ЖЭТФ, 2019, том 156, вып. 5 (11), стр. 972-979
© 2019
ЭЛЕКТРИЧЕСКИЕ СВЕРХТОНКИЕ ВЗАИМОДЕЙСТВИЯ
ПРИМЕСНЫХ АТОМОВ57Fe В ПЕРОВСКИТОПОДОБНЫХ
ХРОМИТАХ ACrO3 (A = Sc, In, Tl, Bi)
А. В. Соболевa*, А. В. Боковa, В. Иb**, А. А. Беликb,
И. А. Пресняковa, Я. С. Глазковаa
a Химический факультет Московского государственного университета им. М. В. Ломоносова
199991, Москва, Россия
b Research Center for Functional Materials, National Institute for Materials Science (NIMS)
305-0044, Tsukuba, Ibaraki, Japan
Поступила в редакцию 13 апреля 2019 г.,
после переработки 24 мая 2019 г.
Принята к публикации 24 мая 2019 г.
Изучены перовскитоподобные хромиты ACr0.9557Fe0.05O3 (A = Sc, In, Tl, Bi) методом зондовой мессбау-
эровской спектроскопии на ядрах57Fe. Спектры образцов ACr0.9557Fe0.05O3 (A = Sc, In, Bi), измерен-
ные выше температуры Нееля TN , показали наличие нескольких неэквивалентных позиций, занимаемых
примесными атомами железа во всех хромитах. Для объяснения существенных различий в значениях
квадрупольных расщеплений были проведены полуэмпирические расчеты параметров градиента элект-
рического поля для всех исследуемых составов в рамках ионной модели с учетом монопольных и ди-
польных вкладов. Проведенные расчеты показали удовлетворительное согласие с экспериментальными
данными.
DOI: 10.1134/S0044451019110130
ществуют, что приводит к возникновению мульти-
ферроэлектрических свойств [7,8]. Ответственность
1. ВВЕДЕНИЕ
за те или иные свойства несет не только электронное
строение входящих в состав атомов, но и особеннос-
В настоящее время одной из наиболее актуаль-
ти структуры.
ных задач исследования конденсированного состоя-
ния вещества становится направленный синтез ма-
Полученные сравнительно недавно перовскито-
териалов с заданными электрофизическими и маг-
подобные хромиты ACrO3 (A = Sc, In [9], Tl [10], Bi
нитными свойствами. Перовскитоподобные оксиды
[11-13]) по своим свойствам существенно отлича-
переходных металлов и их производные насчиты-
ются от изоструктурных хромитов RCrO3 редкозе-
вают рекордное число представителей, характери-
мельных (РЗ) элементов R, что связано с особен-
зующихся целым спектром функциональных харак-
ностями не только сильно искаженной кристалли-
теристик: как электрофизических (сверхпроводи-
ческой структуры (ScCrO3, InCrO3), но и элект-
мость [1], смешанная электронно-ионная проводи-
ронного строения иона A3+ и химических связей
мость [2], переходы изолятор-металл [3], диэлек-
(TlCrO3, BiCrO3) в этих соединениях. Перечислен-
трические свойства и сегнетоэлектричество [4]), так
ные факторы оказывают влияние как на локальную
и магнитных (ферро- и ферримагнетизм, колос-
симметрию, так и на параметры химических связей
сальное отрицательное магнитосопротивление [5],
Cr-O в полиэдрах (Cr3+O6).
спин-калорический эффект [6] и др.). В некоторых
Мессбауэровская спектроскопия является мощ-
случаях электрические и магнитные свойства, про-
ным инструментом для исследования локальной
являемые в одном температурном диапазоне, сосу-
кристаллографической и магнитной структур со-
* E-mail: alex@radio.chem.msu.ru
единений. Поскольку все перечисленные выше хро-
** Wei Yi.
миты не содержат в своем составе мессбауэровских
972
ЖЭТФ, том 156, вып. 5 (11), 2019
Электрические сверхтонкие взаимодействия. ..
нуклидов, в настоящей работе был применен ме-
чения использовали57Co(Rh). Анализ и интерпрета-
тод зондовой мессбауэровской спектроскопии на яд-
ция мессбауэровских спектров осуществлялись с ис-
рах57Fe, введенных в небольших количествах (око-
пользованием программного комплекса SpectrRelax
ло 5 ат. % по отношению ко всему количеству пе-
[15]. Все значения химических сдвигов мессбауэров-
реходного металла) для исследования электриче-
ских спектров приведены относительно α-Fe (фоль-
ских сверхтонких взаимодействий в рассматривае-
га толщиной 28 мкм). Теоретическое моделирова-
мых хромитах.
ние сверхтонких параметров проводилось с помо-
щью программы GRADIENT-NCMS (лаборатория
ядерно-химического материаловедения, химический
2. ЭКСПЕРИМЕНТАЛЬНАЯ ЧАСТЬ
факультет МГУ им. М. В. Ломоносова).
Синтез образцов хромитов соединений
ACr0.9557Fe0.05O3 (A = Bi, Tl, Sc, In) проводи-
3. РЕЗУЛЬТАТЫ И ИХ ОБСУЖДЕНИЕ
ли в условиях высоких давлений и температур в
аппарате belt-типа (Центр исследования функци-
3.1. Структурные данные
ональных материалов, Национальный институт
наук о материалах (NIMS)). В качестве прекурсо-
Результаты порошковой рентгеновской дифрак-
ров использовали оксиды In2O3 (99.99 %), Sc2O3
ции показали, что полученные образцы хромитов,
(99.9 %), Tl2O3 (99.99 %) и Bi2O3 (99.99 %), Cr2O3
содержащих атомы57Fe в качестве мессбауэровс-
(99.9 %) и57Fe2O3 (обогащенный 95.5 %). В случае
ких зондов, соответствуют тем же пространствен-
TlCrO3
подготовка прекурсоров проводилась с
ным группам (P nma, A
= Sc, In, Tl и C2/c,
большой осторожностью ввиду высокой токсичнос-
A = Bi), что и недопированные образцы, и близ-
ти таллия и его соединений. Стехиометрическую
ки к ним по своим параметрам (табл. 1) [9, 10, 12].
смесь оксидов перетирали в ацетоне, сушили в
Небольшое изменение параметров решеток, наблю-
течение 48 ч при T = 423 K и запрессовывали в
даемое для всех хромитов (не более 0.01Å), явля-
капсулы из благородного металла (Au или Pt).
ется вполне ожидаемым, так как ионные радиусы
Выбор благородного металла определялся темпе-
катионов Cr3+ и Fe3+ в октаэдрической анионной
ратурой отжига. Капсулы помещали в аппарат
координации (КЧ = 6) близки и составляют соот-
высокого давления, затем проводили синтез при
ветственно 0.76Å и 0.79Å [16].
давлении 6 ГПа и температуре 1500 K в течение
2 ч (A = Tl, Sc, In) или 1653 К в течение 60-70 мин
3.2. Мессбауэровская спектроскопия
(A = Bi). Время нагрева до заданной темпера-
туры составляло 10 мин. После отжига образец
Мессбауэровский
спектр
хромита
закаливали до комнатной температуры и медленно
TlCr0.9557Fe0.05O3 (рис.
1а), измеренный в па-
снижали давление. Полученные образцы хромитов
рамагнитной области температур (T > TN ), состоит
представляли собой поликристаллические порошки.
из единственного неуширенного квадрупольного
Параметры решетки были определены по по-
дублета, соответствующего по своим параметрам
рошковым дифрактограммам, измеренным на
(табл. 2) высокоспиновым катионам Fe3+ в окта-
рентгеновском дифрактометре RIGAKU Ultima III
эдрическом окружении [17]. Отсутствие видимых
(λ(CuKα), интервал 2θ от 10◦ до 80◦, шаг 0.02◦,
примесных фаз при анализе дифрактограмм, а
время экспозиции 1 мин/град) в Центре исследова-
также существенное отличие сверхтонких па-
ния функциональных материалов Национального
раметров ядер
57Fe от наблюдаемых в других
института наук о материалах (NIMS). Для интерп-
оксидных фазах, которые могли быть получены
ретации дифрактограмм и уточнения параметров
при синтезе, например, Cr2-xFexO3 [18] или TlFeO3
решетки методом Ритвельда использовали про-
[19], позволяют предполагать, что наблюдаемый
грамму RIETAN-2000 [14].
спектр относится к примесным катионам железа
Экспериментальные мессбауэровские спектры на
в матрице хромита TlCrO3. Учитывая близость
ядрах57Fe измеряли с помощью спектрометра элек-
ионных радиусов катионов Fe3+ и Cr3+, можно
тродинамического типа MS-1104Em (Ростов-на-До-
предположить, что зондовые катионы железа ста-
ну), работающего в режиме постоянных ускорений
билизируются исключительно в подрешетке атомов
(лаборатория ядерно-химического материаловеде-
хрома. Аналогичные результаты были получены
ния, химический факультет МГУ им. М. В. Ломоно-
ранее при исследовании хромитов РЗ-элементов
сова). В качестве источника мессбауэровского излу-
RCrO3, допированных ионами57Fe3+ [20].
973
А. В. Соболев, А. В. Боков, В. И и др.
ЖЭТФ, том 156, вып. 5 (11), 2019
Таблица 1. Параметры кристаллической решетки хромитов ACr1-x57FexO3 (A = Sc, In, Tl, Bi; x = 0, 0.05) при
T = 298 K
Соединение
x∗
a,Å
b,Å
c,Å
β
0
5.35845(1)
7.37523(1)
5.03139(1)
90◦
ScCr1-xFexO3
0.05
5.36287
7.39061
5.03725
90◦
0
5.35536(1)
7.54439(1)
5.16951(1)
90◦
InCr1-xFexO3
0.05
5.35701
7.55264
5.17107
90◦
0
5.40318(1)
7.64699(1)
5.30196(1)
90◦
TlCr1-xFexO3
0.05
5.4009(1)
7.6461(2)
5.2991(1)
90◦
0
9.4684(3)
5.4838(2)
9.5932(3)
108.571(3)◦
BiCr1-xFexO3
0.05
9.48005
5.48856
9.58596
108.5788◦
Примечание:∗данные для составов x = 0.05 определялись в настоящей работе, данные для недопированных
хромитов (x = 0) взяты из литературы [9,10,12]
Таблица 2. Сверхтонкие параметры мессбауэровских спектров хромитов ACr0.9557Fe0.05O3 (A = Tl, Sc, In, Bi)
при T = 298 K
Парциальный
Соединение
δ, мм/с
Δ, мм/с
Γ, мм/с
I, %
спектр
TlCr0.9557Fe0.05O3
Fe
0.37(1)
0.46(1)
0.31(1)
100
Fe(1)
0.34(1)
0.50(1)
0.26(1)
95(1)
ScCr0.9557Fe0.05O3
Fe(2)
0.39(1)
1.36(1)
0.26(1)∗
5(1)
Fe(1)
0.35(1)
0.58(1)
0.28(1)
87(1)
InCr0.9557Fe0.05O3
Fe(2)
0.43(1)
1.16(1)
0.28(1)∗
13(1)
Fe(1)
0.39(1)
0.41(1)
0.27(1)
55(1)
BiCr0.9557Fe0.05O3
Fe(2)
0.39(1)
0.67(1)
0.27(1)∗
45(1)
Примечание: δ — химический сдвиг, Δ — квадрупольное расщепление, Γ — ширина резонансной линии на
полувысоте, I — относительная интенсивность.∗Параметры принимались равными друг другу для соответ-
ствующих парциальных спектров.
Напротив, для состава BiCr0.9557Fe0.05O3 месс-
ненты (см. табл. 2), отвечающей высокоспиновым
бауэровский спектр не может быть удовлетвори-
ионам Fe3+ в октаэдрическом кислородном окру-
тельно описан единственным квадрупольным дуб-
жении, также присутствует вторая компонента с
летом (рис. 1б). Учитывая наличие в кристалличе-
большими, чем у основной, величинами химического
ской структуре BiCrO3 двух неэквивалентных пози-
сдвига (δ = 0.39(1)÷0.43(1) мм/с) и квадрупольного
ций Cr3+, можно небезосновательно предположить
расщепления (Δ = 1.16(1) ÷ 1.36(1) мм/с). Посколь-
стабилизацию катионов Fe3+ одновременно в обеих
ку ионные радиусы катионов Sc3+ и In3+, занимаю-
позициях. Сверхтонкие параметры полученных при
щих в структуре ACrO3 позиции с высокими коор-
аппроксимации двух парциальных спектров — квад-
динационными числами (КЧ = 8), составляют соот-
рупольных дублетов Fe(1) и Fe(2) (табл. 2) — также
ветственно 1.01Å и 1.06Å [16], стабилизация в этих
соответствуют высокоспиновым ионам Fe3+ в окта-
позициях части зондовых катионов Fe3+ представ-
эдрическом кислородном окружении [17].
ляется маловероятной. Однако подобная частичная
В спектрах образцов ACr0.9557Fe0.05O3 (A = Sc,
инверсия, установленная в том числе методом месс-
In) (рис. 1в,г) кроме основной по площади компо-
бауэровской спектроскопии на ядрах57Fe, ранее на-
974
ЖЭТФ, том 156, вып. 5 (11), 2019
Электрические сверхтонкие взаимодействия. ..
блюдалась для перовскитоподобных ScCo1-xFexO3
[21, 22], Sc2NiMnO6 [23] и In2NiMnO6 [24]. Высокие
100
значения химического сдвига атомов57Fe, занимаю-
98
щих позиции с высокими координационными числа-
а
96
ми, обусловлены увеличенной длиной связей Fe-O и,
как следствие, повышенной степенью их ионности,
94
а значения квадрупольного расщепления свидетель-
92
ствуют о низкой локальной симметрии окружения
57
катионов железа в таких позициях.
TlCr
Fe O
90
0.95
0.05
3
88
3.3. Расчеты параметров градиента
86
электрического поля
100
Для кристаллохимического подтверждения
98
б
соотнесения компонент мессбауэровских спектров
96
структурным позициям, занимаемым зондами
Fe(2)
57Fe в структурах хромитов, нами были выпол-
94
нены расчеты параметров тензора Vij градиента
92
электрического поля (ГЭП) с использованием
Fe(1)
90
программного приложения GRADIENT-NCMS,
57
BiCr
Fe O
0.95
0.05
3
разработанного в нашей группе, а также данных о
88
кристаллической структуре незамещенных хроми-
86
тов ACrO3 (A = Bi, Tl, Sc, In) [9, 10, 13]. Расчеты
проводились с учетом как монопольных вкладов
100
(Vmonij), так и дипольных (Vdipij) от каждого сор-
та ионов, заключенных в сферу радиусом 50Å.
в
98
Детали подобных расчетов ГЭП были описаны в
Fe(1)
Fe(2)
предыдущих работах [25, 26]. Для монопольного
96
вклада в ГЭП в качестве исходных параметров
используются данные о кристаллической структуре
и заряды ионов, равные формальным степеням
94
57
окисления соответствующих элементов в оксидах
ScCr
Fe O
0.95
0.05
3
A3+B3+O2-3. В наших расчетах были выбраны
92
формальные эффективные заряды, полученные с
100
использованием так называемых валентных сумм
[27, 28]. Для расчетов дипольных вкладов в ГЭП в
98
качестве подгоночных параметров использовались
г
значения электронной поляризуемости α ионов O2-
96
Fe(1)
Fe(2)
и Bi3+.
Анализ локальной симметрии структурных по-
94
для
зиций атомов показал, что при расчете Vdipij
92
хромитов таллия, скандия и индия необходимо учи-
тывать поляризуемость лишь анионов кислорода
57
InCr
Fe O
90
0.95
0.05
3
(O2-), а дипольными вкладами от «жестких» ка-
тионов Cr3+ и A3+ (A = Tl, Sc, In) в силу малос-
88
ти их ионных радиусов в сравнении с O2- и, как
-2
-1
0
1
2
v, мм/с
следствие, их очень малой поляризуемости, можно
пренебречь.
Рис.
1.
Мессбауэровские
спектры
хромитов
В то же время в хромите BiCrO3 катион Bi3+
ACr0.9557Fe0.05O3 (A = Tl (а), Bi (б), Sc (в), In (г)),
имеет легко поляризуемую «неподеленную» элект-
измеренные при T = 298 K
ронную 6s2-пару, что эквивалентно высокому ста-
тическому дипольному моменту. В наших расчетах
975
А. В. Соболев, А. В. Боков, В. И и др.
ЖЭТФ, том 156, вып. 5 (11), 2019
значение поляризуемости катионов Bi3+ принима-
0.6
exp
лось равным αBi ≈ 4Å3 в соответствии с данными
Fe(1)
0.5
работы [29]. Отметим, что это значение достаточно
0.4
близко к полученным нами значениям αBi для фер-
рита BiFeO3 [25], манганита BiMnO3 [30] и никелата
0.3
A = Sc
BiNiO3 [31], в которых катионы Bi3+ имеют схожее
0.2
с хромитом BiCrO3 локальное кислородное окруже-
= 1.8(1) Å3
0.1
O
ние. Во всех расчетах поляризуемость αO анионов
exp
Fe(1)
O2- выступала в качестве варьируемого парамет-
0.6
ра для достижения согласия с экспериментальными
0.5
значениями квадрупольных расщеплений.
0.4
A = In
Численные расчеты различных вкладов были ис-
0.3
пользованы для получения результирующего гради-
0.2
ента электрического поля:
= 2.3(1) Å3
[
]
0.1
O
Vzz(αO) = Vmonzz(A,Cr,O) + Vdipzz(O)(αO)
,
(1)
0.6
exp
а полученные значения Vzz (αO) использовались для
0.5
Fe(1)
расчета квадрупольного расщепления
0.4
√
2
A = Tl
eQVzz(αO)
η
0.3
Δ(αO) = (1 - γ∞)
1+
,
(2)
2
3
0.2
= 2.5(1) Å3
где {Vii}i=x,y,z — главные компоненты тензора ГЭП
0.1
O
после приведения его к диагональному виду, η =
0
0.5
1.0
1.5
2.0
2.5
= (Vxx - Vyy)/Vzz — параметр асимметрии ГЭП
,Å3
(-1 ≤ η ≤ 1), γ∞ ≈ -9.14 — постоянная анти-
O
экранирования Штернхеймера для57Fe3+ [32], eQ =
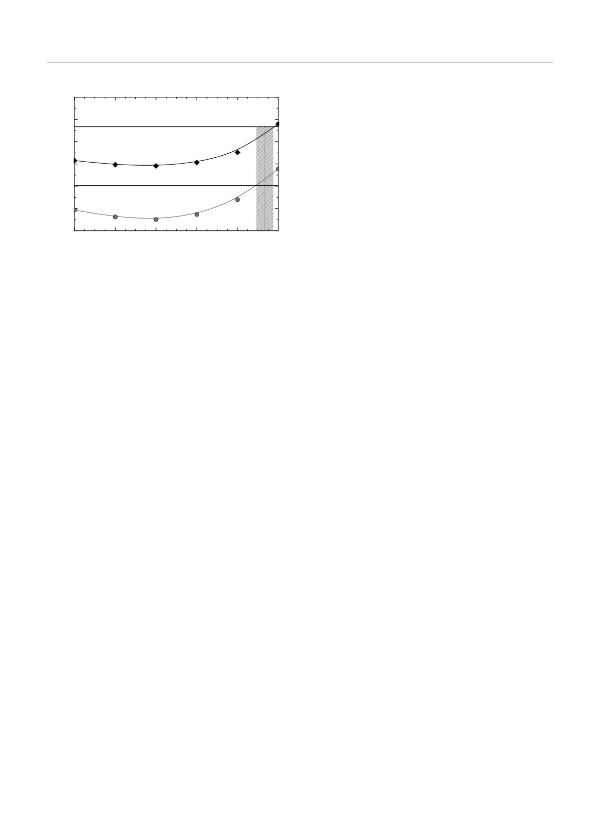
Рис. 2. Зависимости теоретических значений квадруполь-
= 0.15 б — квадрупольный момент ядра 57Fe в воз-
ных расщеплений ΔFe(1) от поляризуемости кислорода αO.
бужденном состоянии [33].
Сплошными прямыми линиями приведены эксперимен-
Для хромитов скандия, индия и таллия описан-
тальные значения ΔexpFe(1) для хромитов ACr0.9557Fe0.05O3
ные расчеты привели к удовлетворительному со-
(A = Sc, In, Tl)
гласию с экспериментальными значениями квадру-
польных расщеплений (рис. 2). Полученные при
этом значения поляризуемости кислорода αO от
1.7Å3 до 2.5Å3 хорошо согласуются с ранее полу-
ченными данными для других классов оксидов пе-
структуре BiCrO3. Для расчетов направлений ди-
реходных металлов [34,35]. Помимо самих значений
польных моментов висмута была использована про-
компонент {Vii}i=x,y,z, нами были определены ори-
цедура, применяемая для соединений висмута [36]
ентации главных осей тензора ГЭП относительно
и состоящая в анализе локальной структуры анион-
кристаллической системы координат (табл. 3).
ного окружения ионов висмута. Так, суммирование
В случае хромита BiCr0.9557Fe0.05O3 даже ис-
величин и направлений векторов, построенных на
пользование ненулевой поляризуемости крупного
химических связях Bi-O, позволило определить на-
катиона Bi3+ и варьируемая в широком диапазоне
правление результирующего электрического диполя
(0-3Å3) поляризуемость анионов O2- не позволи-
для каждого атома висмута. Поскольку геометриче-
ли приблизиться к экспериментальным значениям
ски такие векторы направлены в стороны «пустот» в
ΔFe(i). По-видимому, данное разногласие связано с
локальном полиэдре BiO12 (рис. 3), можно предпо-
тем, что катионы Bi3+ характеризуются стереохи-
ложить, что максимум электронной плотности ги-
мически активной неподеленной электронной парой,
бридной орбитали локализуется именно в этой об-
для которой величина ненулевого дипольного элек-
ласти. При оценке абсолютной величины диполь-
трического момента pBi связана с относительным
ного момента катионов Bi3+ предполагалось, что
вкладом 6s- и 6p-волновых функций в гибридную
нормированная волновая функция h, описывающая
орбиталь. Мы провели полуколичественные расче-
sp3-гибридную орбиталь, может быть выражена сле-
ты величины и направления pBi в кристаллической
дующим образом:
976
ЖЭТФ, том 156, вып. 5 (11), 2019
Электрические сверхтонкие взаимодействия. ..
Таблица 3. Ориентация главных осей {Vii}i=x,y,z тензора ГЭП относительно кристаллографических осей a, b, c и
параметр асимметрии η = (Vxx - Vyy)/Vzz тензора ГЭП
BiCrO3
ScCrO3
InCrO3
TlCrO3
Cr(1)
Cr(2)
V
xxa
103◦
117◦
120◦
97◦
81◦
90◦
47◦
Vxxb
37◦
48◦
52◦
72◦
61◦
0
90◦
Vxxc
124◦
126◦
128◦
21◦
40◦
90◦
62◦
V
34◦
40◦
42◦
30◦
33◦
34◦
90◦
yya
Vyyb
63◦
51◦
48◦
60◦
67◦
90◦
0
Vyyc
71◦
83◦
87◦
109◦
129◦
75◦
90◦
Vzza
121◦
117◦
116◦
119◦
121◦
124◦
43◦
Vzzb
68◦
67◦
65◦
36◦
38◦
90◦
90◦
Vzzc
40◦
37◦
38◦
99◦
99◦
15◦
152◦
η
0.944
0.594
0.683
0.505
0.432
0.253
0.148
b
электроном, может быть получен при вычислении
интеграла:
pz = 〈h| - z|h〉 = -N2 (〈ϕ6s|z|ϕ6s〉 +
a
)
c
+ λ2〈ϕ6p|z|ϕ6p〉 + 2λ〈ϕ6s|z|ϕ6p〉
,
(4)
где N = (1 + λ2)-1/2 — нормировочная констан-
та. Поскольку первые два интеграла, 〈ϕ6s|z|ϕ6s〉 и
〈ϕ6p|z|ϕ6p〉, в выражении (4) равны нулю, резуль-
2.895 Å
2.750 Å
тирующий дипольный момент от пары электронов
определяется как
O
pBi
phyb = 2pz = -4N2λ〈ϕ6s|z|ϕ6p〉.
(5)
Bi
Для получения количественного результата мы
воспользовались эмпирическими выражениями для
6s- и 6p-орбиталей Bi3+ слэйтеровского типа [37], а
Рис. 3. (В цвете онлайн) Локальное кристаллографическое
степень гибридизации λ взяли равной 3, что соот-
окружение катиона Bi3+ в хромите BiCrO3. Сегмент шара
ветствует случаю sp3-гибридизации. Численное ин-
синего цвета схематично изображает неподеленную элек-
тегрирование выражения (5) привело к значению
тронную пару катиона Bi3+, красная стрелка показывает
phyb ≈ 1.6 · 10-29 Кл·м.
направление электрического дипольного момента pBi
Численные расчеты параметров тензора ГЭП в
случае BiCrO3 с учетом электрического диполь-
ного момента висмута, а также при варьирова-
ϕ6s + λϕ6p
h=
√
,
(3)
нии поляризуемости кислорода привели к теоре-
1+λ2
тическим значениям квадрупольных расщеплений
где ϕ6s и ϕ6p — атомные волновые функции 6s- и
(рис. 4), удовлетворительно согласующимся с экс-
6p-электронов иона Bi3+, λ — параметр, определяю-
периментальными данными для допированного об-
щий долю участия 6p-волновой функции в гибрид-
разца BiCr0.9557Fe0.05O3.
ной орбитали. Дипольный момент pz вдоль выбран-
Необходимо отметить, что в случае хромитов
ной локальной оси z (рис. 3), создаваемый одним
InCrO3 и ScCrO3 анализ теоретических значений
977
А. В. Соболев, А. В. Боков, В. И и др.
ЖЭТФ, том 156, вып. 5 (11), 2019
Fe(i)
, мм/с
шейся для других скандий- и индий-содержащих
0.8
перовскитоподобных оксидов переходных металлов.
exp
3
Впервые для интерпретации экспериментальных
= 0.95(5)
Å
0.7
Fe(1)
0
значений квадрупольных расщеплений на ядрах
57Fe в хромите BiCrO3 были использованы тео-
0.6
Cr1
ретические значения электрических дипольных
0.5
моментов pBi катионов Bi3+. Расчеты показали,
exp
что стереохимически активная неподеленная элек-
Fe(2)
0.4
тронная пара, имеющая sp3-гибридный характер,
дает основной вклад в величину pBi. Полученные в
0.3
настоящей работе параметры тензора ГЭП могут
Cr2
0.2
быть использованы для интерпретации и анализа
0
0.2
0.4
0.6
0.8
1.0
мессбауэровских спектров зондовых атомов57Fe в
3
O
,Å
магнитоупорядоченной области температур.
Рис. 4. Зависимости теоретического значения квадруполь-
Финансирование. Работа выполнена при под-
ного расщепления ΔFe от поляризуемости кислорода αO,
держке Российского фонда фундаментальных ис-
полученные с учетом поляризуемости αBi катиона Bi3+ и
дипольного момента pBi висмута. Сплошными прямыми
следований (грант № 19-03-00976).
линиями приведены экспериментальные значения ΔFe(1,2)
ЛИТЕРАТУРА
квадрупольных расщеплений в позициях катионов
1.
Y. Maeno, H. Hashimoto, K. Yoshida et al., Nature
A3+ структуры ACrO3 с использованием описан-
372, 532 (1994).
ных выше монопольных, дипольных вкладов в ГЭП
приводит к существенно завышенным значениям Δi
2.
O. Bohnke, C. Bohnke, and J. Fourquet, Sol. St. Ion.
по сравнению с экспериментальными данными для
91, 21 (1996).
ACr0.9557Fe0.05O3. Такое различие может быть свя-
3.
J. Torrance, P. Lacorre, A. Nazzal et al., Phys. Rev.
зано с ощутимым искажением локальной структуры
B 45, 8209 (1992).
катионов железа Fe3+ в занимаемых ими позициях
ионов Sc3+ и In3+ по сравнению с недопированны-
4.
G. Samara, Ferroelectrics 2, 277 (1971).
ми образцами. Подобный эффект может быть вы-
5.
C. N. R. Rao and A. K. Cheetham, Science 272, 369
зван тем, что зондовые катионы57Fe3+ попадают в
(1996).
нехарактерные для них позиции с высоким коорди-
национным числом.
6.
M.-H. Phan and S.-C. Yu, J. Magn. Magn. Mater.
308, 325 (2007).
7.
N. Izyumskaya, Ya. Alivov, and H. Morkoç, Crit. Rev.
4. ЗАКЛЮЧЕНИЕ
Sol. St. Mater. Sci. 34, 89 (2009).
Впервые для допированных атомами57Fe перов-
8.
E. Gilioli and L. Ehm, IUCrJ 1, 590 (2014).
скитоподобных хромитов ACrO3 (A = Tl, Bi, Sc, In)
проведены мессбауэровские исследования выше
9.
A. A. Belik, Y. Matsushita, M. Tanaka et al., Chem.
температур магнитного упорядочения. Полученные
Mater. 24, 2197 (2012).
спектры и проведенные теоретические расчеты
10.
W. Yi, Y. Matsushita, Y. Katsuya et al., Dalton
параметров ГЭП в рамках ионной модели с ис-
Trans. 44, 10785 (2015).
пользованием ненулевой поляризуемости анионов
O2- позволили утверждать, что основная часть
11.
S. Niitaka, M. Azuma, M. Takano et al., Sol. St. Ion.
примесных катионов железа стабилизируется в ок-
172, 557 (2004).
таэдрическом кислородном окружении структуры
12.
A. A. Belik, N. Tsujii, H. Suzuki et al., Inorg. Chem.
хромитов. Показано, что в случае хромитов индия
46, 8746 (2007).
и скандия часть катионов железа занимает позиции
ионов A3+, что подтверждает предположение о
13.
C. Darie, C. Goujon, M. Bacia et al., Sol. St. Sci. 12,
частичной катионной инверсии, ранее наблюдав-
660 (2010).
978
ЖЭТФ, том 156, вып. 5 (11), 2019
Электрические сверхтонкие взаимодействия. ..
14. F. Izumi and T. Ikeda, Mater. Sci. Forum 321-324,
26.
A. V. Sobolev, V. S. Rusakov, A. S. Moskvin et al.,
198 (2000).
J. Phys.: Condens. Matter. 29, 275803 (2017).
15. M. E. Matsnev and V. S. Rusakov, AIP Conf. Proc.
27.
I. D. Brown and D. Altermatt, Acta Cryst. B 41, 244
1489, 178 (2012); 1622, 40 (2014).
(1985).
16. R. D. Shannon, Acta Cryst. A 32, 751 (1976).
28.
N. E. Brese and M. O’Keeffe, Acta Cryst. B 47, 192
(1991).
17. F. Menil, J. Phys. Chem. Sol. 46, 763 (1985).
18.
Ö. Helgason, F. J. Berry, T. Moyo et al., AIP Conf.
29.
R. D. Shannon and R. X. Fischer, Phys. Rev. B 73,
Proc. 765, 206 (2005).
235111 (2006).
19. I. A. Presniakov, A. V. Sobolev, A. V. Baranov et al.,
30.
Я. С. Глазкова, А. А. Белик, А. В. Соболев и др.,
J. Phys.: Condens. Matter 18, 8943 (2006).
Неорган. материалы 52, 546 (2016).
20. A. S. Moskvin, N. S. Ovanesyan, and V. A. Trukhta-
31.
Ю. О. Лёкина, Я. С. Глазкова, А. А. Белик и др.,
nov, Hyperfine Interact. 1, 265 (1975).
Неорган. материалы 54, 1046 (2018).
21. W. Yi, I. A. Presniakov, A. V. Sobolev et al., Sci.
32.
D. P. E. Dickson and F. J. Berry, Mössbauer
Technol. Adv. Mater. 16, 024801 (2015).
Spectroscopy, Cambridge Univ. Press, Cambridge
(1986).
22. Я. С. Глазкова, А. В. Соболев, В. И и др., ЖЭТФ
153, 625 (2018).
33.
В. С. Русаков, Д. A. Храмов, Изв. РАН, сер. Физ.
56, 201 (1992).
23. W. Yi, A.J. Princep, Y. Guo et al., Inorg. Chem. 54,
8012 (2015).
34.
D. M. S. Esquivel, C. A. Taft, and J. Danon, J. Phys.
C 10, 1527 (1977).
24. A. A. Belik, W. Yi, Q. F. Liang et al., in Abstract
Book of International Conference Piezoresponse For-
35.
C. A. Taft, J. Phys. C 10, L369 (1977).
ce and Nanoscale Phenomena in Polar Materials,
Ekaterinburg (2014), с. 63.
36.
L. Piela, Ideas of Quantum Chemistry (Second
Edition), Elsevier, Sci. Publ., Amsterdam (2014).
25. A. V. Sobolev, I. A. Presniakov, V. S. Rusakov et al.,
AIP Conf. Proc. 1622, 104 (2014).
37.
J. C. Slater, Phys. Rev. 36, 57 (1930).
979