ЖЭТФ, 2019, том 156, вып. 5 (11), стр. 875-879
© 2019
КИНЕТИКА ФОТОННОГО ЭХА,
ИНДУЦИРОВАННОГО СТОЛКНОВЕНИЯМИ
Н. Н. Рубцоваa*, С. А. Кочубейa, Е. Б. Хворостовa, В. А. Решетовb
a Федеральное государственное бюджетное учреждение науки
Институт физики полупроводников им. А. В. Ржанова
Сибирского отделения Российской академии наук
630090, Новосибирск, Россия
b Тольяттинский государственный университет
445667, Тольятти, Россия
Поступила в редакцию 18 апреля 2019 г.,
после переработки 13 июня 2019 г.
Принята к публикации 19 июня 2019 г.
Исследована немонотонная кинетика фотонного эха, индуцированного столкновениями, для ряда буфер-
ных атомов. Индуцированное столкновениями фотонное эхо формировалось на переходе174Yb (6s2)
1S0 ↔ (6s6p) 3P1 (тип 0 ↔ 1) парой импульсов резонансного излучения, поляризованных линейно и
взаимно ортогонально, в парах иттербия и в его смесях с He, Ne, Ar, Kr, Xe. В этих же смесях реги-
стрировалась кинетика обычного фотонного эха, сформированного импульсами с одинаковой линейной
поляризацией. Полученные константы скорости затухания для обоих видов эха одинаковы с точностью
до ошибок измерений. Для столкновений атомов174Yb между собой и с другими изотопами иттербия в
естественной смеси изотопов получена оценка сверху для параметра анизотропии, равная 0.22 ± 0.07 от
скорости затухания сигнала фотонного эха.
DOI: 10.1134/S004445101911004X
затухание. Наконец, столкновительное фотонное
эхо поляризовано вдоль первого возбуждающего
импульса; обычное эхо поляризовано вдоль второ-
1. ВВЕДЕНИЕ
го импульса. Подробные исследования кинетики
фотонного эха, индуцированного столкновениями,
Фотонное эхо, индуцированное анизотропией
ранее не проводились.
столкновительной релаксации деполяризующих
Цель данной работы — исследовать немонотон-
столкновений, т. е. зависимостью скорости релакса-
ную кинетику затухания фотонного эха, индуциро-
ции от направления скорости движения активных
ванного столкновениями атомов благородных газов
атомов, исследовалось нами ранее в экспериментах
с атомами иттербия 174Yb, в сравнении с кинетикой
с изменением давления буферного газа на переходе
обычного фотонного эха, а также по возможности
0-1
[1-4]. Свойства этого когерентного откли-
оценить параметр анизотропии.
ка отличаются от свойств обычного фотонного
эха. Фотонное эхо, индуцированное анизотропией
столкновительной релаксации, возникает только
2. ТЕХНИКА ЭКСПЕРИМЕНТА
в присутствии буферного газа; при оптимальных
условиях возбуждения столкновительного эха,
В качестве источников двух импульсов возбуж-
т. е. для ортогональных линейных поляризаций
дающего резонансного излучения использовались
возбуждающих импульсов, обычное эхо на переходе
лазеры оригинальной конструкции на красителе
0-1 отсутствует. Столкновительное фотонное эхо
кумарин-153 с оптической накачкой третьей гар-
проявляет немонотонную зависимость от давле-
моникой излучения импульсного лазера Nd3+:YAG
ния буфера; для обычного эха это монотонное
(модель LS-2145D-C3/2, длительность импульсов
около 10 нс, производство фирмы ЛОТИС, Бела-
* E-mail: rubtsova@isp.nsc.ru
русь). Лазер LS-2145D-C3/2 обеспечивал пару им-
875
3*
Н. Н. Рубцова, С. А. Кочубей, Е. Б. Хворостов, В. А. Решетов
ЖЭТФ, том 156, вып. 5 (11), 2019
пульсов инфракрасного излучения с регулируемой
Длительности возбуждающих импульсов состав-
задержкой времени между ними с последующей
ляли 10 нс, а ширина линии генерации лазеров
генерацией третьей гармоники в двух кристаллах
на красителе в среднем была порядка 1 ГГц, что
KDP. Для увеличения мощности излучения накачки
сравнимо с доплеровской шириной линии поглоще-
использована модуляция добротности электроопти-
ния174Yb при температуре экспериментов. Предпо-
ческими модуляторами. Установка позволяла с ша-
ложительно, условия эксперимента соответствовали
гом 10 нс регулировать время задержки между им-
промежуточному типу между случаем формирова-
пульсами излучения, резонансного переходу атомов
ния фотонного эха на узкой спектральной линии и
иттербия174Yb (6s2)1S0 ↔ (6s6p)3P1 (тип 0 ↔ 1).
случаем формирования эха на широкой спектраль-
Оптическая схема лазеров на красителе включала в
ной линии.
себя задающий генератор и два усилительных кас-
Температура рабочей ячейки в экспериментах с
када. Грубая настройка частоты излучения каждого
чистым иттербием (природная смесь изотопов) из-
лазера на красителе на исследуемый переход иттер-
менялась в пределах 810-860 К; при этом давле-
бия осуществлялась поворотом дифракционной ре-
ние паров иттербия изменялось от 5 до 21.5 мТорр.
шетки задающего генератора, плавная — изменени-
Температура ячейки была 860-890 К в экспери-
ем давления азота в камере, в которой расположе-
ментах с разбавлением иттербия инертными газа-
на дифракционная решетка. Внешняя схема форми-
ми. Давление буферных газов изменялось от ну-
рования сигналов фотонного эха направляла пучки
ля до 200-300 мТорр в смесях с иттербием. При
в ячейку с парами иттербия под малым углом (не
максимальном давлении буфера разбавление атомов
более 2 мрад) с помощью нескольких плоских зер-
174Yb доходило до 1:30. Ряд благородных газов He,
кал; это позволяло пространственно отделить сла-
Ne, Ar, Kr, Xe с естественным содержанием изото-
бый эхо-отклик от мощных формирующих импуль-
пов использован в качестве буферных атомов; ис-
сов излучения. Поляризация каждого из импульсов
следованы также столкновения атомов174Yb между
задавалась поляризатором. Перед регистрирующим
собой и с атомами других изотопов иттербия.
прибором (ФЭУ) был расположен анализатор, поз-
воляющий дополнительно защитить ФЭУ от засвет-
ки излучением второго возбуждающего импульса.
3. РЕЗУЛЬТАТЫ
Поляризация импульсов была линейной с точностью
не хуже 10-3 по мощности излучения. При иссле-
В данной работе мы будем использовать обо-
довании обычного фотонного эха (ФЭ) поляриза-
значения измеряемых величин, принятые в [4]. Бу-
ции возбуждающих импульсов были одинаковыми
дем считать, что однородное уширение линии γ =
и совпадали с ориентацией анализатора перед ФЭУ.
= γ(1) + Γ складывается из двух величин: γ(1), учи-
Для экспериментов по исследованию ФЭ, индуциро-
тывающей вклады излучательного распада (радиа-
ванного столкновениями, поляризация второго им-
ционное время жизни равно примерно 820 нс) верх-
пульса возбуждающего излучения была ортогональ-
него рабочего уровня3P1174Yb, неупругих столкно-
на поляризации первого, а ориентация анализатора
вений и столкновений, сбивающих фазу дипольного
совпадала с ориентацией поляризации первого воз-
момента перехода, а также Γ = (Γ0 +Γ1)/2, характе-
буждающего импульса.
ризующей деполяризующие столкновения. При на-
личии упругих деполяризующих столкновений ре-
В данном эксперименте обращалось особое вни-
лаксация атомных дипольных моментов в случае пе-
мание на компенсацию магнитного поля Земли и
реходов Ja = 0 → Jb = 1 характеризуется двумя раз-
лабораторного магнитного поля, поскольку присут-
личными комплексными константами релаксации:
ствие магнитного поля разрушает фотонное эхо, ин-
одна Γ0 + iΔ0 для компоненты дипольного момента,
дуцированное столкновениями [5].
коллинеарной скорости атома, другая Γ1 + iΔ1 для
Задержка времени между возбуждающими им-
компоненты дипольного момента, перпендикуляр-
пульсами излучения задавалась внешним многока-
ной скорости атома [6]. Генерация фотонного эха,
нальным генератором шагами по 10 нс, однако точ-
индуцированного столкновениями, обусловлена раз-
ное значение задержки между оптическими импуль-
ностью этих двух констант — параметром анизотро-
сами измерялось по ослабленным световым импуль-
пии столкновений λ = Γ0 + iΔ0 - Γ1 - iΔ1.
сам, регистрируемым ФЭУ. Минимально доступные
Для всех смесей иттербия с буферными газами
в эксперименте задержки (≈ 50-60 нс) определялись
зарегистрирована экспоненциальная кинетика за-
особенностями системы регистрации.
тухания обыкновенного ФЭ для задержек между
876
ЖЭТФ, том 156, вып. 5 (11), 2019
Кинетика фотонного эха...
Таблица. Константы скорости затухания двухим-
пульсного фотонного эха
0.4
Партнеры по
Константа скорости
3
0.3
столкновениям
затухания ФЭ
атомов174Yb
dγ/dp, 107 c-1 · Торр-1
0.2
1
He
2.57 ± 0.33
Ne
2.63 ± 0.26
0.1
Ar
2.62 ± 0.27
2
Kr
3.09 ± 0.35
0
100
200
300
Xe
3.31 ± 0.41
Задержка времени, нс
Yb
5.77 ± 1.41
Рис. 1. Кинетика фотонного эха, индуцированного столк-
новениями, в чистом иттербии (1) и его смесях с аргоном
(2) и ксеноном (3)
возбуждающими импульсами 60-300 нс. Для дав-
лений буферного газа p в диапазоне 0-300 мТорр
0.2
при фиксированном давлении паров иттербия опре-
делены скорости затухания обыкновенного фотон-
ного эха, соответствующие однородному уширению
2
спектральной линии γ. По сериям этих значений
3
для каждого буферного газа определены константы
0.1
dγ/dp, представленные в таблице. Все измеренные
значения γ существенно выше радиационной шири-
ны, так что влияние различного типа столкновений
1
велико. В ряду буферных газов константы скорости
затухания ФЭ, т. е. константы однородного ушире-
0
100
200
ния dγ/dp, возрастают по мере роста массы буфер-
Задержка времени,нс
ного атома. Самое большое однородное уширение
соответствует столкновениям атомов174Yb между
Рис. 2. Кинетика фотонного эха, индуцированного столк-
собой и с другими изотопами атомов иттербия.
новениями, в смесях иттербия с гелием (1), неоном (2) и
криптоном (3)
В случае фотонного эха, индуцированного столк-
новениями, кинетика немонотонна как для паров ит-
тербия без посторонних газов, так и для смесей с
Для индуцированного столкновениями ФЭ в сме-
благородными газами.
сях иттербия с благородными газами кинетиче-
На рис. 1 показаны экспериментальные кинети-
ские кривые при малых задержках имеют, как
ческие кривые для фотонного эха, индуцированно-
правило, пологий участок, а вся кривая никак
го столкновениями, в чистом иттербии при давле-
не может быть описана экспоненциальной зави-
нии 21.5 мТорр (кривая 1, квадраты), для смеси
симостью. По виду рис. 1 можно предположить,
21.5 мТорр Yb+90 мТорр Ar (кривая 2, треуголь-
что ксенон обеспечивает более высокий, чем ар-
ники) и для смеси 21.5 мТорр Yb+101 мТорр Xe
гон, сигнал фотонного эха, индуцированного столк-
(кривая 3, кружки). Сплошные кривые на рис. 1 —
новениями. Кинетические кривые для фотонного
интерполяция по формуле (21) из работы [4] в пред-
эха, индуцированного столкновениями, в смесях ит-
положении |λ|τ
≪ 1. В чистом иттербии виден
тербия с гелием, неоном и криптоном приведе-
участок возрастания сигнала эхо для задержек ме-
ны на рис. 2. Это кривые затухания для смесей
нее 80 нс, отчетливо регистрируется максимум; при
46.4 мТорр Yb+201 мТорр He (кривая 1, пятиуголь-
дальнейшем увеличении задержек эхо, индуциро-
ники); 46.4 мТорр Yb+195 мТорр Ne (кривая 2, звез-
ванное столкновениями, затухает.
дочки); 46.4 мТорр Yb+203 мТорр Kr (кривая 3, тре-
877
Н. Н. Рубцова, С. А. Кочубей, Е. Б. Хворостов, В. А. Решетов
ЖЭТФ, том 156, вып. 5 (11), 2019
6
–1
| |, 10
c
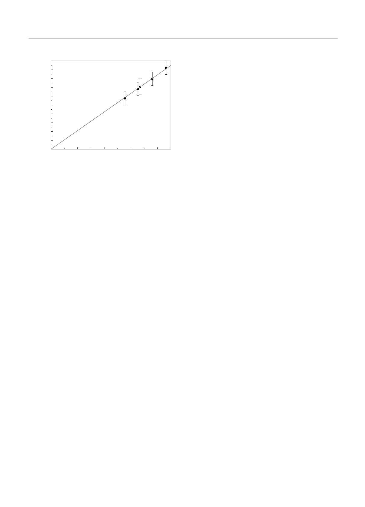
для давлений меньше 13.9 мТорр столкновитель-
0.30
ное эхо слишком слабое, а при давлениях свыше
21.5 мТорр нельзя работать без буферного газа —
есть риск запыления окон кюветы пленкой. Гра-
фик зависимости |λ|(p) представлен на рис. 3. В
этом диапазоне давлений иттербия параметр ани-
зотропии |λ|, нормированный на давление газа, ра-
0.15
вен d|λ|/dp = (1.27 ± 0.14) с-1 · Торр-1. Учитывая
сказанное выше, эту величину следует рассматри-
вать как оценку сверху для параметра анизотропии
столкновительной релаксации в иттербии. С учетом
уширения оптического перехода в парах иттербия
получаем оценку |λ|/γ = 0.22 ± 0.07.
0
10
20
Давление иттербия, мТорр
4. ОБСУЖДЕНИЕ
Рис. 3. Параметр анизотропии λ растет с ростом давления
паров иттербия
Проявления анизотропии столкновений в фор-
ме линии поглощения давно привлекали внимание
исследователей [7-9]. Однако регистрация анизот-
угольники); сплошные кривые — результат интер-
ропии столкновений в форме линии поглощения
поляции согласно [4]. Для смесей с благородными
затруднительна. Еще для экспериментов по флуо-
газами условия регистрации не позволили опреде-
ресценции атомов, выполняемых без использова-
лить отчетливые максимумы кривых. Можно лишь
ния лазерного излучения, было предсказано [10],
уверенно говорить об отличии кинетических кривых
что «при возбуждении плоскополяризованным све-
от экспоненциальных зависимостей от времени за-
том возможно появление флуоресценции, поляри-
держки τ. Значения давления буферных газов ге-
зованной по кругу. В изотропном случае, когда
лия, неона и криптона на рис. 2 примерно одина-
все направления столкновений равновероятны, та-
ковы. Тем не менее, амплитуды сигналов невозмож-
кое изменение невозможно». Наконец, в работе [6]
но использовать для определения параметров ани-
был предложен способ зарегистрировать проявле-
зотропии для буферных газов. Причина заключает-
ние анизотропии столкновений на нулевом фоне на
ся в чувствительности амплитуды слабых сигналов
переходе 0-1 в виде фотонного эха, индуцированно-
столкновительного ФЭ к юстировке оптической схе-
го столкновениями. В данной работе проведено бо-
мы, которая была необходима для каждой серии из-
лее подробное исследование кинетики такого фотон-
мерений с новым буферным газом.
ного эха. Надежные результаты получены для ско-
Константы скоростей затухания фотонного эха,
ростей затухания фотонного эха. Что касается на-
индуцированного столкновениями, совпали с со-
хождения параметров анизотропии, в данной рабо-
ответствующими константами скоростей затухания
те удалось лишь получить оценку для столкнове-
обычного фотонного эха в пределах точности изме-
ний атомов174Yb между собой и с другими изото-
рений для каждого из буферных газов и для чистого
пами иттербия. Не исключено, что количественные
иттербия.
данные можно будет получить при использовании
Для паров чистого иттербия эксперименты по
слабого магнитного поля, как предлагалось в рабо-
регистрации кинетики обычного ФЭ и столкнови-
те [11].
тельного ФЭ (одна кинетическая кривая показана
на рис. 1) были выполнены в одинаковых услови-
ях. Из отношения максимальных амплитуд сигна-
5. ЗАКЛЮЧЕНИЕ
лов для обычного и столкновительного ФЭ для каж-
дого из давлений иттербия можно определить зна-
В рамках данного исследования получены ре-
чение |λ|/γ, а сам параметр анизотропии |λ| нахо-
зультаты, качественно совпадающие с представле-
дится по измеренным скоростям затухания фотон-
ниями работ [6, 11] и не противоречащие преж-
ного эха γ [4]. Оценка параметра |λ| выполнялась
ним экспериментальным результатам [1-4]. Кинети-
для диапазона давлений паров иттербия p от 13.9
ческие зависимости, в частности, для паров иттер-
до 21.5 мТорр. Этот диапазон определялся тем, что
бия, также подтверждают представления о приро-
878
ЖЭТФ, том 156, вып. 5 (11), 2019
Кинетика фотонного эха...
де фотонного эха, индуцированного столкновения-
5. E. B. Khvorostov, V. G. Gol’dort, V. N. Ishchenko et
ми. Из отношения амплитуд обычного и столкнови-
al., Laser Phys. Lett. 11, 126004 (2014).
тельного эха получена оценка сверху для параметра
6. В. К. Мацкевич, И. В. Евсеев, В. М. Ермаченко,
анизотропии столкновений в парах иттербия.
Опт. и спектр. 45, 17 (1978).
7. P. R. Berman and W. E. Lamb, Phys. Rev. A 2, 2435
ЛИТЕРАТУРА
(1970).
1. N. N. Rubtsova, E. B. Khvorostov, S. A. Kochubei et
8. В. А. Алексеев, А. В. Малюгин, ЖЭТФ 74, 911
al., Laser Phys. Lett. 3, 353 (2006).
(1978).
2. Н. Н. Рубцова, В. Г. Гольдорт, И. В. Евсеев и др.,
Письма в ЖЭТФ 87, 110 (2008).
9. С. Г. Раутиан, А. Г. Рудавец, А. М. Шалагин,
ЖЭТФ 78, 545 (1980).
3. N. N. Rubtsova, V. N. Ishchenko, E. B. Khvorostov
et al., Laser Phys. Lett. 5, 547 (2008).
10. В. Н. Ребане, Опт. и спектр. 24, 309 (1968).
4. N. N. Rubtsova, V. G. Gol’dort, V. N. Ishchenko et
11. V. A. Reshetov, E. N. Popov, and I. V. Yevseyev,
al., Phys. Rev. A 84, 033413 (2011).
Laser Phys. Lett. 8, 219 (2011).
879