БИОФИЗИКА, 2022, том 67, № 1, с. 88-95
БИОФИЗИКА КЛЕТКИ
УДК 577.336
О ПРИРОДЕ СПЕКТРАЛЬНОГО СДВИГА ПОЛОСЫ СОРЕ
ЭРИТРОЦИТАРНОГО ОКСИГЕМОГЛОБИНА ПРИ ДОБАВЛЕНИИ
ОРГАНИЧЕСКИХ МОЛЕКУЛ В СУСПЕНЗИЮ ЭРИТРОЦИТОВ
© 2022 г. Н.Л. Лаврик
Институт химической кинетики и горения им. В.В. Воеводского СО РАН,
630090, Новосибирск, Институтская ул., 3
E-mail: lavrik@kinetics.nsc.ru
Поступила в редакцию 05.07.2021 г.
После доработки 11.11.2021 г.
Принята к публикации 12.11.2021 г.
Рассмотрены возможные гипотезы объяснения экспериментально наблюдаемых сдвигов максиму-
мов полос Соре эритроцитарного оксигемоглобина HbO2 при добавлении органических молекул в
суспензию эритроцитов. Показано, что гипотезы, основанные на прямом взаимодействии оксиге-
моглобина с органическими молекулами, химическом превращении оксигемоглобина и изменении
структуры мембрано-связанного оксигемоглобина, не в состоянии в полной мере объяснить харак-
тер спектральных изменений полосы Соре. Показана непротиворечивость представлений, заклю-
чающаяся в том, что добавляемые органические молекулы, адсорбируясь на поверхности эритроци-
тов, изменяют величину и градиент электростатического поля внутри клетки. Вследствие этих из-
менений может иметь место деформация структуры гидрофобного кармана, в котором находится
гем и изменение положения иона железа относительно плоскости порфиринового кольца. Сдвиги
полосы Соре являются следствием указанных изменений.
Ключевые слова: полоса Соре, оксигемоглобин, поверхность эритроцитов, органические молекулы,
электростатическое поле мембраны эритроцитов.
DOI: 10.31857/S0006302922010082
этот дублет имеет заметно отличающиеся спек-
Эритроциты являются одним из важнейших
тральные параметры: меньшую интенсивность
элементов крови, поэтому несомненный интерес
относительно полосы Соре и расстояние между
представляет вопрос о влиянии их взаимодей-
полосами дублета. В связи с этим наличие хорошо
ствия с ее компонентами на эритроцитарный ок-
регистрируемых полос на λ ~ 413-420 нм, ~542 нм
сигемоглобин (HbO2), на 25% заполняющий объ-
и 576 нм может являться надежным маркером на
ем эритроцита [1] и выполняющий важнейшую
содержание HbO2 [2], что позволяет надежно от-
функцию в живом организме - контроль и регу-
личать его от других производных гемоглобина
ляцию концентрации кислорода. Компонентами
(дезоксигемоглобин, метгемоглобин, карбокси-
крови, в частности, могут являться различные ор-
гемоглобин, гемихром и т.д.).
ганические молекулы (ОМ).
Одним из возможных методов диагностики
Природа полосы Соре в молекуле HbO2 обу-
состояния эритроцитарного гемоглобина может
словлена электронными переходами в прото-
служить метод регистрации и анализа электрон-
порфирине IX [3]. Его комплекс с ионом Fe2+ об-
ных спектров поглощения. В частности, сведения
разует гем, который находится в гидрофобной
о молекулах оксигемоглобина HbO2 можно полу-
впадине (кармане) глобина. Спектральные пара-
чить из наблюдения спектров электронного по-
метры порфиринов (в частности, полоса Соре)
глощения в видимой области (полоса Соре,
зависят от электронного состояния молекулы,
λ ~ 413-420 нм и полосы поглощения на λ ~ 542 и
что позволяет наблюдать за процессами деформа-
576 нм). Полосы поглощения на 542 и 576 нм яв-
ции ее структуры [4, 5]. Таким образом, измене-
ляются характерными для молекулы HbO2, по-
ние конфигурации гидрофобного кармана или
изменение положения гема внутри гидрофобного
скольку для других производных гемоглобина
кармана может повлиять на электронные свой-
Сокращения: HbO2 - оксигемоглобин, ОМ - органические
ства гема и соответственно на спектральные
молекулы, ЭП - электростатическое поле.
свойства полосы Соре. Действительно в работе
88
О ПРИРОДЕ СПЕКТРАЛЬНОГО СДВИГА ПОЛОСЫ СОРЕ
89
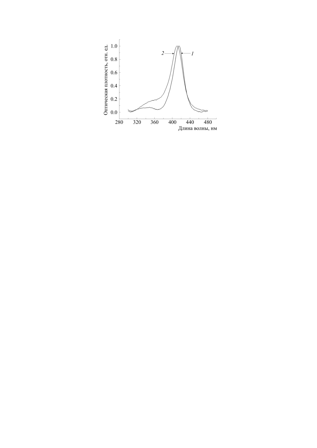
Нормированные спектры полос Соре оксигемоглобина: 1 - спектр исходного HbO2, 2 - спектр HbO2 после добавле-
ния гуминовой кислоты. Концентрация эритроцитов 4·108 кл/л, гуминовой кислоты - 9 мг/л.
[6] было установлено наличие коротковолнового
Однако единое объяснение имеющихся данных
сдвига полосы Соре при лизисе эритроцитов мы-
отсутствует.
ши, а в работе [7] при лизисе эритроцитов неко-
Целью настоящего сообщения является об-
торых животных, что было интерпретировано как
суждение потенциально возможных вариантов
результат изменения взаимодействия гема с бел-
интерпретации сдвига полосы Соре эритроцитар-
ковым окружением.
ного оксигемоглобина при добавлении ОМ к сус-
пензии эритроцитов. Обсуждение показало, что
Систематическая информация об изменении
объяснения, в основе которых находятся пред-
параметров полосы Соре в зависимости от добав-
ставления о химическом превращении оксигемо-
ления органических молекул к суспензии эритро-
глобина и деформации структуры примембран-
цитов практически отсутствует. Имеются лишь
ного HbO2, не в состоянии интерпретировать
отдельные сообщения. Так, в работе [8] было
установлено, что добавление глицирризиновой
спектральный сдвиг полосы Соре. Непротиворе-
чивым оказалось объяснение, заключающееся в
кислоты (10-6 М) в суспензию эритроцитов, вы-
том, что 1) добавляемые органические молекулы,
деленных из крови человека ([HbO2] ~ 4·10-7 М),
адсорбируясь на поверхность эритроцитов, изме-
приводит к коротковолновому сдвигу полосы Со-
няют величину и градиент электростатического
ре (~6 нм). В работе [9] наблюдали наличие ко-
поля внутри эритроцита; 2) за счет этих измене-
ротковолнового сдвига (~ 4 нм) и длинноволно-
ний может иметь место деформация структуры
вого сдвига (~ 2 нм) полосы Соре молекул оксиге-
гидрофобного кармана, в котором находится гем,
моглобина при добавлении гуминовых кислот
и изменение положения иона железа относитель-
(~10-6-10-7 М) в суспензию эритроцитов
но плоскости порфиринового кольца гема. Сдви-
ги полосы Соре являются следствием указанных
([HbO2] ~ 2·10-6 М), выделенных из крови раз-
изменений.
личных животных. На рисунке в качестве приме-
ра коротковолнового сдвига полосы Соре при до-
бавлении гуминовых кислот представлены спек-
ПОТЕНЦИАЛЬНЫЕ ВАРИАНТЫ
тры поглощения суспензии эритроцитов,
ОБЪЯСНЕНИЯ СДВИГА ПОЛОСЫ СОРЕ
выделенных из крови гуся. В работе [10] наблюда-
ЭРИТРОЦИТАРНОГО ОКСИГЕМОГЛОБИНА
ли коротковолновой сдвиг полосы Соре на ~ 2 нм
ПРИ ДОБАВЛЕНИИ ОРГАНИЧЕСКИХ
при добавлении нитроглицерина к суспензии
МОЛЕКУЛ К СУСПЕНЗИИ ЭРИТРОЦИТОВ
эритроцитов, выделенных из крови человека
Взаимодействие органических молекул с HbO2.
([HbO2] = 4.8·10-7 М) при концентрации нитро-
Простейшим объяснением сдвига полосы Соре
глицерина 2·10-8 М и 2·10-5 М (время инкубиро-
могло быть наличие прямого взаимодействия ОМ
вания 3 ч).
с молекулой НbO2 и соответственно образование
Таким образом, в настоящее время наличие
комплекса {OM-HbO2}. Такое взаимодействие
сдвига максимума полосы Соре при добавлении
могло иметь место в случае проникновения ОМ
ОМ к эритроцитам in vitro надежно установлено.
во внутренний объем эритроцита. (Обсуждение
БИОФИЗИКА том 67
№ 1
2022
90
ЛАВРИК
вопроса о возможности проникновения ОМ во
разованием гемихрома, является сохранение
внутренний объем эритроцита мы опускаем, но
формы дублета на λ ~ 545 нм и 575 нм. При появ-
полагаем, что оно возможно.) Однако результаты
лении заметных количеств гемихрома форма
экспериментов по непосредственному добавле-
контура полосы поглощения на этих длинах волн
нию нитроглицерина к оксигемоглобину [11] не
должна искажаться, поскольку у гемихрома этот
показали сдвига полосы Соре, в то время как при
дублет практически отсутствует
[2]. Наличие
добавлении нитроглицерина к суспензии эритро-
длинноволнового сдвига полосы Соре [9] при до-
цитов сдвиг полосы Соре наблюдался [10]. Полу-
бавлении гуминовой кислоты к суспензии эрит-
ченные результаты означают, что даже если при
роцитов, выделенных из крови петуха, также про-
добавлении ОМ происходит лигирование моле-
тиворечит образованию гемихрома.
кул НbO2 в результате непосредственного их вза-
Изменение электронных свойств мембрано-свя-
имодействия с ОМ, то этот процесс не приводит к
занных молекул оксигемоглобина. Этот вариант
изменению положения максимума полосы Соре.
объяснения, с помощью которого можно было
Химические превращения оксигемоглобина. Об-
попытаться интерпретировать сдвиги полосы Со-
разование молекул метгемоглобина. При взаимо-
ре при добавлении ОМ к суспензии эритроцитов,
действии молекул оксигемоглобина с органиче-
заключается в том, что они обусловлены измене-
скими молекулами может иметь место окисление
нием структурных свойств мембрано-связанного
иона Fe2+до Fe3+. В результате этой реакции об-
оксигемоглобина mbHbO2 из-за адсорбции ОМ
разуется молекула метгемоглобина metHb [2].
на поверхность эритроцита.
Максимум полосы Соре для этой молекулы нахо-
В интактных эритроцитах HbО2 может суще-
дится в более коротковолновой области [2], соот-
ветственно образование метгемоглобина при до-
ствовать в свободной (в цитоплазме клетки) и
мембрано-связанной формах [12]. По данным ра-
бавлении ОМ может сопровождаться сдвигом по-
боты [13] доля ассоциированного HbО2 в натив-
ложения максимума этой полосы поглощения в
коротковолновую область. Прямым спектроско-
ных эритроцитах в зависимости от ряда факторов
пическим свидетельством в пользу того, что сдвиг
может изменяться в диапазоне от 7 до 10%, а со-
полосы Соре не может объясняться появлением
гласно работе [14] - от 1.1 до 5.2%, т.е. может
метгемоглобина при добавлении ОМ, является
иметь место заметное количество комплексов
сохранение спектральных параметров полос по-
{mbHbO2-внутренняя поверхность мембраны}.
глощения на λ ~ 545 нм и на λ ~ 575 нм [8, 9]. На
При добавлении ОМ молекулы mbHbO2 могут
этих длинах волн молекулы метгемоглобина не
претерпеть изменение структуры, поскольку
имеют заметно наблюдаемых полос поглощения
структура комплекса {mbHbO2-внутренняя по-
[2]. Дополнительным спектроскопическим сви-
верхность мембраны} может измениться из-за де-
детельством в пользу того, что сдвиг полосы Соре
формации внешней и соответственно внутренней
не может объясняться появлением метгемоглоби-
поверхности мембраны. Действительно в работах
на при добавлении ОМ, является наличие длин-
[15, 16] было установлено изменение поверхност-
новолнового сдвига полосы Соре при добавлении
ных свойств мембраны эритроцитов человека под
гуминовой кислоты к суспензии эритроцитов,
действием гемина, ионов Zn2+ и молекул верапа-
выделенных из крови петуха [9].
мила. Влияние добавления молекул глицирризи-
Образование молекул гемихрома. Другим хими-
новой кислоты на поверхностные свойства мем-
ческим фактором, который мог бы обуславливать
бран эритроцитов было также установлено в
коротковолновой сдвиг полосы Соре в результате
работе [17], а в работе [18] наблюдали морфологи-
добавления ОМ, является образование молекул
ческое изменение поверхности эритроцитов в
гемихрома (продукта окисления гемоглобина).
присутствии оксида углерода.
Спектр поглощения полосы Соре этой молекулы
имеет максимум в более коротковолновой обла-
Изменение структуры молекулы mbHbO2 при
сти относительно спектра молекулы HbO2 [2].
деформации поверхности эритроцита может вы-
Образование этой новой компоненты в суспен-
зывать деформацию структуры гидрофобного
зии эритроцитов могло бы приводить к коротко-
кармана, в котором находится гем, и соответ-
волновому сдвигу полосы Соре.
ственно влиять на взаимодействие гем-глобин.
Коротковолновый сдвиг полосы Соре геми-
Изменение этого взаимодействия способно не-
посредственно влиять на параметры спектров по-
хрома относительно HbO2 составляет порядка
глощения молекулы mbHbO2. Однако проведен-
2 нм [2]. Следовательно, наблюдаемые в работах
[8, 9] коротковолновые сдвиги на 6 и 4 нм заведо-
ные оценочные расчеты для возможного корот-
мо не могут быть объяснены образованием геми-
коволнового сдвига в несколько нанометров от
хрома. Также прямым спектроскопическим сви-
исходного положения полосы Соре показали, что
даже при доле молекул mbHbO2 в 5-10% необхо-
детельством в пользу того, что при добавлении
ОМ сдвиг полосы Соре не может объясняться об-
димо, чтобы величина коэффициента молярного
БИОФИЗИКА том 67
№ 1
2022
О ПРИРОДЕ СПЕКТРАЛЬНОГО СДВИГА ПОЛОСЫ СОРЕ
91
поглощения mbHbO2 в несколько раз превышала
тростатическое поле внутри этой молекулы
значение для свободной молекулы HbO2, но та-
(включая гидрофобный карман) зависит от изме-
нения заряда и положения периферических
кое отличие отмечено не было [12]. Таким обра-
групп белка. Также предполагается, что перемен-
зом, имеющиеся данные также не позволяют счи-
ный трансмембранный потенциал может модули-
тать возможным объяснение коротковолнового
ровать структуру цитохрома c. Применительно к
сдвига полосы Соре с помощью представлений о
обсуждаемым данным по влиянию добавления
наличии изменений в структуре mbHbO2.
ОМ на спектр полосы Соре полученные в работе
Изменение внутреннего электростатического
[21] результаты означают, что изменение пара-
поля благодаря деформации поверхности эритроци-
метров электростатического потенциала мембра-
та. Интерпретация сдвигов полосы Соре при до-
ны эритроцитов может обусловливаться дефор-
бавлении ОМ к суспензии эритроцитов могла бы
мацией структуры поверхности эритроцита. Ав-
заключаться в том, что они обусловлены измене-
торы работы [22] исследовали внутреннее ЭП в
нием внутриклеточного электростатического по-
цитохроме с методом электронной спектроско-
ля (ЭП), свойства которого изучались, например,
пии кругового дихроизма в видимой области.
в работах [19-26]. Внутриклеточное электроста-
Анализ полученных данных показал, что природа
тическое поле может претерпевать изменение в
происхождения В-полосы в спектре поглощения
результате адсорбции ОМ на поверхности (пред-
может быть отнесена к внутреннему ЭП в карма-
варительное предположение). Если принять это
не белка. В работе [23] с помощью численного
предположение, то в случае его правильности во-
анализа распределения ЭП в различных клеточ-
просы, обсуждаемые выше, снимаются, посколь-
ных структурах показано, что взаимодействие
ку не требуется рассматривать ни возможности
эритроцитов между собой существенно влияет на
парного взаимодействия, ни возможного химиче-
значения напряженности поля внутри клетки.
ского превращения исходных молекул HbO2. Ни-
Авторам работы [24] анализ результатов экспери-
же приводится ряд публикаций, в которых экспе-
ментов по наблюдению эффекта Штарка для по-
риментально и теоретически рассматриваются
лосы Соре молекулы деоксигемоглобина позво-
вопросы о наличии внутриклеточного ЭП для ге-
лил сделать заключение, что внутреннее ЭП бел-
ма в составе гембелков и природе его изменения.
ка существенно влияет на электронные свойства
гема. Значимость величины внутреннего ЭП на
Литературные данные о наличии электроста-
проницаемость мембраны эритроцитов была по-
тического поля в гем-белках. В обзоре [19] глобин
казана в работе [25]. В работе [26] было рассчита-
рассматривается как матрица c внутренним элек-
но изменение электрического потенциала вдоль
трическим полем, способным вызывать измене-
белка и его изменение в зависимости от окруже-
ния спектральных свойств оптических центров и
ния. Аналитическая формула, устанавливающая
делается попытка соотнести наблюдаемые спек-
связь между изменением объема эритроцита и
тральные свойства оптических центров в геме с
мембранным потенциалом, была представлена в
внутренними электрическими полями белка. В
работе [27]. Из полученного соотношения следу-
работе [20] с помощью метода частотно-избира-
ет, что деформация поверхности мембраны эрит-
тельного обесцвечивания спектра поглощения
роцита, вызывая изменение его объема, может
миоглобина лошади и использования квантово
приводить как к увеличению, так и к уменьше-
механических расчетов была изучена величина
нию трансмембранного потенциала.
двух компонент внутреннего электрического по-
ля в плоскости порфирина и показано, что для
Таким образом, совокупность эксперимен-
тальных и теоретических работ свидетельствует о
ориентации внутреннего поля доминирующий
том, что гем, находясь внутри гидрофобного кар-
вклад вносят депротонированные боковые цепи
мана белка, претерпевает взаимодействие с внут-
пропионовой кислоты порфиринового кольца. В
ренним ЭП эритроцита. Можно полагать, что
работе [21] с использованием метода молекуляр-
ной динамики было показано, что в цитохроме с
электронные свойства гема будут зависеть от его
взаимодействия с ЭП. Соответственно, спек-
биологически значимые электрические поля вы-
тральные параметры полосы Соре, которая фор-
зывают повышенную подвижность и структур-
мируется электронными переходами в геме, так-
ные искажения ключевых сегментов белка. Это
же будут чувствительны к этому взаимодействию.
приводит к отделению шестого аксиального ли-
ганда Met80 от гем-железа. Моделирование дало
Далее рассматриваются возможности интер-
подробную атомистическую картину влияния ЭП
претации имеющихся экспериментальных дан-
на структуру цитохрома с. В этой работе было так-
ных в рамках представлений, заключающихся в
же показано, что в цитохроме с изменение транс-
том, что 1) добавляемые органические молекулы,
мембранного потенциала может модулировать
адсорбируясь на поверхность эритроцитов, изме-
его структуру, т.е. вызывать структурные искаже-
няют величину и градиент электростатического
ния ключевых белковых сегментов гема. Сделан-
поля ЭП внутри эритроцита; 2) за счет этих изме-
ные расчеты показали, что для цитохрома с элек-
нений могут иметь место деформация структуры
БИОФИЗИКА том 67
№ 1
2022
92
ЛАВРИК
гидрофобного кармана, в котором находится гем,
ортогональном направлениях относительно
и изменение положения иона железа относитель-
плоскости порфиринового кольца. Смещение
но порфириновой плоскости.
иона железа относительно плоскости порфири-
нового кольца, т.е., изменение расстояния «ион
Природа изменений величины и градиента элек-
железа - атом азота» имидазольного остатка
тростатического поля внутри эритроцита. До-
проксимального гистидина, искажает начальную
бавленные в суспензию эритроцитов ОМ могут
электронную конформацию HbO2 [37], что также
адсорбироваться на их поверхности
[28-31].
(Площадь поверхности эритроцита составляет
может обуславливать сдвиг полосы Соре.
~136-163 мкм2 [32].) При экспериментально ис-
Следовательно, имеется как минимум два не-
пользованных концентрациях эритроцитов
зависимых физических фактора, влияющих на
изменение структуры гема при добавлении ОМ к
(~108 кл/л) и ОМ ~ 10-5 М на один эритроцит
суспензии эритроцитов, которые способны изме-
приходится 105 ОМ. Таким образом, даже если
нить электронное состояние порфиринового
доля адсорбированных ОМ составляет ~10%, ко-
кольца оксигемоглобина. Этими факторами яв-
личество ОМ достаточно для покрытия заметной
ляются изменение взаимодействия внутреннего
части поверхности эритроцитов. В результате
ЭП мембраны эритроцита с порфириновым
благодаря адсорбции ОМ часть поверхности
кольцом гема и изменение взаимодействия внут-
эритроцита может быть подвержена деформации.
реннего ЭП мембраны эритроцита с ионом Fe2+.
Об изменении поверхности эритроцита при ад-
сорбции ОМ свидетельствуют данные работ [16,
Рассмотрение имеющихся экспериментальных
17]. В результате деформации поверхности эрит-
результатов по сдвигу полосы Соре при добавлении
роцита возможно искажение конфигурации ЭП
органических молекул к суспензии эритроцитов в
как на внешней, так и на внутренней его поверх-
рамках представлений об изменении внутреннего
ности [33-35]. Таким образом, параметры ЭП
электрического поля. Экспериментально наблю-
внутри клетки могут измениться относительно
дается суперпозиция влияния обоих факторов,
исходных. В результате при добавлении ОМ все
которое может быть как однонаправленным, так
эритроцитарные молекулы HbO2 будут находить-
и разнонаправленным по отношению к перерас-
ся в электростатическом поле, отличающeмся от
пределению электронной плотности порфирино-
вого кольца, что может приводить к разным сдви-
исходного. Это измененное ЭП по сравнению с
исходным будет по другому влиять на молекулы
гам полосы Соре. В частности, этой причиной
оксигемоглобина, что может вызывать конфор-
можно объяснить разнонаправленный сдвиг по-
мационные перестройки в белках и соответствен-
лосы Соре при добавлении гуминовой кислоты
но приводить к изменению структуры гидрофоб-
для эритроцитов, выделенных из крови петуха и
гуся [9]. Зависимость сдвига полосы Соре от вида
ного кармана и положению гема в нем. Деформа-
ция структуры гидрофобного кармана будет
гуминовой кислоты [9] можно объяснить тем, что
обуславливать изменение взаимодействия пор-
разные кислоты, имея различающийся химиче-
фиринового кольца гема с глобином, что может
ский состав, по-разному деформируют поверх-
определять спектральный сдвиг полосы Соре, по-
ность эритроцита, вызывая разное как по величи-
не, так и по направлению изменение его внутрен-
ложение которой зависит от электронного состо-
яния порфиринового кольца [3].
него электростатического поля.
Искажение параметров исходного электроста-
В рамках обсуждаемой модели возможно не-
тического поля также будет иметь место в резуль-
противоречивое объяснение данных работ [10] и
тате проникновения (встраивания) органических
[11]. В этих работах было установлено, что добав-
молекул в мембрану эритроцита, наличие которо-
ление нитроглицерина в количестве 2·10-8 М и
го показано и обсуждено в работе [36]. Таким об-
2·10-5 М к суспензии эритроцитов [10] приводит
разом, деформация мембраны эритроцитов при
к изменению положения максимума полосы Со-
добавлении ОМ и соответственно искажение ис-
ходного внутреннего ЭП могут быть обусловлены
ре, а добавление нитроглицерина в количестве
двумя структурными факторами: адсорбцией ОМ
2·10-8 и 2·10-5 М к растворам оксигемоглобина
на поверхности эритроцита и проникновением
[11] не приводит к изменению положения макси-
ОМ в липидный бислой мембраны.
мума полосы Соре. Интерпретация этих данных в
Другим возможным фактором, влияющим на
рамках представлений об изменении внутреннего
электронные свойства порфиринового кольца в
ЭП такова. Отсутствие сдвига полосы Соре при
молекуле HbO2 в результате деформации структу-
добавлении молекул нитроглицерина к раствору
ры клеточной мембраны и соответственно на из-
оксигемоглобина не меняет параметров электри-
менения конфигурации внутреннего электроста-
ческого поля, которые оказывают влияние на
тического поля, будет непосредственное влияние
структуру оксигемоглобина, поскольку электри-
ЭП на положение иона Fe2+ в параллельном или
ческое поле, в котором находятся молекулы
БИОФИЗИКА том 67
№ 1
2022
О ПРИРОДЕ СПЕКТРАЛЬНОГО СДВИГА ПОЛОСЫ СОРЕ
93
HbO2, не изменяется относительно исходного.
ных молекул фосфолипидов ослабевают при
Напротив, при добавлении ОМ к эритроцитам
экранировке их кулоновского взаимодействия с
поверхностный потенциал, т.е. электрическое
эритроцитом. В результате изменения ЭП, вызы-
поле, в котором находится HbO2, благодаря ад-
ваемые деформацией поверхности эритроцита
заряженными фосфолипидами, уменьшаются.
сорбции ОМ будет претерпевать изменения.
При добавлении незаряженных фосфолипидов
Представления о наличии ЭП внутри эритро-
влияние добавления ионов Са2+ замечено не бы-
цита позволяет также объяснить независимость
ло. В рамках нашей гипотезы это объясняется
сдвига полосы Соре от концентрации нитроглице-
тем, что изначально добавление нейтральных
рина при добавлении его к суспензии эритроцитов
фосфолипидов не вызывало деформации поверх-
[10]. Добавление молекул нитроглицерина в коли-
ности эритроцита.
честве 2·10-8 М уже достаточно для максимального
Таким образом, анализ совокупности резуль-
искажения исходного ЭП поверхности эритроци-
татов экспериментальных и теоретических работ,
та и дальнейшее увеличение концентрации прак-
в которых изучались электростатические свой-
тически не влияет на уже искаженную структуру
ства гемсодержащих молекул, позволяет сделать
электрического поля. Однако для окончательного
заключение, что представления о наличии изме-
понимания этого эффекта необходимо проведе-
нения электростатического поля внутри эритро-
ние более подробных экспериментов по изучению
цита позволяют непротиворечиво объяснить
зависимости сдвига полосы Соре от концентрации
сдвиги полосы Соре при добавлении ОМ к сус-
ОМ, поскольку в настоящее время эксперименты
пензии эритроцитов.
проведены только для двух концентраций ОМ
([OM] = 2·10-8 М и 2·10-5 М).
ВЫВОДЫ
В рамках предлагаемой гипотезы непротиво-
1. Рассмотрены возможные варианты объясне-
речиво объясняются наблюдаемые коротковол-
ния экспериментально наблюдаемых спектраль-
новые сдвиги полосы Соре при лизисе эритроци-
ных сдвигов максимумов полос Соре эритроци-
тов [6, 7]. В результате этого процесса молекулы
тарного оксигемоглобина при добавлении орга-
оксигемоглобина претерпевают изменение ис-
нических молекул к суспензии эритроцитов.
ходного ЭП: в отсутствие лизиса молекулы HbO2
2. Показано, что объяснения, основанные на
находятся в поле мембранного потенциала, кото-
представлениях о парном взаимодействии и хи-
рое исчезает после лизиса.
мических превращениях оксигемоглобина, не в
состоянии объяснить спектральные изменения
Также экспериментальным свидетельством в
полосы Соре.
пользу того, что электростатическое взаимодей-
ствие может непосредственно влиять на структу-
Показано, что непротиворечивым вариантом
ру гема в молекуле HbO2 и следовательно на пара-
объяснения наблюдаемых спектральных сдвигов
максимумов полос Соре эритроцитарного окси-
метры полосы Соре, являются результаты работы
гемоглобина при добавлении органических моле-
[38]. В этой работе изучалось взаимодействиe мо-
кул к суспензии эритроцитов являются представ-
лекул оксигемоглобина с отрицательно заряжен-
ления о том, что добавляемые органические мо-
ными и нейтральными фосфолипидами и было
лекулы изменяют величину электрического поля
показано, что добавление заряженных фосфоли-
внутри эритроцита. Это изменение приводит к
пидов приводит к коротковолновому сдвигу по-
деформации конфигурации гидрофобного кар-
лосы Соре и дублета на 545 и 575 нм. Однако при
мана, в котором находится гем, и к изменению
положения иона железа относительно плоскости
дополнительном добавлении ионов Са2+ (была
порфиринового кольца. Суммарное действие
использована соль CaCl2), которые образуют с
этих двух независимых факторов влияет на элек-
фосфатной группой фосфолипидов контактную
тронные орбитали гема, что формирует сдвиги
ионную пару, экранируя таким образом ее отри-
полосы Соре.
цательный заряд [39], наблюдаемые сдвиги за-
метно уменьшались. Интерпретация этих данных
в рамках предлагаемых представлений не вызы-
БЛАГОДАРНОСТИ
вает затруднений: электростатическое влияние на
Автор выражает искреннюю признательность
исходную структуру гемоглобина и следовательно
рецензенту за критические замечания и вопросы,
на структуру гидрофобного кармана в глобине и
ответы на которые позволили сделать работу зна-
положение иона Fe2+ при добавлении заряжен-
чительно интересней.
БИОФИЗИКА том 67
№ 1
2022
94
ЛАВРИК
КОНФЛИКТ ИНТЕРЕСОВ
18.
O. И. Тюнина и В. Г. Артюхов, Бюл. эксперим.
биологии и медицины 165, 803 (2018).
Автор заявляет об отсутствии конфликта инте-
ресов.
19.
M. Laberge, Biochim. Biophys. Acta 1386 305 (1998).
20.
P. Geissinger, B. E. Kohler, and J. C. Woehl, Phys.
СОБЛЮДЕНИЕ ЭТИЧЕСКИХ СТАНДАРТОВ
Chem., 99 (45), 16527 (1995).
Настоящая работа не содержит описания ис-
21.
P. M. De Biase, D. A. Paggi, F. Doctorivich, et al., J.
следований с использованием людей и животных
Am. Chem. Soc. 131 (44), 16248 (2009).
в качестве объектов.
22.
R. Schweitzer-Stenner, J. Phys. Chem. B, 112 (33),
10358 (2008).
СПИСОК ЛИТЕРАТУРЫ
23.
C. Pelletti, A. Monorchio, and A. Rogovich, 38th Eur.
1.
В. А. Левгов, С. А. Регирер и Н. Х. Шадрина, Рео-
Microwave Conf., Vols. 1-3 (2008).
логия крови (Медицина, М., 1982).
24.
S. Franzen, L. J. Mooreand, and G. Boxer, J. Phys.
2.
Г. М. Андреюк и М. А. Кисель. Биоорган. химия
Chem. B, 103 (16), 3070 (1999).
23 (4), 290 (1997).
25.
А. Р. Зарицкий, Г.В. Зайцева, В. И. Грачёв и М. Н.
3.
К. Н. Соловьев, Л. Л. Гладков, А. С. Старухин
Кириченко, Радиоэлектроника. Наносистемы.
и др. Спектроскопия порфиринов: колебательные
Информац. технологии 8 (1), 91 (2016).
состояния (Наука и техника, Минск, 1985).
26.
M. Drobizhev, P. R. Callis, R. Nifosì, et al., Sci. Rep.
4.
И. В. Яковец, И. В. Янковский, Л. И. Болотин и
5, 12223 (2015). DOI: 10.1038/Srep13223
В. П. Зорин, Вестн. БГУ 1 (2), 39 (2015).
27.
Е. Л. Пиротти, Радиоэлектроника и информатика
5.
J. M. Berg, J. L.Tymoczko, G. J. Gattoand and
1, 107 (1997).
L. Stryer, in Biochemistry, 8th edition (W. H. Freeman
and Co, N.Y., 2015), pp. 191-214.
28.
Y. S. Tarahovsky, E. N. Musafarov, and Y. A. Kim,
6.
Н. Л. Векшин, М. С. Фролова, В. И. Ковалев и др.,
Mol. Cell. Biochem. 314 (1-2), 65 (2008).
Биофизика 60 (1), 129 (2015).
29.
А. А. Ананян, Н. П. Милютина, А. А. Плотников
7.
Н. Л. Лаврик и Т. Н. Ильичёва, Биофизика 63 (5),
и В. В. Внуков, Сб. науч. трудов VI Съезда биофи-
903 (2018).
зиков России (Сочи, 2019), т. 1. с. 37.
8.
O. Yu. Selyutina, N. E. Polyakov, D. V. Korneev, and
30.
О. Ю. Селютина, И. Е. Апанасенко, А. Г. Шилов
B. N. Zaitsev, Drug Delivery 23, 848 (2016).
и др., Изв. РАН. Сер. хим. 1, 129 (2017).
9.
N. L. Lavrik and Т. N. Il’itcheva, in Biophysical Chem-
31.
O. Yu. Selyutina, I. E. Apanasenko, A. V. Kim, et al.,
istry, Ed. by M. A. A. Khilid (Intech Open Publ.,
Colloids Surf. B 147, 459 (2016).
2019), pp. 1-12.
32.
Е. А. Черницкий и А. В. Воробей, Структура и
10.
Е. А. Калаева, В. Г. Артюхов, О. В. Путинцева и
функции эритроцитарных мембран (Наука и техни-
А. И. Полюбезьева, Эксперим. клинич. фармакол.
ка, М., 1981).
79 (9), 12 (2016).
33.
Б. Н. Постникова и Е. А. Шеховцова, Биохимия
11.
В. Г. Артюхов, Е. А. Калаева, О. В. Путинцева и
83 (2), 267(2018).
А. И. Полюбезьева, Биомед. химия 52 (3), 251
34.
Ya. A. Ermakov, Biochemistry 56, 5437 (2017).
(2016).
35.
А. Ю. Лоскутова, А. А. Девяткин и В. В. Ревин, Сб.
12.
Э. И. Насыбуллина, Дис. … канд. биол. наук (Ин-
науч. трудов VI Съезда биофизиков России (Сочи,
ститут биохимии им. А.Н. Баха, М., 2017).
2019), т. 1. с. 182.
13.
З. С. Токтамысова и Н. Х. Биржанова, Биофизика
35 (6), 1019 (1990).
36.
О. Ю. Селютина, Дис. … канд. ф.-м. наук (Инсти-
тут химической кинетики и горения им.
14.
G. B. Nash and H. J. Meiselman, Biophys. J. 43, 63
В.В. Воеводского СО РАН, Новосибирск, 2017).
(1983).
37.
Е. А. Липунова и М. Ю. Скоркина, Физиология
15.
А. М. Черныш, Е. К. Козлова, В. В. Мороз и др.,
Общая реаниматология 14 (1), 29 (2018).
крови (Белгород, 2007).
16.
В. В. Мороз, А. М. Голубев, А. В. Афанасьев и др.,
38.
Г. М. Андреюк и М. А. Кисель, Биохимия 64 (8),
Общая реаниматология. 8 (1), 3 (2012).
1034 (1999).
17.
О. Ю. Селютина, Н. Э. Поляков, Д. В. Корнеев и
39.
S. G. A. McLaughlin, G. Szabo, and G. Eisenman, J.
Б. Н. Зайцев, Изв. РАН. Сер. хим. 5, 1201 (2014).
Gen. Physiol. 58, 667 (1971).
БИОФИЗИКА том 67
№ 1
2022
О ПРИРОДЕ СПЕКТРАЛЬНОГО СДВИГА ПОЛОСЫ СОРЕ
95
On the Nature of the Spectral Shift of the Soret Band of Erythrocyte Oxyhemoglobin
when Organic Molecules Are Added to Erythrocyte Suspension
N.L. Lavrik
Voevodsky Institute of Chemical Kinetics and Combustion, Siberian Branch of the Russian Academy of Sciences,
630090, Novosibirsk, Institutskaya ul. 3
Possible hypotheses to explain the experimentally observed shifts in the maxima of the bands of erythrocyte
oxyhemoglobin with the addition of organic molecules to the suspension of erythrocytes are considered. It
was shown that hypotheses based on the direct interaction of oxyhemoglobin with organic molecules, the
chemical transformation of oxyhemoglobin and changes in the structure of the primembrane oxyhemoglobin
are unable to explain the spectral changes in the Soret band. The hypothesis that the added organic mole-
cules, adsorbed onto the surface of erythrocytes, change the magnitude and gradient of the electrostatic field
inside the erythrocyte turned out to be consistent. As a result of these changes, there may be a deformation of
the structure of the hydrophobic pocket in which the heme is located and a change in the position of the iron
ion relative to the plane of the porphyrin ring. Shifts in the Soret band are a consequence of these changes.
Keywords: Soret band, oxyhemoglobin, erythrocyte surface, organic molecules, electrostatic field of erythrocyte
membrane
БИОФИЗИКА том 67
№ 1
2022