ток считается малым, что позволяет пренебречь
указанным слагаемым. При данном допущении
10.
Л. П. Булат, В. Б. Освенский, Ю. Н. Пархоменко,
удается строго доказать, что эффективная термо-
Д. А. Пшенай-Северин, ФТТ 54, 2036 (2012).
электрическая добротность слоистых композитов
11.
А. А. Снарский, А. К. Сарычев, И. В. Безсуднов,
заключена между добротностями отдельных слоев,
А. Н. Лагарьков, ФТП 46, 677 (2012).
т. е. не может быть больше, чем максимальная
добротность слоя. Значит, увеличения добротности
12.
M. Martin-Gonzalez, O. Caballero-Calero, and
можно ожидать только от ламинатных композитов
P. Diaz-Chao, Renew. Sust. Energy Rev. 24, 288
с толщиной слоев меньшей 20 нм. Для описания
(2013).
таких структур нужно учитывать дополнительные
13.
R. Venkatasubramanian, E. Siivola, T. Colpitts, and
эффекты. Основным недостатком тонкослойных
B. O’quinn, Nature 413, 597 (2001).
структур является трудоемкость и высокая стои-
мость их изготовления. Более перспективными, на
14.
W. Xie, X. Tang, Y. Yan, Q. Zhang, and T. M. Tritt,
наш взгляд, являются волокнистые и зернистые
Appl. Phys. Lett. 94, 102111 (2009).
композиты. Проведенные расчеты показали явную
зависимость усредненных свойств от геометрии
15.
Л. А. Молотков, Исследование распространения
волн в пористых и трещиноватых средах на ос-
включений. При выбранном соотношении термо-
нове эффективных моделей Био и слоистых сред,
физических характеристик матрицы и включения
Наука, Санкт-Петербург (2001).
наибольшая эффективность достигается, когда
включения имеют шарообразную форму. Таким
16.
А. С. Старков, И. А. Старков, ЖЭТФ 146, 980
образом, наиболее перспективным материалом
(2014).
для высокопроизводительных термоэлектрических
17.
I. A. Starkov and A. S. Starkov, Sol. St. Commun.
охладителей и генераторов являются зернистые
226, 5 (2016).
композитные наноструктуры.
18.
Л. П. Булат, Д. А. Пшенай-Северин, ФТТ 52, 452
Финансирование. Исследование выполнено
(2010).
при финансовой поддержке Российского научного
фонда (проект №19-79-10074).
19.
Л. П. Булат, И. А. Драбкин, В. В. Каратаев,
В. Б. Освенский, Д. А. Пшенай-Северин, ФТТ 52,
1712 (2010).
ЛИТЕРАТУРА
20.
Г. Н. Дульнев, Ю. П. Заричняк, Теплопроводность
смесей и композиционных материалов: Справоч-
1. Y. V. Sinyavsky and V. M. Brodyansky, Ferroelectrics
ная книга, Энергия, Ленинград (1974).
131, 321 (1992).
21.
Б. Я. Балагуров, ФТП 16, 259 (1982).
2. A. M. Tishin and Y. I. Spichkin, The Magnetocaloric
Effect and its Applications, CRC Press, Boca Raton
22.
Y. Yang, S. H. Xie, F. Y. Ma, and J. Y. Li, J. Appl.
(2016).
Phys. 111, 013510 (2012).
3. I. A. Starkov and A. S. Starkov, IEEE Trans.
23.
I. A. Starkov and A. S. Starkov, J. Nanophotonics
Ultrason. Ferr. 61, 1357 (2014).
10, 033503 (2016).
4. А. Ф. Иоффе, Полупроводниковые термоэлемен-
24.
J. P. Straley, J. Phys. D: Appl. Phys. 14, 2101 (1981).
ты, Изд-во АН СССР, Москва-Ленинград (1960).
5. D. M. Rowe, CRC Handbook of Thermoelectrics, CRC
25.
D. J. Bergman and O. Levy, J. Appl. Phys. 70, 6821
(1991).
Press, Boca Raton (1995).
6. А. В. Дмитриев, И. П. Звягин, УФН 180, 821
26.
P. Wang, B. L. Wang, K. F. Wang, H. Hirakata, and
(2010).
C. Zhang, Int. J. Eng. Sci. 142, 158 (2019).
7. I. A. Starkov and A. S. Starkov, Int. J. Solids Struct.
27.
I. A. Starkov and A. S. Starkov, Int. J. Solids Struct.
100, 187 (2016).
202, 226 (2020).
264
ЖЭТФ, том 161, вып. 2, 2022
Усреднение термоэлектрических сред. . .
28. S. R. De Groot and P. Mazur, Non-Equilibrium Ther-
35. Z. Soleimani, S. Zoras, B. Ceranic, S. Shahzad, and
modynamics, Courier Corp. (2013).
Y. Cui, Sustainable Energy Technologies and Assess-
ments 37, 100604 (2020).
29. Л. Д. Ландау, Е. М. Лифшиц, Электродинамика
сплошных сред, Наука, Москва (1992).
36. Z. Liu, J. Shuai, J. Mao, Y. Wang, Z. Wang, W. Cai,
30. И. Пригожин, Д. Кондепуди, Современная термо-
J. Sui, and Z. Ren, Acta Mater. 102, 17 (2016).
динамика, Мир, Москва (2002).
37. G. Joshi, H. Lee, Y. Lan, X. Wang, G. Zhu, D. Wang,
31. А. И. Ансельм, Основы статистической физики
R. W. Gould, D. C. Cuff, M. Y. Tang, M. S. Dres-
и термодинамики, Наука, Москва (1973).
selhaus, G. Chen, and Z. Ren, Nano Lett. 8, 4670
32. В. И. Смирнов, Курс высшей математики, т. IV,
(2008).
Наука, Москва (1974).
38. X. L. Shi, X. Tao, J. Zou, and Z. G. Chen, Adv. Sci.
33. I. A. Starkov and A. S. Starkov, Int. J. Solids Struct.
7, 1902923 (2020).
160, 32 (2019).
34. L. P. Bulat, I. A. Drabkin, V. V. Karatayev, V. B. Os-
39. В. И. Оделевский, ЖТФ 21, 667 (1951).
venskii, Y. N. Parkhomenko, D. A. Pshenay-Severin,
and A. I. Sorokin, J. Electron. Mater. 43,
2121
40. Al. I. Hochbaum et al., Nature 451, 163 (2008).
(2014).
265
8
ЖЭТФ, вып. 2